Structural Performance of Strengthening of High-Performance Geopolymer Concrete Columns Utilizing Different Confinement Materials: Experimental and Numerical Study
Abstract
1. Introduction
2. Experimental Study Procedure
2.1. Materials and GP Mixture
2.1.1. GP Concrete
2.1.2. Steel Tube
2.1.3. CFRP Sheet
2.1.4. PVC Tube
2.2. Test Specimens
2.3. Specimen Preparation
2.4. Testing Setup and Instrumentation
3. Results and Discussion
3.1. Mode of Failure
3.2. Load–Displacement Characteristics
3.3. Stress–Strain Curves
4. Finite Element Type
4.1. Finite Element Type
4.2. Boundary Conditions and Loading Application
4.3. Material Modeling
| Material | Parameters | Values | Denotation |
|---|---|---|---|
| Concrete | 0.15 | Widely used in FE modeling | |
| 26,587.2 MPa | ACI 318M-11 [72] | ||
| 38° | Calibrated value | ||
| 0.1 | ABAQUS (default value) [73] | ||
| 1.16 | ABAQUS (default value) [73] | ||
| 0.7 | ABAQUS (default value) [73] | ||
| Steel | 0.3 | Widely used in FE modeling | |
| 200,000 MPa | Widely used in FE modeling | ||
| 285 MPa | Experimental Value | ||
| 406 MPa | Experimental Value | ||
| PVC | 0.38 | Widely used in FE modeling | |
| 3000 MPa | Wang and Yang [74] | ||
| 45 MPa | Wang and Yang [74] | ||
| CFRP sheet | 0.3 | Widely used in FE modeling | |
| Tensile strength (longitudinal: | 1122 MPa | Experimental Value | |
| 230,000 MPa | Given by the manufacturer | ||
| 10 MPa | Al-Mekhlafi et al. [73] | ||
| Compressive strength (longitudinal: | 10 MPa | ||
| Compressive strength (transversal: | 10 MPa | ||
| Shear strength (longitudinal: | 10 MPa | ||
| Shear strength (transversal: | 10 MPa |
4.4. Modelling of FE Contacts
4.5. Meshing Convergence
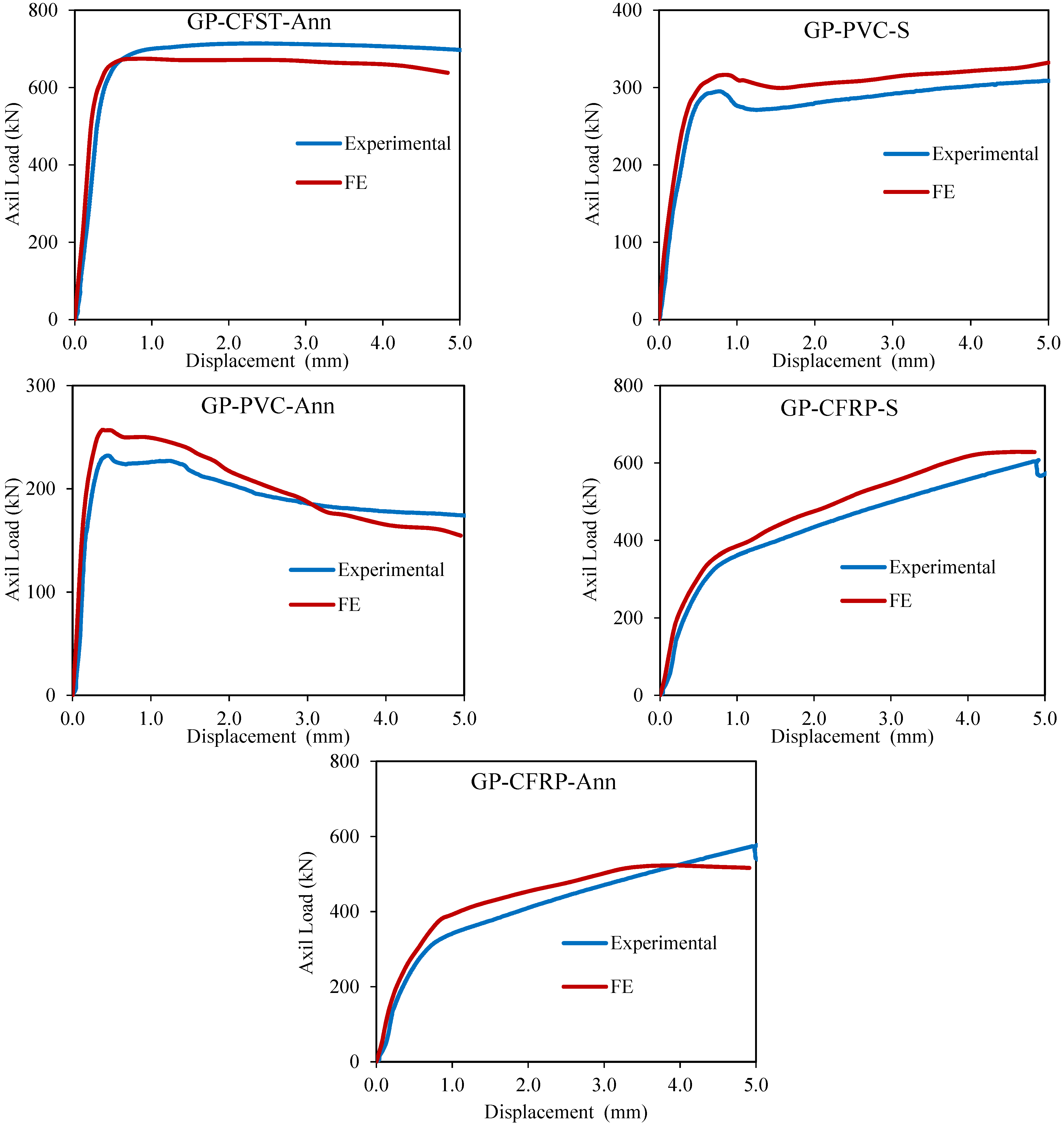
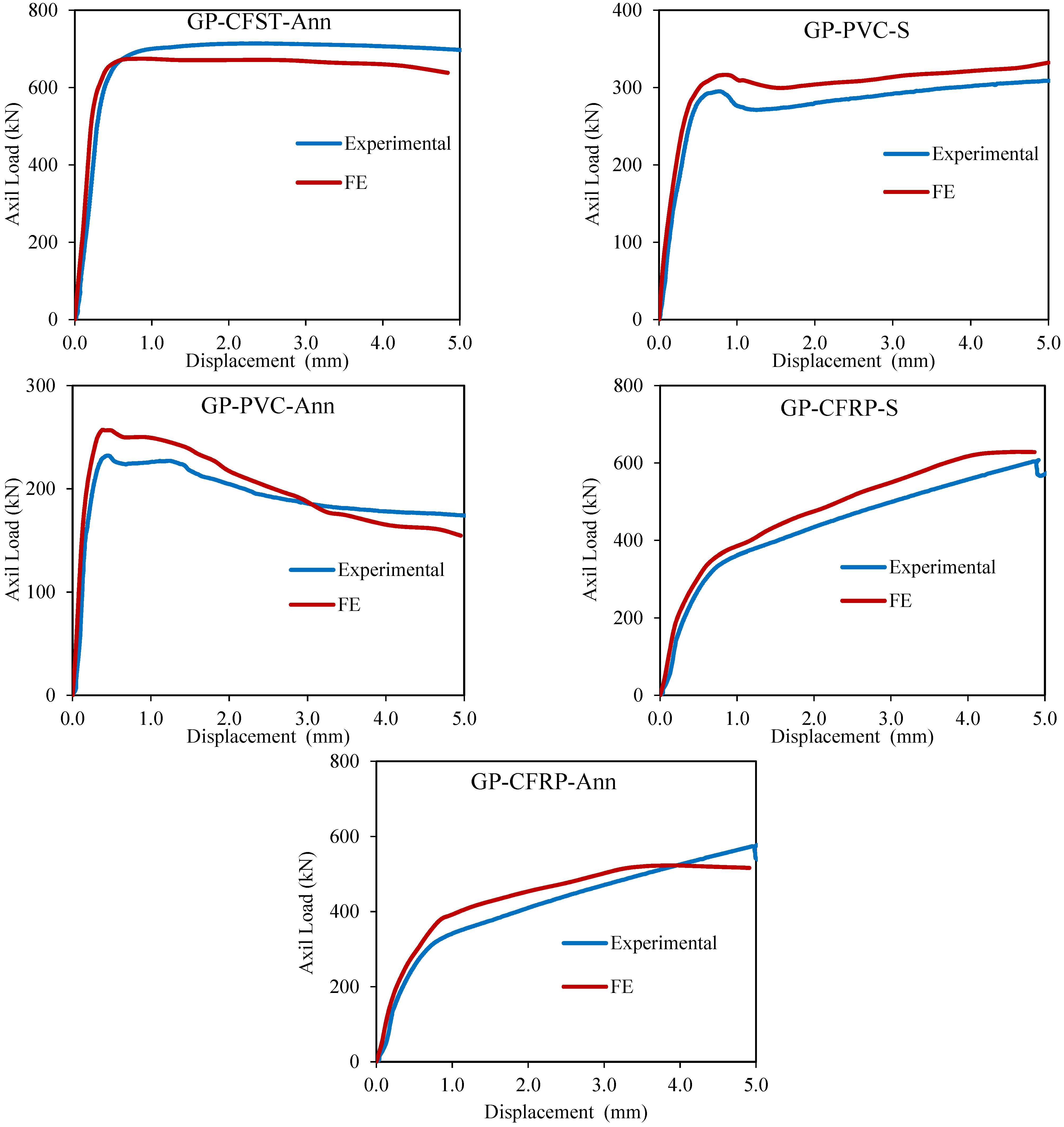
4.6. FE Modeling Validation
5. Conclusions
- The outer steel tube had a higher confinement influence on the concrete core compared to the PVC tube and CFRP sheet. The CFST column exhibited the greatest axial strength capacity, with a ratio increase of up to 254.7%.
- Inward local buckling of the inner steel tube was observed in all specimens, impacting the effectiveness of the concrete core and resulting in an underutilized yield capacity for the inner steel tube.
- The inclusion of inner steel tubes decreased the axial load capabilities of the columns. Compared to GP-CFST-S, GP-PVC-S, and GP-CFRP-S, the decreased ratios for GP-CFST-Ann, GP-PVC-Ann, and GP-CFRP-Ann were 6.9%, 25.1%, and 5.0%, respectively.
- PVC tubes, despite producing less confinement, distributed stress caused by the expansion of the concrete core, reducing stress concentration due to asymmetrical cracking. However, the substantial deformation and bulging of PVC tubes made it challenging to absorb a sufficient amount of energy from the crushing and dilatation of the concrete core.
- The failure of the GP-CFRP-S specimen showed an abrupt and explosive nature. A CFRP fracture on the compression edge was the primary cause of the failure. The ringed rupture of the GP-CFRP-S column is related to the delamination of a substantial CFRP layer from the concrete surface.
- The predicted deformation forms and load–displacement curves of the FE models are reasonably similar to the experimental results. The modeling results substantially supported the reliability of the FE models, making them acceptable for generating additional predictions.
Funding
Data Availability Statement
Conflicts of Interest
References
- Liu, Z.; Lu, Y.; Li, N.; Zong, S. Experimental investigation and computational simulation of slender self-stressing concrete-filled steel tube columns. J. Build. Eng. 2022, 48, 103893. [Google Scholar] [CrossRef]
- Khan, M.; Chu, S.H.; Deng, X.W.; Wang, Y. Protection of steel tube against corrosion using self-prestressing UHPC prepared with expansive agent and steel fibers. Structures 2022, 37, 95–108. [Google Scholar] [CrossRef]
- Abadel, A.; Abbas, H.; Almusallam, T.; Alshaikh, I.M.H.; Khawaji, M.; Alghamdi, H.; Salah, A.A. Experimental study of shear behavior of CFRP strengthened ultra-high-performance fiber-reinforced concrete deep beams. Case Stud. Constr. Mater. 2022, 16, e01103. [Google Scholar] [CrossRef]
- Raouf, S.; Ibraheem, O.; Tais, A. Confinement effectiveness of CFRP strengthened concrete cylinders subjected to high temperatures. Adv. Concr. Constr. 2020, 9, 7. [Google Scholar] [CrossRef]
- Zhou, X.; Mou, T.; Tang, H.; Fan, B. Experimental Study on Ultrahigh Strength Concrete Filled Steel Tube Short Columns under Axial Load. Adv. Mater. Sci. Eng. 2017, 2017, 8410895. [Google Scholar] [CrossRef]
- Xu, L.; Lu, Q.; Chi, Y.; Yang, Y.; Yu, M.; Yan, Y. Axial compressive performance of UHPC filled steel tube stub columns containing steel-polypropylene hybrid fiber. Constr. Build. Mater. 2019, 204, 754–767. [Google Scholar] [CrossRef]
- Fan, W.; Shen, D.; Zhang, Z.; Huang, X.; Shao, X. A novel UHPFRC-based protective structure for bridge columns against vehicle collisions: Experiment, simulation, and optimization. Eng. Struct. 2020, 207, 110247. [Google Scholar] [CrossRef]
- Heniegal, A.M.; Maaty, A.A.E.S.; Agwa, I.S. Simulation of the behavior of pressurized underwater concrete. Alex. Eng. J. 2015, 54, 183–195. [Google Scholar] [CrossRef]
- Jiang, X.; Zhang, Y.; Zhang, Y.; Ma, J.; Xiao, R.; Guo, F.; Bai, Y.; Huang, B. Influence of size effect on the properties of slag and waste glass-based geopolymer paste. J. Clean. Prod. 2023, 383, 135428. [Google Scholar] [CrossRef]
- Althoey, F.; Zaid, O.; Alsulamy, S.; Martínez-García, R.; de Prado-Gil, J.; Arbili, M.M. Experimental study on the properties of ultra-high-strength geopolymer concrete with polypropylene fibers and nano-silica. PLoS ONE 2023, 18, e0282435. [Google Scholar] [CrossRef]
- Liu, Y.; Zhang, Z.; Shi, C.; Zhu, D.; Li, N.; Deng, Y. Development of ultra-high performance geopolymer concrete (UHPGC): Influence of steel fiber on mechanical properties. Cem. Concr. Compos. 2020, 112, 103670. [Google Scholar] [CrossRef]
- Liu, Y.; Shi, C.; Zhang, Z.; Li, N.; Shi, D. Mechanical and fracture properties of ultra-high performance geopolymer concrete: Effects of steel fiber and silica fume. Cem. Concr. Compos. 2020, 112, 103665. [Google Scholar] [CrossRef]
- Ghosh, R.; Sagar, S.P.; Kumar, A.; Gupta, S.K.; Kumar, S. Estimation of geopolymer concrete strength from ultrasonic pulse velocity (UPV) using high power pulser. J. Build. Eng. 2018, 16, 39–44. [Google Scholar] [CrossRef]
- Ambily, P.S.; Ravisankar, K.; Umarani, C.; Dattatreya, J.K.; Iyer, N.R. Development of ultra-high-performance geopolymer concrete. Mag. Concr. Res. 2014, 66, 82–89. [Google Scholar] [CrossRef]
- Tayeh, B.A.; Akeed, M.H.; Qaidi, S.; Bakar, B.H.A. Influence of microsilica and polypropylene fibers on the fresh and mechanical properties of ultra-high performance geopolymer concrete (UHP-GPC). Case Stud. Constr. Mater. 2022, 17, e01367. [Google Scholar] [CrossRef]
- Xiao, R.; Huang, B.; Zhou, H.; Ma, Y.; Jiang, X. A state-of-the-art review of crushed urban waste glass used in OPC and AAMs (geopolymer): Progress and challenges. Clean. Mater. 2022, 4, 100083. [Google Scholar] [CrossRef]
- Liew, K.M.; Sojobi, A.O.; Zhang, L.W. Green concrete: Prospects and challenges. Constr. Build. Mater. 2017, 156, 1063–1095. [Google Scholar] [CrossRef]
- Ge, X.; Hu, X.; Shi, C. Mechanical properties and microstructure of circulating fluidized bed fly ash and red mud-based geopolymer. Constr. Build. Mater. 2022, 340, 127599. [Google Scholar] [CrossRef]
- Althoey, F.; Zaid, O.; Alsharari, F.; Yosri, A.M.; Isleem, H.F. Evaluating the impact of nano-silica on characteristics of self-compacting geopolymer concrete with waste tire steel fiber. Arch. Civ. Mech. Eng. 2022, 23, 48. [Google Scholar] [CrossRef]
- Aslam, F.; Zaid, O.; Althoey, F.; Alyami, S.H.; Qaidi, S.M.A.; de Prado Gil, J.; Martínez-García, R. Evaluating the influence of fly ash and waste glass on the characteristics of coconut fibers reinforced concrete. Struct. Concr. 2023, 24, 2440–2459. [Google Scholar] [CrossRef]
- Althoey, F.; Zaid, O.; Majdi, A.; Alsharari, F.; Alsulamy, S.; Arbili, M.M. Effect of fly ash and waste glass powder as a fractional substitute on the performance of natural fibers reinforced concrete. Ain Shams Eng. J. 2023, 102247. [Google Scholar] [CrossRef]
- Alrshoudi, F.; Abbas, H.; Abadel, A.; Albidah, A.; Altheeb, A.; Al-Salloum, Y. Compression behavior and modeling of FRP-confined high strength geopolymer concrete. Constr. Build. Mater. 2021, 283, 122759. [Google Scholar] [CrossRef]
- Wei, Y.; Jiang, C.; Wu, Y.F. Confinement effectiveness of circular concrete-filled steel tubular columns under axial compression. J. Constr. Steel Res. 2019, 158, 15–27. [Google Scholar] [CrossRef]
- Han, L.H.; Li, W.; Bjorhovde, R. Developments and advanced applications of concrete-filled steel tubular (CFST) structures: Members. J. Constr. Steel Res. 2014, 100, 211–228. [Google Scholar] [CrossRef]
- Shi, X.S.; Wang, Q.Y.; Zhao, X.L.; Collins, F.G. Structural behaviour of geopolymeric recycled concrete filled steel tubular columns under axial loading. Constr. Build. Mater. 2015, 81, 187–197. [Google Scholar] [CrossRef]
- Lu, Y.; Li, N.; Li, S. Behavior of FRP-confined concrete-filled steel tube columns. Polymers 2014, 6, 1333–1349. [Google Scholar] [CrossRef]
- Abadel, A.A.; Khan, M.I.; Masmoudi, R. Experimental and numerical study of compressive behavior of axially loaded circular ultra-high-performance concrete-filled tube columns. Case Stud. Constr. Mater. 2022, 17, e01376. [Google Scholar] [CrossRef]
- Ombres, L.; Mazzuca, P.; Verre, S. Effects of Thermal Conditioning at High Temperatures on the Response of Concrete Elements Confined with a PBO-FRCM Composite System. J. Mater. Civ. Eng. 2021, 34, 04021413. [Google Scholar] [CrossRef]
- Zaid, O.; Mukhtar, F.M.; M-García, R.; El Sherbiny, M.G.; Mohamed, A.M. Characteristics of high-performance steel fiber reinforced recycled aggregate concrete utilizing mineral filler. Case Stud. Constr. Mater. 2022, 16, e00939. [Google Scholar] [CrossRef]
- Zaid, O.; Martínez-García, R.; Abadel, A.A.; Fraile-Fernández, F.J.; Alshaikh, I.M.H.; Palencia-Coto, C. To determine the performance of metakaolin-based fiber-reinforced geopolymer concrete with recycled aggregates. Arch. Civ. Mech. Eng. 2022, 22, 114. [Google Scholar] [CrossRef]
- Maglad, A.M.; Zaid, O.; Arbili, M.M.; Ascensão, G.; Șerbănoiu, A.A.; Grădinaru, C.M.; García, R.M.; Qaidi, S.M.A.; Althoey, F.; de Prado-Gil, J. A Study on the Properties of Geopolymer Concrete Modified with Nano Graphene Oxide. Buildings 2022, 12, 1066. [Google Scholar] [CrossRef]
- Althoey, F.; Zaid, O.; de-Prado-Gil, J.; Palencia, C.; Ali, E.; Hakeem, I.; Martínez-García, R. Impact of sulfate activation of rice husk ash on the performance of high strength steel fiber reinforced recycled aggregate concrete. J. Build. Eng. 2022, 54, 104610. [Google Scholar] [CrossRef]
- Jiang, C. Strength enhancement due to FRP confinement for coarse aggregate-free concretes. Eng. Struct. 2023, 277, 115370. [Google Scholar] [CrossRef]
- Zhou, W.; Feng, P.; Yang, J.Q. Advances in coral aggregate concrete and its combination with FRP: A state-of-the-art review. Adv. Struct. Eng. 2020, 24, 1161–1181. [Google Scholar] [CrossRef]
- Abadel, A.; Abbas, H.; Albidah, A.; Almusallam, T.; Al-Salloum, Y. Effectiveness of GFRP strengthening of normal and high strength fiber reinforced concrete after exposure to heating and cooling. Eng. Sci. Technol. Int. J. 2022, 36, 101147. [Google Scholar] [CrossRef]
- Zhong, Y.; Jiang, K.; Zhao, O. Post-fire behaviour and capacity of high strength concrete-filled high strength steel tube (HCFHST) stub columns under combined compression and bending. Eng. Struct. 2022, 253, 113837. [Google Scholar] [CrossRef]
- Ekmekyapar, T.; Alwan, O.H.; Hasan, H.G.; Shehab, B.A.; AL-Eliwi, B.J.M. Comparison of classical, double skin and double section CFST stub columns: Experiments and design formulations. J. Constr. Steel Res. 2019, 155, 192–204. [Google Scholar] [CrossRef]
- Phan, D.H.H.; Patel, V.I.; Liang, Q.Q.; Al Abadi, H.; Thai, H.-T. Numerical investigations of circular double-skin steel tubular slender beam-columns filled with ultra-high-strength concrete. Eng. Struct. 2022, 254, 113814. [Google Scholar] [CrossRef]
- Lu, H.; Han, L.-H.; Zhao, X.-L. Fire performance of self-consolidating concrete filled double skin steel tubular columns: Experiments. Fire Saf. J. 2010, 45, 106–115. [Google Scholar] [CrossRef]
- Chen, J.; Liu, Y.; Zou, M. Home location profiling for users in social media. Inf. Manag. 2016, 53, 135–143. [Google Scholar] [CrossRef]
- Sulthana, U.M.; Jayachandran, S.A. Axial Compression Behaviour of Long Concrete Filled Double Skinned Steel Tubular Columns. Structures 2017, 9, 157–164. [Google Scholar] [CrossRef]
- Chung, S.-K.; Kim, S.; Lee, S.-H.; Choi, S.-M. Fire Resistance of Concrete Filled Double Skin Tubular Columns under Axial Load. J. Korean Soc. Steel Constr. 2011, 23, 51–59. [Google Scholar]
- Lu, G.-B.; Zhou, X.-H.; Wang, Y.-H.; Deng, X.-W.; Bai, Y.-T.; Zhu, R.-H. Numerical investigation on circular concrete-filled double skin steel tube columns under torsion. Structures 2022, 37, 17–31. [Google Scholar] [CrossRef]
- Li, W.; Chen, B.; Han, L.-H.; Lam, D. Experimental study on the performance of steel-concrete interfaces in circular concrete-filled double skin steel tube. Thin-Walled Struct. 2020, 149, 106660. [Google Scholar] [CrossRef]
- Liang, W.; Dong, J.; Wang, Q. Mechanical behaviour of concrete-filled double-skin steel tube (CFDST) with stiffeners under axial and eccentric loading. Thin-Walled Struct. 2019, 138, 215–230. [Google Scholar] [CrossRef]
- Wang, Y.-H.; Lu, G.-B.; Zhou, X.-H. Experimental study of the cyclic behavior of concrete-filled double skin steel tube columns subjected to pure torsion. Thin-Walled Struct. 2018, 122, 425–438. [Google Scholar] [CrossRef]
- El-Sayed, T.A. Axial Compression Behavior of Ferrocement Geopolymer HSC Columns. Polymers 2021, 13, 3789. [Google Scholar] [CrossRef]
- Singh, B.; Ishwarya, G.; Gupta, M.; Bhattacharyya, S.K. Geopolymer concrete: A review of some recent developments. Constr. Build. Mater. 2015, 85, 78–90. [Google Scholar] [CrossRef]
- Cong, P.; Cheng, Y. Advances in geopolymer materials: A comprehensive review. J. Traffic Transp. Eng. 2021, 8, 283–314. [Google Scholar] [CrossRef]
- Khater, H.M.; Abd el Gawaad, H.A. Characterization of alkali activated geopolymer mortar doped with MWCNT. Constr. Build. Mater. 2016, 102, 329–337. [Google Scholar] [CrossRef]
- Ozbakkaloglu, T.; Xie, T. Geopolymer concrete-filled FRP tubes: Behavior of circular and square columns under axial compression. Compos. Part B Eng. 2016, 96, 215–230. [Google Scholar] [CrossRef]
- Zhang, H.Y.; Kodur, V.; Qi, S.L.; Cao, L.; Wu, B. Development of metakaolin–fly ash based geopolymers for fire resistance applications. Constr. Build. Mater. 2014, 55, 38–45. [Google Scholar] [CrossRef]
- ASTM E8/E8M-09; Test Methods for Tension Testing of Metallic Materials. American Society for Testing and Materials: West Conshohocken, PA, USA, 2009. [CrossRef]
- ASTM D3039/D3039M-08; Standard Test Method for Tensile Properties of Polymer Matrix Composite Materials. American Society for Testing and Materials: West Conshohocken, PA, USA, 2008.
- Yilmaz, B.C.; Binbir, E.; Guzelbulut, C.; Yildirim, H.; Celik, O.C. Circular concrete-filled double skin steel tubes under concentric compression: Tests and FEA parametric study. Compos. Struct. 2023, 309, 116765. [Google Scholar] [CrossRef]
- Ziemian, R.D. Guide to Stability Design Criteria for Metal Structures; Wiley: Hoboken, NJ, USA, 2010. [Google Scholar]
- ACI-308R-01-R08; Guide to Curing Concrete. ACI: Farmington Hills, MI, USA, 2008.
- ASTM-C31; Test Method for Making and Curing Concrete Test Specimens in the Field. ASTM International: West Conshohocken, PA, USA, 2017.
- ASTM C39; Standard Test Method for Compressive Strength of Cylindrical Concrete Specimens. American Society for Testing and Materials: West Conshohocken, PA, USA, 2021.
- ASTM C496-96; Standard Test Method for Splitting Tensile Strength of Cylindrical Concrete Specimens. ASTM International: West Conshohocken, PA, USA, 2008.
- Ismail, I.; Bernal, S.A.; Provis, J.L.; San Nicolas, R.; Hamdan, S.; van Deventer, J.S.J. Modification of phase evolution in alkali-activated blast furnace slag by the incorporation of fly ash. Cem. Concr. Compos. 2014, 45, 125–135. [Google Scholar] [CrossRef]
- Ostrowski, K.; Dudek, M.; Sadowski, Ł. Compressive behaviour of concrete-filled carbon fiber-reinforced polymer steel composite tube columns made of high performance concrete. Compos. Struct. 2020, 234, 111668. [Google Scholar] [CrossRef]
- Ellobody, E.; Young, B.; Lam, D. Behaviour of normal and high strength concrete-filled compact steel tube circular stub columns. J. Constr. Steel Res. 2006, 62, 706–715. [Google Scholar] [CrossRef]
- Fakharifar, M.; Chen, G. FRP-confined concrete filled PVC tubes: A new design concept for ductile column construction in seismic regions. Constr. Build. Mater. 2017, 130, 1–10. [Google Scholar] [CrossRef]
- ABAQUS UA, version 6.19; Dassault Systèmes Simulia Corporation: Providence, RI, USA, 2019.
- Sharif, A.M.; Al-Mekhlafi, G.M.; Al-Osta, M.A. Structural performance of CFRP-strengthened concrete-filled stainless steel tubular short columns. Eng. Struct. 2019, 183, 94–109. [Google Scholar] [CrossRef]
- Lubliner, J.; Oliver, J.; Oller, S.; Oñate, E. A plastic-damage model for concrete. Int. J. Solids Struct. 1989, 25, 299–326. [Google Scholar] [CrossRef]
- Lee, J.; Fenves, G.L. Plastic-Damage Model for Cyclic Loading of Concrete Structures. J. Eng. Mech. 1998, 124, 892–900. [Google Scholar] [CrossRef]
- Comite Euro-International Du Beton. CEB-FIP Model Code 1990: Design Code; Thomas Telford Publishing: London, UK, 1993. [Google Scholar] [CrossRef]
- Alshaikh, I.M.H.; Bakar, B.H.A.; Alwesabi, E.A.H.; Zeyad, A.M.; Magbool, H.M. Finite element analysis and experimental validation of progressive collapse of reinforced rubberized concrete frame. Structures 2021, 33, 2361–2373. [Google Scholar] [CrossRef]
- Alshaikh, I.M.H.; Abadel, A.A.; Sennah, K.; Nehdi, M.L.; Tuladhar, R.; Alamri, M. Progressive Collapse Resistance of RC Beam–Slab Substructures Made with Rubberized Concrete. Buildings 2022, 12, 1724. [Google Scholar] [CrossRef]
- ACI Commitee 318; Building Code Requirements for Structural Concrete and Commentary. American Concrete Institute: Farmington Hills, MI, USA, 2011.
- Al-Mekhlafi, G.M.; Al-Osta, M.A.; Sharif, A.M. Behavior of eccentrically loaded concrete-filled stainless steel tubular stub columns confined by CFRP composites. Eng. Struct. 2020, 205, 110113. [Google Scholar] [CrossRef]
- Wang, J.-Y.; Yang, Q.-B. Investigation on compressive behaviors of thermoplastic pipe confined concrete. Constr. Build. Mater. 2012, 35, 578–585. [Google Scholar] [CrossRef]


























| Material | CaO | Al2O3 | SiO2 | Fe2O3 | MgO | K2O | P2O5 | Na2O | SO3 | Others |
|---|---|---|---|---|---|---|---|---|---|---|
| MK | 1.29% | 42.63% | 51.00% | 2.11% | 0.13% | 0.34% | 0.05% | 0.28% | 0.44% | 1.74% |
| FA | 0.28% | 24.80% | 61.30% | 4.39% | 0.74% | 1.49% | 0.45% | 0.12% | 0.39% | 6.06% |
| Components | Quantities |
|---|---|
| MK | 214 |
| Fly ash | 143 |
| White Sand | 403 |
| Fine agg. | 170 |
| Coarse agg. | 1220 |
| Water Glass | 285 |
| NaOH | 105 |
| Sieve No. (mm) | Passing, % | Iraqi Specification, IQS No. 45 |
|---|---|---|
| 4 (4.75) | 91 | 90–100 |
| 8 (2.36) | 83 | 75–100 |
| 16 (1.18) | 74.8 | 55–90 |
| 30 (0.6) | 57.2 | 35–59 |
| 50 (0.3) | 24.2 | 8–30 |
| 100 (0.15) | 7.2 | 0–10 |
| Material | Ultimate Tensile Strength (MPa) | Tensile Modulus of Elasticity (GPa) | Ultimate Tensile Strain | Thickness (mm) |
|---|---|---|---|---|
| CFRP sheet | 1122 | 68.9 | 1.7% | 1 |
| Specimen ID | Confinement Type | Confinement Schemes | Inner Steel Tube | Outer Tube | ||
|---|---|---|---|---|---|---|
| (mm) | (mm) | (mm) | (mm) | |||
| GP-Con | Control | - | - | - | - | - |
| GP-CFST-S | Steel | Confinement of the outer surface using steel tube. | - | - | 106 | 3 |
| GP-CFST-Ann | Steel | Confinement of the outer and inner surfaces using steel tubes. | 60 | 5 | 106 | 3 |
| GP-PVC-S | PVC | Confinement of the outer surface using PVC tube. | - | - | 106 | 3 |
| GP-PVC-Ann | PVC | Confinement of the outer surface using PVC tube and the inner surface using steel tube. | 60 | 5 | 106 | 3 |
| GP-CFRP-S | CFRP-wrapped | Confinement of the outer surface using one CFRP sheet layer. | - | - | 102 | 1 |
| GP-CFRP-Ann | CFRP-wrapped | Confinement of the outer surface using one CFRP sheet layer and the inner surface using steel tube. | 60 | 5 | 102 | 1 |
| Concrete Mix | Compressive Strength () | Splitting Tensile Stress |
|---|---|---|
| GP concrete | 32 MPa | 3.8 MPa |
| Column ID | GP-Con | GP-CFST-S | GP-CFST-Ann | GP-PVC-S | GP-PVC-Ann | GP-CFRP-S | GP-CFRP-Ann |
|---|---|---|---|---|---|---|---|
| Axial Load (kN) | 216.45 | 767.69 | 714.19 | 309.87 | 232.19 | 619.13 | 588.17 |
| Stress (MPa) | 27.57 | 87.04 | 119.15 | 32.62 | 34.80 | 75.81 | 110.12 |
| Displacement at peak (mm) | 0.851 | 3.892 | 2.283 | 5.573 | 0.448 | 5.614 | 5.705 |
| Axial strain | 0.00426 | 0.01946 | 0.01142 | 0.02787 | 0.00224 | 0.02807 | 0.02853 |
| Transverse strain | −0.00354 | −0.01246 | −0.01372 | −0.00319 | −0.00148 | −0.00231 | −0.00243 |
| Column ID | GP-Con | GP-CFST-S | GP-CFST-Ann | GP-PVC-S | GP-PVC-Ann | GP-CFRP-S | GP-CFRP-Ann |
|---|---|---|---|---|---|---|---|
| (kN) | 216.45 | 767.69 | 714.19 | 309.87 | 232.19 | 619.13 | 588.17 |
| (kN) | 230.26 | 740.13 | 674.34 | 332.24 | 256.58 | 628.29 | 523.03 |
| 1.06 | 0.96 | 0.94 | 1.07 | 1.11 | 1.01 | 0.89 | |
| Error % | +6.38% | −3.59% | −5.58% | +7.22% | +10.50% | +1.48% | −11.08% |
Disclaimer/Publisher’s Note: The statements, opinions and data contained in all publications are solely those of the individual author(s) and contributor(s) and not of MDPI and/or the editor(s). MDPI and/or the editor(s) disclaim responsibility for any injury to people or property resulting from any ideas, methods, instructions or products referred to in the content. |
© 2023 by the author. Licensee MDPI, Basel, Switzerland. This article is an open access article distributed under the terms and conditions of the Creative Commons Attribution (CC BY) license (https://creativecommons.org/licenses/by/4.0/).
Share and Cite
Abadel, A.A. Structural Performance of Strengthening of High-Performance Geopolymer Concrete Columns Utilizing Different Confinement Materials: Experimental and Numerical Study. Buildings 2023, 13, 1709. https://doi.org/10.3390/buildings13071709
Abadel AA. Structural Performance of Strengthening of High-Performance Geopolymer Concrete Columns Utilizing Different Confinement Materials: Experimental and Numerical Study. Buildings. 2023; 13(7):1709. https://doi.org/10.3390/buildings13071709
Chicago/Turabian StyleAbadel, Aref A. 2023. "Structural Performance of Strengthening of High-Performance Geopolymer Concrete Columns Utilizing Different Confinement Materials: Experimental and Numerical Study" Buildings 13, no. 7: 1709. https://doi.org/10.3390/buildings13071709
APA StyleAbadel, A. A. (2023). Structural Performance of Strengthening of High-Performance Geopolymer Concrete Columns Utilizing Different Confinement Materials: Experimental and Numerical Study. Buildings, 13(7), 1709. https://doi.org/10.3390/buildings13071709

