Space Cooling Energy Potential of Domestic Cold Water before Household Consumption in Cold-Climate Regions
Abstract
1. Introduction
2. Methodology
2.1. Description of the Physical System
2.1.1. Variable DCW Flow
2.1.2. Numerical Model
- In cold climate regions, such as Canada, municipal domestic water lines are buried around 1.5 to 2 m deep in the ground. Therefore, the temperature of domestic water entering households is similar to the ground temperature at these depths. Two water inlet temperatures () of 12 °C and 15 °C were selected based on the mean monthly ground temperatures in the summer (June to August) in Toronto, Canada [37]. Two fixed zone temperatures () of 25 °C and 30 °C were used for thermal simulations.
- A temperature of 26 °C is considered a safe threshold for an indoor environment [38]. In this context, an increase in emergency medical calls and premature mortality rates has been associated with indoor temperatures above 26 °C [39]. In addition, heat warnings are usually issued when maximum daily temperatures reach 30 °C in Canada [39]. The zone temperature is likely to reach 30 °C in the heat warning periods without mechanical cooling. Therefore, in this study, zone temperatures () of 25 °C and 30 °C are used as the lower and upper limits of the zone temperature during cooling seasons. The results obtained based on these two fixed zone temperatures represent the performance envelope of the DCW-walls. It offers a range for the cooling potential of the DCW-wall for zone temperatures between 25 °C and 30 °C.
- The dimensions of the modeled wall are 2 m in height and 3 m in width. The impact of different wall areas on the total DCE will be discussed in Section 3.6. Furthermore, the simulations were conducted with two wall thicknesses of 5 cm and 10 cm to assess the impact of TES on cooling potentials and wall temperature.
- The exterior side of the DCW-wall is assumed to be adiabatic because of the thick thermal insulation used in cold-climate buildings, and the temperature difference between the wall and the exterior is not significant during a cooling season.
- As discussed above, pipe spacings of 10 cm and 30 cm were used to determine the cooling potentials of the DCW-wall system. In this paper, the results are presented for both the top and bottom of the optimal spacing range. The pipe was placed in the middle layer of the wall.
- The temperature of each control volume of the water or wall is assumed to be uniform. Temperature nodes were placed at the center of each control volume.
- The convective thermal resistance between the water and the pipe () was considered in all thermal models.
- Under a steady-periodic daily water flow pattern and constant boundary conditions, transient thermal simulations were conducted. When the temperature profiles stabilized (i.e., the temperatures of all control volumes converged), the results of the last 24-h period were used for analysis.
Water Nodes
Wall Nodes
2.1.3. Model Validation
3. Results and Discussion
- Supply water temperature (),
- Zone temperature (),
- Wall thickness (),
- Pipe spacing ().
3.1. Water Outlet and Average Wall Temperatures
3.2. Temperature Uniformity and Condensation Prevention
3.3. Cooling Heat Flux Density
3.4. Delivered Cooling Energy
3.5. Comparison of Three Configurations on the Basis of Model Results
3.5.1. Water Outlet and Average Wall Temperatures
3.5.2. Temperature Uniformity and Condensation Prevention
3.5.3. Cooling Heat Flux Density
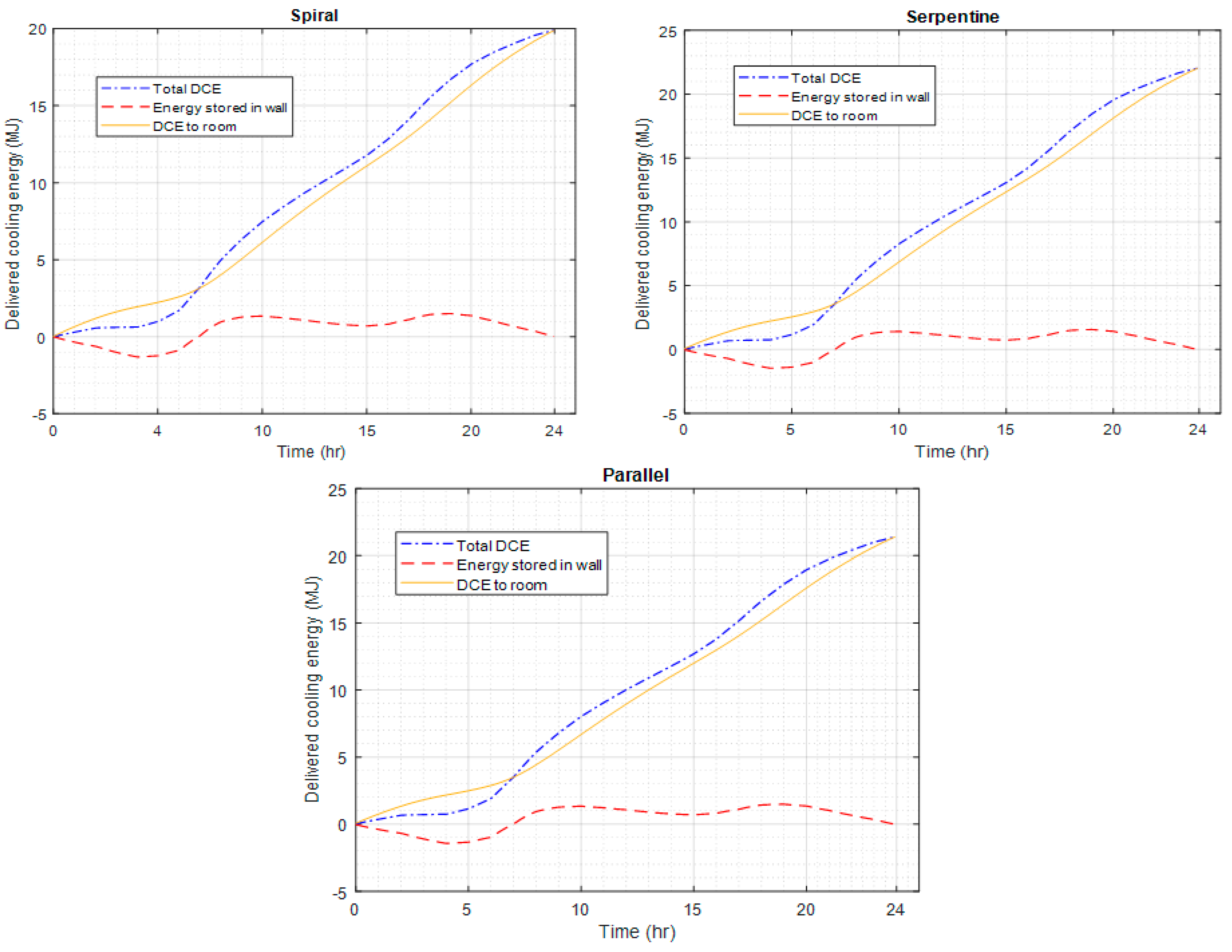
3.5.4. Delivered Cooling Energy
3.6. Influence of Wall Surface Area on Total DCE
4. Conclusions
Author Contributions
Funding
Data Availability Statement
Conflicts of Interest
Nomenclature
| Abbreviations | |
| CCD | Cooling degree days |
| CV | Control volume |
| CV-RMSE | Coefficient of variation of root-mean square error |
| DCE | Delivered cooling energy |
| DCW | Domestic cold water |
| GHG | Greenhouse gas |
| RH | Relative humidity |
| TABS | Thermally activated building systems |
| TES | Thermal energy storage |
| Symbols | |
| x-direction length of each control volume [m] | |
| y-direction length of each control volume [m] | |
| z-direction length of each control volume [m] | |
| Difference between maximum and minimum wall surface temperature [°C] | |
| Water mass flow rate [kg/s] | |
| Wall thermal conductivity [W/mK] | |
| Pipe thermal conductivity [W/mK] | |
| Water thermal conductivity [W/mK] | |
| Water density [kg/m3] | |
| Water velocity [m/s] | |
| Water kinematic viscosity [m2/s] | |
| Pipe inside diameter [m] | |
| Pipe outside diameter [m] | |
| Water convective heat transfer coefficient [W/m2K] | |
| Combined heat transfer film coefficient between zone air and wall surface [W/m2K] | |
| Length of the control volume f of the pipe in the direction of water flow [m] | |
| Pipe spacing [m] | |
| Nusselt number | |
| Prandtl number | |
| Heat flux density [W/m2] | |
| Delivered cooling energy [J] | |
| Heat flow rate between wall nodes [W] | |
| Heat flow rate between zone air and nodes on the wall surface [W] | |
| Heat flux between water and wall control volume [W] | |
| Reynolds number | |
| Wall thickness [m] | |
| Zone temperature [°C] | |
| Supply water (inlet) temperature [°C] | |
| Average wall surface temperature [°C] | |
| Minimum wall surface temperature [°C] | |
| Average water temperature [°C] | |
| Outlet water temperature [°C] | |
| Total thermal transmittance between zone air and wall surface [W/K] | |
| Total thermal transmittance between water and adjacent wall node [W/K] | |
| Total thermal transmittance between water and the inside surface of the pipe [W/K] | |
| Total thermal transmittance between the inside and outside surfaces of the pipe [W/K] | |
| Total thermal transmittance between the cylindrical pipe surface and the adjacent wall node [W/K] | |
| Volume of one control volume [m3] | |
| Width of the control volume f of the wall in the direction transverse to the flow [m] | |
| Distance between two nodes in x direction [m] | |
| Distance between two nodes in y direction [m] | |
| Distance between two nodes in z direction [m] | |
Appendix A. Calculation of Thermal Transmittances in DCW-Wall System
References
- Dodoo, A.; Gustavsson, L.; Sathre, R. Building energy-efficiency standards in a life cycle primary energy perspective. Energy Build. 2011, 43, 1589–1597. [Google Scholar] [CrossRef]
- Edenhofer, O.; Pichs-Madruga, R.; Sokona, Y.; Farahani, E.; Kadner, S.; Eickemeier, P. Intergovernmental Panel on Climate Change (IPCC): Mitigation of Climate Change. In Contribution of Working Group III to the Fifth Assessment Report of the Intergovernmental Panel on Climate Change; Cambridge University Press: Cambridge, UK, 2014. [Google Scholar]
- Andreou, A.; Barrett, J.; Taylor, P.G.; Brockway, P.E.; Wadud, Z. Decomposing the drivers of residential space cooling energy consumption in EU-28 countries using a panel data approach. Energy Built Environ. 2020, 1, 432–442. [Google Scholar] [CrossRef]
- Dutta, S.; Hussain, C.M. Sustainable Fuel Technologies Handbook; Academic Press: New York, NY, USA, 2020. [Google Scholar]
- Mugnini, A.; Polonara, F.; Arteconi, A. Energy flexibility curves to characterize the residential space cooling sector: The role of cooling technology and emission system. Energy Build. 2021, 253, 111335. [Google Scholar] [CrossRef]
- Santamouris, M.; Kolokotsa, D. Passive cooling dissipation techniques for buildings and other structures: The state of the art. Energy Build. 2013, 57, 74–94. [Google Scholar] [CrossRef]
- Bulut, H.; Aktacir, M.A. Determination of free cooling potential: A case study for Istanbul, Turkey. Appl. Energy 2011, 88, 680–689. [Google Scholar] [CrossRef]
- International Energy Agency (IEA). Ventilative Cooling. In Status and Recommendations for Better Implementation of Ventilative Cooling in Standards, Legislation and Compliance Tools (Background Report); International Energy Agency (IEA): Paris, France, 2018. [Google Scholar]
- Katili, A.R.; Boukhanouf, R.; Wilson, R. Space cooling in buildings in hot and humid climates—A review of the effect of humidity on the applicability of existing cooling techniques. In Proceedings of the 14th International Conference on Sustainable Energy Technologies, Nottingham, UK, 25–27 August 2015. [Google Scholar]
- Guo, X.; Hendel, M. Urban water networks as an alternative source for district heating and emergency heat-wave cooling. Energy 2018, 145, 79–87. [Google Scholar] [CrossRef]
- van der Hoek, J.P.; Mol, S.; Giorgi, S.; Ahmad, J.I.; Liu, G.; Medema, G. Energy recovery from the water cycle: Thermal energy from drinking water. Energy 2018, 162, 977–987. [Google Scholar] [CrossRef]
- Ahmad, J.I.; Giorgi, S.; Zlatanovic, L.; Liu, G.; van der Hoek, J.P. Maximizing Thermal Energy Recovery from Drinking Water for Cooling Purpose. Energies 2021, 14, 2413. [Google Scholar] [CrossRef]
- Prybysh, R.; Al-Hussein, M.; Fleck, B.; Sadrzadeh, M.; Osolu, J. Experimental Study on the Palatability Impacts of Potable Water as a Hydronic Medium. Water 2018, 10, 218. [Google Scholar] [CrossRef]
- Babiak, J.; Vagiannis, G. Thermally Activated Building System (TABS): Efficient Cooling and Heating of Commercial Buildings. In Proceedings of the CLIMAMED 2015, Juan les Pins, France, 10–11 September 2015. [Google Scholar]
- Ma, P.; Wang, L.-S.; Guo, N. Energy storage and heat extraction–From thermally activated building systems (TABS) to thermally homeostatic buildings. Renew. Sustain. Energy Rev. 2015, 45, 677–685. [Google Scholar] [CrossRef]
- Romaní, J.; de Gracia, A.; Cabeza, L.F. Simulation and control of thermally activated building systems (TABS). Energy Build. 2016, 127, 22–42. [Google Scholar] [CrossRef]
- Chung, W.J.; Park, S.H.; Yeo, M.S.; Kim, K.W. Control of Thermally Activated Building System Considering Zone Load Characteristics. Sustainability 2017, 9, 586. [Google Scholar] [CrossRef]
- Guerrero, M.; Sánchez, J.; Álvarez, S.; Tenorio, J.A.; Cabeza, L.F.; Bartolomé, C.; Pavón, M. Evaluation of the Behavior of an Innovative Thermally Activated Building System (TABS) with PCM for an Efficient Design. In Proceedings of the CLIMA 2019 Congress, Bucharest, Romania, 26–29 May 2019; EDP Sciences: Les Ulis, France, 2019. [Google Scholar]
- Krajčík, M.; Arıcı, M.; Šikula, O.; Šimko, M. Review of water-based wall systems: Heating, cooling, and thermal barriers. Energy Build. 2021, 253, 111476. [Google Scholar] [CrossRef]
- Antonopoulos, K.; Vrachopoulos, M.; Tzivanidis, C. Experimental and theoretical studies of space cooling using ceiling-embedded piping. Appl. Therm. Eng. 1997, 17, 351–367. [Google Scholar] [CrossRef]
- Xie, J.-L.; Zhu, Q.-Y.; Xu, X.-H. An active pipe-embedded building envelope for utilizing low-grade energy sources. J. Cent. South Univ. 2012, 19, 1663–1667. [Google Scholar] [CrossRef]
- Shin, M.S.; Rhee, K.N.; Ryu, S.R.; Yeo, M.S.; Kim, K.W. Design of radiant floor heating panel in view of floor surface temperatures. Build. Environ. 2015, 92, 559–577. [Google Scholar] [CrossRef]
- Romaní, J.; Cabeza, L.F.; de Gracia, A. Development and experimental validation of a transient 2D numeric model for radiant walls. Renew. Energy 2018, 115, 859–870. [Google Scholar] [CrossRef]
- Šimko, M.; Petráš, D.; Krajčík, M.; Szabó, D. Testing of a Radiant Wall Cooling System with Pipes Coupled to Aerated Blocks. Period. Polytech. Mech. Eng. 2022, 66, 59–66. [Google Scholar] [CrossRef]
- Krajčík, M.; Šikula, O. The possibilities and limitations of using radiant wall cooling in new and retrofitted existing buildings. Appl. Therm. Eng. 2020, 164, 114490. [Google Scholar] [CrossRef]
- Krajčík, M.; Šimko, M.; Šikula, O.; Szabó, D.; Petráš, D. Thermal performance of a radiant wall heating and cooling system with pipes attached to thermally insulating bricks. Energy Build. 2021, 246, 111122. [Google Scholar] [CrossRef]
- Šimko, M.; Krajčík, M.; Šikula, O. Radiant Wall Cooling with Pipes Arranged in Insulation Panels Attached to Facades of Existing Buildings. In Proceedings of the CLIMA 2019 Congress, Bucharest, Romania, 26–29 May 2019; EDP Sciences: Les Ulis, France, 2019. [Google Scholar]
- Samuel, D.L.; Nagendra, S.S.; Maiya, M.P. Parametric analysis on the thermal comfort of a cooling tower based thermally activated building system in tropical climate—An experimental study. Appl. Therm. Eng. 2018, 138, 325–335. [Google Scholar] [CrossRef]
- Junasová, B.; Krajčík, M.; Šikula, O.; Arıcı, M.; Šimko, M. Adapting the construction of radiant heating and cooling systems for building retrofit. Energy Build. 2022, 268, 112228. [Google Scholar] [CrossRef]
- Babiak, J.; Olesen, B.W.; Petras, D. Low Temperature Heating and High Temperature Cooling: Rehva Guidebook No 7; REHVA: Ixelles, Belgium, 2007. [Google Scholar]
- Behrendt, B. Possibilities and Limitations of Thermally Activated Building Systems: Simply TABS and a Climate Classification for TABS; Technical University of Denmark: Lyngby, Denmark, 2016. [Google Scholar]
- Lehmann, B.; Dorer, V.; Gwerder, M.; Renggli, F.; Tödtli, J. Thermally activated building systems (TABS): Energy efficiency as a function of control strategy, hydronic circuit topology and (cold) generation system. Appl. Energy 2011, 88, 180–191. [Google Scholar] [CrossRef]
- ASHRAE. 2016 ASHRAE Handbook-HVAC Systems and Equipment (IP Edition); ASHRAE: Peachtree Corners, GA, USA, 2016. [Google Scholar]
- Kappel, K.; Grechenig, T. “show-me” water consumption at a glance to promote water conservation in the shower. In Proceedings of the 4th International Conference on Persuasive Technology, Claremont, CA, USA, 26–29 April 2009. [Google Scholar]
- Beal, C.D.; Stewart, R.A. Identifying residential water end uses underpinning peak day and peak hour demand. J. Water Resour. Plan. Manag. 2014, 140, 04014008. [Google Scholar] [CrossRef]
- Cole, G.; Stewart, R.A. Smart meter enabled disaggregation of urban peak water demand: Precursor to effective urban water planning. Urban Water J. 2013, 10, 174–194. [Google Scholar] [CrossRef]
- Legget, R.; Peckover, F. Soil Temperature Studies—A Progress Report. 1949. Available online: https://onlinepubs.trb.org/Onlinepubs/hrbproceedings/29/29-030.pdf (accessed on 20 April 2023).
- Tham, S.; Thompson, R.; Landeg, O.; Murray, K.; Waite, T. Indoor temperature and health: A global systematic review. Public Health 2020, 179, 9–17. [Google Scholar] [CrossRef]
- Oetomo, A.; Jalali, N.; Costa, P.D.P.; Morita, P.P. Indoor temperatures in the 2018 heat wave in Quebec, Canada: Exploratory study using Ecobee smart thermostats. JMIR Form. Res. 2022, 6, e34104. [Google Scholar] [CrossRef]
- Patankar, S.V. Numerical Heat Transfer and Fluid Flow; CRC Press: Boca Raton, FL, USA, 2018. [Google Scholar]
- Merabtine, A.; Mokraoui, S.; Kheiri, A.; Dars, A.; Hawila, A.A.W. Fundamentals of Heat and Mass Transfer; John Wiley & Sons: Hoboken, NJ, USA, 2011. [Google Scholar]
- Baldinelli, G.; Bianchi, F.; Rotili, A.; Presciutti, A. Transient heat transfer in radiant floors: A comparative analysis between the lumped capacitance method and infrared thermography measurements. J. Imaging 2016, 2, 22. [Google Scholar] [CrossRef]
- Merabtine, A.; Mokraoui, S.; Kheiri, A.; Dars, A.; Hawila, A.A.W. Experimental and multidimensional numerical analysis of the thermal behavior of an anhydrite radiant slab floor heating system: A multi-objective sensitivity study. Energy Build. 2018, 174, 619–634. [Google Scholar] [CrossRef]
- Femp, M. Guidelines: Measurement and Verification for Federal Energy Projects, Version 3.0. In Energy Efficiency and Renewable Energy; United States Department of Energy: Washington, DC, USA, 2008. [Google Scholar]
- Xing, D.; Li, N.; Zhang, C.; Heiselberg, P. A critical review of passive condensation prevention for radiant cooling. Build. Environ. 2021, 205, 108230. [Google Scholar] [CrossRef]
- Xie, D.; Wang, Y.; Wang, H.; Mo, S.; Liao, M. Numerical analysis of temperature non-uniformity and cooling capacity for capillary ceiling radiant cooling panel. Renew. Energy 2016, 87, 1154–1161. [Google Scholar] [CrossRef]
- Ning, B.; Chen, Y.; Liu, H.; Zhang, S. Cooling capacity improvement for a radiant ceiling panel with uniform surface temperature distribution. Build. Environ. 2016, 102, 64–72. [Google Scholar] [CrossRef]
- United States Environmental Protection Agency; Office of Air and Radiation, Indoor Environments Division. Mold Remediation in Schools and Commercial Buildings; ERIC Clearinghouse, United States Department of Education: Washington, DC, USA, 2001. [Google Scholar]
- Cholewa, T.; Rosiński, M.; Spik, Z.; Dudzińska, M.R.; Siuta-Olcha, A. On the heat transfer coefficients between heated/cooled radiant floor and room. Energy Build. 2013, 66, 599–606. [Google Scholar] [CrossRef]
- Cholewa, T.; Anasiewicz, R.; Siuta-Olcha, A.; Skwarczynski, M.A. On the heat transfer coefficients between heated/cooled radiant ceiling and room. Appl. Therm. Eng. 2017, 117, 76–84. [Google Scholar] [CrossRef]
- Government of Canada. Weather, Climate, and Hazard—Historical Data. 2021. Available online: https://climate.weather.gc.ca/historical_data/search_historic_data_e.html (accessed on 15 August 2022).
- WeatherStats. Toronto Historical Relative Humidity. 2022. Available online: https://toronto.weatherstats.ca/metrics/relative_humidity.html (accessed on 18 May 2022).
- Natural Resources Canada. Energy Fact Book 2019–2020; Natural Resources Canada Ottawa: Ottawa, ON, Canada, 2019. [Google Scholar]
- Statistics Canada. Household Energy Consumption, Canada and Provinces. 2019. Available online: https://www150.statcan.gc.ca/t1/tbl1/en/tv.action?pid=2510006001 (accessed on 15 August 2022).
- Purushothama, B. Humidification and Ventilation Management in Textile Industry; CRC Press: Boca Raton, FL, USA, 2010. [Google Scholar]
- Government of Canada. Air Conditioning Your Home. 2016. Available online: https://www.nrcan.gc.ca/energy-efficiency/energy-star-canada/about/energy-star-announcements/publications/air-conditioning-your-home/6051 (accessed on 1 February 2023).
- Iffa, E.; Hun, D.; Salonvaara, M.; Shrestha, S.; Lapsa, M. Performance evaluation of a dynamic wall integrated with active insulation and thermal energy storage systems. J. Energy Storage 2022, 46, 103815. [Google Scholar] [CrossRef]
- Krajčík, M.; Šikula, O. Heat storage efficiency and effective thermal output: Indicators of thermal response and output of radiant heating and cooling systems. Energy Build. 2020, 229, 110524. [Google Scholar] [CrossRef]
- Koca, A.; Karakoyun, Y.; Acikgoz, O.; Dogu, M.; Dalkilic, A.S. An experimental investigation on the radiant cooled wall’s heat transfer characteristics in a fully conditioned real-sized living environment. Energy Build. 2022, 277, 112578. [Google Scholar] [CrossRef]














| Wall Thickness | Layer | |||
|---|---|---|---|---|
| 10 cm | Front | 0 | ||
| Middle | 0 | ( | ||
| Back | 0 | 0 | ||
| 5 cm | - | ( |
| (°C) | Allowable RH (%) |
|---|---|
| 15/25 | ≤53.8 |
| 16.5/30 | ≤44.2 |
| Configuration | (°C) | Allowable RH (%) | (°C) |
|---|---|---|---|
| spiral | 15/25 | ≤53.8 | 4.0 |
| 16.5/30 | ≤44.2 | 4.5 | |
| serpentine | 14.5/25 | ≤52.1 | 6.5 |
| 15.6/30 | ≤41.7 | 6.9 | |
| parallel | 14.37/25 | ≤51.7 | 6.7 |
| 15.25/30 | ≤40.8 | 7.0 |
| Temperature Scenarios | Serpentine | Parallel | Spiral | |||||||||
|---|---|---|---|---|---|---|---|---|---|---|---|---|
| = 5 * | = 10 | = 5 | = 10 | = 5 | = 10 | |||||||
| = 10 ** | = 30 | = 10 | = 30 | = 10 | = 30 | = 10 | = 30 | = 10 | = 30 | = 10 | = 30 | |
| = 12 °C | 54.0 | 36.0 | 46.1 | 33.9 | 53.8 | 31.9 | 45.8 | 30.0 | 50.0 | 35.0 | 41.2 | 32.6 |
| = 25 °C | ||||||||||||
| = 12 °C | 80.0 | 53.5 | 68.0 | 49.7 | 79.1 | 46.8 | 67.6 | 44.4 | 73.9 | 51.9 | 60.8 | 48.0 |
| = 30 °C | ||||||||||||
| = 15 °C | 40.5 | 27.0 | 34.5 | 25.2 | 40.2 | 24.9 | 34.3 | 22.7 | 37.5 | 26.4 | 31.0 | 24.4 |
| = 25 °C | ||||||||||||
| = 15 °C | 65.0 | 43.9 | 55.8 | 40.8 | 64.8 | 38.5 | 55.4 | 36.5 | 60.8 | 42.7 | 49.9 | 39.3 |
| = 30 °C | ||||||||||||
| Study | Cooling Capacity (W/m2) | (cm) * | (°C) ** | (°C) | Description |
|---|---|---|---|---|---|
| [57] | 56 for = 10 cm | 2.5 & 10 | 5 | 23.3 | Hydronic pipe embedded wall system with active insulation system and thermal energy storage |
| 82 for = 2.5 cm | |||||
| [58] | 16 for = 15 °C | 15 | 15 & 20 | 26 | Chilled water in pipes embedded in the wall core. Wall has a 5 cm of insulation. |
| 29 for = 20 °C | |||||
| [25] | 10–21 | 10 | 20 | 26 | Pipes attached to insulating brick |
| [26] | 35–40 | 15 | 18 | 26 | Pipes in the plaster layer |
| [59] | 66.3 for = 12 °C | 15 | 12 & 15 | 26 & 26.4 | The wall is made of plaster board, pipe attached to an aluminum foil, and a 5 cm insulation layer. |
| 50.2 for = 15 °C | |||||
| Current | 54–80 for = 12 °C | 10 & 30 | 12 & 15 | 25 & 30 | DCW-wall system |
| 41–65 for = 15 °C |
| Temperature Scenarios | Serpentine | Parallel | Spiral | |||||||||
|---|---|---|---|---|---|---|---|---|---|---|---|---|
| = 5 | = 10 | = 5 | = 10 | = 5 | = 10 | |||||||
| = 10 | = 30 | = 10 | = 30 | = 10 | = 30 | = 10 | = 30 | = 10 | = 30 | = 10 | = 30 | |
| = 12 °C | 21.92 | 16.11 | 20.90 | 15.97 | 21.80 | 15.13 | 19.90 | 14.61 | 20.0 | 15.17 | 19.0 | 15.0 |
| = 25 °C | ||||||||||||
| = 12 °C | 29.97 | 23.10 | 28.80 | 21.82 | 29.20 | 20.44 | 28.3 | 20.11 | 26.3 | 22.32 | 26.0 | 22.0 |
| = 30 °C | ||||||||||||
| = 15 °C | 16.93 | 13.0 | 16.2 | 12.4 | 15.2 | 10.8 | 15.0 | 10.3 | 16.0 | 12.4 | 14.1 | 12.2 |
| = 25 °C | ||||||||||||
| = 15 °C | 25.31 | 17.91 | 24.0 | 17.7 | 24.0 | 16.42 | 23.10 | 15.8 | 23.0 | 18.32 | 22.0 | 18.0 |
| = 30 °C | ||||||||||||
| Configuration | Wall Surface Area (m2) | |||||||||
|---|---|---|---|---|---|---|---|---|---|---|
| 4 | 6 | 8 | 10 | 12 | ||||||
| = 10 | = 30 | = 10 | = 30 | = 10 | = 30 | = 10 | = 30 | = 10 | = 30 | |
| spiral | 16.11 | 12.21 | 20 | 15.17 | 22.0 | 18.13 | 23.94 | 20.10 | 25.0 | 22.0 |
| serpentine | 18.04 | 12.0 | 21.92 | 16.11 | 25.07 | 18.0 | 27.20 | 20.0 | 28.10 | 21.90 |
| parallel | 17.0 | 11.24 | 21.80 | 15.13 | 23.90 | 17.10 | 26.0 | 18.90 | 28.0 | 20.80 |
Disclaimer/Publisher’s Note: The statements, opinions and data contained in all publications are solely those of the individual author(s) and contributor(s) and not of MDPI and/or the editor(s). MDPI and/or the editor(s) disclaim responsibility for any injury to people or property resulting from any ideas, methods, instructions or products referred to in the content. |
© 2023 by the authors. Licensee MDPI, Basel, Switzerland. This article is an open access article distributed under the terms and conditions of the Creative Commons Attribution (CC BY) license (https://creativecommons.org/licenses/by/4.0/).
Share and Cite
Rezvanpour, M.; Chen, Y. Space Cooling Energy Potential of Domestic Cold Water before Household Consumption in Cold-Climate Regions. Buildings 2023, 13, 1491. https://doi.org/10.3390/buildings13061491
Rezvanpour M, Chen Y. Space Cooling Energy Potential of Domestic Cold Water before Household Consumption in Cold-Climate Regions. Buildings. 2023; 13(6):1491. https://doi.org/10.3390/buildings13061491
Chicago/Turabian StyleRezvanpour, Mohammad, and Yuxiang Chen. 2023. "Space Cooling Energy Potential of Domestic Cold Water before Household Consumption in Cold-Climate Regions" Buildings 13, no. 6: 1491. https://doi.org/10.3390/buildings13061491
APA StyleRezvanpour, M., & Chen, Y. (2023). Space Cooling Energy Potential of Domestic Cold Water before Household Consumption in Cold-Climate Regions. Buildings, 13(6), 1491. https://doi.org/10.3390/buildings13061491

