Effect of Rock Mass Disturbance on Stability of 3D Hoek–Brown Slope and Charts
Abstract
:1. Introduction
2. The Generalized Hoek–Brown Failure Criterion and Its Applicability
2.1. The Generalized Hoek–Brown Failure Criterion
2.2. The Equivalent Mohr–Coulomb Strength Parameters Method
3. The Kinematic Approach of Limit Analysis
4. Slope Stability Analysis Using Limit Analysis
4.1. Failure Mechanism of a 3D Slope
4.2. FoS Solution of Slope
5. Comparison
5.1. Comparison of FoS
5.2. Validity of Index SR
6. Results and Discussion
6.1. Parametric Analysis of the Disturbance Factor D on Slope Stability
6.2. Design Charts for 3D Rock Slopes
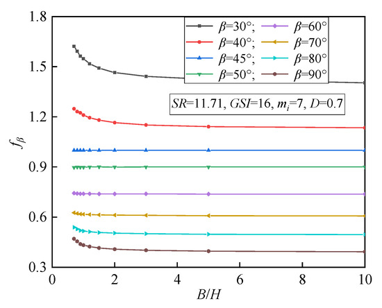
6.3. The Slope Angle Weighting Factor fβ_3D for 3D Slopes
7. Case Study
7.1. A Rock Slope of an Open Pit Mine at Baskoyak Anatolia
7.2. A Rock Slope in Kisrakdere Coal Open Pit Mine in Western Turkey
8. Conclusions
- Validities of the present study and index SR on estimating the FoS solutions of a 3D slope in disturbed rock masses are verified that for a slope with given B/H; slope angle β; and Hoek–Brown strength parameters GSI, mi, and D, the FoS of slope is still only related to index SR.
- A parametric analysis is conducted to investigate the effects of 3D character and rock mass disturbance on slope stability. It is shown that B/H and the rock mass disturbance factor D have significant influences on slope stability and should be considered in stability analyses of slopes in rock masses.
- A series of stability charts are presented and modified equations to determine the slope angle weighting factor fβ_3D considering the 3D character of slope are presented to provide a convenient and straightforward way to estimate FoS solutions of 3D slopes in disturbed rock masses.
- A case study is conducted to apply the presented stability charts to practical cases. The results indicated that the present FoS solutions obtained using the stability charts in conjunction with the slope angle weighting factor fβ_3D are in good agreement with the analytical solutions. The validity of the present stability charts and the equations to estimate the slope angle weighting factors fβ_3D are verified.
Author Contributions
Funding
Data Availability Statement
Acknowledgments
Conflicts of Interest
References
- Hoek, E.; Brown, E.T. Empirical strength criterion for rock masses. J. Geotech. Eng. Div. ASCE 1980, 106, 1013–1035. [Google Scholar] [CrossRef]
- Hoek, E.; Carranza-Torres, C.; Corkum, B. Hoek–Brown failure criterion-2002 edition. Proc. NARMS-Tac 2002, 1, 267–273. [Google Scholar]
- Yang, X.L. Effect of Pore-Water Pressure on 3D stability of rock slope. Int. J. Geomech. 2017, 17, 06017015. [Google Scholar] [CrossRef]
- Pan, Q.J.; Jiang, Y.J.; Dias, D. Probabilistic stability analysis of a three-dimensional rock slope characterized by the Hoek-Brown failure criterion. J. Comput. Civ. Eng. 2017, 31, 04017046. [Google Scholar] [CrossRef]
- Qin, C.B.; Chian, S.C.; Wang, C.Y. Kinematic analysis of pile behavior for improvement of slope stability in fractured and saturated Hoek-Brown rock masses. Int. J. Numer. Anal. Methods Geomech. 2017, 41, 803–827. [Google Scholar] [CrossRef]
- Li, A.J.; Merifield, R.S.; Lyamin, A.V. Stability charts for rock slopes based on the Hoek–Brown failure criterion. Int. J. Rock Mech. Min. Sci. 2008, 45, 689–700. [Google Scholar] [CrossRef]
- Li, A.J.; Lyamin, A.V.; Merifield, R.S. Seismic rock slope stability charts based on limit analysis methods. Comput. Geotech. 2009, 36, 135–148. [Google Scholar] [CrossRef]
- Xu, J.S.; Yang, X.L. Seismic stability analysis and charts of a 3D rock slope in Hoek–Brown media. Int. J. Rock Mech. Min. Sci. 2018, 112, 64–76. [Google Scholar] [CrossRef]
- Saada, Z.; Maghous, S.; Garnier, D. Stability analysis of rock slopes subjected to seepage forces using the modified Hoek–Brown criterion. Int. J. Rock Mech. Min. Sci. 2012, 55, 45–54. [Google Scholar] [CrossRef]
- Jiang, X.Y.; Cui, P.; Liu, C.Z. A chart-based seismic stability analysis method for rock slopes using Hoek–Brown failure criterion. Eng. Geol. 2016, 209, 196–208. [Google Scholar] [CrossRef]
- Shen, J.Y.; Karakus, M.; Xu, C.S. Chart–based slope stability assessment using the Generalized Hoek–Brown criterion. Int. J. Rock Mech. Min. Sci. 2013, 64, 210–219. [Google Scholar] [CrossRef]
- Sun, C.W.; Chai, J.R.; Xu, Z.G.; Qin, Y.; Chen, X.Z. Stability charts for rock mass slopes based on the Hoek–Brown strength reduction technique. Eng. Geol. 2016, 214, 94–106. [Google Scholar] [CrossRef]
- Li, A.J.; Merifield, R.S.; Lyamin, A.V. Effect of rock mass disturbance on the stability of rock slopes using the Hoek–Brown failure criterion. Comput. Geotech. 2011, 38, 546–558. [Google Scholar] [CrossRef]
- Li, A.J.; Qian, Z.G.; Jiang, J.C.; Lyamin, A. Seismic slope stability evaluation considering rock mass disturbance varying in the slope. KSCE J. Civ. Eng. 2019, 23, 1043–1054. [Google Scholar] [CrossRef]
- Park, D. Measures of slope stability in bonded soils governed by linear failure criterion with tensile strength cut-off. Comput. Geotech. 2023, 161, 105610. [Google Scholar] [CrossRef]
- Michalowski, R.L.; Park, D. Stability assessment of slopes in rock governed by the Hoek-Brown strength criterion. Int. J. Rock Mech. Min. Sci. 2020, 127, 104217. [Google Scholar] [CrossRef]
- Park, D.; Michalowski, R.L. Three-dimensional stability assessment of slopes in intact rock governed by the Hoek-Brown failure criterion. Int. J. Rock Mech. Min. Sci. 2021, 137, 104522. [Google Scholar] [CrossRef]
- Xu, J.S.; Du, X.L. Seismic stability of 3D rock slopes based on a multi-cone failure mechanism. Rock Mech. Rock Eng. 2023, 56, 1595–1605. [Google Scholar] [CrossRef]
- Hu, Y.N.; Ji, J.; Sun, Z.B.; Dias, D. First order reliability-based design optimization of 3D pile-reinforced slopes with Pareto optimality. Comput. Geotech. 2023, 162, 105635. [Google Scholar] [CrossRef]
- Sun, Z.; Zhao, Y.; Hu, Y.; Dias, D.; Ji, J. Probabilistic analysis of width-limited 3D slope in spatially variable soils: UBLA enhanced with efficiency-improved discretization of horn-like failure mechanism. Int. J. Numer. Anal. Methods Geomech. 2023, 47, 3129–3157. [Google Scholar] [CrossRef]
- Michalowski, R.L. Three-dimensional stability of slopes and excavations. Geotechnique 2009, 59, 839–850. [Google Scholar] [CrossRef]
- Gao, Y.F.; Zhang, F.; Lei, G.H.; Li, D.Y.; Wu, Y.X.; Zhang, N. Stability charts for 3D failures of homogeneous slopes. J. Geotech. Geoenviron. Eng. 2013, 139, 1528–1538. [Google Scholar] [CrossRef]
- Gao, Y.F.; Zhu, D.S.; Zhang, F.; Lei, G.H.; Qin, H.Y. Stability analysis of three-dimensional slopes under water drawdown conditions. Can. Geotech. J. 2014, 51, 1355–1364. [Google Scholar] [CrossRef]
- Pérez-Reya, I.; Alejanoa, L.R.; Riquelmeb, A.; González-deSantosa, L. Failure mechanisms and stability analyses of granitic boulders focusing a case study in Galicia (Spain). Int. J. Rock Mech. Min. Sci. 2019, 119, 58–71. [Google Scholar] [CrossRef]
- Zhang, J.H.; Wang, W.J.; Zhang, D.B.; Zhang, B.; Meng, F. Safe range of retaining pressure for three-dimensional face of pressurized tunnels based on limit analysis and reliability method. KSCE J. Civ. Eng. 2018, 22, 4645–4656. [Google Scholar] [CrossRef]
- Huang, F.; Zhao, L.H.; Ling, T.H.; Yang, X.L. Rock mass collapse mechanism of concealed karst cave beneath deep tunnel. Int. J. Rock Mech. Min. Sci. 2017, 91, 133–138. [Google Scholar] [CrossRef]
- Sonmez, H.; Ulusay, R. Modifications to the geological strength index (GSI) and their applicability to stability of slopes. Int. J. Rock Mech. Min. Sci. 1999, 36, 743–760. [Google Scholar] [CrossRef]










| Limit Analysis—Lower Bound | SLIDE-Limit Equilibrium Using Equivalent Mohr–Coulomb Parameters | Limit Analysis | |||||||
|---|---|---|---|---|---|---|---|---|---|
| Nonlinear HB | Equations (5)–(7) | Equations (5), (6) and (9) | Equations (5), (6) and (10) | Present 3D Solutions (B→∞) | |||||
| β/° | GSI | mi | SR | FoS0 | FoS1 | FoS2 | FoS3 | FoS4 | FoS |
| 30 | 100 | 5 | 0.070 | 1.0 | 1.014 | 0.988 | - | 1.0 | 0.9872 |
| 30 | 100 | 15 | 0.026 | 1.0 | 1.020 | 0.999 | - | 1.024 | 1.0243 |
| 30 | 100 | 25 | 0.016 | 1.0 | 1.023 | 1.003 | - | 1.036 | 1.0431 |
| 30 | 100 | 35 | 0.011 | 1.0 | 1.024 | 1.007 | - | 1.044 | 1.0327 |
| 30 | 70 | 5 | 0.218 | 1.0 | 1.018 | 0.985 | - | 1.011 | 1.0101 |
| 30 | 70 | 15 | 0.075 | 1.0 | 1.023 | 0.996 | - | 1.028 | 1.0202 |
| 30 | 70 | 25 | 0.045 | 1.0 | 1.024 | 1.004 | - | 1.035 | 1.0272 |
| 30 | 70 | 35 | 0.032 | 1.0 | 1.025 | 1.010 | - | 1.040 | 1.0306 |
| 30 | 50 | 5 | 0.461 | 1.0 | 1.020 | 0.993 | - | 1.014 | 1.0101 |
| 30 | 50 | 15 | 0.153 | 1.0 | 1.024 | 1.003 | - | 1.026 | 1.0171 |
| 30 | 50 | 25 | 0.091 | 1.0 | 1.025 | 1.024 | - | 1.032 | 1.0233 |
| 30 | 50 | 35 | 0.065 | 1.0 | 1.026 | 1.008 | - | 1.036 | 1.0302 |
| 30 | 30 | 5 | 1.057 | 1.0 | 1.022 | 1.001 | - | 1.012 | 1.0101 |
| 30 | 30 | 15 | 0.323 | 1.0 | 1.026 | 1.003 | - | 1.026 | 1.0162 |
| 30 | 30 | 25 | 0.185 | 1.0 | 1.026 | 1.005 | - | 1.031 | 1.0213 |
| 30 | 30 | 35 | 0.129 | 1.0 | 1.027 | 1.004 | - | 1.035 | 1.0278 |
| 30 | 10 | 5 | 4.363 | 1.0 | 1.023 | 1.002 | - | 1.006 | 1.0101 |
| 30 | 10 | 15 | 0.943 | 1.0 | 1.025 | 1.007 | - | 1.023 | 1.0168 |
| 30 | 10 | 25 | 0.460 | 1.0 | 1.026 | 0.996 | - | 1.033 | 1.0254 |
| 30 | 10 | 35 | 0.286 | 1.0 | 1.026 | 1.004 | - | 1.040 | 1.0316 |
| 45 | 100 | 5 | 0.135 | 1.0 | 1.000 | 1.008 | 1.022 | 1.027 | 0.9857 |
| 45 | 100 | 15 | 0.058 | 1.0 | 1.005 | 1.041 | 1.003 | 1.086 | 0.9886 |
| 45 | 100 | 25 | 0.036 | 1.0 | 1.012 | 1.047 | 1.003 | 1.110 | 0.9900 |
| 45 | 100 | 35 | 0.026 | 1.0 | 1.015 | 1.060 | 1.005 | 1.126 | 0.9900 |
| 45 | 70 | 5 | 0.469 | 1.0 | 1.001 | 1.038 | 1.001 | 1.055 | 0.9840 |
| 45 | 70 | 15 | 0.176 | 1.0 | 1.012 | 1.080 | 1.002 | 1.098 | 0.9900 |
| 45 | 70 | 25 | 0.108 | 1.0 | 1.017 | 1.060 | 1.007 | 1.113 | 0.9900 |
| 45 | 70 | 35 | 0.077 | 1.0 | 1.019 | 1.061 | 1.009 | 1.123 | 0.9900 |
| 45 | 50 | 5 | 1.046 | 1.0 | 1.004 | 1.045 | 1.001 | 1.063 | 0.9853 |
| 45 | 50 | 15 | 0.369 | 1.0 | 1.009 | 1.065 | 1.004 | 1.098 | 0.9900 |
| 45 | 50 | 25 | 0.222 | 1.0 | 1.020 | 1.066 | 1.010 | 1.110 | 0.9900 |
| 45 | 50 | 35 | 0.158 | 1.0 | 1.021 | 1.044 | 1.011 | 1.118 | 0.9900 |
| 45 | 30 | 5 | 2.593 | 1.0 | 1.011 | 1.066 | 0.999 | 1.060 | 0.9869 |
| 45 | 30 | 15 | 0.829 | 1.0 | 1.018 | 1.070 | 1.007 | 1.094 | 0.9900 |
| 45 | 30 | 25 | 0.480 | 1.0 | 1.021 | 1.074 | 1.010 | 1.110 | 0.9900 |
| 45 | 30 | 35 | 0.334 | 1.0 | 1.024 | 1.085 | 1.011 | 1.118 | 1.0101 |
| 45 | 10 | 5 | 13.585 | 1.0 | 1.014 | 1.087 | 1.000 | 1.039 | 0.9847 |
| 45 | 10 | 15 | 3.155 | 1.0 | 1.023 | 1.106 | 1.005 | 1.080 | 0.9900 |
| 45 | 10 | 25 | 1.552 | 1.0 | 1.023 | 1.107 | 1.009 | 1.103 | 0.9900 |
| 45 | 10 | 35 | 0.969 | 1.0 | 1.026 | 1.079 | 1.010 | 1.115 | 0.9900 |
| 60 | 100 | 5 | 0.232 | 1.0 | 1.001 | 1.033 | 1.043 | - | 0.9822 |
| 60 | 100 | 15 | 0.130 | 1.0 | 1.004 | 1.114 | 1.026 | - | 1.0101 |
| 60 | 100 | 25 | 0.088 | 1.0 | 1.004 | 1.146 | 1.035 | - | 1.0155 |
| 60 | 100 | 35 | 0.066 | 1.0 | 1.004 | 1.141 | 1.040 | - | 1.0241 |
| 60 | 70 | 5 | 0.946 | 1.0 | 1.013 | 1.059 | 1.024 | - | 0.9891 |
| 60 | 70 | 15 | 0.435 | 1.0 | 1.004 | 1.143 | 1.033 | - | 1.0153 |
| 60 | 70 | 25 | 0.276 | 1.0 | 1.004 | 1.161 | 1.043 | - | 1.0252 |
| 60 | 70 | 35 | 0.20 | 1.0 | 1.005 | 1.183 | 1.047 | - | 1.0284 |
| 60 | 50 | 5 | 2.337 | 1.0 | 1.005 | 1.124 | 1.026 | - | 0.9900 |
| 60 | 50 | 15 | 0.953 | 1.0 | 1.004 | 1.171 | 1.036 | - | 1.0201 |
| 60 | 50 | 25 | 0.584 | 1.0 | 1.008 | 1.176 | 1.046 | - | 1.0267 |
| 60 | 50 | 35 | 0.419 | 1.0 | 1.009 | 1.172 | 1.049 | - | 1.0302 |
| 60 | 30 | 5 | 6.439 | 1.0 | 1.009 | 1.150 | 1.023 | - | 1.0101 |
| 60 | 30 | 15 | 2.317 | 1.0 | 1.009 | 1.197 | 1.044 | - | 1.0239 |
| 60 | 30 | 25 | 1.356 | 1.0 | 1.010 | 1.201 | 1.049 | - | 1.0294 |
| 60 | 30 | 35 | 0.945 | 1.0 | 1.011 | 1.230 | 1.051 | - | 1.0319 |
| 60 | 10 | 5 | 38.926 | 1.0 | 1.004 | 1.183 | 1.013 | - | 0.9900 |
| 60 | 10 | 15 | 11.734 | 1.0 | 1.013 | 1.257 | 1.048 | - | 1.0288 |
| 60 | 10 | 25 | 5.928 | 1.0 | 1.017 | 1.261 | 1.054 | - | 1.0366 |
| 60 | 10 | 35 | 3.729 | 1.0 | 1.018 | 1.258 | 1.059 | - | 1.0403 |
| Input Parameters | Case 1 | Case 2 | Case 3 |
|---|---|---|---|
| GSI | 30 | 30 | 30 |
| mi | 8 | 8 | 8 |
| β/° | 60 | 60 | 60 |
| σci/kPa | 20 | 25 | 250 |
| γ/(kN/m3) | 23 | 28.75 | 23.96 |
| H/m | 25 | 25 | 300 |
| SR (σci/γH) | 34.783 | 34.783 | 34.783 |
| FoS (D = 0) | |||
| Bishop simplified | 2.026 | 2.026 | 2.026 |
| Janbu simplified | 1.934 | 1.934 | 1.934 |
| Spencer | 2.032 | 2.032 | 2.032 |
| Morgenstern–Price | 2.027 | 2.027 | 2.027 |
| Phase2 8.0 (FEM) | 2.000 | 2.040 | 2.030 |
| Present 3D solution (B→∞) | |||
| D = 0 | 2.0230 | 2.0230 | 2.0229 |
| D = 0.3 | 1.7066 | 1.7066 | 1.7066 |
| D = 0.7 | 1.2477 | 1.2477 | 1.2477 |
| D = 1.0 | 0.8416 | 0.8416 | 0.8416 |
| H/m | β/° | γ/ (kN/m3) | σci/ kPa | GSI | mi | D | fβ | ||||
|---|---|---|---|---|---|---|---|---|---|---|---|
| Shen et al. [11] | Sun et al. [12] | Present solution | |||||||||
| B/H =0.7 | B/H =1.0 | B/H →∞ | |||||||||
| 184 | 55 | 27 | 153 | 47 | 9 | 0.9 | 0.793 | 0.817 | 0.825 | 0.827 | 0.828 |
| 140 | 34 | 26 | 50 | 28 | 8 | 0.7 | 1.259 | 1.264 | 1.439 | 1.389 | 1.290 |
| 220 | 45 | 27 | 65 | 44 | 17 | 0.8 | 1.000 | 1.000 | 1.000 | 1.000 | 1.000 |
| 135 | 65 | 27 | 172 | 58 | 9 | 0.9 | 0.637 | 0.753 | 0.734 | 0.732 | 0.733 |
| 70 | 50 | 27 | 29 | 41 | 7 | 0.8 | 0.885 | 0.901 | 0.905 | 0.903 | 0.905 |
| 110 | 45 | 26.5 | 50 | 25 | 10 | 0.7 | 1.000 | 1.000 | 1.000 | 1.000 | 1.000 |
| 270 | 45 | 27 | 109 | 39 | 18 | 0.9 | 1.000 | 1.000 | 1.000 | 1.000 | 1.000 |
| 170 | 55 | 30 | 104 | 48 | 7 | 0.7 | 0.793 | 0.814 | 0.830 | 0.828 | 0.831 |
| 60 | 60 | 27 | 65 | 44 | 13 | 1.0 | 0.711 | 0.710 | 0.754 | 0.752 | 0.751 |
| 35 | 67 | 27 | 109 | 28 | 12 | 1.0 | 0.609 | 0.571 | 0.664 | 0.659 | 0.651 |
| 63 | 35 | 27 | 109 | 28 | 12 | 1.0 | 1.232 | 1.252 | 1.361 | 1.326 | 1.256 |
| 70 | 49 | 27 | 3 | 49 | 25 | 1.0 | 0.905 | 0.941 | 0.921 | 0.920 | 0.922 |
| 58 | 50 | 27 | 5 | 55 | 22 | 1.0 | 0.885 | 0.922 | 0.900 | 0.902 | 0.904 |
| 60 | 48 | 27 | 5 | 54 | 22 | 1.0 | 0.925 | 0.944 | 0.937 | 0.939 | 0.940 |
| 60 | 52 | 27 | 5 | 56 | 22 | 1.0 | 0.847 | 0.930 | 0.865 | 0.868 | 0.869 |
| 40 | 71 | 27 | 50 | 33 | 14 | 1.0 | 0.558 | 0.538 | 0.621 | 0.614 | 0.602 |
| 110 | 50 | 27 | 50 | 25 | 14 | 1.0 | 0.885 | 0.903 | 0.899 | 0.900 | 0.901 |
| 41 | 50 | 27 | 3 | 46 | 24 | 1.0 | 0.885 | 0.899 | 0.900 | 0.902 | 0.904 |
| 41 | 55 | 27 | 3 | 49 | 24 | 1.0 | 0.793 | 0.848 | 0.820 | 0.819 | 0.820 |
| 46 | 55 | 27 | 3 | 50 | 24 | 1.0 | 0.793 | 0.810 | 0.820 | 0.819 | 0.821 |
| 57 | 49 | 27 | 3 | 48 | 24 | 1.0 | 0.905 | 0.909 | 0.921 | 0.921 | 0.922 |
| 57 | 37 | 27 | 3 | 48 | 24 | 1.0 | 1.179 | 1.185 | 1.374 | 1.328 | 1.221 |
| 57 | 40 | 27 | 3 | 48 | 24 | 1.0 | 1.103 | 1.130 | 1.288 | 1.246 | 1.154 |
| 57 | 42 | 27 | 3 | 48 | 24 | 1.0 | 1.056 | 1.083 | 1.235 | 1.198 | 1.113 |
| 27 | 45 | 25 | 0.75 | 100 | 10 | 0 | 1.000 | 1.000 | 1.000 | 1.000 | 1.000 |
| 50 | 60 | 23 | 10 | 30 | 8 | 1.0 | 0.711 | 0.722 | 0.746 | 0.746 | 0.745 |
| 50 | 45 | 27 | 13.5 | 30 | 5 | 0.7 | 1.000 | 1.000 | 1.000 | 1.000 | 1.000 |
| 25 | 45 | 27 | 5.4 | 20 | 20 | 0.7 | 1.000 | 1.000 | 1.000 | 1.000 | 1.000 |
| 5 | 30 | 27 | 2.7 | 10 | 5 | 0.5 | 1.375 | 1.438 | 1.615 | 1.551 | 1.433 |
| 25 | 75 | 25 | 0.625 | 80 | 15 | 0.3 | 0.511 | 0.525 | 0.605 | 0.591 | 0.577 |
| 250 | 60 | 23 | 46 | 50 | 35 | 1.0 | 0.711 | 0.652 | 0.746 | 0.745 | 0.743 |
| B/H | Regression Equations—fβ_B/H | Fitting Degree—R2 |
|---|---|---|
| 0.7 | 35.7 β−0.9091, 30° ≤ β < 45° | 0.9992 |
| 62.2 β−1.082, 45° < β ≤ 90° | 0.9995 | |
| 1.0 | 28.52 β−0.8569, 30° ≤ β < 45° | 0.9997 |
| 2.26 e−0.01849β, 45° < β ≤ 90° | 0.9993 | |
| 1.2 | 26.04 β−0.8355, 30° ≤ β < 45° | 0.9998 |
| 2.301 e−0.01882β, 45° < β ≤ 90° | 0.9996 | |
| 1.5 | 23.91 β−0.816, 30° ≤ β < 45° | 0.9994 |
| 2.342 e−0.01914β, 45° < β ≤ 90° | 0.9998 | |
| 2.0 | 22.38 β−0.8012, 30° ≤ β < 45° | 0.9998 |
| 2.382 e−0.01945β, 45° < β ≤ 90° | 0.9998 | |
| 5.0 | 19.85 β−0.7745, 30° ≤ β < 45° | 0.9999 |
| 2.442 e−0.01994β, 45° < β ≤ 90° | 0.9996 |
| Input Parameters | Case 1 | Case 2 | |
|---|---|---|---|
| β/° | 34 | 60 | |
| GSI | 16 | 37 | |
| mi | 7 | 9.04 | |
| D | 0.7 | 1.0 | |
| σci/MPa | 5.2 | 40 | |
| γ/(kN/m3) | 22.2 | 21 | |
| H/m | 20 | 80 | |
| SR | 11.71 | 23.81 | |
| FoS | Li et al. [6] | 0.90 | 1.13 |
| Shen et al. [11] | 0.95 | 1.22 | |
| Sun et al. [12] | 0.93 | 1.06 | |
| ABAQUS by Sun et al. [12] | 0.97 | 1.14 | |
| Present 3D solutions | B/H = 5.0 from present charts | 0.92 | 0.99 |
| B/H→∞ | 0.89 | 0.98 |
Disclaimer/Publisher’s Note: The statements, opinions and data contained in all publications are solely those of the individual author(s) and contributor(s) and not of MDPI and/or the editor(s). MDPI and/or the editor(s) disclaim responsibility for any injury to people or property resulting from any ideas, methods, instructions or products referred to in the content. |
© 2023 by the authors. Licensee MDPI, Basel, Switzerland. This article is an open access article distributed under the terms and conditions of the Creative Commons Attribution (CC BY) license (https://creativecommons.org/licenses/by/4.0/).
Share and Cite
Xu, J.; Wang, X.; Xie, P.; Wang, R.; Du, D. Effect of Rock Mass Disturbance on Stability of 3D Hoek–Brown Slope and Charts. Buildings 2024, 14, 114. https://doi.org/10.3390/buildings14010114
Xu J, Wang X, Xie P, Wang R, Du D. Effect of Rock Mass Disturbance on Stability of 3D Hoek–Brown Slope and Charts. Buildings. 2024; 14(1):114. https://doi.org/10.3390/buildings14010114
Chicago/Turabian StyleXu, Jingshu, Xinrui Wang, Pengfei Xie, Ruotong Wang, and Dianchun Du. 2024. "Effect of Rock Mass Disturbance on Stability of 3D Hoek–Brown Slope and Charts" Buildings 14, no. 1: 114. https://doi.org/10.3390/buildings14010114
APA StyleXu, J., Wang, X., Xie, P., Wang, R., & Du, D. (2024). Effect of Rock Mass Disturbance on Stability of 3D Hoek–Brown Slope and Charts. Buildings, 14(1), 114. https://doi.org/10.3390/buildings14010114

