Next Article in Journal
Classification of Low-Strain Foundation Pile Testing Signal Using Recurrent Neural Network
Previous Article in Journal
An Improved Equation for the Bearing Capacity of Concrete-Filled Steel Tube Concrete Short Columns Based on GPR
Previous Article in Special Issue
Research on the Carbon Emission Baselines for Different Types of Public Buildings in a Northern Cold Areas City of China
 
 
Font Type:
Arial Georgia Verdana
Font Size:
Aa Aa Aa
Line Spacing:
Column Width:
Background:
Article

Distribution Characteristics of Cooking Oil Fume Particles in Residential Kitchens in Cold Regions

1
School of Architecture, Tianjin University, Tianjin 300072, China
2
China Academy of Building Research, Beijing 100011, China
*
Author to whom correspondence should be addressed.
Buildings 2023, 13(5), 1227; https://doi.org/10.3390/buildings13051227
Submission received: 21 March 2023 / Revised: 14 April 2023 / Accepted: 26 April 2023 / Published: 7 May 2023
(This article belongs to the Special Issue Healthy Green Building Planning and Design)

Abstract

A kitchen is an important part of a residence, and air quality in kitchens is a major factor affecting residents’ health and performance. Its influence is especially more evident in kitchens with typical Chinese cooking. Thus, it is important to understand distribution characteristics of oil fume particles in Chinese kitchens, and research on typical Chinese kitchen environments and movement characteristics of soot particles should be emphasized. Therefore, to understand the air pollution in kitchen environments, a full-scale experimental platform was built based on common Chinese-style residential kitchens to monitor the soot particles, explore the space–time distribution characteristics of the soot particles, and analyze the variation characteristics and distribution laws of number concentration (NC) and mass concentration (MC). The results indicated that NC0.3μm value fluctuated slightly during the whole cooking process, while NC0.3μm~0.5μm and NC0.5μm~1.0μm fluctuated sharply. During the peak period, NC0.3μm~0.5μm and NC0.5μm~1.0μm were significantly higher than those at the beginning and end of cooking (p < 0.05), and there was no significant difference between values of NC0.3μm~0.5μm and NC0.5μm~1.0μm at the beginning and end of cooking (p > 0.05 for both). NC0.3μm and NC0.3μm~0.5μm were significantly different between each position (p < 0.05 for all). There were also significant differences in NC0.3μm between pure meat dishes, pure vegetable dishes, and mixed dishes (p < 0.001). The proportion of cooking meat will significantly affect the composition and concentration of lampblack particles. Type of dishes is an important influencing factor for the emission rates of particulate pollutants. Small-sized lampblack particles were more likely to diffuse to the surroundings and affected the air quality of the whole room. Particulate matter in the kitchen space during the frying process is more harmful to the health of personnel.

1. Introduction

Research indicated that Chinese residents spend about 3.6 h in the kitchen every day [1]. People’s attention to the field of architecture has gradually shifted from “green buildings” centered on the ecological environment to “healthy buildings”. Healthy buildings have been regarded as having deeper requirements and higher development stages than green buildings [2]. Therefore, healthy kitchen environments are essential to every family. However, the air quality of residential kitchens in China is not satisfactory. The main source of indoor air pollution in kitchens is the cooking process [3], especially the traditional Chinese cooking process, which produces kitchen pollutants unique to residential buildings, including gaseous and particulate matter, further leading to a series of issues such as indoor air pollution and environmental quality degradation in residential buildings, causing concern from all sectors of society and forming one of the focuses of research in the field. The particulate pollutants generated in the cooking process seriously endanger people’s life and health, are significantly related to the incidence rate of respiratory system and cardiovascular diseases, lung diseases, asthma, and other diseases, and will have adverse effects on the sanitary environment of kitchens and the physical and mental health of indoor personnel [4,5]. Epidemiology confirmed that there was an association between exposure to cooking smoke and lung cancer risk among Chinese women who never smoke in a poorly ventilated environment [6]. When the concentration of particulate matter in house is high, it will cause respiratory system, cardiovascular system, and other diseases [7]. Based on a survey [8], 89% of respondents complained that they would often be exposed to kitchen lampblack, and the main reason is that the air quality in Chinese kitchens is very poor [9]. According to a field research data, most urban residential kitchens are found to contain gaseous air pollutants (such as CO, CO2, NO2, and TVOC (total volatile organic compounds)) and a variety of particulate pollutants, and all of them exceed the limits specified in Chinese national standards [10]. The amount of lampblack produced during cooking is directly related to cooking style and traditional cooking habits. The greater the amount of oil used, the fiercer the fire, and the more frequent the frying, the more lampblack is produced [11]. The physical and chemical characteristics of fine particles lead to their complex exposure characteristics and biological effects [12]. The characteristics of fine particles and the health risks caused by them have attracted attention, but the research data are relatively scarce, and the existing research on the distribution characteristics of fine particles in industrial and residential buildings is rarely involved. Some studies showed that [13] the concentration of oil fume particles in the breathing area of the personnel is the highest during cooking, and the concentration of oil fume particles is still in a high range within 1 min after cooking. The seasoning added in the cooking process will significantly increase the concentration of soot particles in the breathing area of the personnel. Repeated and stir-frying of food ingredients will also cause obvious changes in soot particles in the breathing area of the personnel. The cooking and frying methods have the largest emissions of soot particles, while the cooking and steaming methods have relatively small emissions [14,15]. The emission rate and distribution of particulate matter are affected by many factors [16,17,18].
Many scholars have conducted relevant research on the physicochemical properties and characteristics of soot particles. Karimatu et al. [19] reviewed the weight concentration, particle size distribution, and chemical composition of aerosols produced by typical cooking methods reported in the literature. Chiang [20] and Li [21], respectively, studied the indoor environment of domestic kitchens and catering industry kitchens in China, focusing on the distribution of air pollutants, thermal environment, and air flow field in kitchens. Research had shown that after installing an exhaust hood, it was not possible to completely remove pollutants from the kitchen, and its effects on the emission of kitchen waste heat was also very limited. Lai [1] designed a side ventilation system for use in standard kitchens and experimentally verified its effectiveness. The results showed that CO2 was mainly generated by the combustion of gas and had little correlation with the cooking process. Lee found that whether it was fried food or soup making, this type of cooking behavior produces a large amount of particulate pollutants [22]. Lu et al. [14] conducted a questionnaire survey to investigate the concentration of PM2.5 in the direct exposure area of Chinese household cooking. The questionnaire survey involved cooking, steaming, and 11 other Chinese ordinary household cooking experiments. The results showed that frying methods had the largest PM2.5 emission intensities, while boiling and steaming methods had relatively small emissions intensities. Most of the 11 cooking methods had oil smoke pollution values that exceeded the national indoor air standards. The average concentration of PM2.5 in the direct breathing zone of the home cooking space was 0.599 mg/m3, which was about eight times the national indoor air quality standard. A study [23] measured the situation of fine particulate matter (PM2.5 and PM10.0) generated during cooking in kitchen spaces with hood exhausters in 30 family dwellings and analyzed the impact of cooking on indoor air quality. The results showed that the concentration of fine particles in the cooking process exceeded the indoor concentration standards of PM10.0 and PM2.5 in South Korea. The particle concentration decay rate constant measured in the field was 1.27 h−1~21.83 h−1, and the emission rate was 0.39 mg/min~20.45 mg/min. In addition, four different cooking methods were selected to quantitatively evaluate the dispersion of fine particulate matter concentration, the emission rate of particulate matter, the attenuation rate constant, and the change in the concentration ratio of the kitchen. The results showed that cooking style significantly affected indoor particle concentration. The weights of many factors that affect the emission intensity of kitchen particulate matter had also been studied. Wallace et al. [23] conducted a study on the production of particulate matter during cooking, with data collected for 18 months and every 5 min. Research showed that the amount of ultrafine particles during cooking was 10 times greater than during non-cooking, and cooking also increases the concentration of indoor soot particles by three times.
Currently, research on the emission characteristics of particulate pollutants in Western cooking is relatively rich, while research on the emission characteristics and particle size distribution of particulate pollutants in Chinese cooking is relatively lacking. Chen et al. [24] studied the effects of five important factors (cooking method, dish component weight, raw material type, meat/vegetable ratio, and edible oil type) on the emission rate of PM2.5 during Chinese cooking by using orthogonal experiments. The results showed that the average emission rate of PM2.5 from fried, fried, and fried dishes was 3.352 mg/min ± 3.358 mg/min. Previous studies provided some data on the characteristics of particulate pollutants emitted by Chinese cooking methods, which can assess the potential impact of kitchen particulate pollutants on the indoor environment and personnel. However, these studies have not comprehensively and systematically discussed the physical emission characteristics of particulate pollutants emitted by Chinese cooking methods. Gao et al. [25] adopted the method of heating cooking oil to determine the partial emission characteristics of particulate pollutants generated during the cooking process. However, whether using only heated oil experiments can represent the emission characteristics of real cooking processes was still controversial in academic circles. In order to obtain the true emission characteristics of particulate pollutants, it is necessary to conduct in-depth research on the emission characteristics of actual Chinese cooking particulate pollutants.
The problem of oil fume particles pollution caused by the cooking process is increasingly serious, and it is one of the important pollution sources that affect the air quality of residential buildings. Kitchen lampblack is a three-phase aerosol [26]. The particles of lampblack can generate reactive oxygen radicals and lipid peroxides after entering the body, which is one of the important causes of lung disease [27]. A comprehensive understanding of the movement characteristics of particulate pollutants during cooking can help to analyze the impact of particulate pollutants on the indoor environment and their migration rules; on the other hand, it also provides a scientific basis for the design of new household kitchen smoke extraction methods and systems. Relevant scholars have carried out a lot of research on the emission characteristics of particulate matter and other substances emitted during cooking [28,29,30]. Research results of Lunden et al. found that particulate pollutants are more difficult to capture and collect during cooking, and the particle size of particulate matter will also affect the capture effect [31,32]. It is important to understand the emission characteristics of particulate pollutants for the capture and collection of particulate pollutants during cooking. However, there are few studies on the distribution characteristics of oil fume particles and few reports on the number concentration (NC), mass concentration (MC), and particle size distribution of particles in residential kitchens.
Given the limitations of the existing research, it is necessary to continue to study the movement and distribution characteristics of soot particles in typical Chinese cooking processes. More importantly, given the practical issue mentioned at the beginning of this article, namely, the serious lack of elderly-friendly infrastructure in existing communities in China, there is an urgent need to assess the impact of various facilities to determine priorities for reconstruction in the context of limited resources. Therefore, this study takes the particulate matter in the Chinese kitchen as the research object and explores its spatiotemporal distribution characteristics with a view to initially clarify the distribution and movement characteristics of the smoke particles in the residential kitchen, providing a basis for the health risk management of the exposed population and laying an experimental foundation for the future research on the removal of the smoke particles in the residential kitchen. We aim to demonstrate the urgency of managing the kitchen environment and point the way for it to contribute to positive and healthy residential buildings.

2. Materials and Methods

2.1. Laboratory

China has a vast territory, with various forms of residential kitchens [33]. This paper takes the most common square layout of residential kitchens in China as a typical form, builds a full-scale laboratory, and explores and analyzes the distribution characteristics of oil fumes in residential kitchens in cold regions. Beijing is the most famous metropolis in China, with a population of over 20 million. Therefore, this is an excellent choice for investigating the residential kitchen environment during typical Chinese cooking processes. Before the experiment, a large amount of research work was also conducted, mainly including the layout of Chinese home kitchens, properties of oil fume particles, and main diffusion characteristics of oil fume particles. Based on these research results, we have determined the form of the experimental platform. To this end, a typical Chinese residential kitchen laboratory was built. A residential kitchen is a typical part of a medium-sized family apartment. Stoves and appliances are typical types used in residential kitchens in China. To reduce the impact of outdoor pollutants, there was no open chimney or other pollution sources near the built experimental system. The laboratory structure and site conditions are shown in Figure 1, and relevant parameter settings are shown in Table 1.
During the cooking process, Chinese people usually close outside windows of the kitchen to prevent exhaust air from flowing back into the kitchen, and also to prevent wind from blowing into the kitchen, which may affect the combustion efficiency. The inner kitchen door also needs to be closed. In this case, it was indeed to keep windows and interior doors closed.

2.2. Experimental Test Instruments

The experimental range hood was a new type of range hood, and the smoke exhaust form was top suction type. The control mode can realize body feeling control and touch control (Figure 2). The air flow at the hood mouth was about 1.8 m/s during operation.
The concentration of oil smoke particles was measured by using the dust particle counter (Gravel PC3016-IAQ, Lighthouse, America). The sampling flow is 2.83 L/min high-precision constant current sampling, the detection range is 0~500 mg/m3, the detection accuracy is 0.1 μG/m3, and the maximum inlet particle size is 145 μm. The operating ambient temperature range is 10.0~40.0 °C, and the operating ambient relative humidity range is 20.0~95.0%.
The auxiliary measurement index was the environmental meteorological conditions. The atmospheric pressure of the experimental environment was measured with the air-box barometer (DYM3-02, Liangchen, China). The measuring range is 800~1064 hPa, the operating temperature range is −40.0~100.0 °C, and the minimum graduation value of the dial is 0.1 hPa. The temperature and humidity of the experimental environment are measured with the digital display temperature and humidity recorder (TM837, TECMAN, China). The temperature measurement range is −10.0~50.0 °C, and the accuracy is ≤±0.5 °C. The humidity measurement range is 5.0~99.0%, and the accuracy is ≤±5.0%. The equipment used has been strictly calibrated by relevant professional institutions.

2.3. Case-Study Dishes

The main cooking method in this study was stir-fry, which covers the main dishes in China. The diet of Chinese people is very complex. However, many families will use green pepper and meat as cooking ingredients. Therefore, this study chose three common dishes: stir-fried green pepper, stir-fried meat, and green pepper stir-fried meat. The reason for choosing these three dishes is as follows: firstly, these three dishes are the most favored home-cooked dishes by Chinese people, which are commonly cooked by ordinary families and involve a wide range of ingredients. Secondly, these ingredients are very prone to producing oil smoke particles during the cooking process. Therefore, these three dishes were selected in this experiment. The amount of food was designed for a family of three. Vegetable oil was used as cooking oil. All ingredients and condiments were purchased from a local supermarket, and their usage was measured. The experiment was repeated twice for each cooked dish for optimal control of consistency.

2.4. Test Condition and Scheme

The experiment used a stir-frying cooking style, with the main focus on common Chinese dishes, including pure vegetarian dishes (fried green peppers), pure meat dishes (fried meat), and meat and vegetable dishes (fried meat with green peppers). The working condition of oil smoke exhaust was high-speed smoke exhaust gear. During the experiment, the laboratory was kept closed (doors and windows closed), the experimental equipment was fixed, and indoor particulate matter was measured at the same time. The sampling points were above the pot, at the horizontal position of the personnel breathing area, and in the center of the kitchen. The height of the central instrument in the kitchen was 1.1~1.2 m.
Specific detection scheme: ① background concentration measurement. The concentration of particulate matter in the air in the kitchen was selected before cooking as the background concentration, and there was no operation and other particulate matter release sources when detecting the background concentration; ② detection of cooking fume particles. The time–space distribution law of particulate matter was analyzed by the fixed-point sampling method (10 min data were collected in the whole process). Individual sampling instruments were placed above the pan, in the personnel breathing area, and in the center of the kitchen. The detection time was from cooking oil to cooking activity (Figure 3). During the test, there were two indoor personnel, the indoor temperature was 18~23 °C, and the relative humidity was 40~65%.

2.5. Statistical Analysis

A statistical analysis was carried out using all data collected from each equipment. Single-factor analysis of variance (ANOVA) was used to compare the exposed particles at different locations, the particles in different dishes, and the amount and concentration of particles with different particle sizes. LSD method (homogeneous variance) and Dennett’s t3 (nonhomogeneous variance) were used to compare the two, and the Statistical Package for Social Science (SPSS) 22 was used for this purpose. The number concentration of particulate matter in different time periods were analyzed by one-way ANOVA of repeated data. Results were considered to be statistically significant at p < 0.05.

3. Results

3.1. Background Concentration

To avoid the impact of previous environments on subsequent experiments, experimental tests were conducted on the concentration of particulate pollutants in the background environment before each experiment. The time for each environmental background test was more than 20 min, and the test interval was 10 s. During the testing process, the doors and windows were still kept tightly closed to ensure that they were not disturbed by the external environment.
It can be seen from Figure 4 that when cooking activities were not carried out, although each particle size in the background environment was not zero, the concentration of pollutants of each particle size in the background environment was very low. According to relevant research [34], it can be concluded that this concentration differs by at least two orders of magnitude compared to the concentration of particulate pollutants generated during the cooking process and would not affect the data results during the experimental process. It should be noted that in the data processing of this article, the background concentration before each experiment is excluded.

3.2. Change Law of Particle Quantity Concentration

Exposure characteristics of particulate matter in the respiratory area of personnel was analyzed, as shown in Figure 4. At the respiratory area, particulate matter NC0.3μm~1.0μm showed a fluctuating trend, while NC1.0μm~10.0μm was relatively stable. NC0.3μm~0.5μm had the largest increase. The peak concentration of oil fume particles of each particle size appeared at about 200 s, and the larger the particle size was, the longer the peak appeared. Before 20 s, it was time to add edible oil. At this stage, the cooking oil was mainly heated, and there was no cooking activity. The particles produced were small, mainly NC0.3μm, with an average of about 2 × 105/cm3. After adding dishes and stir fry (a period of frequent cooking activities), the mean value of NC0.3μm did not change much, while NC0.3μm~0.5μm particulate matter and NC0.5μm~1.0μm increased significantly (p < 0.001). After cooking activities, the mean value of NC0.3μm~0.5μm and NC0.5μm~1.0μm dropped rapidly, lower than that during the peak period (p < 0.001), but higher than that during the preparation period (p < 0.01).
The fluctuation of NC0.3μm during the whole process was small and had been at a high level. The NC0.3μm~0.5μm and NC0.5μm~1.0μm during the peak period were significantly higher than those at the beginning and end of cooking (p < 0.05), but there was no significant difference between the NC0.3μm~0.5μm and NC0.5μm~1.0μm at the beginning and end of cooking (p > 0.05).

3.3. Characteristics of Particulate Matter in Residential Kitchens

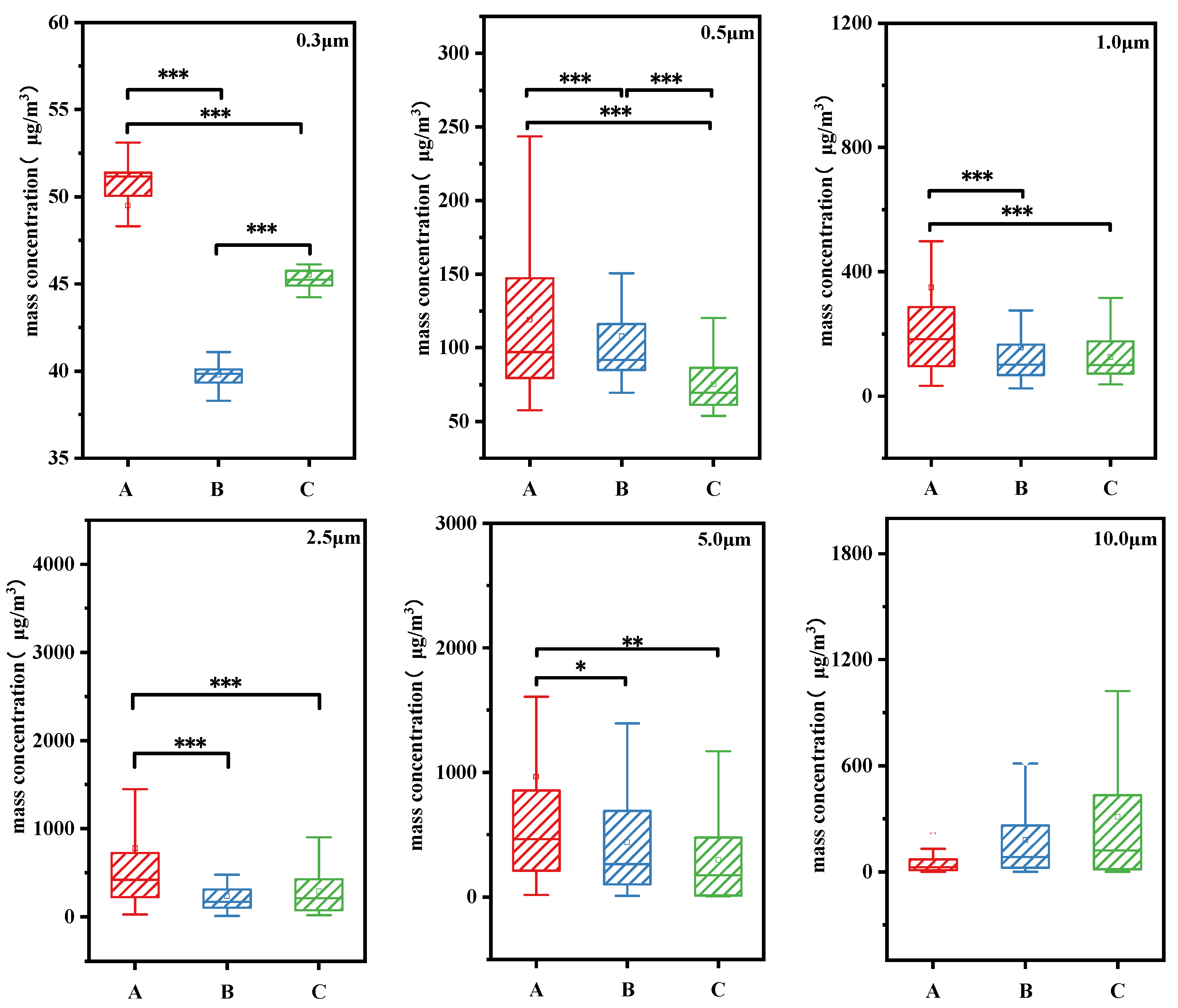
Figure 5 shows the concentration of particles with different particle sizes in different spaces. Figure 5A represents the position above the stove, Figure 5B represents the position of the mouth and nose, and Figure 5C represents the central position of the kitchen. It can be seen that the concentration of particulate pollutants with different particle sizes varies significantly at different locations (p < 0.05). For MC0.3μm and MC0.3μm~0.5μm, there was significant difference between different positions (p < 0.001). For MC0.5μm~5.0μm, the concentration at the three locations gradually decreased, while for MC5.0μm~10.0μm, there was no significant difference between the mouth and nose and the center of the kitchen, and the concentration was relatively low. This is because particles with larger particle sizes are easily controlled and can be eliminated as soon as possible. However, particles with smaller particle sizes will continue to diffuse with the airflow organization, resulting in a significant increase in the concentration of particles at the center of the kitchen. Concentration of particulate pollutants in different spaces in Figure 6.
Figure 7 shows the variation rule of particle size. As can be seen from the figure, there were differences in the variation rules of particle sizes for different dishes. Figure 7A represents the position above the stove, Figure 7B represents the respiratory area, and Figure 7C represents the central position of the kitchen. Peak NC0.3μm of pure meat vegetables was slightly lower. For NC0.3μm~5.0μm, peak concentration of pure meat dishes was higher than that of the other two dishes. It can also be found that when green pepper and meat were cooked simultaneously, the amount of soot particles produced was slightly less than when the two ingredients were cooked alone.
Figure 8 shows the particulate contamination levels of different dishes at the respiratory area of personnel. For dishes, the concentration of particles with different particle sizes had significant differences in the respiratory area of personnel (p < 0.01). There was a significant difference (p < 0.001) between the NC0.3μm of pure meat dishes and the other two cuisines. For NC5.0μm~10.0μm, there was no significant difference between the three dishes (p = 0.32). One reason is that the amount of NC5.0μm~10.0μm produced during cooking was relatively small and the concentration was relatively low. Another reason is that the particle size of PM5.0μm~10.0μm was relatively large and easily controlled. In addition, cooking pure meat dishes produced higher levels of NC0.5μm~10.0μm than the other two cuisines, and more particulate pollutants were generated during the cooking process.

4. Discussion

In previous studies, Gao et al. [25] adopted the method of heating cooking oil to determine the emission characteristics of particulate pollutants generated during the cooking process. According to the results of this article, the fluctuation of NC0.3μm~10.0μm in the early cooking period was lower than the background concentration value, while the fluctuation of NC0.3μm~10.0μm in the peak cooking period is higher than the background concentration value, and there is a significant difference between the NC0.3μm~0.5μm in the early cooking period and the peak cooking period. The preliminary work is mainly to heat edible oil, without frying vegetables. Although there will be soot particles, it will not cause an increase in NC0.3μm~10.0μm. It can be seen that there is considerable uncertainty as to whether using only heated oil experiments can represent the emission characteristics of particulate matter during real cooking processes. In order to obtain accurate distribution characteristics of soot particles, it is necessary to study the actual Chinese cooking methods of particles.
The object tested in this study is mainly 0.3~10.0 μm fine particles. The concentration of particles above 1.0 μm generated during cooking was relatively low, and the retention time in the air is short, which was difficult to capture. In the composition of particulate matter, the proportion of particle size below 1.0 μm is more than 90%, and the proportion of particle size below 2.5 μm is more than 96%. Even if there is an agglomeration (coagulation) effect of fine particles [35], there was no excessive generation of large particles.
When studying the characteristics of NC0.3μm~10.0μm at different locations, it was found that NC0.3μm~10.0μm above the pot presented a uniform pattern, but there was a difference in the exposure characteristics between the personnel’s mouth and nose and the center of the kitchen. NC0.3μm~0.5μm at the personnel’s mouth and nose was higher than that at the center of the kitchen (p < 0.001), but the NC0.3μm at the personnel’s mouth and nose was lower than the center of the kitchen (p < 0.001). Small particles are more susceptible to the impact of air flow patterns, which can be carried away by the range hood or continuously spread around. The movement law of large particle size particles is relatively stable, and the concentration is also low. Toxicology and epidemiology have shown that low soluble fine particles are highly correlated with lung inflammation [36,37], as well as with population health damage [38]. Therefore, the degree of harm caused by spatial exposure of particulate matter during cooking is very large, which may affect other rooms.
Studying the NC0.3μm~10.0μm characteristics of particulate matter produced by different dishes, it was found that fried meat NC0.3μm was significantly lower than the other two dishes (p < 0.01), while NC0.3μm~5.0μm was significantly higher than the other two dishes (p < 0.01), but the difference in NC5.0μm~10.0μm was not statistically significant (p > 0.05), considering that fried meat dishes have different ingredients from other dishes, and the particulate matter content is not entirely the same. When the proportion of meat is high, it will contain a large amount of fat, while vegetables contain a large amount of water. Therefore, the exposure of fine particulate matter during fried meat dishes may be far more harmful than other dishes. The ratio of meat to vegetable had a significant impact on the emission rate of fine particles during Chinese cooking, which is consistent with the research results of Chen et al. [24].
The air flow in the kitchen environment was relatively stable, but the movement of people and the air flow will have interference, resulting in changes in the distribution of fine particles. The sampling results of fine particles are closely related to the sampling location and distance [39], and the detection work itself had certain difficulties. There were many and complex factors that affect the kitchen environment of residential buildings. One purpose of this study is to obtain the relationship between various factors and the kitchen environment quality through experimental detection. However, the conditions of the kitchen in reality are quite different from those of the laboratory and are highly uncontrollable. For the real kitchen, further research is still needed. The components of kitchen lampblack are complex [40], including aldehydes, ketones, hydrocarbons, etc., and including toxic and even carcinogenic substances. In addition to several particle sizes tested in this paper, ultrafine particles are also included. The physical and chemical properties of particulate matter have a significant impact on the human body [41]. It is necessary to strengthen the performance of domestic range hoods, improve their effectiveness in removing soot particles, improve the airflow organization of residential kitchens, improve kitchen air quality, and ensure the health and safety of residents. In addition, in the process of the experiment, how to eliminate the influence of background mixed particles in the experimental environment and external interference on the experimental results is also a difficulty, which needs further study [42].
This article also has some limitations: (1) as the theoretical guidance of this study, the force analysis of soot particles plays an important role. However, similar to other studies, the force analysis of oil fume particles is difficult to express in analytical formulas. In this study, there are still limitations in some research content regarding the force analysis of kitchen fume particles, and further research needs to be conducted on the force analysis of fume particles. (2) The factors affecting the kitchen environment are very complex, including the size of the kitchen space, the orientation of the kitchen exterior windows, the structure and form of the kitchen, the airtightness of the doors and windows, and the impact of the wind field around the building. This study builds a full-scale experimental platform and conducts research based on the current situation of residential kitchens in China and actual measurement results. Research efforts have attempted to capture the main factors, but household measurements, full-scale experimental platforms, and computer models have not taken into account the effects of outdoor weather, kitchen ventilation, and other factors, nor have quantitative studies been conducted on the impact of kitchen space on other rooms in households. In fact, there is a certain correlation between outdoor meteorological conditions and the kitchen space environment, and the pollutant status of the kitchen space is also significantly related to the air quality of other rooms in the household.

5. Conclusions

This paper provides a detailed description of the specifics of particulate matter emission and elimination experiments in typical cooking processes from the aspects of experimental venue, experimental scheme, parameter measurement, and experimental process and provides the theoretical basis for various conditions and parameter settings. The experiment took three typical Chinese dishes, namely fried green pepper, fried meat, and green pepper fried meat, as the representative dishes, and took PM0.3~10.0 as the test subjects. The measurement points were set at three key points above the cooking utensils, at the breathing position of the operator, and at the center of the kitchen. The distribution rules of the count concentration and weight concentration of the soot particles in the hood were studied, and the emission and elimination characteristics of the soot particles of each particle size were obtained. Based on experimental data, this paper conducted qualitative and quantitative analysis of the concentration changes and influencing factors of cooking fume particles in different locations, different dishes, and different particle sizes, respectively, to deeply study and discuss the emission laws and movement mechanisms of kitchen cooking fume particles. Unlike previous studies, this study found that cooking style was not the main influencing factor for kitchen particulate pollutants. The particles produced are small particle size, mainly NC0.3μm, with an average of about 2 × 105/cm3. After cooking activities, the mean value of NC0.3μm~0.5μm and NC0.5μm~1.0μm dropped rapidly, lower than that during the peak period (p < 0.001), but higher than that during the preparation period (p < 0.01). The concentration of particles with different particle sizes had significant differences in the mouth and nose position of personnel (p < 0.01). There was a significant difference (p < 0.001) between the NC0.3μm of pure meat dishes and the other two cuisines. For NC5.0μm~10.0μm, there was no significant difference between the three dishes (p = 0.32).
Overall, the amount of particulate pollutants produced by each particle size is not only related to cooking time, but also related to food ingredients. Additionally, the particulate pollutants at different locations will also have significant differences. Based on experimental data, the results of this chapter obtained a fitting curve between the emission and removal characteristics of particulate pollutants and time during the cooking process of typical Chinese dishes and analyzed the constitutive relationship between them and time, laying the foundation for proposing a low-cost range hood operation control strategy suitable for Chinese residents.
The actual measurement also found that frying and stir frying generate more particulate pollutants, and the concentration of particulate pollutants is much higher than that generated by simple cooking methods such as steaming, further explaining the characteristics of oil smoke particles produced in Chinese cuisine cooking. In addition, the degree of impact of particulate pollutants on the human body during the cooking process also depends on the height and cooking type of the cook. In the monitoring technical guidelines for indoor air quality standards in China, there is no regulation on the monitoring height of kitchen pollutants. The measured data reflect that the pollutant production area of residential kitchens should be above the cooking utensils, and the human exposure control position should be in the breathing area. This result is consistent with people’s life experience.
The selected typical dishes are commonly consumed by Chinese residents in their daily lives and are well representative, and the cooking process of several dishes can have a significant impact on the kitchen environment. The types of particulate matter measured during the experimental process include both widely concerned traditional pollutant indicators and innovative parameters. It not only focuses on the focus of research in this field, but also shows the novelty of this study. At the same time, scientific and reasonable experimental design and parameter measurement, coupled with relatively comprehensive and complete experimental instruments and equipment, have ensured the smooth implementation of this experiment and the acquisition of experimental data, ensuring the authenticity and credibility of the experimental data. Based on the analysis of experimental data, the emission, elimination, and distribution of particles of various particle sizes during Chinese cooking were studied. Based on reasonable statistical methods, in-depth research and analysis were conducted on particles of various particle sizes. The emission and removal rules and migration characteristics of particles of various particle sizes studied in this chapter are the basis for scientific evaluation of the kitchen environment and also provide a good data foundation for subsequent model construction and model validation in this study.

Author Contributions

Conceptualization, Y.Y. and S.Z.; methodology, S.Z.; formal analysis, Y.Y., S.Z. and N.Z.; investigation, S.Z. and Q.W.; resources, Y.Y., S.Z. and N.Z.; data curation, Y.Y., Q.W., S.Z., N.Z. and M.Z.; writing—original draft preparation, Y.Y. and S.Z.; writing—review and editing, Y.Y., Q.W., S.Z., N.Z. and M.Z.; visualization, S.Z.; supervision, Q.W. and N.Z.; project administration, Y.Y. and S.Z.; funding acquisition, Y.Y. All authors have read and agreed to the published version of the manuscript.

Funding

This research was funded by Ministry of Housing and Urban-Rural Development-2018 Science and Technology Project Plan (No. 2018-R1-015).

Data Availability Statement

The data that support the findings of this study are available upon request from the demanders.

Conflicts of Interest

The authors declare no conflict of interest.

References

  1. Chi-Ming, L. Assessment of side exhaust systems for residential kitchens in Taiwan. Build. Serv. Eng. 2005, 26, 157–166. [Google Scholar]
  2. Jiang, S.; Wei, X.; Jia, J.; Ma, G. Toward sustaining the development of green residential buildings in China: A tripartite evolutionary game analysis. Build. Environ. 2022, 223, 109466. [Google Scholar] [CrossRef]
  3. Carnemolla, P.; Debono, D.; Hourihan, F.; Hor, S.; Robertson, H.; Travaglia, J. The influence of the built environment in enacting a household model of residential aged care for people living with a mental health condition: A qualitative post-occupancy evaluation. Health Place 2021, 71, 102624. [Google Scholar] [CrossRef]
  4. Livchak, A.; Schrock, D.; Sun, Z. The Effect of Supply Air Systems on Kitchen Thermal Environment. ASHRAE Trans. 2005, 111, 748–754. [Google Scholar]
  5. Eom, Y.S.; Kang, D.H.; Rim, D.; Yeo, M. Particle dispersion and removal associated with kitchen range hood and whole house ventilation system. Build. Environ. 2023, 230, 109986. [Google Scholar] [CrossRef]
  6. Kim, C.; Gao, Y.-T.; Xiang, Y.-B.; Barone-Adesi, F.; Zhang, Y.; Hosgood, H.; Ma, S.; Shu, X.; Ji, B.-T.; Chow, W.-H.; et al. Home kitchen ventilation, cooking fuels, and lung cancer risk in a prospective cohort of never smoking women in Shanghai, China. Int. J. Cancer 2014, 136, 632–638. [Google Scholar] [CrossRef]
  7. Cui, X.; Song, W.; Xue, Y.; Guan, H.; Zhang, J.; He, X.; Ma, H.; Lei, M.; Wang, J.; Li, Y. Numerical investigations of the micro lunar dust particles deposition in the human oral respiratory airway. J. Hazard. Mater. 2023, 448, 130886. [Google Scholar] [CrossRef]
  8. Cao, C.; Gao, J.; Wu, L.; Ding, X.; Zhang, X. Ventilation improvement for reducing individual exposure to cooking-generated particles in Chinese residential kitchen. Indoor Built Environ. 2016, 26, 226–237. [Google Scholar] [CrossRef]
  9. Wang, H.; Xiang, Z.; Wang, L.; Jing, S.; Lou, S.; Tao, S.; Liu, J.; Yu, M.; Li, L.; Lin, L.; et al. Emissions of volatile organic compounds (VOCs) from cooking and their speciation: A case study for Shanghai with implications for China. Sci. Total Environ. 2017, 621, 163–175. [Google Scholar] [CrossRef]
  10. Zhang, Q.; Gangupomu, R.; Ramirez, D.; Zhu, Y. Measurement of Ultrafine Particles and Other Air Pollutants Emitted by Cooking Activities. Int. J. Environ. Res. Public Health 2010, 7, 1744–1759. [Google Scholar] [CrossRef]
  11. Tan, D.; Guang, Y.; Liu, X.; Dai, F. Analysis on Oil Fume Particles in Catering Industry Cooking Emission. Environ. Sci. Technol. 2012, 33, 1958–1963. (In Chinese) [Google Scholar] [CrossRef]
  12. Paiva, J.S.; Jorge, P.A.S.; Ribeiro, R.S.R.; Sampaio, P.; Rosa, C.C.; Cunha, J.P.S. Optical fiber-based sensing method for nanoparticle detection through supervised back-scattering analysis: A potential contributor for biomedicine. Int. J. Nanomed. 2019, 14, 2349–2369. [Google Scholar] [CrossRef] [PubMed]
  13. Yin, Y.; Pei, J.; Liu, J. The effectiveness of kitchen ventilation for organic gaseous compound control in Chinese residential buildings. Build. Environ. 2022, 226, 109764. [Google Scholar] [CrossRef]
  14. Lu, F.; Shen, B.; Yuan, P.; Li, S.; Sun, Y.; Mei, X. The emission of PM2.5 in respiratory zone from Chinese family cooking and its health effect. Sci. Total Environ. 2018, 654, 671–677. [Google Scholar] [CrossRef] [PubMed]
  15. Kang, K.; Kim, H.-K.; Kim, D.; Lee, Y.G.; Kim, T. Characteristics of cooking-generated PM10 and PM2.5 in residential buildings with different cooking and ventilation types. Sci. Total Environ. 2019, 668, 56–66. [Google Scholar] [CrossRef]
  16. Pengchuan, L.; He, W.; Nie, L.; Schauer, J.; Wang, Y.; Yang, S.; Zhang, Y. Comparison of PM2.5 emission rates and source profiles for traditional Chinese cooking styles. Environ. Sci. Pollut. Res. 2019, 26, 251–261. [Google Scholar] [CrossRef]
  17. L’Orange, C.; Volckens, J.; Defoort, M. Influence of stove type and cooking pot temperature on particulate matter emissions from biomass cook stoves. Energy Sustain. Dev. 2012, 16, 448–455. [Google Scholar] [CrossRef]
  18. Pokhrel, A.; Bates, M.; Acharya, J.; Valentiner-Branth, P.; Chandyo, R.; Shrestha, P.; Raut, A.; Smith, K. PM2.5 in household kitchens of Bhaktapur, Nepal, using four different cooking fuels. Atmos. Environ. 2015, 113, 159–168. [Google Scholar] [CrossRef]
  19. Abdullahi, L.; Delgado-Saborit, J.M.; Harrison, R. Emissions and indoor concentrations of particulate matter and its specific chemical components from cooking: A review. Atmos. Environ. 2013, 71, 260–294. [Google Scholar] [CrossRef]
  20. Chiang, C.-M.; Lai, C.-M.; Chou, P.-C.; Li, Y.-Y. The influence of an architectural design alternative (transoms) on indoor air environment in conventional kitchens in Taiwan. Build. Environ. 2000, 35, 579–585. [Google Scholar] [CrossRef]
  21. Li, A.; Zhao, Y.; Jiang, D.; Hou, X. Measurement of temperature, relative humidity, concentration distribution and flow field in four typical Chinese commercial kitchens. Build. Environ. 2012, 56, 139–150. [Google Scholar] [CrossRef]
  22. Lee, S.C.; Li, W.-M.; Yin Chan, L. Indoor air quality at restaurants with different styles of cooking in metropolitan Hong Kong. Sci. Total Environ. 2001, 279, 181–193. [Google Scholar] [CrossRef] [PubMed]
  23. Wallace, L.; Emmerich, S.; Howard-Reed, C. Source Strengths of Ultrafine and Fine Particles Due to Cooking with a Gas Stove. Environ. Sci. Technol. 2004, 38, 2304–2311. [Google Scholar] [CrossRef]
  24. Chen, C.; Zhao, Y.; Zhao, B. Emission Rates of Multiple Air Pollutants Generated from Chinese Residential Cooking. Environ. Sci. Technol. 2018, 52, 255–265. [Google Scholar] [CrossRef]
  25. Gao, J.; Cao, C.; Zhang, X.; Luo, Z. Volume-based size distribution of accumulation and coarse particles (PM0.1–10) from cooking fume during oil heating. Build. Environ. 2013, 59, 575–580. [Google Scholar] [CrossRef]
  26. Li, S.; Gao, J.; He, Y.; Cao, L.; Li, A.; Mo, S.; Chen, Y.; Cao, Y. Determination of time- and size-dependent fine particle emission with varied oil heating in an experimental kitchen. J. Environ. Sci. 2017, 51, 157–164. [Google Scholar] [CrossRef] [PubMed]
  27. Ann Kristin, S. Exposure to mutagenic aldehydes and particulate matter during panfrying of beefsteak with margarine, rapeseed oil, olive oil or soybean oil. Ann. Occup. Hyg. 2008, 52, 739–745. [Google Scholar]
  28. Shrubsole, C.; Davies, M.; Macmillan, A.; May, N. Appendix 3 Additional References CS 10092013. 2014. Available online: https://www.docin.com/p-1700910465.html (accessed on 23 October 2022).
  29. Kim, K.-H.; Pandey, S.; Kabir, E.; Susaya, J.; Brown, R. The modern paradox of unregulated cooking activities and indoor air quality. J. Hazard. Mater. 2011, 195, 1–10. [Google Scholar] [CrossRef]
  30. Zhao, Y.; Zhao, B. Emissions of air pollutants from Chinese cooking: A literature review. Build. Simul. 2018, 11, 977–995. [Google Scholar] [CrossRef]
  31. Lunden, M.; Delp, W.; Singer, B. Capture Efficiency of Cooking-Related Fine and Ultrafine Particles by Residential Exhaust Hoods. Indoor Air 2014, 25, 45–48. [Google Scholar] [CrossRef] [PubMed]
  32. Rim, D.; Wallace, L.; Nabinger, S.; Persily, A. Reduction of exposure to ultrafine particles by kitchen exhaust hoods: The effects of exhaust flow rates, particle size, and burner position. Sci. Total Environ. 2012, 432, 350–356. [Google Scholar] [CrossRef]
  33. Liu, S.; Cao, Q.; Zhao, X.; Lu, Z.; Deng, Z.; Dong, J.; Lin, X.; Qing, K.; Zhang, W.; Chen, Q. Improving indoor air quality and thermal comfort in residential kitchens with a new ventilation system. Build. Environ. 2020, 180, 107016. [Google Scholar] [CrossRef]
  34. Zheng, S.; Shen, H.; Shen, G.; Chen, Y.; Ma, J.; Cheng, H.; Tao, S. Vertically-resolved indoor measurements of air pollution during Chinese cooking. Environ. Sci. Ecotechnol. 2022, 12, 189–199. [Google Scholar] [CrossRef]
  35. Demou, E. Exposure to Manufactured Nanostructured Particles in an Industrial Pilot Plant. Ann. Occup. Hyg. 2008, 52, 695–706. [Google Scholar] [PubMed]
  36. Claire, M. The pro-inflammatory effects of low-toxicity low-solubility particles, nanoparticles and fine particles, on epithelial cells in vitro: The role of surface area. Occup. Environ. Med. 2007, 64, 609–615. [Google Scholar]
  37. Ken, D. Current hypotheses on the mechanisms of toxicity of ultrafine particles. Ann. Dell’istituto Super. Sanita 2003, 39, 405–410. [Google Scholar]
  38. Moshammer, H.; Neuberger, M. The active surface of suspended particles as a predictor of lung function and pulmonary symptoms in Austrian school children. Atmos. Environ. 2003, 37, 1737–1744. [Google Scholar] [CrossRef]
  39. Kuhlbusch, T.A.J.; Asbach, C.; Fissan, H.; Göhler, D.; Stintz, M. Nanoparticle exposure at nanotechnology workplaces: A review. Part. Fibre Toxicol. 2011, 8, 22. [Google Scholar] [CrossRef]
  40. Zhang, Q.; Zhu, Y. Measurements of ultrafine particles and other vehicular pollutants inside school buses in South Texas. Atmos. Environ. 2010, 44, 253–261. [Google Scholar] [CrossRef]
  41. Xing, M.; Zou, H.; Gao, X.; Chang, B.; Tang, S.; Zhang, M. Workplace exposure to airborne alumina nanoparticles associated with separation and packaging processes in a pilot factory. Environ. Sci. Process. Impacts 2015, 17, 656–666. [Google Scholar] [CrossRef] [PubMed]
  42. Wang, S.; Liu, G.; Yi, M.; Huang, X.; Zhang, H.; Hong, X. The characteristics of particulate matter during an air pollution process revealed by joint observation of multiple equipments. Atmos. Pollut. Res. 2022, 13, 101487. [Google Scholar] [CrossRef]
Figure 1. Schematic diagram of laboratory dimensions and layout of measuring points.
Figure 1. Schematic diagram of laboratory dimensions and layout of measuring points.
Buildings 13 01227 g001
Figure 2. Experimental site conditions.
Figure 2. Experimental site conditions.
Buildings 13 01227 g002
Figure 3. Experimental process.
Figure 3. Experimental process.
Buildings 13 01227 g003
Figure 4. Concentration of particulate pollutants in background environments.
Figure 4. Concentration of particulate pollutants in background environments.
Buildings 13 01227 g004
Figure 5. Distribution of particulate matter in residential kitchen cooking at different times.
Figure 5. Distribution of particulate matter in residential kitchen cooking at different times.
Buildings 13 01227 g005
Figure 6. Concentration of particulate pollutants in different spaces. * p < 0.05. ** p < 0.01. *** p < 0.001.
Figure 6. Concentration of particulate pollutants in different spaces. * p < 0.05. ** p < 0.01. *** p < 0.001.
Buildings 13 01227 g006
Figure 7. Variation law of oil fume particle size.
Figure 7. Variation law of oil fume particle size.
Buildings 13 01227 g007aBuildings 13 01227 g007b
Figure 8. Concentration of particulate matter produced by different dishes. ** p < 0.01. *** p < 0.001.
Figure 8. Concentration of particulate matter produced by different dishes. ** p < 0.01. *** p < 0.001.
Buildings 13 01227 g008
Table 1. Geometric dimensions of kitchen and laboratory (unit: m).
Table 1. Geometric dimensions of kitchen and laboratory (unit: m).
Kitchen Laboratory2.98 × 2.97 × 2.71
Operation console0.7 × 2.68 × 0.76
Gas stove0.43 × 0.36 × 0.12
External window1.48 × 0.83
Inner door2.01 × 0.84
Disclaimer/Publisher’s Note: The statements, opinions and data contained in all publications are solely those of the individual author(s) and contributor(s) and not of MDPI and/or the editor(s). MDPI and/or the editor(s) disclaim responsibility for any injury to people or property resulting from any ideas, methods, instructions or products referred to in the content.

Share and Cite

MDPI and ACS Style

Yuan, Y.; Wang, Q.; Zhang, S.; Zhu, N.; Zhao, M. Distribution Characteristics of Cooking Oil Fume Particles in Residential Kitchens in Cold Regions. Buildings 2023, 13, 1227. https://doi.org/10.3390/buildings13051227

AMA Style

Yuan Y, Wang Q, Zhang S, Zhu N, Zhao M. Distribution Characteristics of Cooking Oil Fume Particles in Residential Kitchens in Cold Regions. Buildings. 2023; 13(5):1227. https://doi.org/10.3390/buildings13051227

Chicago/Turabian Style

Yuan, Yang, Qingqin Wang, Shuai Zhang, Neng Zhu, and Mengmeng Zhao. 2023. "Distribution Characteristics of Cooking Oil Fume Particles in Residential Kitchens in Cold Regions" Buildings 13, no. 5: 1227. https://doi.org/10.3390/buildings13051227

APA Style

Yuan, Y., Wang, Q., Zhang, S., Zhu, N., & Zhao, M. (2023). Distribution Characteristics of Cooking Oil Fume Particles in Residential Kitchens in Cold Regions. Buildings, 13(5), 1227. https://doi.org/10.3390/buildings13051227

Note that from the first issue of 2016, this journal uses article numbers instead of page numbers. See further details here.

Article Metrics

Back to TopTop