Optimization Design for Steel Trusses Based on a Genetic Algorithm
Abstract
:1. Introduction
2. Proposed Method
2.1. Optimization Constraint Model
2.2. Optimization Methodology
2.2.1. Optimization Procedure
2.2.2. Selection Operators
2.2.3. Recombination Operators
- (1)
- Select two chromosomes as the parents randomly.
- (2)
- Select two intersections in the chromosomes randomly.
- (3)
- Exchange the gene segments between the two intersections and obtain two new offspring chromosomes.
- (4)
- Input the new offspring chromosomes into the population of the next generation.
- (5)
- Repeat the above steps until obtaining enough offspring chromosomes.
2.2.4. Mutation Operators
3. Optimization Methodology Validation
3.1. Validation Model
3.2. Optimization Method Verification
4. Mono-Parameter Optimizations
4.1. Chord Optimizations
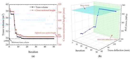
4.1.1. Top Chord
4.1.2. Bottom Chord
4.2. Web Member Optimizations
4.2.1. Diagonal Web Member
4.2.2. Diagonal Edge Web Member
4.2.3. Vertical Web Member
5. Multi-Parameter Optimizations
5.1. Chord Optimizations
5.2. Web Member Optimizations
6. Conclusions
Author Contributions
Funding
Data Availability Statement
Conflicts of Interest
References
- Schmit, L.A. Structural design by systematic synthesis. In Proceedings of the Second National Conference on Electronic Computation, ASCE, Pittsburgh, PA, USA, 8–9 September 1960. [Google Scholar]
- Moses, F. Optimum structural design using linear programming. J. Struct. Div. 1964, 90, 89–104. [Google Scholar] [CrossRef]
- Arora, J.S. Analysis of optimality criteria and gradient projection methods for optimal structural design. Comput. Methods Appl. Mech. Eng. 1980, 23, 185–213. [Google Scholar] [CrossRef]
- Vanderplaats, G.N. An efficient feasible directions algorithm for design synthesis. AIAA J. 1984, 22, 1633–1640. [Google Scholar] [CrossRef]
- Ramakrishnan, C.V.; Francavilla, A. Structural shape optimization using penalty functions. Struct. Eng. Mech. 1974, 3, 403–422. [Google Scholar] [CrossRef]
- Dom, W.S.; Gomory, R.E.; Greenberg, H.J. Automatic design of optimal structures. J. Mecanique. 1964, 3, 25–52. [Google Scholar]
- Venkayya, V.B.; Khot, N.S.; Reddy, V.S. Optimization of Structures Based on the Study of Energy Distribution; Air Force Flight Dynamics Lab: Wright-Patterson Afb, OH, USA, 1968. [Google Scholar]
- Huynh, N.T.; Nguyen, T.V.T.; Tam, N.T.; Nguyen, Q.M. Optimizing magnification ratio for the flexible hinge displacement amplifier mechanism design. In Lecture Notes in Mechanical Engineering; Springer: Cham, Switzerland, 2021; pp. 769–778. [Google Scholar] [CrossRef]
- Nguyen, T.V.T.; Huynh, N.T.; Vu, N.C.; Kieu, V.N.D.; Huang, S.C. Optimizing compliant gripper mechanism design by employing an effective bi-algorithm: Fuzzy logic and ANFIS. Microsyst Technol. 2021, 27, 3389–3412. [Google Scholar] [CrossRef]
- Suzuki, J. A Markov chain analysis on simple genetic algorithms. IEEE Trans. Syst. Man Cybern. 1995, 25, 655–659. [Google Scholar] [CrossRef]
- Hasançebi, O.; Çarbaş, S.; Doğan, E.; Erdal, F.; Sakaet, M.P. Performance evaluation of metaheuristic search techniques in the optimum design of real size pin jointed structures. Comput Struct. 2009, 87, 284–302. [Google Scholar] [CrossRef]
- Carbas, S.; Hasancebi, O. Optimal design of steel trusses using stochastic search techniques. In Proceedings of the Fourth International Conference on Mathematical and Computational Applications, Manisa, Turkey, 11–13 June 2013. [Google Scholar]
- Serpik, I. Discrete size and shape optimization of truss structures based on job search inspired strategy and genetic operations. Period. Polytech. Civ. Eng. 2020, 64, 801–814. [Google Scholar] [CrossRef]
- de Castro Lemonge, A.C.; Duarte, G.R.; da Fonseca, L.G. An algorithm inspired by bee colonies coupled to an adaptive penalty method for truss structural optimization problems. J. Braz. Soc. Mech. Sci. Eng. 2019, 41, 1–19. [Google Scholar] [CrossRef]
- Kurniawan, M.; Adha, A. Truss structure optimization for two design variable elements using Genetic Algorithm with stress and failure probability constraints. IOP Conference Series. Mater. Sci. Eng. 2019, 615, 012091. [Google Scholar] [CrossRef]
- Nguyen-Van, S.; Nguyen, K.T.; Luong, V.H.; Lee, S.; Lieu, Q.X. A novel hybrid differential evolution and symbiotic organisms search algorithm for size and shape optimization of truss structures under multiple frequency constraints. Expert Syst. Appl. 2021, 184, 115534. [Google Scholar] [CrossRef]
- Azad, S.K.; Aminbakhsh, S. High-dimensional optimization of large-scale steel truss structures using guided stochastic search. Structures 2021, 33, 1439–1456. [Google Scholar] [CrossRef]
- Kumar, S.; Tejani, G.G.; Pholdee, N.; Bureerat, S. Multi-objective passing vehicle search algorithm for structure optimization. Expert Syst. Appl. 2021, 169, 114511. [Google Scholar] [CrossRef]
- Baykasoğlu, A.; Baykasoğlu, C. Weighted superposition attraction-repulsion(WSAR) algorithm for truss optimization with multiple frequency constraints. Structures 2021, 30, 253–264. [Google Scholar] [CrossRef]
- Jawad, F.K.J.; Mahmood, M.; Wang, D.; Alazzawi, O.; Aljemely, A.H. Heuristic dragonfly algorithm for optimal design of truss structures with discrete variables. Structures 2021, 29, 843–862. [Google Scholar] [CrossRef]
- Eid, H.F.; Garcia-Hernandez, L.; Abraham, A. Spiral water cycle algorithm for solving multi-objective optimization and truss optimization problems. Eng. Comput. 2022, 38, 963–973. [Google Scholar] [CrossRef]
- Pierezan, J.; dos Santos Coelho, L.; Mariani, V.C.; de Vasconcelos Segundo, E.H.; Prayogo, D. Chaotic coyote algorithm applied to truss optimization problems. Comput. Struct. 2021, 242, 106353. [Google Scholar] [CrossRef]
- Li, P.C.; Wang, H. A novel strategy for the crossarm length optimization of PSSCs based on multi-dimensional global optimization algorithms. Eng. Struct. 2021, 238, 112238. [Google Scholar] [CrossRef]
- Blickle, T.; Thiele, L. A Comparison of Selection Schemes Used in Evolutionary Algorithms. Evol. Comput. 1996, 4, 361–394. [Google Scholar] [CrossRef]
- Kaveh, A.; Zakian, P. Optimal design of steel frames under seismic loading using two meta-heuristic algorithms. J. Constr. Steel Res. 2013, 82, 111–130. [Google Scholar] [CrossRef]
- Wang, H.; Li, P.C.; Wu, M.E. Crossarm length optimization and post-buckling analysis of prestressed stayed steel columns. Thin Wall Struct. 2019, 144, 106371. [Google Scholar] [CrossRef]













| Member Type | Member Number | Cross-Section |
|---|---|---|
| Top chord | 1, 2, 3, 4, 5, and 6 | H600 × 300 × 25 × 16 |
| Bottom chord | 18, 19, 20, 21, 22, and 23 | H600 × 300 × 20 × 14 |
| Diagonal web member | 9, 11, 13, and 15 | H350 × 300 × 14 × 12 |
| Diagonal edge web member | 7 and 17 | 600 × 300 × 20 × 14 |
| Vertical web member | 8, 10, 12, 14, and 16 | H350 × 300 × 14 × 12 |
| Mono-Parameter | Multi-Parameter | |||
|---|---|---|---|---|
| Top Chord | Bottom Chord | Top Chord | Bottom Chord | |
| Truss volume (m3) | 3.2414 | 2.817 | 2.7519 | |
| Cross-section height (mm) | 545 | 331 | 574 | 332 |
| Truss optimization (%) | 4.2 | 16.7 | 18.7 | |
| Mono-Parameter Optimization | |||
|---|---|---|---|
| Diagonal Web | Diagonal Edge Web | Vertical Web | |
| Truss height (m3) | 3.347 | 2.9858 | 3.2387 |
| Cross-section height (mm) | 330 | 401 | 246 |
| Volume optimization (%) | 5.7 | 11.7 | 4.3 |
| Multi-parameter optimization | |||
| Diagonal web | Diagonal edge web | Vertical web | |
| Truss height (m3) | 2.5043 | ||
| Cross-section height (mm) | 332 | 401 | 417 |
| Volume optimization (%) | 25.9 | ||
Disclaimer/Publisher’s Note: The statements, opinions and data contained in all publications are solely those of the individual author(s) and contributor(s) and not of MDPI and/or the editor(s). MDPI and/or the editor(s) disclaim responsibility for any injury to people or property resulting from any ideas, methods, instructions or products referred to in the content. |
© 2023 by the authors. Licensee MDPI, Basel, Switzerland. This article is an open access article distributed under the terms and conditions of the Creative Commons Attribution (CC BY) license (https://creativecommons.org/licenses/by/4.0/).
Share and Cite
Li, P.; Zhao, X.; Ding, D.; Li, X.; Zhao, Y.; Ke, L.; Zhang, X.; Jian, B. Optimization Design for Steel Trusses Based on a Genetic Algorithm. Buildings 2023, 13, 1496. https://doi.org/10.3390/buildings13061496
Li P, Zhao X, Ding D, Li X, Zhao Y, Ke L, Zhang X, Jian B. Optimization Design for Steel Trusses Based on a Genetic Algorithm. Buildings. 2023; 13(6):1496. https://doi.org/10.3390/buildings13061496
Chicago/Turabian StyleLi, Pengcheng, Xuxiang Zhao, Dangsheng Ding, Xiwei Li, Yanjun Zhao, Lu Ke, Xiaoyue Zhang, and Bin Jian. 2023. "Optimization Design for Steel Trusses Based on a Genetic Algorithm" Buildings 13, no. 6: 1496. https://doi.org/10.3390/buildings13061496
APA StyleLi, P., Zhao, X., Ding, D., Li, X., Zhao, Y., Ke, L., Zhang, X., & Jian, B. (2023). Optimization Design for Steel Trusses Based on a Genetic Algorithm. Buildings, 13(6), 1496. https://doi.org/10.3390/buildings13061496
