Optimal Design of a Novel Large-Span Cable-Supported Steel–Concrete Composite Floor System
Abstract
:1. Introduction
- The cost-effectiveness and applicability under large span and heavy load conditions for the cable-supported composite floor systems.
- Optimal cross-sectional characteristics of the steel beams, such as cross-sectional shape and the position of the plastic neutral axis.
- The superiority of cable-supported composite floors over conventional composite floors with welded I-beams.
2. Optimization Problem
- (1)
- (2)
- The concrete slab is designed with double-layer two-way reinforcement. The transverse reinforcement ratio and longitudinal reinforcement ratio at the bottom of the slab are set at 0.6% and 0.2%, respectively, in accordance with economic and structural requirements [37]. Furthermore, a two-way reinforcement ratio of 0.2% is also applied at the top of the slab.
- (3)
- The support rods of the beam string structure utilize circular steel pipe cross-sections, while the cables are constructed using Galfan-coated steel, enhancing their durability and resistance to corrosion. The choice of support rods and cables is based on the component dimensions used at the Heibei Normal University Gymnasium [14,38]. The support rods have a specification of φ159 × 6, while the cables are of 1 × 397 class with a strength grade of 1670 MPa [39].
| Material | Properties | |
|---|---|---|
| Q355b Steel | Modulus of elasticity (Es) | 206 GPa |
| Unit weight (γs) | 78.5 kN/m3 | |
| Design shear strength (fv) | 205 MPa | |
| Design strength (f) | 305 MPa | |
| C35 Concrete | Modulus of elasticity (Ec) | 31.5 GPa |
| Unit weight (γc) | 25 kN/m3 | |
| Design compressive strength(fc) | 16.7 MPa |
3. Optimization Process
3.1. Variables
3.2. Assumptions
- (1)
- Slip between the concrete slab and the steel beam is neglected to maximize the bending resistance of the cross-section.
- (2)
- The tensile strength of concrete is not taken into account.
- (3)
- Concrete in compression is assumed to be uniformly compressed, reaching the design compressive strength.
- (4)
- The steel beams are designed and analyzed to ensure that different sections of the beams meet the specified design values for steel tensile strength in tension zones and steel compressive strength in compression zones.
- (5)
- The calculated width of the concrete is determined as follows:
- (1)
- The support stiffness of the cable structure is significant enough to be simplified as fixed hinge support for calculation.
- (2)
- The cable is considered to be ideally flexible and cannot experience compression or bending.
- (3)
- The material properties of the cable are assumed to follow Hooke’s law.
- (4)
- Instability issues related to cable-supported composite beam structures are not taken into account in this analysis.
3.3. Constraints
- (1)
- The primary load-bearing system determines the cross-sectional area of the cables in the cable-supported composite floors. The bearing capacity of the steel cable should meet the following requirement [46]:where Nd is the maximum axial tensile force of the cable, fca is the ultimate tensile strength of the cable, and γR is taken as 2.0.
- (2)
- The ultimate bending moment of the composite beam cross-section is determined by considering half-span composite beams [38]:where M represents the mid-span bending moment of a half-span beam under uniformly distributed loads. This moment is determined by the formula: M = 1/32qL2, where q is the design value of the line load, and it is calculated as the combination of live loads and permanent loads (self-weight of the structure), given by q = 1.3 × (γcAc + γsAs) + 1.5 × ωB. Mu represents the design value of the ultimate bending bearing capacity of the section, and its calculation involves specific methods based on the difference in the plastic neutral axis position of the composite beam section [47]. These methods are outlined as follows:
- When the plastic neutral axis in the concrete slab (As f ≤ be hc fc):where xc is the height of the compressed concrete, given as .
- When the plastic neutral axis in the upper flange of the steel beam (As f − 2bf hf f ≤ be hc fc < As f):where xf is the height of the compressed upper flange of the steel beam, given as .
- When the plastic neutral axis in the web of the steel beam (As f − 2bf hf f − 2hw tw f ≤ be hc fc < As f − 2bf hf f):where xw is the height of the compressed web of the steel beam, given as , and aw is the distance between the centroid of the section in the tensile zone of the steel beam and the bottom of the steel beam, defined as .
- (3)
- The flange and the web of the steel beam must meet the requirements of the plastic design specifications to achieve the compact steel section for bending and prevent stability issues:where b is the extension length of the steel beam flange, defined as .
- (4)
- The initial pre-stress design of the cable, denoted as σp0, is aimed at counterbalancing the structural deflection resulting from the cable’s self-weight:where θ is the angle between the cable and the composite beam.
- (5)
- In accordance with engineering practice, the spacing between the steel beams and the thickness of the concrete wing plates in this study are set at the following values:
- (6)
- The limit on the total height of the cable-supported composite beam in this study is set at:where h1 is the distance from the centroid of the converted section of the composite beam to the top of the concrete slab.
3.4. Optimization Method
4. Optimization Results
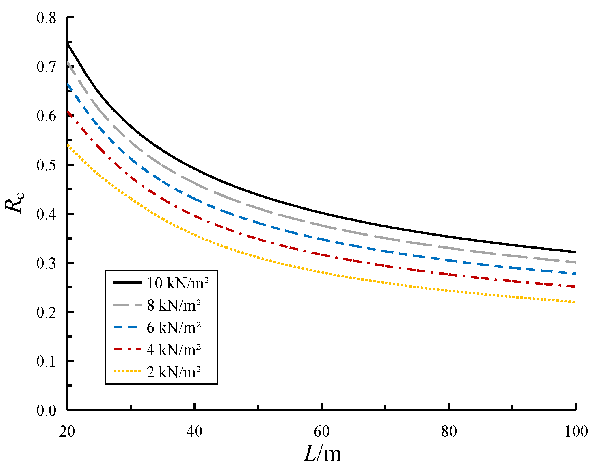
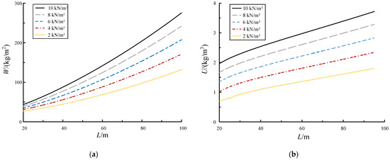
4.1. Economically Equivalent Steel Consumption
4.2. Optimal Cross-Sections
- The ratio of the total height to span approaches the limit value.
- The width-to-thickness and height-to-thickness ratios of the optimal section reach their limit values.
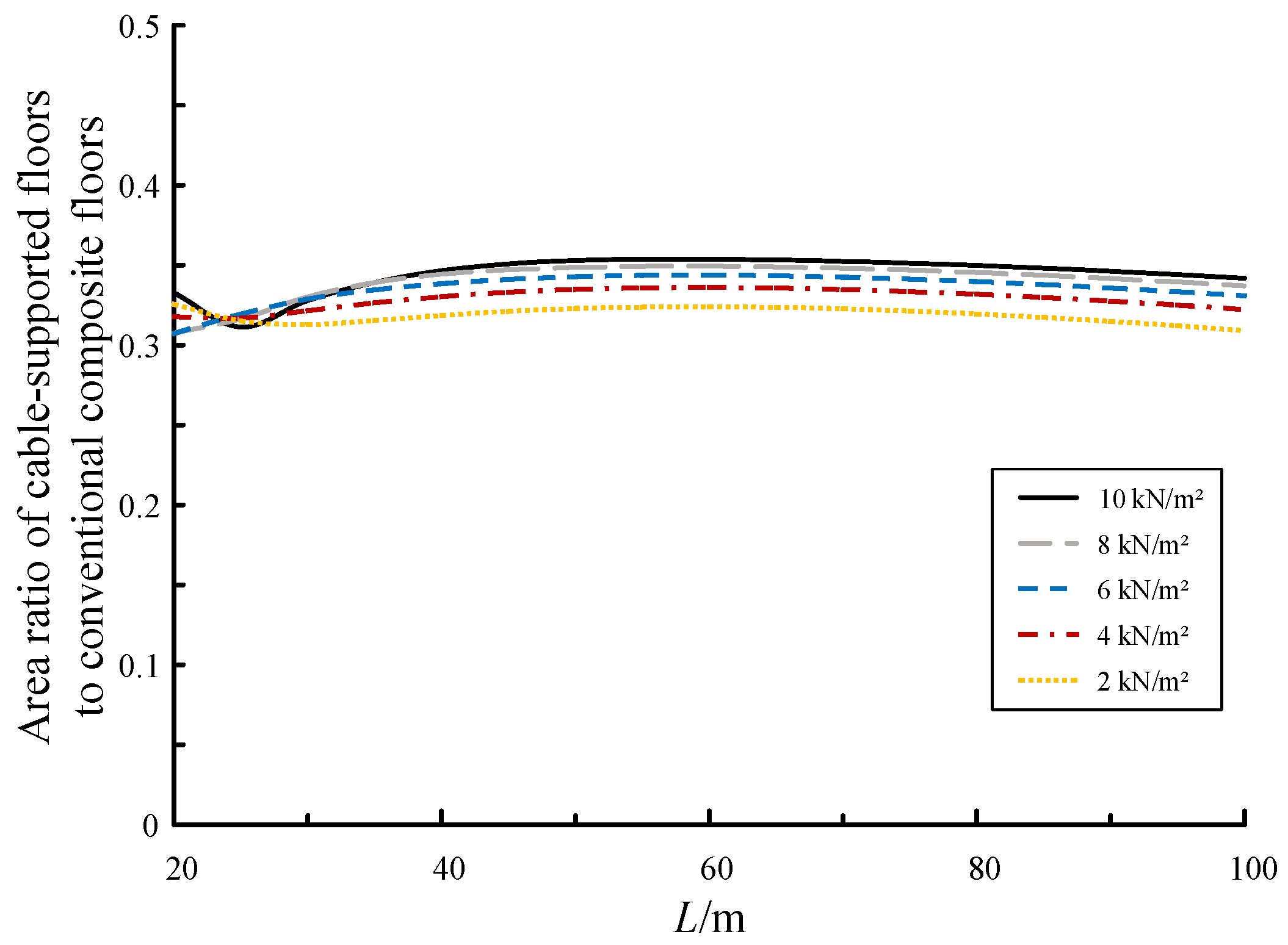
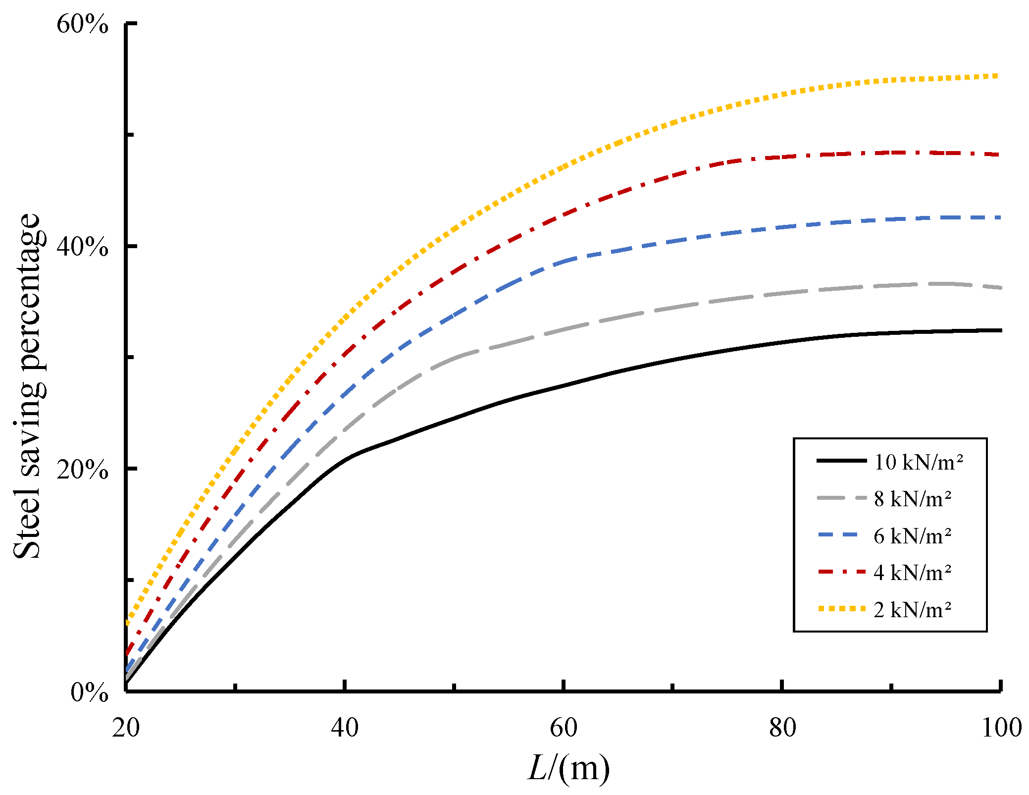
4.3. Discussion on the Economic Benefits of Cable-Supported Composite Floors
5. Conclusions
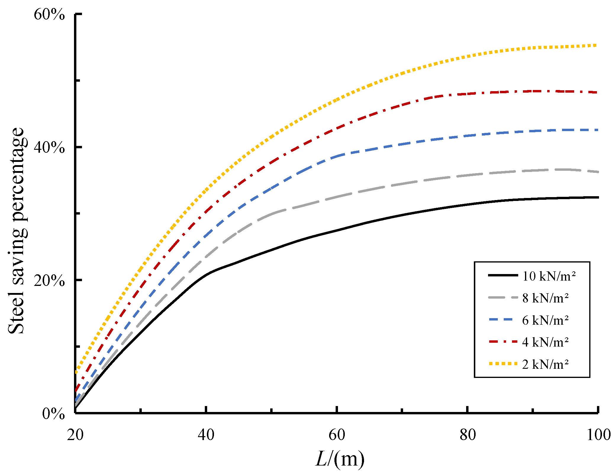
- With increasing span and live load of cable-supported composite beams, there is a notable increase in economically equivalent steel consumption. Cable-supported composite floors with a strut exhibit robust economic feasibility for spans of less than 80 m and live loads under 8 kN/m2.
- A comprehensive comparative analysis was conducted between the cable-supported composite floor and the conventional composite floor, revealing that the cable-supported composite floor system exhibits superior economic efficiency. Especially for medium- to large-span floors, the steel savings range from 20% to 60%. This is because the primary load-bearing system of the cable-supported composite floor is the cable-supported structure, which is more efficient than the single-beam structure under bending.
- The development of cable-supported composite beams with a single strut for extremely large spans is constrained by the steel usage in the main beam cross-section, due to the beam bending moment associated with an effective span length of L/2 (secondary load-bearing system). Therefore, cable-supported composite beams with multiple struts should be used for ultra-large-span composite floors (e.g., L > 100 m) in order to decrease the effective span length of the main beam under bending.
Author Contributions
Funding
Data Availability Statement
Conflicts of Interest
References
- Ahmed, I.M.; Tsavdaridis, K.D. The Evolution of Composite Flooring Systems: Applications, Testing, Modeling, and Eurocode Design Approaches. J. Constr. Steel Res. 2019, 155, 286–300. [Google Scholar] [CrossRef]
- Wang, S.J.; Hwang, J.S.; Chang, K.C.; Lin, M.H.; Lee, B.H. Analytical and experimental studies on midstory isolated buildings with modal coupling effect. Earthq. Eng. Struct. Dyn. 2013, 42, 201–219. [Google Scholar] [CrossRef]
- Charmpis, D.C.; Komodromos, P.; Phocas, M.C. Optimized earthquake response of multi-storey buildings with seismic isolation at various elevations. Earthq. Eng. Struct. Dyn. 2012, 41, 2289–2310. [Google Scholar] [CrossRef]
- Forcellini, D.; Kalfas, K.N. Inter-story seismic isolation for high-rise buildings. Eng. Struct. 2023, 275, 115175. [Google Scholar] [CrossRef]
- Chen, Y.; Tong, J.; Li, Q.; Xu, S.; Gao, W.; Liu, X. Flexural Behavior of Novel Profiled Steel-UHTCC Assembled Composite Bridge Decks. J. Constr. Steel Res. 2024, 212, 108258. [Google Scholar] [CrossRef]
- Ruiz-Teran, A.; Aparicio, A. Two New Types of Bridges: Under-Deck Cable-Stayed Bridges and Combined Cable-Stayed Bridges—The State of the Art. Can. J. Civ. Eng. 2007, 34, 1003–1015. [Google Scholar] [CrossRef]
- Ruiz-Teran, A.; Aparicio, A. Parameters Governing the Response of Under-Deck Cable-Stayed Bridges. Can. J. Civ. Eng. 2007, 34, 1016–1024. [Google Scholar] [CrossRef]
- Chen, Z. The State of Art of Cable-Supported Structures. Build. Struct. 2011, 41, 24–31. (In Chinese) [Google Scholar]
- Chen, Z.; Qiao, W. Analysis on Basic Characteristics of Cable-Supported Concrete Roof Structure. Build. Struct. 2010, 40, 22–25. (In Chinese) [Google Scholar]
- Chen, Z.; Qiao, W. Structural Characteristics Analysis and Parameter Discussion of Cable-Supported Concrete Roof Structure. Build. Struct. 2010, 40, 26–28. (In Chinese) [Google Scholar]
- Qiao, W.; An, Q.; Zhao, M.; Wang, D. Experimental Study on the Fundamental Mechanical Features of Cable-Supported Ribbed Beam Composite Slab Structure. Adv. Steel Constr. 2017, 13, 96–116. [Google Scholar]
- Qiao, W.; Wang, D.; Zhao, M. Mechanical Features of Cable-Supported Ribbed Beam Composite Slab Structure. Steel Compos. Struct. Int. J. 2017, 25, 523–534. [Google Scholar]
- Qiao, W.; Wang, D.; An, Q.; Zhang, H. Study on Dynamic Behaviors and Vibration Reduction Techniques on Cable-Supported Ribbed Beam Composite Slab. Adv. Steel Constr. 2019, 15, 73–81. [Google Scholar]
- An, Q. Study on the Mechanical Properties and Human-Induced Vibration of Cable-Supported Composite Floor System. Ph.D. Thesis, Tianjin University, Tianjin, China, 2018. (In Chinese). [Google Scholar]
- Wu, Y.; Pan, W.; Luo, Y. Economical Design Comparison of Large-Span Composite Floor Systems with I Beams and Corrugated Web Beams. Buildings 2023, 13, 1940. [Google Scholar] [CrossRef]
- Adeli, H.; Kamal, O. Parallel Processing in Structural Engineering; Elsevier Science Publishing Ltd.: Barking, UK, 2003. [Google Scholar]
- Adeli, H. Advances in Design Optimization; Chapman & Hall: London, UK, 2002. [Google Scholar]
- Vanderplaats, G.N. Numerical Optimization Techniques for Engineering Design: With Applications; McGraw-Hill: New York, NY, USA, 1984. [Google Scholar]
- Sarma, K.C.; Adeli, H. Cost Optimization of Concrete Structures. J. Struct. Eng. 1998, 124, 570–578. [Google Scholar] [CrossRef]
- Ahmadkhanlou, F.; Adeli, H. Optimum Cost Design of Reinforced Concrete Slabs Using Neural Dynamics Model. Eng. Appl. Artif. Intell. 2005, 18, 65–72. [Google Scholar] [CrossRef]
- Sahab, M.; Ashour, A.; Toropov, V. Cost Optimization of Reinforced Concrete Flat Slab Buildings. Eng. Struct. 2005, 27, 313–322. [Google Scholar] [CrossRef]
- Kaveh, A.; Shokohi, F. Cost Optimization of Castellated Beams Using Charged System Search Algorithm. Iran. J. Sci. Technol. Trans. Civ. Eng. 2014, 38, 235. [Google Scholar]
- Eskandari, H.; Korouzhdeh, T. Cost Optimization and Sensitivity Analysis of Composite Beams. Civ. Eng. J. 2016, 2, 52–62. [Google Scholar] [CrossRef]
- Poitras, G.; Lefrançois, G.; Cormier, G. Optimization of Steel Floor Systems Using Particle Swarm Optimization. J. Constr. Steel Res. 2011, 67, 1225–1231. [Google Scholar] [CrossRef]
- Kim, H.; Adeli, H. Discrete Cost Optimization of Composite Floors Using a Floating-Point Genetic Algorithm. Eng. Optim. 2001, 33, 485–501. [Google Scholar] [CrossRef]
- Korouzhdeh, T.; Eskandari-Naddaf, H.; Gharouni-Nik, M. An Improved Ant Colony Model for Cost Optimization of Composite Beams. Appl. Artif. Intell. 2017, 31, 44–63. [Google Scholar]
- Ebid, A.M. Optimum Cross Section and Longitudinal Profile for Unstiffened Fully Composite Steel Beams. Future Eng. J. 2021, 2, 1. [Google Scholar] [CrossRef]
- Kravanja, S.; Silih, S. The MINLP Optimization of Composite I-Beams; WIT Press: Southampton, UK, 2001; Volume 54. [Google Scholar]
- Kravanja, S.; Šilih, S. Optimization-Based Comparison Between Composite I-Beams and Composite Trusses. J. Constr. Steel Res. 2003, 59, 609–625. [Google Scholar] [CrossRef]
- Kravanja, S.; Žula, T.; Klanšek, U. Multi-parametric MINLP Optimization Study of a Composite I-Beam Floor System. Eng. Struct. 2017, 130, 316–335. [Google Scholar] [CrossRef]
- Wu, Y.; Pan, W.; Luo, Y. Optimal Design of Long Span Steel-Concrete Composite Floor System. J. ZheJiang Univ. Eng. Sci. 2023, 57, 988–996. (In Chinese) [Google Scholar]
- Wu, R.; Wang, L.; Tong, J.; Tong, G.; Gao, W. Elastic Buckling Formulas of Multi-Stiffened Corrugated Steel Plate Shear Walls. Eng. Struct. 2024, 300, 117218. [Google Scholar] [CrossRef]
- Yu, C.; Tong, G.; Tong, J.; Zhang, J.; Li, X.; Xu, S. Experimental and Numerical Study on Seismic Performance of L-Shaped Multi-Cellular CFST Frames. J. Constr. Steel Res. 2024, 213, 108360. [Google Scholar] [CrossRef]
- Pan, W.; Wang, C.; Zhang, H. Matrix Method for Buckling Analysis of Frames Based on Hencky Bar-Chain Model. Int. J. Struct. Stab. Dyn. 2019, 19, 1950093. [Google Scholar] [CrossRef]
- Pan, W.; Wang, C. Elastic In-Plane Buckling of Funicular Arches. Int. J. Struct. Stab. Dyn. 2020, 20, 2041014. [Google Scholar] [CrossRef]
- Wu, Z.; Nie, X.; Zhao, J.; Wang, W.; Duan, L. Numerical Study on the Seismic Behavior of Steel–Concrete Composite Frame with Uplift-Restricted and Slip-Permitted (URSP) Connectors. Buildings 2023, 13, 2598. [Google Scholar] [CrossRef]
- GB 50010-2010; Code for Design of Concrete Structures. Standardization Administration of the People’s Republic of China: Beijing, China, 2010. (In Chinese)
- An, Q.; Chen, Z.; Ren, Q.; Liu, H.; Yan, X. Control of Human-Induced Vibration in an Innovative CSBS–CSCFS. J. Constr. Steel Res. 2015, 115, 359–371. [Google Scholar] [CrossRef]
- Xu, F.; Pan, W.; Chan, T.; Sheehan, T.; Gardner, L. Fracture Prediction for Square Hollow Section Braces Under Extremely Low Cycle Fatigue. Thin-Walled Struct. 2022, 171, 108716. [Google Scholar] [CrossRef]
- GB 50017-2017; Standard for Design of Steel Structures. Standardization Administration of the People’s Republic of China: Beijing, China, 2017. (In Chinese)
- JGJ 138-2016; Code for Design of Composite Structures. Standardization Administration of the People’s Republic of China: Beijing, China, 2016. (In Chinese)
- Zhang, H.; Wang, C.; Challamel, N.; Pan, W. Calibration of Eringen’s Small Length Scale Coefficient for Buckling of Circular and Annular Plates via the Hencky Bar-Net Model. Appl. Math. Model. 2020, 78, 399–417. [Google Scholar] [CrossRef]
- Tong, J.-Z.; Guo, Y.-L.; Pan, W.-H.; Zhou, P.; Wang, M.-Z. Hysteretic Performance of Inverted-V Patterned BRB Systems Considering Vertical Pre-Compression Effects. Bull. Earthq. Eng. 2019, 17, 3197–3232. [Google Scholar] [CrossRef]
- Tong, J.-Z.; Guo, Y.-L.; Pan, W.-H.; Shen, M.-H.; Zhou, P. Global Buckling Prevention of Reduced-Core-Length Buckling-Restrained Braces: Theoretical and Numerical Investigations. Bull. Earthq. Eng. 2020, 18, 1777–1804. [Google Scholar] [CrossRef]
- Pan, W.; Tong, J. A New Stiffness-Strength-Relationship-Based Design Approach for Global Buckling Prevention of Buckling-Restrained Braces. Adv. Struct. Eng. 2021, 24, 1343–1356. [Google Scholar] [CrossRef]
- JGJ 257-2012; Technical Specification for Cable Structures. Architecture & Building Press: Beijing, China, 2012. (In Chinese)
- Du, H.; Yuan, S.; Yu, T.; Hu, X. Experimental and Analytical Investigation on Flexural Behavior of High-Strength Steel-Concrete Composite Beams. Buildings 2023, 13, 902. [Google Scholar] [CrossRef]
- Haggag, A. A variant of the generalized reduced gradient algorithm for non-linear programming and its applications. Eur. J. Oper. Res. 1981, 7, 161–168. [Google Scholar] [CrossRef]
- Del Castillo, E.; Montgomery, D.C. A nonlinear programming solution to the dual response problem. J. Qual. Technol. 1993, 25, 199–204. [Google Scholar] [CrossRef]
- Köksoy, O. A nonlinear programming solution to robust multi-response quality problem. Appl. Math. Comput. 2008, 196, 603–612. [Google Scholar] [CrossRef]











Disclaimer/Publisher’s Note: The statements, opinions and data contained in all publications are solely those of the individual author(s) and contributor(s) and not of MDPI and/or the editor(s). MDPI and/or the editor(s) disclaim responsibility for any injury to people or property resulting from any ideas, methods, instructions or products referred to in the content. |
© 2023 by the authors. Licensee MDPI, Basel, Switzerland. This article is an open access article distributed under the terms and conditions of the Creative Commons Attribution (CC BY) license (https://creativecommons.org/licenses/by/4.0/).
Share and Cite
Tan, M.; Wu, Y.; Pan, W.; Liu, G.; Chen, W. Optimal Design of a Novel Large-Span Cable-Supported Steel–Concrete Composite Floor System. Buildings 2024, 14, 113. https://doi.org/10.3390/buildings14010113
Tan M, Wu Y, Pan W, Liu G, Chen W. Optimal Design of a Novel Large-Span Cable-Supported Steel–Concrete Composite Floor System. Buildings. 2024; 14(1):113. https://doi.org/10.3390/buildings14010113
Chicago/Turabian StyleTan, Meiwen, Yifan Wu, Wenhao Pan, Guoming Liu, and Wei Chen. 2024. "Optimal Design of a Novel Large-Span Cable-Supported Steel–Concrete Composite Floor System" Buildings 14, no. 1: 113. https://doi.org/10.3390/buildings14010113
APA StyleTan, M., Wu, Y., Pan, W., Liu, G., & Chen, W. (2024). Optimal Design of a Novel Large-Span Cable-Supported Steel–Concrete Composite Floor System. Buildings, 14(1), 113. https://doi.org/10.3390/buildings14010113

