Applicability of Standard Rheological Evaluation Methods for High Content SBS Polymer Modified Asphalts
Abstract
1. Introduction
2. Materials and Methods
2.1. Materials
2.2. Preparation of HCPMA
2.3. Conventional Test of HCPMA
2.4. High-Temperature Properties of HCPMA
2.5. Low-Temperature Properties of HCPMA
2.6. Fatigue Resistance of HCPMA
3. Results and Discussion
3.1. Conventional Properties of Different HCPMA
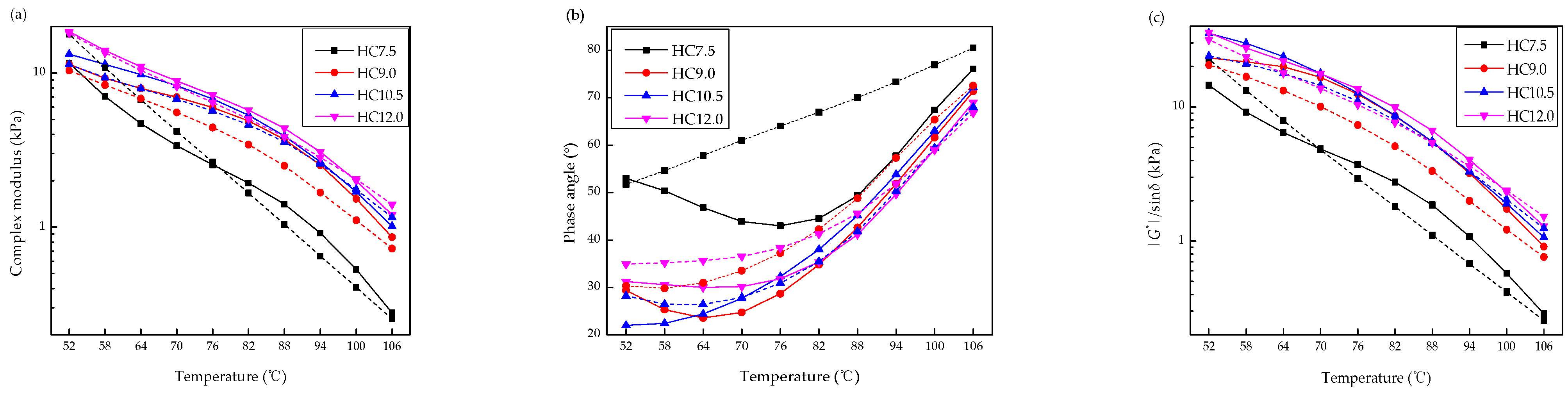
3.2. Oscillation Temperature Sweep
3.3. Multiple Stress Creep Recovery Test
3.4. Flexural Creep Test
3.5. Linear Amplitude Sweep
4. Conclusions
- (1)
- Higher content of SBS in HCPMA can improve the rutting resistance and decrease the sensitivity to temperature and stress. With the increase in SBS content, the rutting parameter increases, caused by both a decrease in the phase angle and an increase in the complex modulus. The upper service temperature grade of HCPMA can far exceed 82 °C, which is the highest temperature grade in the PG system. The creep recovery increases, while there is a decrease in the nonrecoverable creep compliance and the slope of Jnr-σ linear curves. The slope of Jnr-σ linear curves from various stress levels can replace Jnrdiff as an indicator of stress sensitivity.
- (2)
- Higher content of SBS can improve the resistance of thermal cracking. With increasing SBS content, the flexural creep stiffness decreases, and the creep rate increases. The flexural creep stiffness is much lower than the limit value at the temperature where the creep rate fails.
- (3)
- Higher content of SBS can improve fatigue resistance. With increasing SBS content, the binder yields at a higher strain, and the binder fatigue performance parameters Nf increases. When the LAS test is used to evaluate HCPMA, a maximum strain higher than 30% should be applied to obtain the peak stress.
- (4)
- With naphthenic oil as a compatibilizer and processing aid agent, HCPMAs exhibit excellent resistance to rutting, thermal cracking, and fatigue, as well as good workability and hot-storage stability.
- (5)
- Conventional tests are not valid for characterizing HCPMA. The ductility, elastic recovery, mass change, and retained penetration after RTFOT are not sensitive to SBS content when it is high. The toughness and tenacity even decrease with an increase in SBS content.
Author Contributions
Funding
Data Availability Statement
Conflicts of Interest
Abbreviations
| SBS | styrene-butadiene-styrene tri-block copolymer |
| PB | polybutadiene |
| PS | polystyrene |
| HCPMA | high content SBS polymer modified asphalt |
| PG | performance grading |
| RTFOT | rolling thin-film oven test |
| PAV | pressurized aging vessel |
| DSR | dynamic shear rheometer |
| MSCR | multiple stress creep recovery test |
| BBR | bending beam rheometer |
| LAS | linear amplitude sweep test |
References
- Yao, B.; Cheng, G.; Wang, X.; Cheng, C. Characterization of the stiffness of asphalt surfacing materials on orthotropic steel bridge decks using dynamic modulus test and flexural beam test. Constr. Build. Mater. 2013, 44, 200–206. [Google Scholar] [CrossRef]
- Lu, X.; Isacsson, U. Compatibility and storage stability of styrene-butadiene-styrene copolymer modified bitumens. Mater. Struct. 1997, 30, 618–626. [Google Scholar] [CrossRef]
- Polacco, G.; Stastna, J.; Biondi, D.; Zanzotto, L. Relation between polymer architecture and nonlinear viscoelastic behavior of modified asphalts. Curr. Opin. Colloid Interface Sci. 2006, 11, 230–245. [Google Scholar] [CrossRef]
- Lu, X.; Isacsson, U.; Ekblad, J. Influence of polymer modification on low temperature behaviour of bituminous binders and mixtures. Mater. Struct. 2003, 36, 652–656. [Google Scholar] [CrossRef]
- Yan, C.; Huang, W.; Ma, J.; Xu, J.; Lv, Q.; Lin, P. Characterizing the SBS polymer degradation within high content polymer modified asphalt using ATR-FTIR. Const. Build. Mater. 2020, 233, 117708. [Google Scholar] [CrossRef]
- Yan, C.; Huang, W.; Lin, P.; Zhang, Y.; Lv, Q. Chemical and rheological evaluation of aging properties of high content SBS polymer modified asphalt. Fuel 2019, 252, 417–426. [Google Scholar] [CrossRef]
- Chen, J.; Liao, M.; Lin, C. Determination of polymer content in modified bitumen. Mater. Struct. 2003, 36, 594–598. [Google Scholar] [CrossRef]
- Fernandesa, M.R.S.; Forteb, M.M.C.; Leitec, L.F.M. Rheological Evaluation of Polymer-Modified Asphalt Binders. Mater. Res. 2008, 11, 381–386. [Google Scholar] [CrossRef]
- Kumar, Y.; Singh, S.K.; Oberoi, D.; Kumar, P.; Mohanty, P.; Ravindranath, S.S. Effect of molecular structure and concentration of styrene-butadiene polymer on upper service temperature rheological properties of modified binders. Constr. Build. Mater. 2020, 249, 118790. [Google Scholar] [CrossRef]
- Lu, X.; Isacsson, U.; Ekblad, J. Phase Separation of SBS Polymer Modified Bitumens. J. Mater. Civ. Eng. 1999, 11, 51–57. [Google Scholar] [CrossRef]
- Masson, J.F.; Collins, P.; Robertson, G.; Woods, J.R.; Margeson, J. Thermodynamics, Phase Diagrams, and Stability of Bitumen-Polymer Blends. Energy Fuel 2003, 17, 714–724. [Google Scholar] [CrossRef]
- Masson, J.F.; Polomark, G.; Collins, P. Glass transitions and amorphous phases in SBS–bitumen blends. Thermochim. Acta 2005, 436, 96–100. [Google Scholar] [CrossRef]
- Airey, G.D. Rheological properties of styrene butadiene styrene polymer modified road bitumens. Fuel 2003, 82, 1709–1719. [Google Scholar] [CrossRef]
- Nie, X.; Hou, T.; Yao, H.; Li, Z.; Zhou, X.; Li, C. Effect of C9 petroleum resins on improvement in compatibility and properties of SBS-modified asphalt. Pet. Sci. Technol. 2019, 37, 1704–1712. [Google Scholar] [CrossRef]
- Lu, H.; Ye, F.; Yuan, J.; Yin, W. Properties comparison and mechanism analysis of naphthenic oil/SBS and nano-MMT/SBS modified asphalt. Constr. Build. Mater. 2018, 187, 1147–1157. [Google Scholar] [CrossRef]
- Ye, F.; Yin, W.; Lu, H.; Dong, Y. Property improvement of Nano-Montmorillonite/SBS modified asphalt binder by naphthenic oil. Constr. Build. Mater. 2020, 243, 118200. [Google Scholar] [CrossRef]
- Yuan, J.; Lu, H.; Yin, W.; Wu, Y. Influences of Naphthenic Oil on SBS-Modified Asphalt Binder. J. Mater. Civ. Eng. 2019, 31, 04019162. [Google Scholar] [CrossRef]
- de Souza, C.V.; Corrêa, S.M. Polycyclic aromatic hydrocarbons in diesel emission, diesel fuel and lubricant oil. Fuel 2016, 185, 925–931. [Google Scholar] [CrossRef]
- D’Angelo, J. Current Status of Superpave Binder Specification. Road Mater. Pavement Des. 2009, 10, 13–24. [Google Scholar] [CrossRef]
- Zeiada, W.; Liu, H.; Ezzat, H.; Al-Khateeb, G.G.; Underwood, B.; Shanableh, A.; Samarai, M. Review of the Superpave performance grading system and recent developments in the performance-based test methods for asphalt binder characterization. Constr. Build. Mater. 2022, 319, 126063. [Google Scholar] [CrossRef]
- Singh, S.K.; Kumar, Y.; Ravindranath, S.S. Thermal degradation of SBS in bitumen during storage: Influence of temperature, SBS concentration, polymer type and base bitumen. Polym. Degrad. Stab. 2018, 147, 64–75. [Google Scholar] [CrossRef]
- Hanyu, A.; Ueno, S.; Kasahara, A.; Saito, K. Effect of the morphology of SBS modified asphalt on mechanical properties of binder and mixture. J. East. Asia Soc. Transp. Stud. 2005, 6, 1153–1167. [Google Scholar] [CrossRef]
- Cheng, L.; Zhang, L.; Lei, Y.; Ma, Y.; Yan, C. Effect of the laboratory short-term aging temperature on the chemical and rheological characteristics of high modulus asphalts. Constr. Build. Mater. 2022, 314, 125569. [Google Scholar] [CrossRef]
- Lin, P.; Yan, C.; Huang, W.; Li, Y.; Zhou, L.; Tang, N.; Xiao, F.; Zhang, Y.; Lv, Q. Rheological, chemical and aging characteristics of high content polymer modified asphalt. Constr. Build. Mater. 2019, 207, 616–629. [Google Scholar] [CrossRef]
- Liu, H.; Zeiada, W.; Al-Khateeb, G.G.; Shanableh, A.; Samarai, M. Use of the multiple stress creep recovery (MSCR) test to characterize the rutting potential of asphalt binders: A literature review. Constr. Build. Mater. 2021, 269, 121320. [Google Scholar] [CrossRef]
- Huang, W.; Tang, N. Characterizing SBS modified asphalt with sulfur using multiple stress creep recovery test. Constr. Build. Mater. 2015, 93, 514–521. [Google Scholar] [CrossRef]
- White, G. Grading highly modified binders by multiple stress creep recovery. Road Mater. Pavement Des. 2017, 18, 1322–1337. [Google Scholar] [CrossRef]
- Kataware, A.V.; Singh, D. A study on rutting susceptibility of asphalt binders at high stresses using MSCR test. Innov. Infrastruct. Solut. 2017, 2, 4. [Google Scholar] [CrossRef]
- Wasage, T.L.J.; Stastna, J.; Zanzotto, L. Rheological analysis of multi-stress creep recovery (MSCR) test. Int. J. Pavement Eng. 2011, 12, 561–568. [Google Scholar] [CrossRef]
- Singh, B.; Saboo, N.; Kumar, P. Effect of short-term aging on creep and recovery response of asphalt binders. J. Transp. Eng. Part B Pavements 2017, 143, 04017017. [Google Scholar] [CrossRef]
- Lu, X.; Isacsson, U. Rheological characterization of styrene-butadiene-styrene copolymer modified bitumens. Constr. Build. Mater. 1997, 11, 23–32. [Google Scholar] [CrossRef]
- Hintz, C.; Velasquez, R.; Johnson, C.; Bahia, H. Modification and Validation of Linear Amplitude Sweep Test for Binder Fatigue Specification. Transp. Res. Rec. 2011, 2207, 99–106. [Google Scholar] [CrossRef]
- Bessa, I.S.; Vasconcelos, K.L.; Castelo Branco, V.T.F.; Bernucci, L.L.B. Fatigue resistance of asphalt binders and the correlation with asphalt mixture behaviour. Road Mater. Pavement Des. 2019, 20, S695–S709. [Google Scholar] [CrossRef]
- Chen, H.; Bahia, H.U. Modelling effects of aging on asphalt binder fatigue using complex modulus and the LAS test. Int. J. Fatigue 2021, 146, 106150. [Google Scholar] [CrossRef]










| Penetration at 25 °C /0.1 mm | Softening Point /°C | Ductility at 10 °C /cm | Fraction/% | |||
|---|---|---|---|---|---|---|
| Saturates | Aromatics | Resins | Asphaltenes | |||
| 68 | 48.0 | 21 | 9.9 | 53.7 | 17.4 | 19.0 |
| Kinematic Viscosity/mm2·s | Molecular Weight | Carbon-Type Composition/% | |||||
|---|---|---|---|---|---|---|---|
| at 40 °C | at 100 °C | /g·mol−1 | /g·mol−1 | CP | CN | CA | |
| 52.6 | 5.92 | 460 | 502 | 1.09 | 49 | 50 | 1 |
| SBS | S/B | Diblock/% | Architecture | Molecular Weight | ||
|---|---|---|---|---|---|---|
| /g·mol−1 | /g·mol−1 | |||||
| 1301 L | 30/70 | 24.9 | Linear | 1.34 × 105 | 1.49 × 105 | 1.12 |
| LG501 * | 31/69 | 12.8 | Linear | 1.65 × 105 | 1.79 × 105 | 1.09 |
| D1101 * | 31/69 | 18.1 | Linear | 1.51 × 105 | 1.73 × 105 | 1.14 |
| Item | HC7.5 | HC9.0 | HC10.5 | HC12.0 | |
|---|---|---|---|---|---|
| Composition /% | base asphalt (Donghai 70#) | 85.0 | 82.0 | 79.0 | 76.0 |
| Naphthenic oil (KN4006) | 7.5 | 9.0 | 10.5 | 12.0 | |
| SBS (1301 L) | 7.5 | 9.0 | 10.5 | 12.0 | |
| Penetration at 25 °C/0.1 mm | 73 | 75 | 78 | 78 | |
| Softening point/°C | 87.0 | 89.0 | 91.5 | 93.5 | |
| Ductility at 5 °C/cm | 82 | 79 | 75 | 75 | |
| Elastic recovery at 25 °C/% | 99.5 | 100 | 100 | 100 | |
| Elastic recovery at 5 °C/% | 97.5 | 97.5 | 99.0 | 99.5 | |
| Toughness at 25 °C/N·m | 18.1 | 17.5 | 16.7 | 15.2 | |
| Tenacity at 25 °C/N·m | 15.8 | 15.4 | 14.3 | 13.2 | |
| Brookfield viscosity at 135 °C/Pa·s | 1.34 | 1.56 | 2.34 | 2.96 | |
| ΔTR&B/°C | 2.0 | 1.5 | 1.5 | 2.0 | |
| RTFOT Residue | |||||
| Mass change/% | −0.180 | −0.331 | −0.302 | −0.591 | |
| Retained penetration at 25 °C/% | 91 | 90 | 87 | 94 | |
| Ductility at 5 °C/cm | 46 | 65 | 76 | 72 | |
| Sample | PG Grade | True Grade | MSCR-PG |
|---|---|---|---|
| HC7.5 | PG76-22 | PG79.8-26.9 | PG82S-22 |
| HC9.0 | PG88-28 | PG92.3-29.6 | PG82S-28 |
| HC10.5 | PG94-28 | PG98.7-32.4 | PG82H-28 |
| HC12.0 | PG100-34 | PG101.5-39.0 | PG82H-34 |
| Sample | α | C1 | C2 | Df | A (×105) | B |
|---|---|---|---|---|---|---|
| HC7.5 | 1.530 | 0.046 | 0.481 | 184.2 | 38.58 | 3.059 |
| HC9.0 | 1.535 | 0.047 | 0.470 | 257.6 | 79.24 | 3.071 |
| HC10.5 | 1.692 | 0.047 | 0.458 | 366.6 | 406.9 | 3.384 |
| HC12.0 | 1.764 | 0.044 | 0.460 | 418.8 | 858.8 | 3.529 |
Disclaimer/Publisher’s Note: The statements, opinions and data contained in all publications are solely those of the individual author(s) and contributor(s) and not of MDPI and/or the editor(s). MDPI and/or the editor(s) disclaim responsibility for any injury to people or property resulting from any ideas, methods, instructions or products referred to in the content. |
© 2023 by the authors. Licensee MDPI, Basel, Switzerland. This article is an open access article distributed under the terms and conditions of the Creative Commons Attribution (CC BY) license (https://creativecommons.org/licenses/by/4.0/).
Share and Cite
Yao, H.; Wang, T.; Wang, Q.; Cao, Y.; Zhou, X. Applicability of Standard Rheological Evaluation Methods for High Content SBS Polymer Modified Asphalts. Buildings 2023, 13, 1156. https://doi.org/10.3390/buildings13051156
Yao H, Wang T, Wang Q, Cao Y, Zhou X. Applicability of Standard Rheological Evaluation Methods for High Content SBS Polymer Modified Asphalts. Buildings. 2023; 13(5):1156. https://doi.org/10.3390/buildings13051156
Chicago/Turabian StyleYao, Hongru, Tao Wang, Qiang Wang, Yadong Cao, and Xiaolong Zhou. 2023. "Applicability of Standard Rheological Evaluation Methods for High Content SBS Polymer Modified Asphalts" Buildings 13, no. 5: 1156. https://doi.org/10.3390/buildings13051156
APA StyleYao, H., Wang, T., Wang, Q., Cao, Y., & Zhou, X. (2023). Applicability of Standard Rheological Evaluation Methods for High Content SBS Polymer Modified Asphalts. Buildings, 13(5), 1156. https://doi.org/10.3390/buildings13051156

