Evolutionary Mechanism of Government Green Development Behavior in Construction and Demolition Waste Recycling Projects: A Perspective of Ecological Compensation
Abstract
1. Introduction
2. Literature Review
2.1. Externality Theory
2.2. Government Green Development Behavior
2.3. Ecological Compensation
3. Problem Description and Model Assumption
4. Evolutionary Game Model Analysis
4.1. Stability Point Calculation
4.2. Evolutionary Equilibrium Stability Analysis
5. Numerical Simulation and Discussion
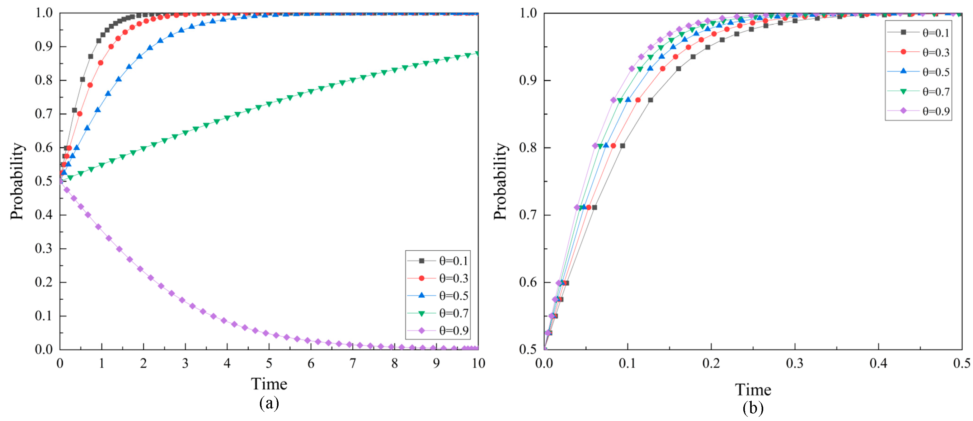
5.1. Effect of Initial Probability on Game Equilibrium
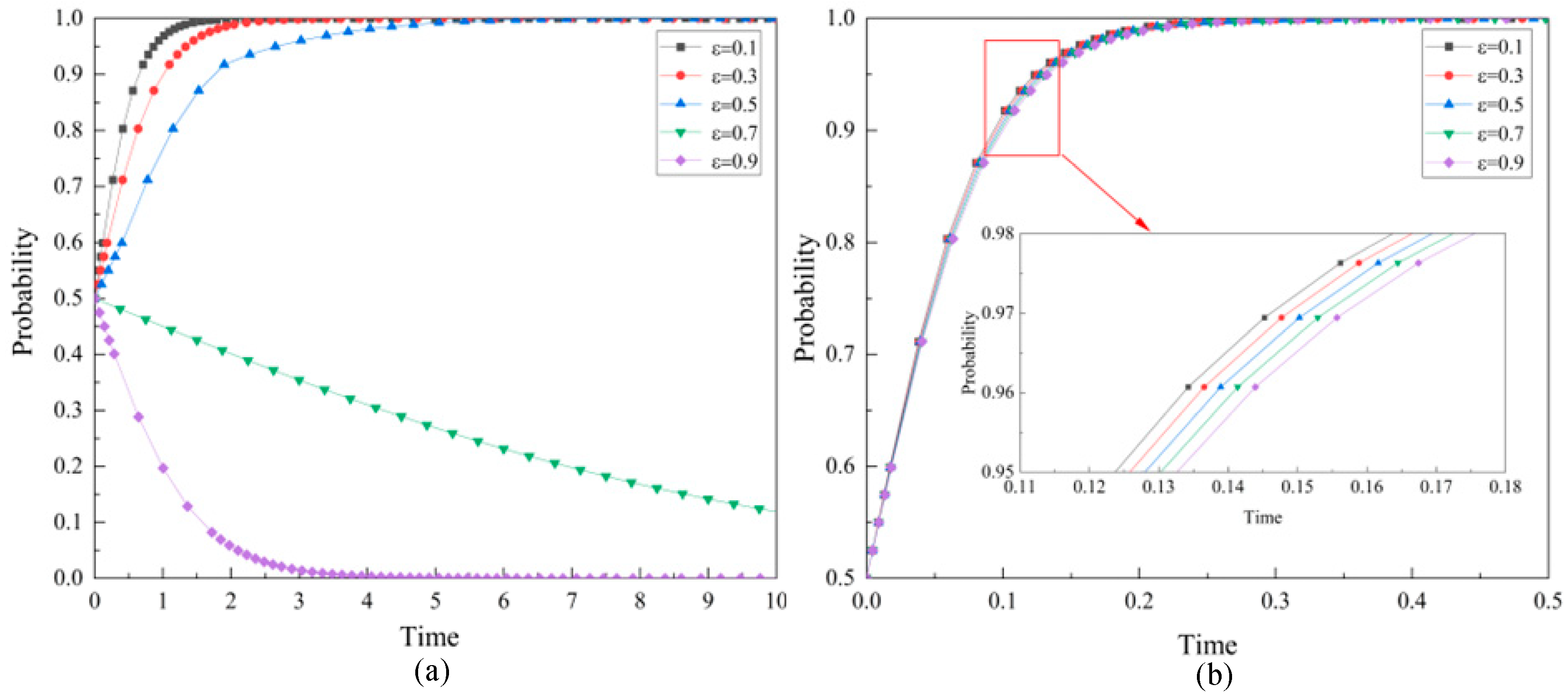
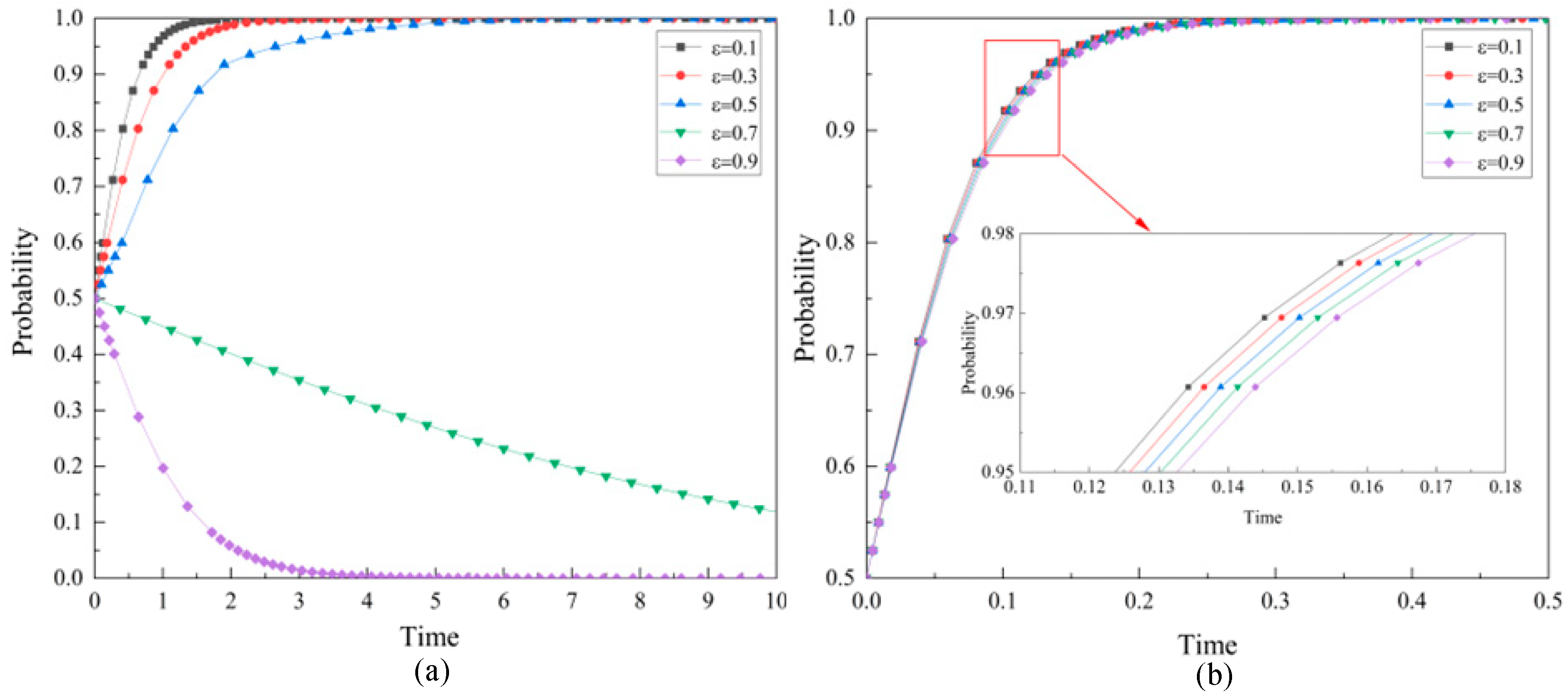
5.2. Effect of the Allocation Coefficient of Ecological Benefits on Game Equilibrium
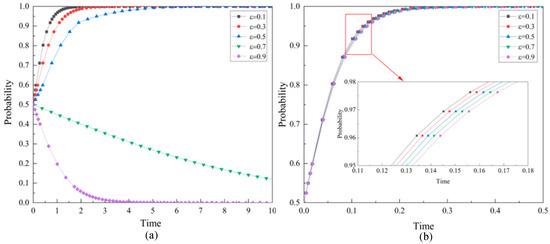
5.3. Effect of the Ecological Compensation Coefficient on Game Equilibrium
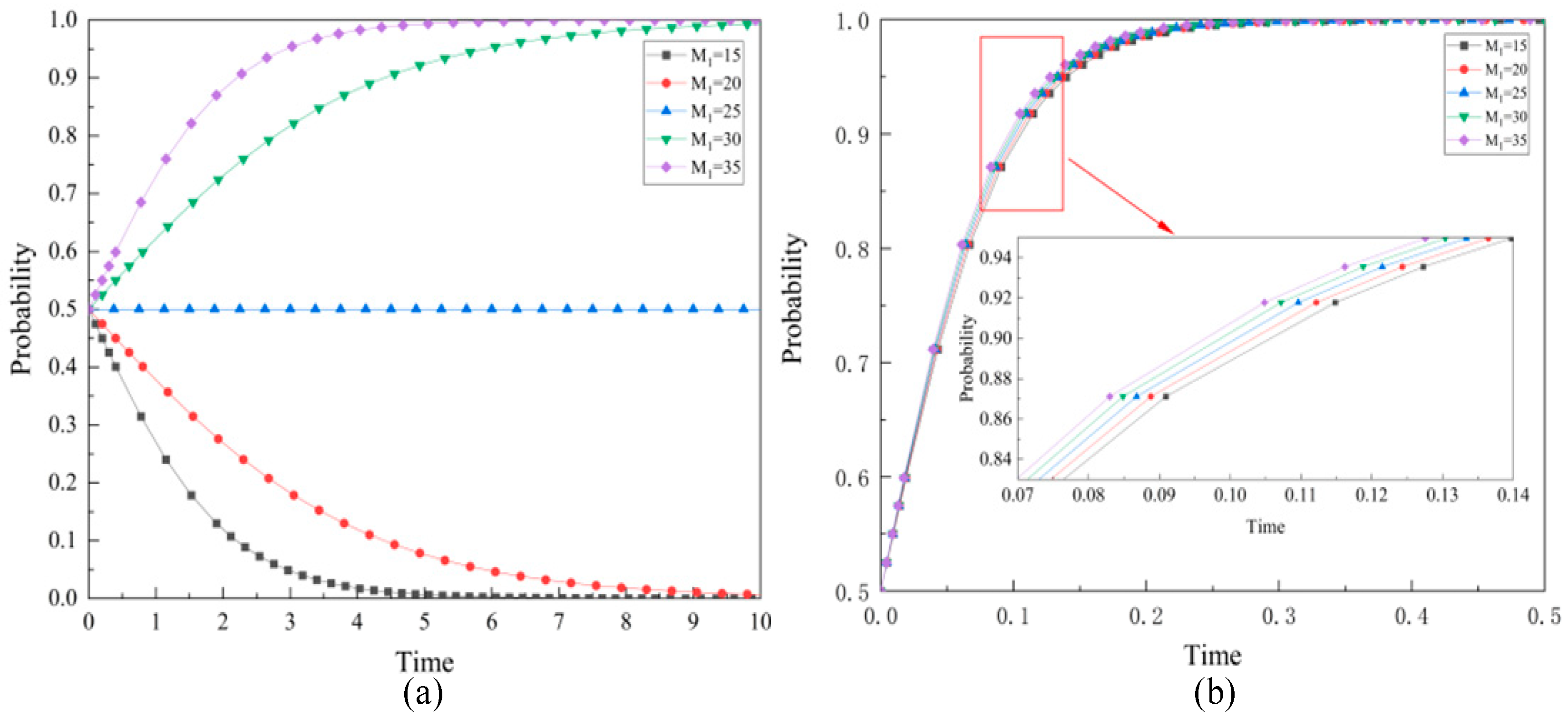
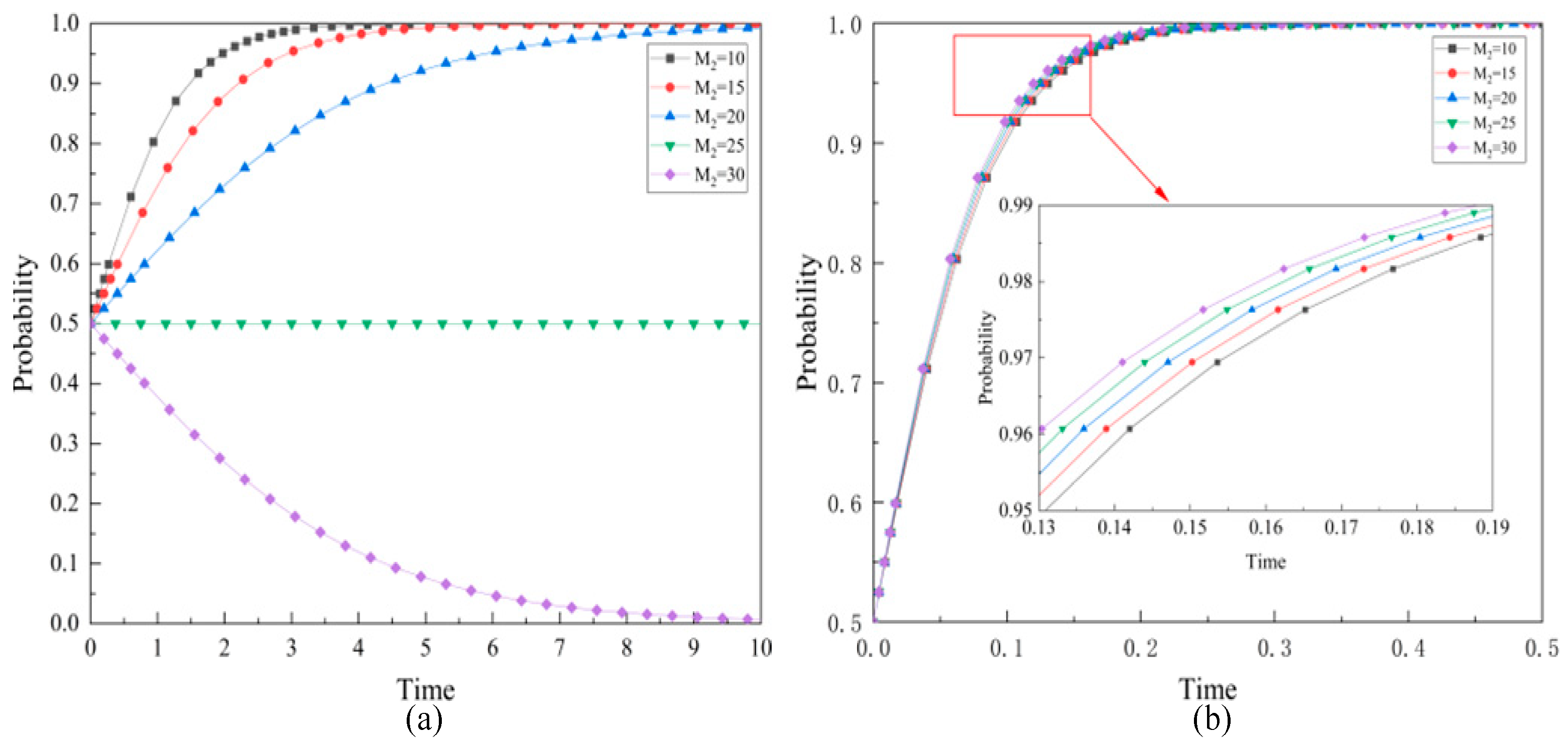
5.4. Effect of Ecological Benefits on Game Equilibrium
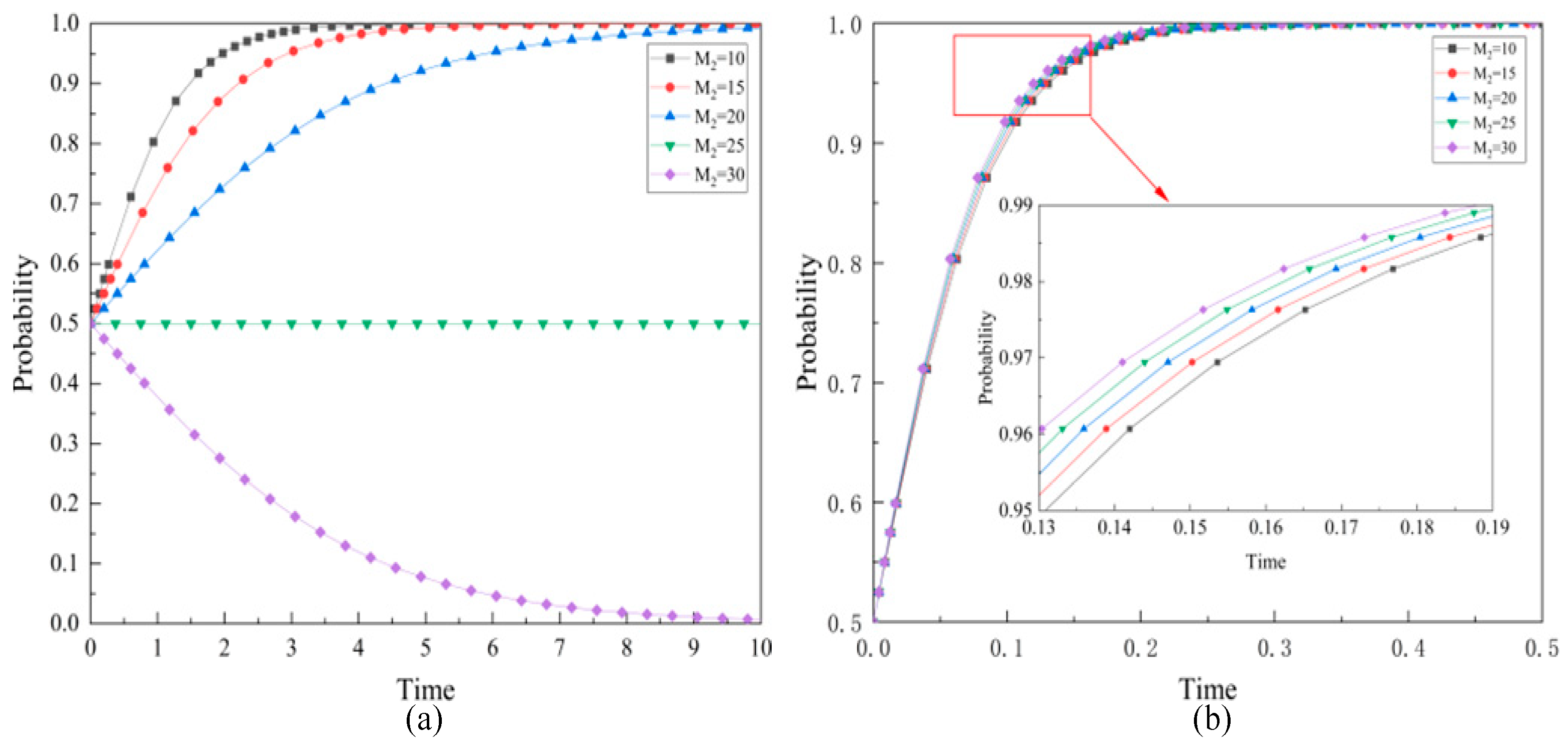
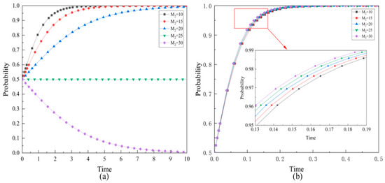
5.5. Effect of Ecological Benefits on the Game Equilibrium
6. Conclusions and Implications
6.1. Conclusions
- (1)
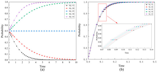
- In the process of CDW cross-regional disposal, the initial probability of different governments adopting green development behavior does not affect the final steady state of the system. Among them, the steady state of the G1 government’s green development behavior is paying ecological compensation, and the steady state of the G2 government’s green development behavior is taking incentive measures to promote CDW resource utilization. However, with the same initial probability of government green development behavior, the time required for the G1 government to reach the steady state is longer than that required for the G2 government to reach the steady state. This may affect the cooperation between the G1 government and the G2 government to manage cross-regional CDW collaboratively.
- (2)
- In the cross-regional treatment of CDW, there is heterogeneity in the influence of the allocation coefficient of ecological benefits and the ecological compensation coefficient on different government green development behaviors. On the one hand, the increase in the allocation coefficient of ecological benefits implies that the ecological benefits gained by the G1 government adopting green development behavior will be reduced, resulting in a lower willingness of the G1 government to participate in ecological compensation mechanisms. However, the larger the allocation coefficient of ecological benefits is, the greater the G2 government tends to realize CDW resource utilization through incentive measures. On the other hand, although the ecological compensation coefficient is not conducive to the adoption of green development behavior by the G1 government, it can effectively promote the adoption of an incentive strategy by the G2 government. That is, an increase in the ecological compensation coefficient will increase the expenditure cost of the G1 government and lead to a change in the G1 government’s strategic choice from paying ecological compensation to not paying ecological compensation. However, the G2 government will eventually reach the same steady state regardless of the size of the ecological compensation coefficient. In addition, the G2 government reaches a steady state in a shorter period of time compared to the G1 government. Therefore, the payment of ecological compensation by the G1 government can effectively promote the green development behavior of the G2 government to adopt incentive measures.
- (3)
- In the process of CDW cross-regional disposal, if the ecological benefits brought by the ecological compensation system are high enough, different governments will actively participate in CDW cross-regional disposal cooperation through green development behavior. However, when only G2 government adopts green development behavior, a free-rider effect may occur, and the ecological benefits will negatively affect G1 government’s green development behaviors.
6.2. Implications
- (1)
- To enhance the effectiveness of the cross-regional treatment of CDW, it is recommended that the different local governments all actively adopt green development behavior. For example, on the one hand, it is suggested that the central government strengthen policy propaganda to raise local governments’ awareness of horizontal ecological compensation. In addition, the central government can also provide incentives for government green development behavior through vertical financial transfer payments and the establishment of special funds to increase the participation of local governments. On the other hand, it is suggested that local governments strengthen communication and coordination between departments and build a platform for information sharing and exchange to increase the willingness of each government to participate in ecological compensation.
- (2)
- To allocate more ecological benefits to both governments that adopt green development behavior, it is suggested that different governments actively realize cross-regional resource utilization of CDW through cross-regional collaboration. Cross-regional collaboration by governments not only improves environmental governance capacity but also helps to produce more environmental benefits and improve regional green development. For example, eight prefecture-level cities in China, including Guangzhou, Shenzhen, and Zhuhai, have successfully achieved balanced cross-regional disposal of CDW [69]. In addition, the government’s ecological compensation efforts should match its financial capacity. On the one hand, it is suggested that the beneficiary government take into account the environmental treatment cost and treatment effectiveness of the ecological reserve and provide moderate compensation to the protection government. On the other hand, to reduce the financial pressure caused by the direct payment of ecological compensation fees, the government should adopt market-oriented and diversified ecological compensation methods. For example, the government can broaden the financing channels of ecological compensation by attracting social capital to enter and purchase ecological products such as CDW recycled materials to promote the development of green industries in protected areas.
- (3)
- It is suggested that the government actively promote CDW resource utilization through green development behavior, such as subsidizing costs, formulating policies, and promoting guidance, to improve ecological and environmental quality and generate more ecological benefits. What needs special attention is that to reduce or avoid the phenomenon of government free riders in the process of cross-regional disposal of CDW, the central government should strengthen the incentives and constraints for local governments. For example, the central government should implement the ecological compensation responsibilities of beneficiary governments by improving the ecological compensation appraisal and evaluation mechanism and increasing rewards and punishments.
Author Contributions
Funding
Institutional Review Board Statement
Informed Consent Statement
Data Availability Statement
Conflicts of Interest
References
- Islam, S.; Islam, J.; Hoque, N.M.R. Improvement of consolidation properties of clay soil using fine-grained construction and demolition waste. Heliyon 2022, 8, e11029. [Google Scholar] [CrossRef] [PubMed]
- Wu, H.; Duan, H.; Wang, J.; Wang, T.; Wang, X. Quantification of carbon emission of construction waste by using streamlined LCA: A case study of Shenzhen, China. J. Mater. Cycles Waste Manag. 2015, 17, 637–645. [Google Scholar] [CrossRef]
- Prakash, R.; Thenmozhi, R.; Raman, S.N.; Subramanian, C. Characterization of eco-friendly steel fiber-reinforced concrete containing waste coconut shell as coarse aggregates and fly ash as partial cement replacement. Struct. Concr. 2020, 21, 437–447. [Google Scholar] [CrossRef]
- Ma, L.; Zhang, L. Evolutionary game analysis of construction waste recycling management in China. Resour. Conserv. Recycl. 2020, 161, 104863. [Google Scholar] [CrossRef]
- Liu, Y.; Hao, J.; Li, C.; Li, Y.; Zhou, C.; Zheng, H.; Xu, S.; Chen, W.; Li, X. How Can Construction and Demolition Waste Recycling Public-Private Partnership Projects Performance Compensate during the Operation Period? A Two-Stage Perspective of Recycling and Remanufacturing. Systems 2023, 11, 170. [Google Scholar] [CrossRef]
- He, L.; Yuan, H.; Wu, H. Collaborative mechanism for promoting the cross-regional management of construction and demolition waste. J. Clean. Prod. 2022, 372, 133706. [Google Scholar] [CrossRef]
- Zheng, H.; Li, X.; Zhu, X.; Huang, Y.; Liu, Z.; Liu, Y.; Liu, J.; Li, X.; Li, Y.; Li, C. Impact of Recycler Information Sharing on Supply Chain Performance of Construction and Demolition Waste Resource Utilization. Int. J. Environ. Res. Public Health 2022, 19, 3878. [Google Scholar] [CrossRef]
- Li, X.; Dai, J.; Zhu, X.; He, J.; Li, J.; Liu, X.; Huang, Y.; Shen, Q. What Is the Mechanism of Government Green Development Behavior Considering Multi-Agent Interaction? A Meta-Analysis. Int. J. Environ. Res. Public Health 2022, 19, 8263. [Google Scholar] [CrossRef]
- Chen, G.; Wei, B.; Zhu, R. The impact of environmental subsidy on the performance of corporate environmental responsibility: Evidence from China. Front. Environ. Sci. 2022, 10, 972328. [Google Scholar] [CrossRef]
- Akhtar, R.; Sultana, S.; Masud, M.M.; Jafrin, N.; Al-Mamun, A. Consumers’ environmental ethics, willingness, and green consumerism between lower and higher income groups. Resour. Conserv. Recycl. 2021, 168, 105274. [Google Scholar] [CrossRef]
- Fu, Y.; Dong, N.; Ge, Q.; Xiong, F.; Gong, C. Driving-paths of green buildings industry (GBI) from stakeholders’ green behavior based on the network analysis. J. Clean. Prod. 2020, 273, 122883. [Google Scholar] [CrossRef]
- Wu, L.; Ma, T.; Bian, Y.; Li, S.; Yi, Z. Improvement of regional environmental quality: Government environmental governance and public participation. Sci. Total Environ. 2020, 717, 137265. [Google Scholar] [CrossRef] [PubMed]
- Promoting Green Development and Building a Beautiful China—A Series of Press Conferences on the Theme of “China in This Decade” Focus on the Achievements of Ecological Civilization in the New Era. Available online: https://www.gov.cn/xinwen/2022-09/16/content_5710157.htm (accessed on 30 May 2023).
- Zhou, C.; He, J.; Li, Y.; Chen, W.; Zhang, Y.; Zhang, H.; Xu, S.; Li, X. Green Independent Innovation or Green Imitation Innovation? Supply Chain Decision-Making in the Operation Stage of Construction and Demolition Waste Recycling Public-Private Partnership Projects. Systems 2023, 11, 94. [Google Scholar] [CrossRef]
- Ding, Z.; Zhu, M.; Wu, Z.; Fu, Y.; Liu, X. Combining AHP-Entropy Approach with GIS for Construction Waste Landfill Selection-A Case Study of Shenzhen. Int. J. Environ. Res. Public Health 2018, 15, 2254. [Google Scholar] [CrossRef] [PubMed]
- Barbudo, A.; Ayuso, J.; Lozano, A.; Cabrera, M.; Lopez-Uceda, A. Recommendations for the management of construction and demolition waste in treatment plants. Environ. Sci. Pollut. Res. 2020, 27, 125–132. [Google Scholar] [CrossRef] [PubMed]
- Han, Y.; Zheng, H.; Huang, Y.; Li, X. Considering Consumers’ Green Preferences and Government Subsidies in the Decision Making of the Construction and Demolition Waste Recycling Supply Chain: A Stackelberg Game Approach. Buildings 2022, 12, 832. [Google Scholar] [CrossRef]
- Ortiz, C.; Alvarado, R.; Mendez, P.; Flores-Chamba, J. Environmental impact of the shadow economy, globalisation, and human capital: Capturing spillovers effects using spatial panel data approach. J. Environ. Manag. 2022, 308, 114663. [Google Scholar] [CrossRef]
- Nguyen, H.G.; Nguyen, D.T.; Nghiem, H.T.; Tran, V.C.; Kato, A.; Matsuno, A.; Isobe, Y.; Kawasaki, M.; Kawamoto, K. Current Management Condition and Waste Composition Characteristics of Construction and Demolition Waste Landfills in Hanoi of Vietnam. Sustainability 2021, 13, 10148. [Google Scholar] [CrossRef]
- Tan, R.; Jin, H.; Yu, M.; Yang, J.; Zhang, J. Research on Construction Waste Recycling Subsidy Model Considering Contractor’s Environmental Awareness. Sustainability 2023, 15, 2333. [Google Scholar] [CrossRef]
- Yu, B.; Xu, L. Review of ecological compensation in hydropower development. Renew. Sust. Energ. Rev. 2016, 55, 729–738. [Google Scholar] [CrossRef]
- Chen, W.Y. Environmental externalities of urban river pollution and restoration: A hedonic analysis in Guangzhou (China). Landsc. Urban Plan. 2017, 157, 170–179. [Google Scholar] [CrossRef]
- Du, Z.; Zhu, X.; Shan, W. External Diseconomy Theory and Environmental Management: Optimal Taxation Model in China Marine Management. J. Coast. Res. 2020, 109, 174–180. [Google Scholar] [CrossRef]
- Bithas, K. Sustainability and externalities: Is the internalization of externalities a sufficient condition for sustainability? Ecol. Econ. 2011, 70, 1703–1706. [Google Scholar] [CrossRef]
- Eidelwein, F.; Collatto, D.C.; Rodrigues, L.H.; Lacerda, D.P.; Piran, F.S. Internalization of environmental externalities: Development of a method for elaborating the statement of economic and environmental results. J. Clean. Prod. 2018, 170, 1316–1327. [Google Scholar] [CrossRef]
- Deng, H.; Zheng, P.; Liu, T.; Liu, X. Forest Ecosystem Services and Eco-Compensation Mechanisms in China. Environ. Manag. 2011, 48, 1079–1085. [Google Scholar] [CrossRef]
- Luo, J.; Huang, M.; Bai, Y. Promoting green development of agriculture based on low-carbon policies and green preferences: An evolutionary game analysis. Environ. Dev. Sustain. 2023. Published online. [Google Scholar] [CrossRef]
- Li, X.; Li, J.; Huang, Y.; He, J.; Liu, X.; Dai, J.; Shen, Q. Construction enterprises’ adoption of green development behaviors: An agent-based modeling approach. Hum. Soc. Sci. Commun. 2022, 9, 244. [Google Scholar] [CrossRef]
- Pillay, Y.P.; Buschke, F.T. Misaligned environmental governance indicators and the mismatch between government actions and positive environmental outcomes. Environ. Sci. Policy 2020, 112, 374–380. [Google Scholar] [CrossRef]
- Li, X.; Dai, J.; Li, J.; He, J.; Liu, X.; Huang, Y.; Shen, Q. Research on the Impact of Enterprise Green Development Behavior: A Meta-Analytic Approach. Behav. Sci. 2022, 12, 35. [Google Scholar] [CrossRef]
- Farley, J.; Costanza, R. Payments for ecosystem services: From local to global. Ecol. Econ. 2010, 69, 2060–2068. [Google Scholar] [CrossRef]
- Luo, W.; Bai, H.; Jing, Q.; Liu, T.; Xu, H. Urbanization-induced ecological degradation in Midwestern China: An analysis based on an improved ecological footprint model. Resour. Conserv. Recycl. 2018, 137, 113–125. [Google Scholar] [CrossRef]
- Jiang, Y.; Guan, D.; He, X.; Yin, B.; Zhou, L.; Sun, L.; Huang, D.; Li, Z.; Zhang, Y. Quantification of the coupling relationship between ecological compensation and ecosystem services in the Yangtze River Economic Belt, China. Land Use Policy 2022, 114, 105995. [Google Scholar] [CrossRef]
- Yi, Y.; Wei, Z.; Fu, C. A Differential Game of Transboundary Pollution Control and Ecological Compensation in a River Basin. Complexity 2020, 2020, 6750805. [Google Scholar] [CrossRef]
- Gao, X.; Shen, J.; He, W.; Sun, F.; Zhang, Z.; Guo, W.; Zhang, X.; Kong, Y. An evolutionary game analysis of governments’ decision-making behaviors and factors influencing watershed ecological compensation in China. J. Environ. Manag. 2019, 251, 109592. [Google Scholar] [CrossRef] [PubMed]
- Lv, C.; Xu, X.; Guo, X.; Feng, J.; Yan, D. Basin water ecological compensation interval accounting based on dual perspectives of supply and consumption: Taking Qingyi River Basin as an example. J. Clean. Prod. 2023, 385, 135610. [Google Scholar] [CrossRef]
- Wang, K.; Ou, M.; Wolde, Z. Regional Differences in Ecological Compensation for Cultivated Land Protection: An Analysis of Chengdu, Sichuan Province, China. Int. J. Environ. Res. Public Health 2020, 17, 8242. [Google Scholar] [CrossRef] [PubMed]
- Hou, L.; Xia, F.; Chen, Q.; Huang, J.; He, Y.; Rose, N.; Rozelle, S. Grassland ecological compensation policy in China improves grassland quality and increases herders’ income. Nat. Commun. 2021, 12, 4683. [Google Scholar] [CrossRef]
- Sun, J.; Ruze, N.; Zhang, J.; Shi, J.; Shen, B. Capacity planning and optimization for integrated energy system in industrial park considering environmental externalities. Renew. Energy 2021, 167, 56–65. [Google Scholar] [CrossRef]
- Pajewski, T.; Malak-Rawlikowska, A.; Golebiewska, B. Measuring regional diversification of environmental externalities in agriculture and the effectiveness of their reduction by EU agri-environmental programs in Poland. J. Clean. Prod. 2020, 276, 123013. [Google Scholar] [CrossRef]
- Shao, Z.; Li, M.; Yu, D. Bibliometric analysis of construction and demolition waste recycling and utilization: Review and prospect. Proc. Inst. Civ. Eng.-Eng. Sustain. 2022, 175, 283–292. [Google Scholar] [CrossRef]
- Sun, Y.; Gu, Z. Implementation of Construction Waste Recycling under Construction Sustainability Incentives: A Multi-Agent Stochastic Evolutionary Game Approach. Sustainability 2022, 14, 3702. [Google Scholar] [CrossRef]
- Li, X.; He, J.; Huang, Y.; Li, J.; Liu, X.; Dai, J. Predicting the factors influencing construction enterprises’ adoption of green development behaviors using artificial neural network. Hum. Soc. Sci. Commun. 2022, 9, 238. [Google Scholar] [CrossRef]
- Li, X.; Dai, J.; Zhu, X.; Li, J.; He, J.; Huang, Y.; Liu, X.; Shen, Q. Mechanism of attitude, subjective norms, and perceived behavioral control influence the green development behavior of construction enterprises. Hum. Soc. Sci. Commun. 2023, 10, 266. [Google Scholar] [CrossRef]
- Busch, J.; Ring, I.E.; Akullo, M.; Amarjargal, O.; Borie, M.; Cassola, R.S.; Cruz-Trinidad, A.; Droste, N.; Haryanto, J.T.; Kasymov, U.; et al. A global review of ecological fiscal transfers. Nat. Sustain. 2021, 4, 756–765. [Google Scholar] [CrossRef]
- Qu, Q.; Tsai, S.B.; Tang, M.; Xu, C.; Dong, W. Marine Ecological Environment Management Based on Ecological Compensation Mechanisms. Sustainability 2016, 8, 1267. [Google Scholar] [CrossRef]
- Vaissiere, A.C.; Meinard, Y. A policy framework to accommodate both the analytical and normative aspects of biodiversity in ecological compensation. Biol. Conserv. 2021, 253, 108897. [Google Scholar] [CrossRef]
- Cai, Z.; Yang, X. Research on Restoration of Heavy Metal Contaminated Farmland Based on Restoration Ecological Compensation Mechanism. Sustainability 2023, 15, 5210. [Google Scholar] [CrossRef]
- Zhai, T.; Wu, L.; Chen, Y.; Nazir, M.; Chang, M.; Ma, Y.; Cai, E.; Ding, G.; Zhao, C.; Li, L.; et al. Ecological Compensation in the Context of Carbon Neutrality: A Case Involving Service Production-Transmission and Distribution-Service Consumption. Land 2022, 11, 2321. [Google Scholar] [CrossRef]
- Zhao, Y.; Wu, F.; Li, F.; Chen, X.; Xu, X.; Shao, Z. Ecological Compensation Standard of Trans-Boundary River Basin Based on Ecological Spillover Value: A Case Study for the Lancang-Mekong River Basin. Int. J. Environ. Res. Public Health 2021, 18, 1251. [Google Scholar] [CrossRef]
- Li, M.; Lu, S.; Li, W. Stakeholders’ ecological-economic compensation of river basin: A multi-stage dynamic game analysis. Resour. Policy 2022, 79, 103083. [Google Scholar] [CrossRef]
- Jiang, K.; You, D.; Li, Z.; Shi, S. A differential game approach to dynamic optimal control strategies for watershed pollution across regional boundaries under eco-compensation criterion. Ecol. Indic. 2019, 105, 229–241. [Google Scholar] [CrossRef]
- Wu, Z.; Yu, A.T.W.; Shen, L. Investigating the determinants of contractor’s construction and demolition waste management behavior in Mainland China. Waste Manag. 2017, 60, 290–300. [Google Scholar] [CrossRef] [PubMed]
- Liu, J.; Teng, Y. Evolution game analysis on behavioral strategies of multiple stakeholders in construction waste resource industry chain. Environ. Sci. Pollut. Res. 2023, 30, 19030–19046. [Google Scholar] [CrossRef]
- Chu, Z.; Bian, C.; Yang, J. How can public participation improve environmental governance in China? A policy simulation approach with multi-player evolutionary game. Environ. Impact Assess. Rev. 2022, 95, 106782. [Google Scholar] [CrossRef]
- Wang, W.; You, X.; Liu, K.; Wu, Y.; You, D. Implementation of a Multi-Agent Carbon Emission Reduction Strategy under the Chinese Dual Governance System: An Evolutionary Game Theoretical Approach. Int. J. Environ. Res. Public Health 2020, 17, 8463. [Google Scholar] [CrossRef]
- Zheng, S.; Yu, L. The government’s subsidy strategy of carbon-sink fishery based on evolutionary game. Energy 2022, 254, 124282. [Google Scholar] [CrossRef]
- Lu, Z.; Wu, X.; Zhang, S.; Li, J.; Cai, F.; Xu, R. A study of ecological compensation in watersheds based on the three-way decisions theory. J. Clean. Prod. 2022, 368, 133166. [Google Scholar] [CrossRef]
- Li, J.; Jiang, S. How can governance strategies be developed for marine ecological environment pollution caused by sea-using enterprises?-A study based on evolutionary game theory. Ocean Coast. Manag. 2023, 232, 106447. [Google Scholar] [CrossRef]
- Ding, Z.; Yi, G.; Tam, V.W.Y.; Huang, T. A system dynamics-based environmental performance simulation of construction waste reduction management in China. Waste Manag. 2016, 51, 130–141. [Google Scholar] [CrossRef]
- Wang, L.; Pan, F.; Li, Y. Evolutionary Game Strategies Analysis of Economic Development and Environmental Protection between Local Governments under Central Supervision Mechanism in China. Sustainability 2022, 14, 12498. [Google Scholar] [CrossRef]
- Chu, Z.; Bian, C.; Yang, J. Joint prevention and control mechanism for air pollution regulations in China: A policy simulation approach with evolutionary game. Environ. Impact Assess. Rev. 2021, 91, 106668. [Google Scholar] [CrossRef]
- Jiang, K.; Zhang, X.; Wang, Y. Stability and influencing factors when designing incentive-compatible payments for watershed services: Insights from the Xin’an River Basin, China. Mar. Policy 2021, 134, 104824. [Google Scholar] [CrossRef]
- Chen, J.; Hua, C.; Liu, C. Considerations for better construction and demolition waste management: Identifying the decision behaviors of contractors and government departments through a game theory decision-making model. J. Clean. Prod. 2019, 212, 190–199. [Google Scholar] [CrossRef]
- Wang, Q.; Wang, N.; Wang, H.; Xiu, Y. Study on Influencing Factors and Simulation of Watershed Ecological Compensation Based on Evolutionary Game. Sustainability 2022, 14, 3374. [Google Scholar] [CrossRef]
- Wang, Y.; Wu, X.; Shen, J.; Chi, C.; Gao, X. Analysis on Decision-Making Changes of Multilevel Governments and Influencing Factors in Watershed Ecological Compensation. Complexity 2021, 2021, 6860754. [Google Scholar] [CrossRef]
- Shen, J.; Gao, X.; He, W.; Sun, F.; Zhang, Z.; Kong, Y.; Wan, Z.; Zhang, X.; Li, Z.; Wang, J.; et al. Prospect theory in an evolutionary game: Construction of watershed ecological compensation system in Taihu Lake Basin. J. Clean. Prod. 2021, 291, 125929. [Google Scholar] [CrossRef]
- Zhang, M.; Li, H.; Song, Y.; Li, C. Study on the heterogeneous government synergistic governance game of haze in China. J. Environ. Manag. 2019, 248, 109318. [Google Scholar] [CrossRef]
- Provincial Housing and Urban-Rural Development Department Held a Symposium on Cross-Regional Balanced Disposal of Construction and Demolition Waste. Available online: http://zfcxjst.gd.gov.cn/xwzx/zxdt/content/post_3462043.html#:~:text=%E6%8E%92%E6%94%BE%E5%9C%B0%E8%A6%81%E5%88%87%E5%AE%9E%E6%8B%85%E8%B4%9F,%E7%9B%91%E7%AE%A1%E5%92%8C%E5%A6%A5%E5%96%84%E5%A4%84%E7%BD%AE%E3%80%82 (accessed on 4 July 2023).






| Research Topics | Dimensions | Sosurce Papers |
|---|---|---|
| Externality theory | Positive environmental externalities | [22] |
| Negative environmental externalities | [23] | |
| Internalization of environmental externalities | [24,25,26] | |
| Government green development behavior | The driving role of policies and regulations | [27,28] |
| Environmental regulation mechanism | [29,30] | |
| The mechanism of government green development behavior | [8] | |
| Ecological compensation | The role of ecological compensation | [21,31] |
| Determination of ecological compensation standards | [32,33,34,35] | |
| Research background of ecological compensation | [36,37,38] |
| Parameter | Parameter Description |
|---|---|
| Base cost of G1 government cross-regional disposal of CDW. | |
| Additional costs for G1 government adoption of ecological compensation. | |
| Additional costs for G2 government adoption of ecological compensation. | |
| Cost when G2 government adopts incentive strategy. | |
| Cost when G2 government does not adopt incentive strategy. | |
| Reputation gained when G2 government adopts incentive strategy. | |
| Environmental losses when G2 government does not adopt incentive strategy. | |
| The overall ecological benefits when G1 government compensates and G2 government adopts the incentive strategy. | |
| The overall ecological benefits when G1 government does not compensate and G2 government adopts the incentive strategy. | |
| The weight coefficient of ecological environment in local government performance appraisal. | |
| Ecological compensation coefficient (0 < < 1). | |
| The allocation coefficient of ecological benefits of G2 government. (0 < < 1). | |
| The amount of incentives given by the central government when the G1 government pays ecological compensation. | |
| Green subsidies given by the central government when the G2 government adopts incentive strategy. | |
| Environmental loss spillover coefficient. |
| G1 Government | |||
|---|---|---|---|
| Payment of Ecological Compensation | No Payment of Ecological Compensation | ||
| G2 government | Incentive No incentive | ||
| Point | |
|---|---|
| (0,0) | |
| (0,1) | |
| (1,0) | |
| (1,1) | |
| Point | |
|---|---|
| (0,0) | |
| (0,1) | |
| (1,0) | |
| (1,1) | |
| 0 |
| Point | ||||||
|---|---|---|---|---|---|---|
| Stability | Stability | |||||
| (0,0) | + | - | ESS | + | - | ESS |
| (0,1) | - | ? | Saddle point | + | + | Unstable point |
| (1,0) | + | + | Unstable point | - | ? | Saddle point |
| - | ? | Saddle point | ||||
| (1,1) | - | ? | Saddle point | - | ? | Saddle point |
| + | + | Unstable point | ||||
| Point | ||||||
|---|---|---|---|---|---|---|
| Stability | Stability | |||||
| (0,0) | - | ? | Saddle point | + | + | Unstable point |
| (0,1) | + | - | ESS | + | - | ESS |
| (1,0) | + | + | Unstable point | - | ? | Saddle point |
| (1,1) | - | ? | Saddle point | - | ? | Saddle point |
| Point | ||||||
|---|---|---|---|---|---|---|
| Stability | Stability | |||||
| (0,0) | - | ? | Saddle point | - | ? | Saddle point |
| (0,1) | - | ? | Saddle point | + | + | Unstable point |
| (1,0) | + | - | ESS | + | - | ESS |
| (1,1) | + | + | Unstable point | - | ? | Saddle point |
| Point | ||||||
|---|---|---|---|---|---|---|
| Stability | Stability | |||||
| (0,0) | - | ? | Saddle point | - | ? | Saddle point |
| + | + | Unstable point | ||||
| (0,1) | - | ? | Saddle point | + | + | Unstable point |
| (1,0) | + | + | Unstable point | - | ? | Saddle point |
| - | ? | Saddle point | ||||
| (1,1) | + | - | ESS | + | - | ESS |
| Point | |||
|---|---|---|---|
| Stability | |||
| (0,0) | + | - | ESS |
| (0,1) | + | + | Unstable point |
| (1,0) | + | + | Unstable point |
| (1,1) | + | - | ESS |
| Point | |||
|---|---|---|---|
| Stability | |||
| (0,0) | - | ? | Saddle point |
| (0,1) | - | ? | Saddle point |
| (1,0) | - | ? | Saddle point |
| (1,1) | - | ? | Saddle point |
Disclaimer/Publisher’s Note: The statements, opinions and data contained in all publications are solely those of the individual author(s) and contributor(s) and not of MDPI and/or the editor(s). MDPI and/or the editor(s) disclaim responsibility for any injury to people or property resulting from any ideas, methods, instructions or products referred to in the content. |
© 2023 by the authors. Licensee MDPI, Basel, Switzerland. This article is an open access article distributed under the terms and conditions of the Creative Commons Attribution (CC BY) license (https://creativecommons.org/licenses/by/4.0/).
Share and Cite
Chen, W.; Yin, W.; Yi, B.; Xu, S.; Zhang, H.; Li, X. Evolutionary Mechanism of Government Green Development Behavior in Construction and Demolition Waste Recycling Projects: A Perspective of Ecological Compensation. Buildings 2023, 13, 1762. https://doi.org/10.3390/buildings13071762
Chen W, Yin W, Yi B, Xu S, Zhang H, Li X. Evolutionary Mechanism of Government Green Development Behavior in Construction and Demolition Waste Recycling Projects: A Perspective of Ecological Compensation. Buildings. 2023; 13(7):1762. https://doi.org/10.3390/buildings13071762
Chicago/Turabian StyleChen, Weihong, Wenjun Yin, Beiyu Yi, Shiqi Xu, Hao Zhang, and Xingwei Li. 2023. "Evolutionary Mechanism of Government Green Development Behavior in Construction and Demolition Waste Recycling Projects: A Perspective of Ecological Compensation" Buildings 13, no. 7: 1762. https://doi.org/10.3390/buildings13071762
APA StyleChen, W., Yin, W., Yi, B., Xu, S., Zhang, H., & Li, X. (2023). Evolutionary Mechanism of Government Green Development Behavior in Construction and Demolition Waste Recycling Projects: A Perspective of Ecological Compensation. Buildings, 13(7), 1762. https://doi.org/10.3390/buildings13071762

