Prediction of Ultimate Bearing Capacity of Pile Foundation Based on Two Optimization Algorithm Models
Abstract
1. Introduction
2. Prediction Method of Ultimate Bearing Capacity of Pile Foundation
2.1. Predictive Models (ANN, BP)
2.1.1. Artificial Neural Networks
2.1.2. BP Neural Network
2.2. Optimization Models (AGA, APSO)
2.2.1. Genetic Algorithm
2.2.2. Particle Swarm Algorithm
3. Modeling Process
3.1. Establishing the Data Set
3.2. BP Model Establishment
- 1.
- Kolmogorov theorem [38]:
- 2.
- Empirical formula based on the least squares method [39]:
- 3.
- Golden section method (where a is an integer between 0 and 10):
3.3. BP Neural Network Model Based on Adaptive Genetic Algorithm (AGA-BP)
Selection of AGA-BP Parameters
- Use the basic principle of the BP neural network to establish the topology structure of the BP neural network according to the input and output sample sets;
- Form an initialization population;
- Calculate the fitness value of all individuals in the population.
- Perform the genetic operations of selection, crossover, and mutation in turn, adaptively adjust the crossover and mutation rate in the evolution process, select excellent individuals as the parent generation, and then reproduce the next generation;
- Determine whether the termination condition of genetic evolution has been reached. If the condition is met, go to the next step, otherwise go to step 3;
- Obtain the optimal solution, extract the solution with the highest fitness, and assign the value to the BP neural network for training and learning.
3.4. BP Neural Network Model Fusion Adaptive Particle Swarm (APSO-BP)
Selection of APSO-BP Parameters
- Use the basic principle of the BP neural network, according to the input and output sample sets, to establish the topology structure of the BP neural network;
- Calculate the fitness value of the particle;
- Update the individual optimal position pbest and the global optimal position gbest;
- Update the current population through the particle learning strategy of the hybrid BP neural network;
- Run until termination criteria are met, the connection weight and threshold corresponding to the global optimal position are output to the BP neural network; otherwise, return to the second step;
- Continue training with the optimized BP neural network until the termination condition is met, and output the trained network.
4. Model Prediction Results and Discussion
5. Sensitivity Analysis
6. Summary and Conclusions
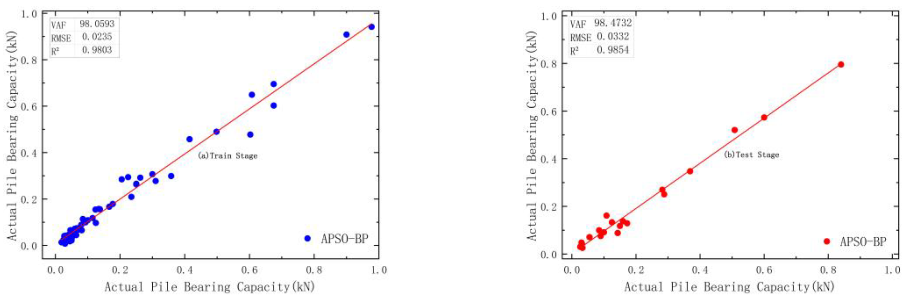
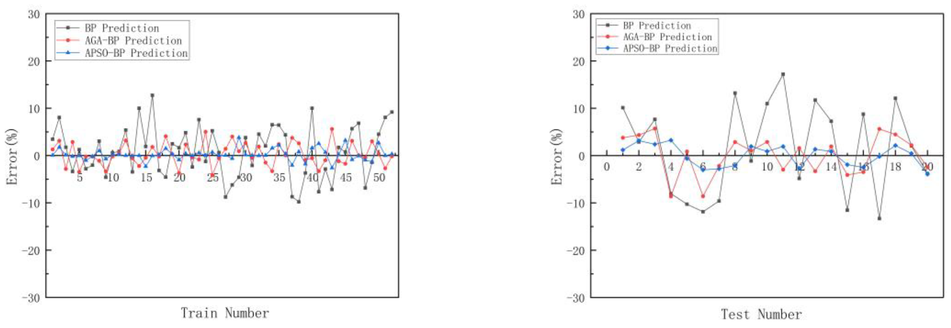
- For the prediction of the ultimate bearing capacity of the pile foundation, one BP neural network and two optimization network models are constructed. The prediction results are in good agreement with the measured data, and the correlation coefficients R2 of the test results are 0.9085, 0.9772, and 0.9854. When it is impossible to conduct a load test on each pile foundation in the construction of the project, the model can be used to predict the bearing capacity based on a small amount of test data, and the results can be used as a reference for design and shorten the project cycle.
- According to the performance of the model in the test set, R2, VAF, and RMSE were used to comprehensively evaluate the model. According to the comparison results, the BP neural network optimized by the adaptive particle swarm optimization algorithm had high accuracy, with an absolute error percentage of 2%. The predicted results of this model can provide a certain guiding significance and reference value for the design and calculation of pile foundation engineering.
- The performance of the proposed network model was compared with the results of the ANN, GP, and LMR models in the literature for predicting the ultimate bearing capacity of pile foundations. Through a comprehensive ranking of the training and test sets, the APSO-BP model proposed in this paper ranked first with a final score of 37. Based on the reference comparison with this method, we can see that the proposed neural network model outperforms other prediction methods and can achieve high accuracy in predicting the ultimate bearing capacity of pile foundations.
- With the accumulation of pile-bearing capacity test data, the developed APSO-BP model will be further optimized and attain higher prediction accuracy.
Author Contributions
Funding
Institutional Review Board Statement
Informed Consent Statement
Data Availability Statement
Conflicts of Interest
References
- Kordjazi, A.; Nejad, F.P.; Jaksa, M.B. Prediction of ultimate axial load-carrying capacity of piles using a support vector machine based on CPT data. Comput. Geotech. 2014, 55, 91–102. [Google Scholar] [CrossRef]
- Heins, E.; Grabe, J. FE-based identification of pile–soil interactions from dynamic load tests to predict the axial bearing capacity. Acta Geotech. 2019, 14, 1821–1841. [Google Scholar] [CrossRef]
- Shooshpasha, I.; Hasanzadeh, A.; Taghavi, A. Prediction of the axial bearing capacity of piles by SPT-based and numerical design methods. Int. J. GEOMATE 2013, 4, 560–564. [Google Scholar] [CrossRef]
- Hasanzadeh, A.; Shooshpasha, I. Numerical determination of the end bearing capacity of drilled shafts in sand. Jordan J. Civ. Eng. JJCE 2017, 11, 501–511. [Google Scholar]
- Qi, C.-G.; Liu, G.-B.; Wang, Y.; Deng, Y.-B. A design method for plastic tube cast-in-place concrete pile considering cavity contraction and its validation. Comput. Geotech. 2015, 69, 262–271. [Google Scholar] [CrossRef]
- Sakr, M. Comparison between high strain dynamic and static load tests of helical piles in cohesive soils. Soil Dyn. Earthq. Eng. 2013, 54, 20–30. [Google Scholar] [CrossRef]
- Amjad, M.; Ahmad, I.; Ahmad, M.; Wróblewski, P.; Kamiński, P.; Amjad, U. Prediction of Pile Bearing Capacity Using XGBoost Algorithm: Modeling and Performance Evaluation. Appl. Sci. 2022, 12, 2126. [Google Scholar] [CrossRef]
- Moayedi, H.; Hayati, S. Artificial intelligence design charts for predicting friction capacity of driven pile in clay. Neural Comput. Appl. 2019, 31, 7429–7445. [Google Scholar] [CrossRef]
- Borthakur, N.; Dey, A.K. Evaluation of Group Capacity of Micropile in Soft Clayey Soil from Experimental Analysis Using SVM-Based Prediction Model. Int. J. Geomech. 2020, 20, 04020008.1–04020008.17. [Google Scholar] [CrossRef]
- Pham, T.A.; Ly, H.-B.; Tran, V.Q.; Giap, L.V.; Vu, H.-L.T.; Duong, H.-A.T. Prediction of Pile Axial Bearing Capacity Using Artificial Neural Network and Random Forest. Appl. Sci. 2020, 10, 1871. [Google Scholar] [CrossRef]
- Chen, W.; Sarir, P.; Bui, X.; Nguyen, H.; Tahir, M.; Armaghani, D.J. Neuro-genetic, neuro-imperialism and genetic programing models in predicting ultimate bearing capacity of pile. Eng. Comput. 2020, 36, 1101–1115. [Google Scholar] [CrossRef]
- Dehghanbanadaki, A.; Khari, M.; Amiri, S.; Armaghani, D.J. Estimation of ultimate bearing capacity of driven piles in c-φ soil using mlp-gwo and anfis-gwo models: A comparative study. Soft Comput. 2021, 25, 4103–4119. [Google Scholar] [CrossRef]
- Harandizadeh, H.; Toufigh, M.M.; Toufigh, V. Application of improved ANFIS approaches to estimate bearing capacity of piles. Soft Comput. 2018, 23, 9537–9549. [Google Scholar] [CrossRef]
- Bagińska, M.; Srokosz, P.E. The Optimal ANN Model for Predicting Bearing Capacity of Shallow Foundations trained on Scarce Data. KSCE J. Civ. Eng. 2018, 23, 130–137. [Google Scholar] [CrossRef]
- Karimipour, A.; Abad, J.M.N.; Fasihihour, N. Predicting the load-carrying capacity of GFRP-reinforced concrete columns using ANN and evolutionary strategy. Compos. Struct. 2021, 275, 114470. [Google Scholar] [CrossRef]
- AlzoUbi, A.K.; Ibrahim, F. Predicting the pile static load test using backpropagation neural network and generalized regression neural network—A comparative study. Int. J. Geotech. Eng. 2018, 15, 810–821. [Google Scholar] [CrossRef]
- Panda, S.; Panda, G. Fast and improved backpropagation learning of multi-layer artificial neural network using adaptive activation function. Expert Syst. 2020, 37, e12555. [Google Scholar] [CrossRef]
- Luo, Z.; Hasanipanah, M.; Amnieh, H.B.; Brindhadevi, K.; Tahir, M.M. GA-SVR: A novel hybrid data-driven model to simulate vertical load capacity of driven piles. Eng. Comput. 2019, 37, 823–831. [Google Scholar] [CrossRef]
- Zhang, T.; Li, X. The Backpropagation Artificial Neural Network Based on Elite Particle Swam Optimization Algorithm for Stochastic Linear Bilevel Programming Problem. Math. Probl. Eng. 2018, 2018, 1626182. [Google Scholar] [CrossRef]
- Saffaran, A.; Moghaddam, M.A.; Kolahan, F. Optimization of backpropagation neural network-based models in EDM process using particle swarm optimization and simulated annealing algorithms. J. Braz. Soc. Mech. Sci. Eng. 2020, 42, 73. [Google Scholar] [CrossRef]
- Momeni, E.; Nazir, R.; Armaghani, D.J.; Maizir, H. Prediction of pile bearing capacity using a hybrid genetic algorithm-based ANN. Measurement 2014, 57, 122–131. [Google Scholar] [CrossRef]
- Singh, G.; Walia, B.S. Performance evaluation of nature-inspired algorithms for the design of bored pile foundation by artificial neural networks. Neural Comput. Appl. 2016, 28, 289–298. [Google Scholar] [CrossRef]
- Moayedi, H.; Mosallanezhad, M.; Rashid, A.S.A.; Jusoh, W.A.W.; Muazu, M.A. A systematic review and meta-analysis of artificial neural network application in geotechnical engineering: Theory and applications. Neural Comput. Appl. 2019, 32, 495–518. [Google Scholar] [CrossRef]
- Culloch, W.; Pitts, W.H. A logical calculus of the ideas immanent in neural nets. Bull. Math. Biophys. 1943, 5, 115–133. [Google Scholar] [CrossRef]
- Benali, A.; Hachama, M.; Bounif, A.; Nechnech, A.; Karray, M. A TLBO-optimized artificial neural network for modeling axial capacity of pile foundations. Eng. Comput. 2019, 37, 675–684. [Google Scholar] [CrossRef]
- Chen, Y.; Zhang, J.; Liu, Y.; Zhao, S.; Zhou, S.; Chen, J. Research on the Prediction Method of Ultimate Bearing Capacity of PBL Based on IAGA-BPNN Algorithm. IEEE Access 2020, 8, 179141–179155. [Google Scholar] [CrossRef]
- Luo, J.; Ren, R.; Guo, K. The deformation monitoring of foundation pit by back propagation neural network and genetic algorithm and its application in geotechnical engineering. PLoS ONE 2020, 15, e0233398. [Google Scholar] [CrossRef]
- Hua, H.; Xie, X.; Sun, J.; Qin, G.; Tang, C.; Zhang, Z.; Ding, Z.; Yue, W. Graphene Foam Chemical Sensor System Based on Principal Component Analysis and Backpropagation Neural Network. Adv. Condens. Matter Phys. 2018, 2018, 2361571. [Google Scholar] [CrossRef]
- Hughes, T.W.; Minkov, M.; Shi, Y.; Fan, S. Training of photonic neural networks through in situ backpropagation and gradient measurement. Optica 2018, 5, 864–871. [Google Scholar] [CrossRef]
- Holland, J.H. Adaptation in Natural and Artificial Systems; MIT Press: Cambridge, MA, USA, 1975. [Google Scholar]
- Moayedi, H.; Raftari, M.; Sharifi, A.; Jusoh, W.A.W.; Rashid, A.S.A. Optimization of ANFIS with GA and PSO estimating α ratio in driven piles. Eng. Comput. 2019, 36, 227–238. [Google Scholar] [CrossRef]
- Moayedi, H.; Moatamediyan, A.; Nguyen, H.; Bui, X.-N.; Bui, D.T.; Rashid, A.S.A. Prediction of ultimate bearing capacity through various novel evolutionary and neural network models. Eng. Comput. 2019, 36, 671–687. [Google Scholar] [CrossRef]
- Eberhart, R.; Kennedy, J. A new optimizer using particle swarm theory. In Proceedings of the Mhs95 Sixth International Symposium on Micro Machine & Human Science, Nagoya, Japan, 4–6 October 1995. [Google Scholar]
- Zhao, W.; Wang, L.; Zhang, Z. A novel atom search optimization for dispersion coefficient estimation in groundwater. Future Gener. Comput. Syst. 2019, 91, 601–610. [Google Scholar] [CrossRef]
- Harandizadeh, H.; Armaghani, D.J.; Khari, M. A new development of ANFIS–GMDH optimized by PSO to predict pile bearing capacity based on experimental datasets. Eng. Comput. 2019, 37, 685–700. [Google Scholar] [CrossRef]
- Liu, Y.J. Study of prediction method of vertical ultimate bearing capacity of single pile based on genetic algorithm and neural network. Rock Soil Mech. 2004, 25, 59–63. [Google Scholar]
- Swingler, K. Applying Neural Networks—A Practical Guide; Academic Press: Cambridge, MA, USA, 1996. [Google Scholar]
- Krková, V. Kolmogorov’s theorem and multilayer neural networks. Neural Netw. 1992, 5, 501–506. [Google Scholar] [CrossRef]
- Mitra, M.; Samanta, R.K. Cardiac Arrhythmia Classification Using Neural Networks with Selected Features. Procedia Technol. 2013, 10, 76–84. [Google Scholar] [CrossRef]
- Pham, T.A.; Tran, V.Q.; Vu, H.T.; Ly, H.B. Design deep neural network architecture using a genetic algorithm for estimation of pile bearing capacity. PLoS ONE 2020, 15, e0243030. [Google Scholar] [CrossRef]
- Srinivas, M.; Patnaik, L.M. Adaptive probabilities of crossover and mutation in genetic algorithms. IEEE Trans. Syst. Man Cybern. 2002, 24, 656–667. [Google Scholar] [CrossRef]
- Wang, B.; Moayedi, H.; Nguyen, H.; Foong, L.K.; Rashid, A.S.A. Feasibility of a novel predictive technique based on artificial neural network optimized with particle swarm optimization estimating pullout bearing capacity of helical piles. Eng. Comput. 2020, 36, 1315–1324. [Google Scholar] [CrossRef]
- Zorlu, K.; Gokceoglu, C.; Ocakoglu, F.; Nefeslioglu, H.A.; Acikalin, S. Prediction of uniaxial compressive strength of sandstones using petrography-based models. Eng. Geol. 2008, 96, 141–158. [Google Scholar] [CrossRef]
- Armaghani, D.J.; Faradonbeh, R.S.; Rezaei, H.; Rashid, A.S.A.; Amnieh, H.B. Settlement prediction of the rock-socketed piles through a new technique based on gene expression programming. Neural Comput. Appl. 2016, 29, 1115–1125. [Google Scholar] [CrossRef]
- Yong, W.; Zhou, J.; Armaghani, D.J.; Tahir, M.M.; Tarinejad, R.; Pham, B.T.; Van Huynh, V. A new hybridsimulated annealing-based geneticprogramming technique to predict the ultimatebearing capacity of piles. Eng. Comput. 2021, 37, 2111–2127. [Google Scholar] [CrossRef]












| Parameter | Unit | Max | Min | Mean | St.Dv. |
|---|---|---|---|---|---|
| L | m | 54 | 6.5 | 19.89 | 9.13 |
| A | m2 | 3.801 | 0.0707 | 0.68 | 0.80 |
| T | - | 4 | 1 | 2.50 | 1.12 |
| C | kPa | 44 | 6 | 24.19 | 7.86 |
| ° | 33 | 5 | 18.24 | 6.53 | |
| N | - | 13.3 | 4 | 7.93 | 2.25 |
| kPa | 8100 | 850 | 3269.73 | 1432.97 | |
| kN | 19,550 | 520 | 4190.14 | 4468.20 |
| Population Size | Average Absolute Error | Minimum Error Value | Simulation Time (Second) |
|---|---|---|---|
| 10 | 0.038142 | 0.021556 | 15.62 |
| 20 | 0.025484 | 0.0033629 | 41.33 |
| 30 | 0.009778 | 0.0057508 | 44.14 |
| 40 | 0.023702 | 0.0052848 | 82.40 |
| 50 | 0.019769 | 0.0049129 | 92.69 |
| 60 | 0.016872 | 0.0058662 | 116.76 |
| 70 | 0.010416 | 0.0020544 | 203.29 |
| 80 | 0.016348 | 0.0035507 | 276.18 |
| 90 | 0.013775 | 0.0049619 | 301.90 |
| 100 | 0.18456 | 0.0024573 | 328.65 |
| Model No. | Swarm Size | APSO-BP Results | Ranking | Total Score | Total Ranking | ||||||
|---|---|---|---|---|---|---|---|---|---|---|---|
| Training | Testing | Training | Testing | ||||||||
| RMSE | R2 | RMSE | R2 | RMSE | R2 | RMSE | R2 | ||||
| 1 | 25 | 0.0362 | 0.9769 | 0.0446 | 0.9709 | 4 | 4 | 1 | 1 | 10 | 7 |
| 2 | 50 | 0.0366 | 0.9766 | 0.0407 | 0.9759 | 3 | 3 | 2 | 2 | 10 | 7 |
| 3 | 75 | 0.0317 | 0.9823 | 0.0304 | 0.9865 | 6 | 6 | 8 | 8 | 28 | 1 |
| 4 | 100 | 0.0401 | 0.9717 | 0.0337 | 0.9838 | 1 | 1 | 6 | 6 | 14 | 6 |
| 5 | 150 | 0.0272 | 0.9865 | 0.0378 | 0.9791 | 8 | 7 | 3 | 3 | 21 | 3 |
| 6 | 200 | 0.0328 | 0.9810 | 0.0368 | 0.9795 | 5 | 5 | 4 | 4 | 18 | 4 |
| 7 | 250 | 0.0281 | 0.9872 | 0.0364 | 0.9818 | 7 | 8 | 5 | 5 | 25 | 2 |
| 8 | 300 | 0.0371 | 0.9765 | 0.0326 | 0.9849 | 2 | 2 | 7 | 7 | 18 | 4 |
| No. | L (m) | A (m2) | T | C (kPa) | (°) | N | (kPa) | (kN) |
|---|---|---|---|---|---|---|---|---|
| 1 | 24.24 | 0.1963 | 1 | 28 | 21.2 | 9.2 | 3400 | 3190 |
| 2 | 28.8 | 0.1590 | 1 | 13 | 21.0 | 8.5 | 4000 | 2860 |
| 3 | 13.64 | 0.0908 | 2 | 31 | 20.5 | 8.3 | 1600 | 600 |
| 4 | 16.57 | 0.2827 | 2 | 37 | 15.4 | 7.4 | 4200 | 2000 |
| 5 | 24.68 | 3.8013 | 3 | 23 | 10.5 | 6.3 | 3600 | 16,800 |
| 6 | 14.2 | 0.7854 | 3 | 34 | 18.5 | 7.9 | 3800 | 2160 |
| 7 | 14.63 | 0.1257 | 1 | 24 | 16.7 | 7.2 | 2100 | 630 |
| 8 | 12.32 | 0.2827 | 4 | 25 | 18.1 | 6.9 | 1200 | 1100 |
| 9 | 11.53 | 1.5394 | 3 | 25 | 20.0 | 7.1 | 6500 | 12,000 |
| 10 | 33.22 | 0.7854 | 4 | 19 | 22.0 | 8.4 | 2400 | 5650 |
| 11 | 8.55 | 0.2827 | 4 | 23 | 30.5 | 13.1 | 850 | 660 |
| 12 | 22.19 | 0.1810 | 2 | 42 | 22.6 | 7.8 | 3000 | 1700 |
| 13 | 6.78 | 0.1257 | 4 | 34 | 15.4 | 4.7 | 1300 | 520 |
| 14 | 27.86 | 0.7854 | 4 | 22 | 14.4 | 6.5 | 2800 | 5760 |
| 15 | 27.95 | 0.1963 | 2 | 41 | 11.3 | 5.6 | 5000 | 3000 |
| 16 | 20.95 | 1.7671 | 3 | 18 | 5.0 | 4.0 | 5000 | 10,160 |
| 17 | 18.47 | 0.1590 | 1 | 28 | 6.6 | 5.3 | 5100 | 2500 |
| 18 | 21.55 | 0.1257 | 1 | 15 | 22.1 | 9.7 | 4300 | 1800 |
| 19 | 18.35 | 1.1310 | 3 | 30 | 22.4 | 8.7 | 4700 | 7380 |
| 20 | 24.12 | 0.3318 | 2 | 34 | 10.2 | 6.0 | 3900 | 3450 |
| Model | System Results | Ranking | Total Score | Total Ranking | ||||||||||
|---|---|---|---|---|---|---|---|---|---|---|---|---|---|---|
| Train | Test | Train | Test | |||||||||||
| R2 | VAF | RMSE | R2 | VAF | RMSE | R2 | VAF | RMSE | R2 | VAF | RMSE | |||
| BP-ANN | 0.9136 | 90.2796 | 0.0889 | 0.9085 | 91.9316 | 0.0938 | 1 | 3 | 1 | 1 | 3 | 1 | 10 | 3 |
| AGA-BP | 0.9702 | 97.0672 | 0.0494 | 0.9772 | 97.8348 | 0.0436 | 2 | 2 | 2 | 2 | 2 | 2 | 12 | 2 |
| APSO-BP | 0.9803 | 98.0593 | 0.0387 | 0.9854 | 98.4732 | 0.0332 | 3 | 1 | 3 | 3 | 1 | 3 | 14 | 1 |
| Models | Training Data Set | Testing Data Set | Ranking | Total Score | Total Ranking | |||||
|---|---|---|---|---|---|---|---|---|---|---|
| R2 | RMSE | R2 | RMSE | Train | Test | |||||
| ANN [21] | 0.809 | 0.116 | 0.99 | 0.108 | 1 | 2 | 1 | 2 | 6 | 9 |
| GP [11] | 0.976 | 0.051 | 0.986 | 0.040 | 9 | 6 | 9 | 7 | 31 | 2 |
| GA-ANN [21] | 0.96 | 0.1072 | 0.99 | 0.0447 | 4 | 3 | 5 | 5 | 17 | 8 |
| FP-GMDH [13] | 0.97 | 0.0594 | 0.96 | 0.0647 | 7 | 5 | 7 | 4 | 23 | 6 |
| ANFIS-GMDH-GSA [13] | 0.965 | 0.065 | 0.94 | 0.082 | 6 | 4 | 6 | 3 | 19 | 7 |
| LMR [44] | 0.835 | 1.737 | 0.751 | 1.767 | 2 | 1 | 2 | 1 | 6 | 9 |
| GA-SVR [18] | 0.955 | 0.051 | 0.943 | 0.031 | 5 | 6 | 4 | 9 | 24 | 5 |
| TLBO-ANN [25] | 0.941 | 0.035 | 0.943 | 0.030 | 3 | 10 | 3 | 10 | 26 | 4 |
| AGA-BP | 0.9702 | 0.0494 | 0.9772 | 0.0436 | 8 | 8 | 8 | 6 | 30 | 3 |
| APSO-BP | 0.9803 | 0.0387 | 0.9854 | 0.0332 | 10 | 9 | 10 | 8 | 37 | 1 |
Disclaimer/Publisher’s Note: The statements, opinions and data contained in all publications are solely those of the individual author(s) and contributor(s) and not of MDPI and/or the editor(s). MDPI and/or the editor(s) disclaim responsibility for any injury to people or property resulting from any ideas, methods, instructions or products referred to in the content. |
© 2023 by the authors. Licensee MDPI, Basel, Switzerland. This article is an open access article distributed under the terms and conditions of the Creative Commons Attribution (CC BY) license (https://creativecommons.org/licenses/by/4.0/).
Share and Cite
Ren, J.; Sun, X. Prediction of Ultimate Bearing Capacity of Pile Foundation Based on Two Optimization Algorithm Models. Buildings 2023, 13, 1242. https://doi.org/10.3390/buildings13051242
Ren J, Sun X. Prediction of Ultimate Bearing Capacity of Pile Foundation Based on Two Optimization Algorithm Models. Buildings. 2023; 13(5):1242. https://doi.org/10.3390/buildings13051242
Chicago/Turabian StyleRen, Jiajun, and Xianbin Sun. 2023. "Prediction of Ultimate Bearing Capacity of Pile Foundation Based on Two Optimization Algorithm Models" Buildings 13, no. 5: 1242. https://doi.org/10.3390/buildings13051242
APA StyleRen, J., & Sun, X. (2023). Prediction of Ultimate Bearing Capacity of Pile Foundation Based on Two Optimization Algorithm Models. Buildings, 13(5), 1242. https://doi.org/10.3390/buildings13051242
