Seismic Assessment of a Single-Column Elevated Station Structure
Abstract
1. Introduction
2. Investigated Structure
2.1. Building Description
2.2. Performance Evaluation
2.3. Numerical Modelling
3. Numerical Analysis of the Structure
3.1. Nonlinear Response-History Analysis
3.1.1. Vibration Characteristics of the Structure
3.1.2. Ground Motion Selection and Scaling
3.2. Seismic Assessment of the Structure
3.2.1. Global Displacement and Inter-Storey Drift Ratio
3.2.2. Component Response
| Index | SFM | SFMN | SFMN/SFM | SFV | SFT | |
|---|---|---|---|---|---|---|
| Seismic Intensity | ||||||
| 8-degree moderate earthquake (PGA = 0.2 g) | 0.75 | 0.71 | 0.95 | 0.28 | 0.05 | |
| 8-degree rare earthquake (PGA = 0.4 g) | 1.37 | 1.30 | 0.95 | 0.44 | 0.11 | |
| 9-degree rare earthquake (PGA = 0.6 g) | 1.46 | 1.42 | 0.97 | 0.66 | 0.16 | |
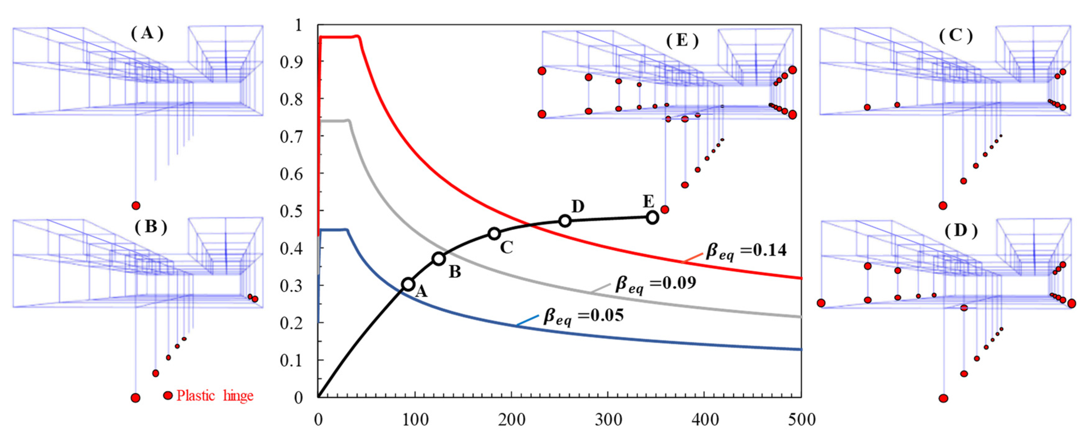
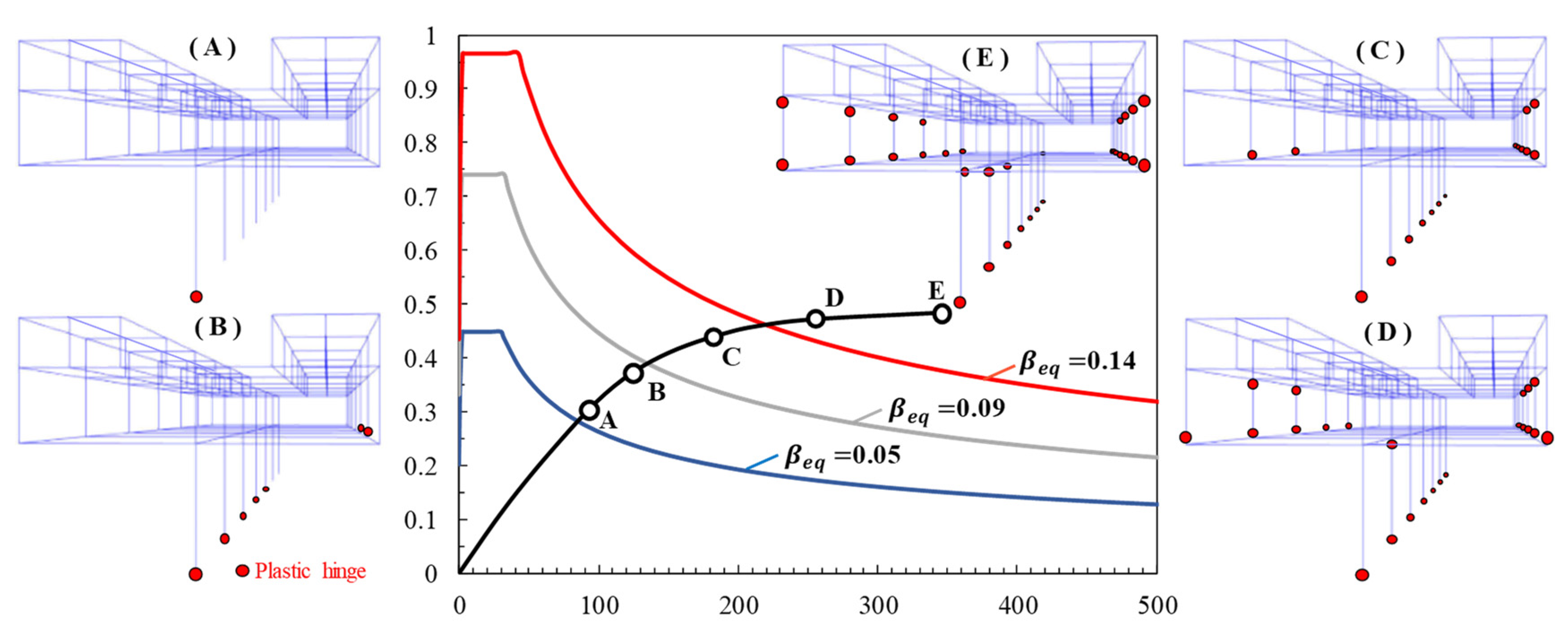
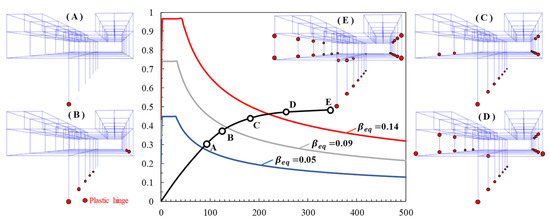
3.2.3. Failure Mechanism and Seismic Performance
3.2.4. Overall Evaluation
3.3. Influence of Vertical Earthquake Motion
4. Nonlinear Static Analysis
4.1. Bidirectional Pushover Analysis
4.2. Global Response
4.3. Load Amplification Factor Adjustment
5. Conclusions
- A composite structure was applied to reduce the component size and realize multiple failure mechanisms in a complex station system. A high-precision finite element simulation was performed based on MSC MARC. NRHA and BPA were performed at 0.2 g, 0.4 g, and 0.6 g PGA. The global displacement, component response, and failure mechanism were analyzed, and the results of the two methods were compared. The effect of vertical earthquake motion was calculated, but the results indicated that it could be neglected;
- The results of NRHA indicated that the single-column elevated station structure satisfied the requirements for earthquake fortification at 0.2 g PGA. However, damage accumulated as the intensity increased, making the structural performance, such as global displacement and internal force of the component, insufficient to meet the performance standards. In terms of the extreme irregularity of the structure, the second mode of the structure showed a noteworthy torsion shape. The torsional behavior caused by the uneven mass and stiffness in both horizontal and vertical directions should be considered in the structural design process. The torsion effect mainly affected the pier column and the cantilever beam, which are in a combined stress state of compression, bending, shear, and torsion. The results indicated that the deformation of the pier column is an important reason for the excessive deformation of the global displacement, and the torsion of the cantilever beam is closely related to the moment of the column on the second floor. Therefore, energy dissipation measures should be taken to reduce the internal force and deformation of the bottom-pier columns and second-floor columns in the process of designation to improve the seismic performance of the structure;
- Nonlinear static analysis was compared with NRHA, and the results of the two methods were consistent in the Y direction. By contrast, a significant variance was observed in the X direction. To eliminate the difference in the transverse direction, the load amplification factor was optimized, and the modified BPA method was proposed. The load amplification factors under different seismic intensities were recommended. The modified BPA is accurate and efficient, making this calculation method significant for practical engineering applications.
Author Contributions
Funding
Data Availability Statement
Conflicts of Interest
References
- Shi, Z.Y.; Huang, X.; Li, X.Y. Structure design of single-column and long cantilever elevated station. Build. Sci. 2018, 34, 130–134. (In Chinese) [Google Scholar] [CrossRef]
- Wei, K.; Xu, Y.Z.; Li, M.T. Study on seismic performance of transverse frame of prefabricated elevated subway station. Structures 2022, 42, 255–267. [Google Scholar] [CrossRef]
- Zhao, J.L. Discussion on the seismic safety of single-column and long cantilever elevated station. Build. Struct. 2012, 42, 79–83. (In Chinese) [Google Scholar]
- Liu, B. Seismic Analysis and Suggestions of Single Pillar and Long Cantilever Elevated Station. Ph.D. Thesis, Chongqing University, Chongquing, China, 2016. [Google Scholar]
- Xu, L.Y.; Nie, J.G.; Ding, R.; Ma, G.; Wang, Y. Design and analysis on composite structural system of single-column elevated station. J. Build. Struct. 2015, 36 (Suppl. S1), 34–41. (In Chinese) [Google Scholar] [CrossRef]
- Xu, L.Y.; Nie, X.; Zhuang, L.D.; Tao, M.X. Seismic performance of composite single-column elevated station with hybrid energy dissipation technique. J. Build. Struct. 2019, 40, 50–62. (In Chinese) [Google Scholar]
- Xu, L.Y.; Nie, X.; Zhuang, L.D. Seismic performance of composite inverted pendulum light railway station. In Proceedings of the IABSE Symposium: Tomorrow’s Megastructures, Nantes, France, 19–21 September 2018; p. S23. [Google Scholar]
- Zhuang, L.D.; Nie, X.; Xu, L.Y. Seismic behavior of highly irregular structures with multiple passive energy dissipation system: Case study of a single-column elevated station. Struct. Des. Tall Spec. Build. 2020, 29, 1713. [Google Scholar] [CrossRef]
- Intekhab, M.S.; Das, S.; Jajnery, M.A.; Akhtar, S.; Sahoo, D.; Saha, P. Analysis Methods of Irregular High-Rise Buildings Subjected to Seismic Loads. J. Vib. Eng. Technol. 2022, 1, 1359–1382. [Google Scholar] [CrossRef]
- Varga, S.; Chiorean, C.G. Refined NSA approach for seismic assessment of regular RC frames. Gradevinar 2017, 69, 1137–1151. [Google Scholar] [CrossRef]
- Fajfar, P. Capacity spectrum method based on inelastic demand spectra. Earthq. Eng. Struct. Dyn. 1999, 28, 979–993. [Google Scholar] [CrossRef]
- Fajfar, P.; Gaspersic, P. The N2 method for the seismic damage analysis of RC buildings. Earthq. Eng. Struct. Dyn. 1996, 25, 31–46. [Google Scholar] [CrossRef]
- Kilar, V.; Fajfar, P. Simple pushover analysis of asymmetric buildings. Earthq. Eng. Struct. Dyn. 1998, 26, 233–249. [Google Scholar] [CrossRef]
- De Stefano, M.; Pintucchi, B. A review of research on seismic behaviour of irregular building structures since 2002. Bull. Earthq. Eng. 2008, 6, 285–308. [Google Scholar] [CrossRef]
- Bhatt, C.; Bento, R. Extension of the CSM-FEMA440 to plan-asymmetric real building structures. Earthq. Eng. Struct. Dyn. 2011, 40, 1263–1282. [Google Scholar] [CrossRef]
- Fajfar, P.; Marusic, D.; Perus, I. Torsional effects in the pushover-based seismic analysis of buildings. J. Earthq. Eng. 2005, 9, 831–854. [Google Scholar] [CrossRef]
- Chopra, A.K.; Goel, R.K. A modal pushover analysis procedure to estimate seismic demands for asymmetric-plan buildings. Earthq. Eng. Struct. Dyn. 2004, 33, 903–927. [Google Scholar] [CrossRef]
- Dolesk, M.; Fajfar, P. Simplified probabilistic seismic performance assessment of plan-asymmetric building. Earthq. Eng. Struct. Dyn. 2007, 36, 2021–2041. [Google Scholar] [CrossRef]
- Kreslin, M.; Fajfar, P. Seismic evaluation of an existing complex RC building. Bull. Earthq. Eng. 2010, 8, 363–385. [Google Scholar] [CrossRef]
- Kreslin, M.; Fajfar, P. The extended N2 method taking into account higher mode effects in elevation. Earthq. Eng. Struct. Dyn. 2011, 40, 1571–1589. [Google Scholar] [CrossRef]
- Lin, J.L.; Tsai, K.C. Seismic analysis of two-way asymmetric building systems under bi-directional seismic ground motions. Earthq. Eng. Struct. Dyn. 2008, 37, 305–328. [Google Scholar] [CrossRef]
- Cimellaro, G.P.; Giovine, T.; Lopez-Garcia, D. Bidirectional Pushover Analysis of Irregular Structures. J. Struct. Eng. 2014, 140, 04014059. [Google Scholar] [CrossRef]
- Cimellaro, G.P. Correlation in spectral accelerations for earthquakes in Europe. Earthq. Eng. Struct. 2013, 42, 623–633. [Google Scholar] [CrossRef]
- Ruggieri, S.; Chatzidaki, A.; Vamvatsikos, D.; Uva, G. Reduced-order models for the seismic assessment of plan-irregular low-rise frame buildings. Earthq. Eng. Struct. Dyn. 2022, 51, 3327–3346. [Google Scholar] [CrossRef]
- Ruggieri, S.; Uva, G. Accounting for the Spatial Variability of Seismic Motion in the Pushover Analysis of Regular and Irregular RC Buildings in the New Italian Building Code. Buildings 2020, 10, 177. [Google Scholar] [CrossRef]
- Wang, S.S.; Lai, J.W.; Schoettler, M.J.; Mahin, S.A. Seismic assessment of existing tall buildings: A case study of a 35-story steel building with pre-northridge connection. Eng. Struct. 2017, 141, 624–633. [Google Scholar] [CrossRef]
- Mouhine, M.; Halali, E. Seismic vulnerability for irregular reinforced concrete buildings with consideration of site effects. Mater. Today Proc. 2022, 58, 1039–1043. [Google Scholar] [CrossRef]
- Mouhine, M.; Hilali, E. Effect of setback irregularity location on the performance of RC building frames under seismic excitation. Arch. Civ. Eng. 2020, 66, 399–412. [Google Scholar] [CrossRef]
- Mouhine, M.; Hilali, E. Seismic vulnerability assessment of RC buildings with setback irregularity. Ain. Shams Eng. J. 2022, 13, 101486. [Google Scholar] [CrossRef]
- Georgiou, A.; Kotakis, S.; Loukidis, D.; Loannou, L. Case Study of Seismic Assessment of a Short Irregular Historic Reinforced Concrete Structure: Time-History Vs. Pushover Nonlinear Methods. J. Earthqu. Eng. 2023, 2023, 2193652. [Google Scholar] [CrossRef]
- Das, P.K.; Dutta, S.C.; Datta, T.K. Seismic Behavior of Plan and Vertically Irregular Structures State of Art and Future Challenges. Nat. Hazards Rev. 2021, 22, 04020062. [Google Scholar] [CrossRef]
- GB 50011-2010; Code for seismic design of buildings. China Architecture and Building Press: Beijing, China, 2010.
- Nie, J.G.; Tao, M.X. Theory of seismic response analysis of steel-concrete composite structures using fiber beam elements. J. Build. Struct. 2011, 32, 1–10. (In Chinese) [Google Scholar]
- Nie, J.G.; Tao, M.X. Application of seismic response analysis of steel-concrete composite structures using fiber beam elements. J. Build. Struct. 2011, 32, 11–20. (In Chinese) [Google Scholar]
- Tao, M.X.; Nie, J.G. Fiber Beam-Column Model Considering Slab Spatial Composite Effect for Non-linear Analysis of Composite Frame Systems. J. Struct. Eng. 2014, 140, 04013039. [Google Scholar] [CrossRef]
- Xu, L.Y.; Nie, X.; Tao, M.X. Rational modeling for cracking behavior of RC slabs in composite beams subjected to a hogging moment. Constr. Build. Mater. 2018, 192, 357–365. [Google Scholar] [CrossRef]
- JGJ 3-2010; Technical Specification for Concrete of Tall Building. China Architecture and Building Press: Beijing, China, 2010.
- Baker, J.W.; Lin, T.; Shahi, S.K.; Jayaram, N. New Ground Motion Selection Procedures and Selected Motions for the PEER Transportation Research Program 2011; PEER Report No. 2011-03; Pacific Earthquake Engineering Research Center, University of California: Berkeley, CA, USA, 2011. [Google Scholar]
- Jayaram, N.; Lin, T.; Baker, J.W. A computationally efficient ground-motionselection algorithm for matching a target response spectrum mean and variance. Earthq. Spectra 2011, 27, 797–815. [Google Scholar] [CrossRef]
- Ye, Y.; Han, L.H.; Tao, Z.; Guo, S.L. Experimental behaviour of concrete-filled steel tubular members under lateral shear loads. J. Constr. Steel Res. 2016, 122, 226–237. [Google Scholar] [CrossRef]
- Applied Technology Council. Seismic Evaluation and Retrofit of Concrete Buildings (ATC-40); California Seismic Safety Commission: West Sacramento, CA, USA, 1996.
- Lopez, O.A.; Chopra, A.K.; Hernandez, J.J. Evaluation of combination rules for maximum response calculation in multicomponent seismic analysis. Earthq. Eng. Struct. Dyn. 2001, 30, 1379–1398. [Google Scholar] [CrossRef]
- Lopez, O.A.; Hernández, J.J.; Bonilla, R.; Fernández, A. Response spectra for multicomponent structural analysis. Earthq. Spectra 2006, 22, 85–113. [Google Scholar] [CrossRef]
- CEN (European Committee for Standardization). Design of Structures for Earthquake Resistance, Part 1: General Rules, Seismic Actions and Rules for Buildings, Eurocode 8; CEN: Brussels, Belgium, 2004. [Google Scholar]














| Member | Category | Dimension(mm) b × h × tw × tf or hs × bf × tw × tf |
|---|---|---|
| C1 | CFRST | 1300 × 2200 × 40 × 40 |
| C2 | CFRST | 1000 × 1400 × 30 × 30 |
| C3 | CFRST | 800 × 800 × 30 × 30 |
| C4 | RST | 500 × 500 × 16 × 16 |
| B1 | CFRST | 1300 × 1400 × 20 × 40 |
| B2 | RST | 1300 × 1400 × 20 × 40 |
| B3 | VRST | 1300 × 1400 (1000) × 20 × 40 |
| B4 | CFRST | 1000 × 1200 × 20 × 28 |
| B5 | RST | 1000 × 1200 × 20 × 28 |
| B6 | IS | 600 × 250 × 14 × 16 |
| B7 | RST | 600 × 1300 × 20 × 30 |
| B8 | RST | 600 × 1300 × 20 × 30 |
| B9 | RST | 400 × 1000 × 14 × 16 |
| B10 | RST | 400 × 1200 × 14 × 16 |
| B11 | IS | 600 × 250 × 14 × 16 |
| B12 | IS | 600 × 250 × 14 × 16 |
| B13 | IS | 600 × 250 × 14 × 16 |
| SB1 | IS | 600 × 300 × 14 × 18 |
| SB2 | IS | 400 × 200 × 12 × 16 |
| SB3 | IS | 400 × 200 × 12 × 16 |
| Material | Mass Density (kg/m3) | Elastic Modulus E (MPa) | Yield Strength fy (MPa) | Compressive Strength σ0 (MPa) | Tensile Strength ft (MPa) |
|---|---|---|---|---|---|
| Steel | 7850 | 206,000 | 345 | -- | -- |
| Rebar | 7850 | 206,000 | 235 | -- | -- |
| C40 concrete | 2440 | 32,500 | -- | 26.8 | 2.39 |
| C30 concrete | 2410 | 30,000 | -- | 20.1 | 2.01 |
| Mode | Period (s) | Mass Participation Ratio (%) | Description |
|---|---|---|---|
| 1 | 0.97 | 51 (TX) 47(RY) | Translation X |
| 2 | 0.69 | 55 (RZ) | In-plane torsion |
| 3 | 0.50 | 94 (TY) | Translation Y |
| 4 | 0.24 | - | Floor local vibration |
| 5 | 0.23 | 41 (TZ) | Translation Z |
| 6 | 0.22 | - | Floor local vibration |
| Seismic Intensity | Story 2 | Story 3 | ||||
|---|---|---|---|---|---|---|
| 8-degree rare earthquake (PGA = 0.4 g) | 1/253 | 1/85 | 34% | 1/132 | 1/65 | 49% |
| 9-degree rare earthquake (PGA = 0.6 g) | 1/215 | 1/65 | 30% | 1/123 | 1/53 | 43% |
| Index | SFV | SFM | |
|---|---|---|---|
| Seismic Intensity | |||
| 8-degree moderate earthquake (PGA = 0.2 g) | 0.21 | 0.57 | |
| 8-degree rare earthquake (PGA = 0.4 g) | 0.27 | 0.67 | |
| 9-degree rare earthquake (PGA = 0.6 g) | 0.30 | 0.70 | |
| Moment | Tcanti | TC1 | Tcanti/TC1 | MB7 | MC3 | Tcanti/MC3 | |
|---|---|---|---|---|---|---|---|
| Seismic Intensity | |||||||
| 8-degree moderate earthquake (PGA = 0.2 g) | 1.85 | 1.11 | 1.66 | 3.70 | 5.55 | 0.33 | |
| 8-degree rare earthquake (PGA = 0.4 g) | 3.70 | 2.40 | 1.54 | 6.66 | 10.36 | 0.36 | |
| 9-degree rare earthquake (PGA = 0.6 g) | 5.88 | 3.39 | 1.73 | 9.41 | 15.29 | 0.38 | |
| Seismic Intensity | C1 | C2 | C3 | C4 | B7–8 | B9–10 |
|---|---|---|---|---|---|---|
| 8-degree rare earthquake (PGA = 0.4 g) | 7 | 0 | 20 | 0 | 0 | 0 |
| 9-degree rare earthquake (PGA = 0.6 g) | 12 | 3 | 26 | 4 | 2 | 2 |
| Index | WO.EZ/W.EZ = R.EZ | |||||
|---|---|---|---|---|---|---|
| Maximum Top Displacement (mm) | Maximum Base Shear (103 kN) | |||||
| Seismic Intensity | X | Y | X | Y | ||
| 8-degree moderate earthquake (PGA = 0.2 g) | 37.2/35.4 = 1.05 | 78.8/80.4 = 0.98 | 4.66/4.60 = 1.01 | 3.79/3.77 = 1.01 | ||
| 8-degree rare earthquake (PGA = 0.4 g) | 72.3/68.6 = 1.05 | 141.8/137.7 = 1.03 | 9.34/9.21 = 1.01 | 7.22/6.94 = 1.04 | ||
| 9-degree rare earthquake (PGA = 0.6 g) | 112.1/105.7 = 1.06 | 199.5/186.7 = 1.07 | 12.2/12.1 = 1.01 | 9.48/8.51 = 1.10 | ||
| Response Index | WO.EZ/W.EZ = R.EZ | ||
|---|---|---|---|
| Seismic Intensity | Maximum Displacement (mm) | Maximum Shear Force (103 kN) | |
| 8-degree moderate earthquake (PGA = 0.2 g) | 109.2/113.4 = 0.96 | 3.33/3.73 = 0.89 | |
| 8-degree rare earthquake (PGA = 0.4 g) | 192.1/210.1 = 0.91 | 4.26/4.92 = 0.87 | |
| 9-degree rare earthquake (PGA = 0.6 g) | 254.1/302.9 = 0.85 | 4.71/5.40 = 0.87 | |
| Seismic Intensity | Load Amplification Factor |
|---|---|
| 8-degree moderate earthquake (PGA = 0.2 g) | 0.72 |
| 8-degree rare earthquake (PGA = 0.4 g) | 0.82 |
| 9-degree rare earthquake (PGA = 0.6 g) | 0.84 |
Disclaimer/Publisher’s Note: The statements, opinions and data contained in all publications are solely those of the individual author(s) and contributor(s) and not of MDPI and/or the editor(s). MDPI and/or the editor(s) disclaim responsibility for any injury to people or property resulting from any ideas, methods, instructions or products referred to in the content. |
© 2023 by the authors. Licensee MDPI, Basel, Switzerland. This article is an open access article distributed under the terms and conditions of the Creative Commons Attribution (CC BY) license (https://creativecommons.org/licenses/by/4.0/).
Share and Cite
Li, Y.-F.; Zhuang, L.-D.; Wu, Z.-H. Seismic Assessment of a Single-Column Elevated Station Structure. Buildings 2023, 13, 1827. https://doi.org/10.3390/buildings13071827
Li Y-F, Zhuang L-D, Wu Z-H. Seismic Assessment of a Single-Column Elevated Station Structure. Buildings. 2023; 13(7):1827. https://doi.org/10.3390/buildings13071827
Chicago/Turabian StyleLi, Yi-Fan, Liang-Dong Zhuang, and Zhen-Hao Wu. 2023. "Seismic Assessment of a Single-Column Elevated Station Structure" Buildings 13, no. 7: 1827. https://doi.org/10.3390/buildings13071827
APA StyleLi, Y.-F., Zhuang, L.-D., & Wu, Z.-H. (2023). Seismic Assessment of a Single-Column Elevated Station Structure. Buildings, 13(7), 1827. https://doi.org/10.3390/buildings13071827
