Impact of Polypropylene Fiber on the Mechanical and Physical Properties of Pervious Concrete: An Experimental Investigation
Abstract
1. Introduction
2. Materials and Testing Parameters
2.1. Materials
2.2. Mix Ratio and Curing Method
2.3. Experiment Methods
2.3.1. Compressive Strength
2.3.2. Flexural Tensile Strength
2.3.3. Porosity
2.3.4. Permeability
2.3.5. Acid Corrosion
2.3.6. Frost Resistance
2.3.7. Industrial CT Scanning
3. Experiment Results and Discussion
3.1. Physical Properties
3.1.1. Porosity
3.1.2. Permeability Coefficient
3.2. Mechanical Properties
3.2.1. Compressive Strength
3.2.2. Flexural Tensile Strength
3.3. Durability
3.3.1. Influence of Acidic Corrosion on the Cubic Compressive Strength
3.3.2. Influence of Low Temperature on the Cubic Compressive Strength
3.4. The Mesostructure of Pervious Mix
3.5. Analysis on the Relation of Mechanical Properties and Physical Performance
4. Conclusions
- The addition of polypropylene fiber improved the strength performance of the mixtures. Compared to the specimens without polypropylene fiber, the three strength values of samples with a mixing amount of polypropylene of 6 kg/m3 increased by 35.32%, 37.16%, and 13.04%, respectively, indicating that the improvement of strength by fiber is within a certain range.
- The porosity and permeability coefficient decreased with the increase in the mixing amount of polypropylene fiber. These two physical values with a mixing amount of polypropylene of 6 kg/m3 decreased by 36.32 % and 49.30%, respectively. Hence, the physical performance had an inverse relation with the mechanical properties.
- When the acidic corrosion times were 0 d, 20 d, 40 d, and 60 d, the cubic compressive strength with the mixing amount of polypropylene fiber of 6 kg/m3 increased by 30.96%, 17.41%, 15.47%, and 20.87% compared to the control samples, respectively. The change trend of the strength was not related to the addition of fiber.
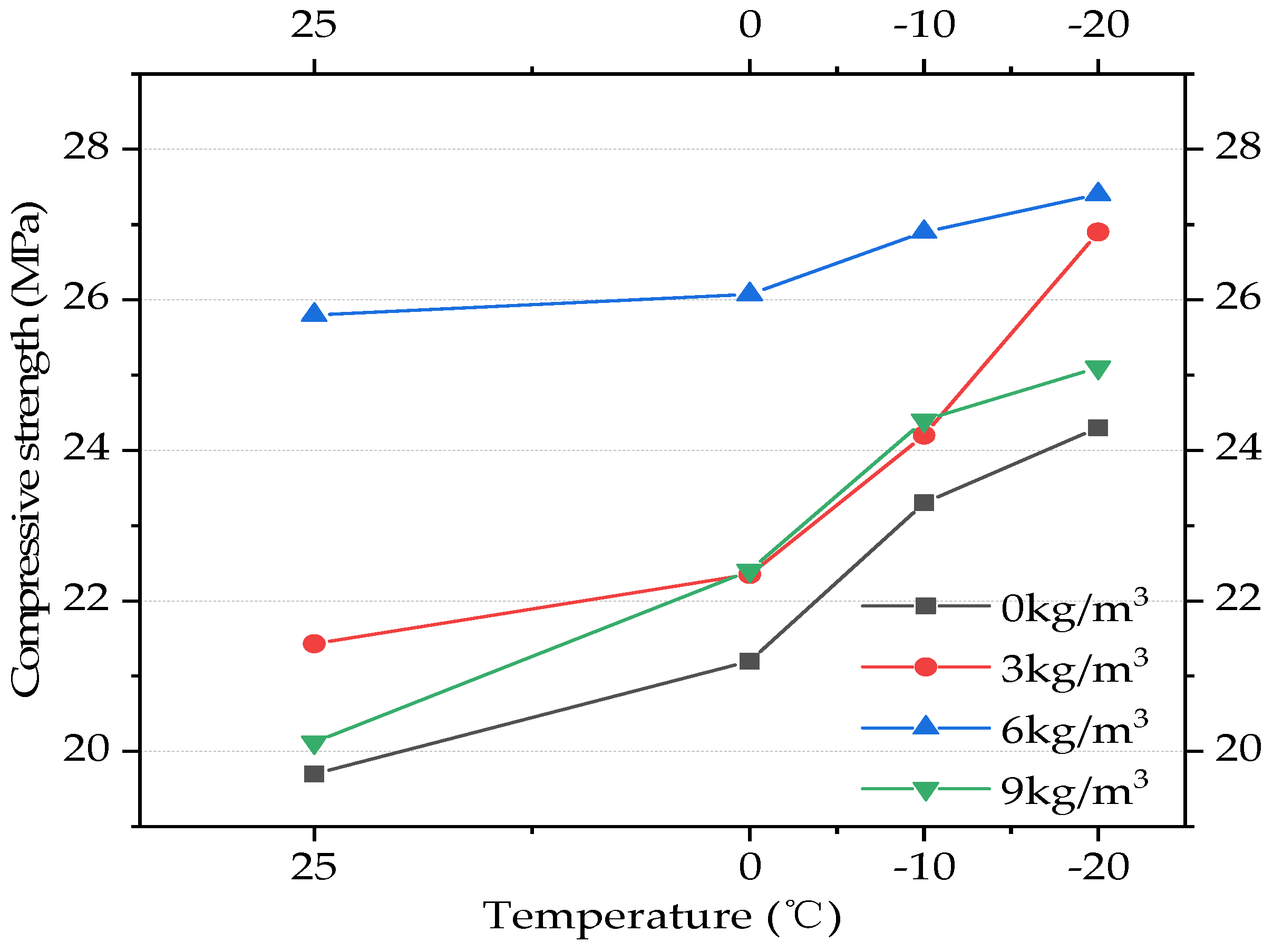
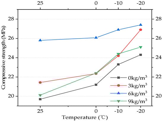
- For the mixing amount of fiber of 6 kg/m3, the cubic compressive strength specimens at temperatures of −20 °C, −10 °C, 0 °C, and 25 °C decreased by 14.17%, 15.45%, 22.97%, and 30.96% compared to the control specimens, respectively. The strength values decreased with the increase in temperature, and the added polypropylene fiber had no effect on the change in trend of strength.
- The mesostructure obtained through the scanning of ICT showed that the polypropylene fiber obviously affected the internal structure of the pervious concrete, thus reducing the porosity and, hence, affecting the characteristics of the pervious mix.
Author Contributions
Funding
Institutional Review Board Statement
Informed Consent Statement
Data Availability Statement
Acknowledgments
Conflicts of Interest
References
- Kiranmaye, B.R.; Tarangini, D.; Reddy, K.R. Effect of glass fiber on properties of pervious concrete. Int. J. Civ. Eng. Technol. 2018, 9, 1344–1355. [Google Scholar]
- Deo, O.; Neithalath, N. Compressive behavior of pervious concretes and a quantification of the influence of random pore structure features. Mater. Sci. Eng. A 2010, 528, 402–412. [Google Scholar] [CrossRef]
- Oni, B.C.; Xia, J.; Liu, M. Mechanical properties of pressure moulded fibre reinforced pervious concrete pavement brick. Case Stud. Constr. Mater. 2020, 13, e00431. [Google Scholar] [CrossRef]
- Zhong, R.; Xu, M.; Netto, R.V.; Wille, K. Influence of pore tortuosity on hydraulic conductivity of Pervious Concrete: Characterization and modeling. Constr. Build. Mater. 2016, 125, 1158–1168. [Google Scholar] [CrossRef]
- Hari, R.; Mini, K. Mechanical and durability properties of basalt-steel wool hybrid fibre reinforced pervious concrete—A Box Behnken approach. J. Build. Eng. 2023, 70, 106307. [Google Scholar] [CrossRef]
- Tang, B.; Fan, M.; Yang, Z.; Sun, Y.; Yuan, L. A comparison study of aggregate carbonation and concrete carbonation for the enhancement of recycled aggregate pervious concrete. Constr. Build. Mater. 2023, 371, 130797. [Google Scholar] [CrossRef]
- Chockalingam, T.; Vijayaprabha, C.; Raj, J.L. Experimental study on size of aggregates, size and shape of specimens on strength characteristics of pervious concrete. Constr. Build. Mater. 2023, 385, 131320. [Google Scholar] [CrossRef]
- Yogesh, R.V.; Santha, G.K.; Ganesh, K.S. Synergistic effect of aggregate gradation band and cement to aggregate ratio on the performance of pervious concrete. J. Build. Eng. 2023, 73, 106718. [Google Scholar]
- Pieralisi, R.; Cavalaro, S.H.P.; Aguado, A. Evolutionary lattice model for the compaction of pervious concrete in the fresh state. Constr. Build. Mater. 2015, 99, 11–25. [Google Scholar] [CrossRef]
- Yu, F.; Guo, J.; Liu, J.; Cai, H.; Huang, Y. A review of the pore structure of pervious concrete: Analyzing method, characterization parameters and the effect on performance. Constr. Build. Mater. 2023, 365, 129971. [Google Scholar] [CrossRef]
- Yogesh, R.V.; Santha, G.K.; Ganesh, K.S. Mixture proportion design of pervious concrete based on the relationships between fundamental properties and skeleton structures. Cem. Concr. Comp. 2020, 113, 103693. [Google Scholar]
- Zhong, R.; Leng, Z.; Poon, C.-S. Research and application of pervious concrete as a sustainable pavement material: A state-of-the-art and state-of-the-practice review. Constr. Build. Mater. 2018, 183, 544–553. [Google Scholar] [CrossRef]
- Liu, R.T.; Sha, H.J.; Yang, F.; Zhang, H.L.; Shi, Q.S. Investigation of the porosity distribution, permeability, and mechanical performance of pervious concretes. Processes 2018, 6, 78. [Google Scholar] [CrossRef]
- Meng, X.Y.; Jiang, Q.H.; Liu, R.Y. Flexural Performance and Toughness Characteristics of Geogrid-Reinforced Pervious Concrete with Different Aggregate Sizes. Materials 2021, 14, 2295. [Google Scholar] [CrossRef]
- Yu, F.; Sun, D.; Wang, J.; Hu, M. Influence of aggregate size on compressive strength of pervious concrete. Constr. Build. Mater. 2019, 209, 463–475. [Google Scholar] [CrossRef]
- Ćosić, K.; Korat, L.; Ducman, V.; Netinger, I. Influence of aggregate type and size on properties of pervious concrete. Constr. Build. Mater. 2015, 78, 69–76. [Google Scholar] [CrossRef]
- Huang, J.L.; Luo, Z.B.; Khan, M.B.E. Impact of aggregate type and size and mineral admixtures on the properties of pervious concrete: An experimental investigation. Constr. Build. Mater. 2020, 265, 120759. [Google Scholar] [CrossRef]
- Neamitha, M.; Supraja, T. Influence of water cement ratio and the size of aggregate on the properties of pervious concrete. Int. Ref. J. Eng. Sci. 2017, 6, 9–16. [Google Scholar]
- Nguyen, D.H.; Sebaibi, N.; Boutouil, M.; Leleyter, L.; Baraud, F. A modified method for the design of pervious concrete mix. Constr. Build. Mater. 2014, 73, 271–282. [Google Scholar] [CrossRef]
- Deo, O.; Neithalath, N. Compressive response of pervious concretes proportioned for desired porosities. Constr. Build. Mater. 2011, 25, 4181–4189. [Google Scholar] [CrossRef]
- Rangelov, M.; Nassiri, S.; Chen, Z.; Russell, M.; Uhlmeyer, J. Quality evaluation tests for pervious concrete pavements’ placement. Int. J. Pavement Res. Technol. 2017, 10, 245–253. [Google Scholar] [CrossRef]
- Song, H.-W.; Pack, S.-W.; Nam, S.-H.; Jang, J.-C.; Saraswathy, V. Estimation of the permeability of silica fume cement concrete. Constr. Build. Mater. 2010, 24, 315–321. [Google Scholar] [CrossRef]
- Seeni, B.S.; Madasamy, M.; Chellapandian, M.; Arunachelam, N. Effect of silica fume on the physical, hydrological and mechanical properties of pervious concrete. Mater. Today 2023, in press. [Google Scholar] [CrossRef]
- Supit, S.W.M.; Pandei, R.W. Effects of metakaolin on compressive strength and permeability properties of pervious cement concrete. J. Teknol. 2019, 81, 33–39. [Google Scholar]
- Zhong, R.; Wille, K. Material design and characterization of high performance pervious concrete. Constr. Build. Mater. 2015, 98, 51–60. [Google Scholar] [CrossRef]
- Adil, G.; Kevern, J.T.; Mann, D. Influence of silica fume on mechanical and durability of pervious concrete. Constr. Build. Mater. 2020, 247, 118453. [Google Scholar] [CrossRef]
- Elavarasan, S.; Priya, A.K.; Bharath, S.; Satheeshkanna, R.; Arunraj, D. Experimental studies on pervious concrete reinforced with polypropylene fiber. Mater. Today 2022, 68, 2280–2283. [Google Scholar] [CrossRef]
- Akand, L.; Yang, M.J.; Wang, X.N. Effectiveness of chemical treatment on polypropylene fibers as reinforcement in pervious concrete. Constr. Build. Mater. 2018, 163, 32–39. [Google Scholar] [CrossRef]
- Al-Hadithi, A.I.; Noaman, A.T.; Mosleh, W.K. Mechanical properties and impact behavior of PET fiber reinforced self-compacting concrete (SCC). Compos. Struct. 2019, 224, 111021. [Google Scholar] [CrossRef]
- Mastali, M.; Dalvand, A. Use of silica fume and recycled steel fibers in self-compacting concrete (SCC). Constr. Build. Mater. 2016, 125, 196–209. [Google Scholar] [CrossRef]
- Liu, J.; Jia, Y.; Wang, J. Experimental study on mechanical and durability properties of glass and polypropylene fiber reinforced concrete. Fiber Polym. 2019, 20, 1900–1908. [Google Scholar] [CrossRef]
- Yuan, Z.; Jia, Y.M. Mechanical properties and microstructure of glass fiber and polypropylene fiber reinforced concrete: An experimental study. Constr. Build. Mater. 2020, 266, 121048. [Google Scholar] [CrossRef]
- Ozel, B.F.; Sakallı, Ş.; Şahin, Y. The effects of aggregate and fiber characteristics on the properties of pervious concrete. Constr. Build. Mater. 2022, 356, 129294. [Google Scholar] [CrossRef]
- Ozturk, O.; Ozyurt, N. Sustainability and cost-effectiveness of steel and polypropylene fiber reinforced concrete pavement mixtures. J. Clean. Prod. 2022, 363, 132582. [Google Scholar] [CrossRef]
- CJJ/T 135-2009; Technical Specification for Pervious Cement Concrete Pavement. China Construction Industry Press: Beijing, China, 2009.
- GB/T 50081-2016; Standard for Test Method of Mechanical Properties on Ordinary Concrete. China Construction Industry Press: Beijing, China, 2016.
- CJJ/T 253-2016; Technical Specification for Application of Pervious Recycled Aggregate Concrete. China Construction Industry Press: Beijing, China, 2016.
- Sandoval, G.F.B.; Galobardes, I.; Teixeira, R.S.; Toralles, B.M. Comparison between the falling head and the constant head permeability tests to assess the permeability coefficient of sustainable Pervious Concretes. Case Stud. Constr. Mater. 2017, 7, 317–328. [Google Scholar] [CrossRef]
- Qin, Y.; Yang, H.; Deng, Z.; He, J. Water permeability of pervious concrete is dependent on the applied pressure and testing methods. Adv. Mater. Sci. Eng. Int. J. 2015, 2015, 404136. [Google Scholar] [CrossRef]
- GB/T 50476-2019; Standard for Design of Concrete Structure Durability. China Construction Industry Press: Beijing, China, 2019.
- Kogbara, R.B.; Iyengar, S.R.; Grasley, Z.C.; Masad, E.A.; Zollinger, D.G. A review of concrete properties at cryogenic temperatures: Towards direct LNG containment. Constr. Build. Mater. 2013, 47, 760–770. [Google Scholar] [CrossRef]
- Lee, G.C.; Shih, T.S.; Chang, K.C. Mechanical properties of concrete at low temperature. J. Cold Reg. Eng. 1988, 2, 13–24. [Google Scholar] [CrossRef]





















| Initial Setting Time (min) | Final Setting Time (min) | Flexural Strength (MPa) | Compressive Strength (MPa) | ||
|---|---|---|---|---|---|
| 3 d | 28 d | 3 d | 28 d | ||
| 255 | 290 | 5.2 | 8.85 | 24.6 | 48.4 |
| Fire-Resistance Temperature (°C) | Volumetric Weight (kg/m3) | Mean Diameter (µm) | Specific Surface Area (m) |
|---|---|---|---|
| 1600 | 1650 | 0.2 | 24 |
| Density (kg/m3) | Tensile Strength (MPa) | Elastic Modulus (GPa) | Length (mm) | Elongation (%) |
|---|---|---|---|---|
| 910 | 280 | 290 | 20 | 17 |
| Aggregate (kg/m3) | Cement (kg/m3) | Water (kg/m3) | Silica Fume (kg/m3) | Water Reducer (kg/m3) | Fiber Content (kg/m3) |
|---|---|---|---|---|---|
| 1617 | 388 | 121 | 25 | 4.13 | - |
| 1617 | 388 | 121 | 25 | 4.13 | 3 |
| 1617 | 388 | 121 | 25 | 4.13 | 6 |
| 1617 | 388 | 121 | 25 | 4.13 | 9 |
| Sectional Dimension of Samples (mm) | Height of Samples (mm) | Pixel Size (μm) | Effective Imaging Area (mm) |
|---|---|---|---|
| ≤300 | ≤500 | 52 | 427 mm × 427 mm |
Disclaimer/Publisher’s Note: The statements, opinions and data contained in all publications are solely those of the individual author(s) and contributor(s) and not of MDPI and/or the editor(s). MDPI and/or the editor(s) disclaim responsibility for any injury to people or property resulting from any ideas, methods, instructions or products referred to in the content. |
© 2023 by the authors. Licensee MDPI, Basel, Switzerland. This article is an open access article distributed under the terms and conditions of the Creative Commons Attribution (CC BY) license (https://creativecommons.org/licenses/by/4.0/).
Share and Cite
Wu, J.; Hu, L.; Hu, C.; Wang, Y.; Zhou, J.; Li, X. Impact of Polypropylene Fiber on the Mechanical and Physical Properties of Pervious Concrete: An Experimental Investigation. Buildings 2023, 13, 1966. https://doi.org/10.3390/buildings13081966
Wu J, Hu L, Hu C, Wang Y, Zhou J, Li X. Impact of Polypropylene Fiber on the Mechanical and Physical Properties of Pervious Concrete: An Experimental Investigation. Buildings. 2023; 13(8):1966. https://doi.org/10.3390/buildings13081966
Chicago/Turabian StyleWu, Jian, Liangjie Hu, Chaoqun Hu, Yuxi Wang, Jian Zhou, and Xue Li. 2023. "Impact of Polypropylene Fiber on the Mechanical and Physical Properties of Pervious Concrete: An Experimental Investigation" Buildings 13, no. 8: 1966. https://doi.org/10.3390/buildings13081966
APA StyleWu, J., Hu, L., Hu, C., Wang, Y., Zhou, J., & Li, X. (2023). Impact of Polypropylene Fiber on the Mechanical and Physical Properties of Pervious Concrete: An Experimental Investigation. Buildings, 13(8), 1966. https://doi.org/10.3390/buildings13081966
