Numerical Assessment on Continuous Reinforced Normal-Strength Concrete and High-Strength Concrete Beams
Abstract
1. Introduction
2. Materials and Method
2.1. Material Laws
2.2. Finite Element Method
2.3. Comparison with Experimental Data
3. Results and Discussion
3.1. Load versus Deformation
3.2. Neutral Axis Depth
3.3. Strain and Stress in Steel Bars
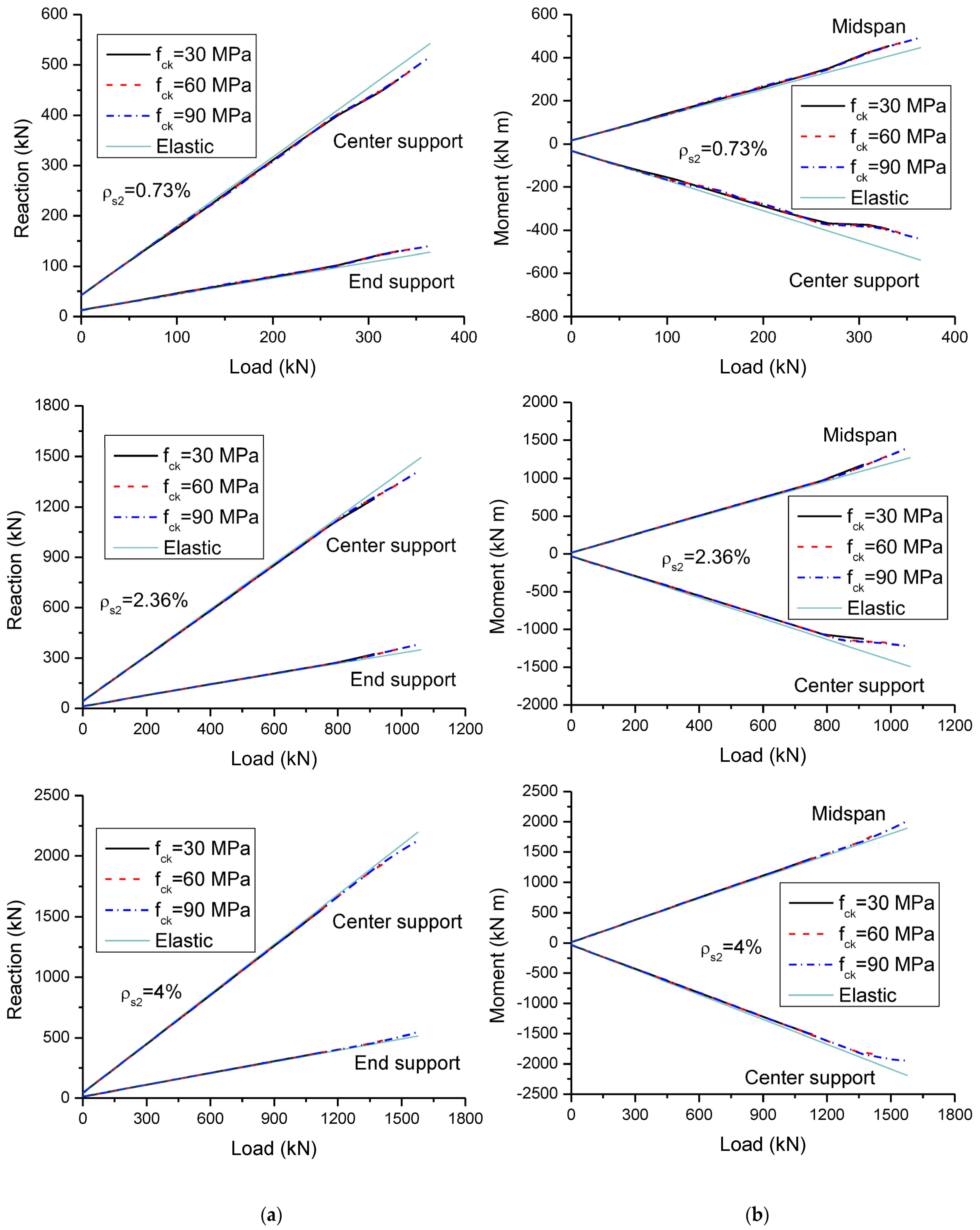
3.4. Moment Redistribution
4. Conclusions
- Reinforced HSC beams exhibit higher ultimate load and deflection than reinforced NSC beams. The load difference between NSC and HSC beams is increasingly notable with increasing steel ratio.
- Reinforced HSC beams have higher flexural ductility despite the higher brittleness of HSC material compared to reinforced NSC beams. For ρs2 = 0.73–4.0%, reinforced HSC beams (fck = 90 MPa) show 21–91% higher curvature ductility factor than reinforced NSC beams (fck = 30 MPa).
- Reinforced HSC beams exhibit lower neutral axis depth at ultimate than reinforced NSC beams, especially notable at a high steel ratio. The ultimate strain in tensile steel bars in reinforced HSC beams is obviously higher than that of reinforced NSC ones.
- At the same load level, the difference between support reactions or bending moments in reinforced HSC and NSC beams is marginal, indicating similar moment redistribution in these beams. At ultimate, reinforced HSC beams have higher moment redistribution than reinforced NSC beams, except for ρs2 = 0.73%.
- Both flexural ductility and moment redistribution are closely related to the neutral axis depth or strain in tensile steel bars at ultimate. Based on the data of the analysis, practical formulae reflecting their relationships are suggested.
Author Contributions
Funding
Data Availability Statement
Conflicts of Interest
References
- ACI Committee 318. Building Code Requirements for Structural Concrete (ACI 318-19) and Commentary (ACI 318R-19); American Concrete Institute: Farmington Hills, MI, USA, 2019. [Google Scholar]
- Buch, S.H.; Suhail, R. Bond-slip behaviour of deformed rebars in normal and high strength concrete at elevated temperature—A review. Aust. J. Struct. Eng. 2022, 23, 189–204. [Google Scholar] [CrossRef]
- Diab, A.M.; Hussein, M.A.; Elyamany, H.E.; Al Ashy, H.M. Properties of pull-out bond strength and concept to assess ultimate bond stress of NSC and HSC. Mag. Concr. Res. 2014, 66, 877–895. [Google Scholar] [CrossRef]
- Yuan, T.F.; Hong, S.H.; Choi, J.S.; Yoon, Y.S. Evaluation on the microstructure and durability of high-strength concrete containing electric arc furnace oxidizing slag. Materials 2021, 14, 1304. [Google Scholar] [CrossRef] [PubMed]
- Hong, S.H.; Choi, J.S.; Yuan, T.F.; Yoon, Y.S. A review on concrete creep characteristics and its evaluation on high-strength lightweight concrete. J. Mater. Res. Technol. 2023, 22, 230–251. [Google Scholar] [CrossRef]
- Bernardo, L.F.A.; Lopes, S.M.R. Neutral axis depth versus flexural ductility in high-strength concrete beams. J. Struct. Eng. 2004, 130, 452–459. [Google Scholar] [CrossRef]
- Galano, L.; Vignoli, A. Strength and ductility of HSC and SCC slender columns subjected to short-term eccentric load. ACI Struct. J. 2008, 105, 259–269. [Google Scholar]
- Ko, M.Y.; Kim, S.W.; Kim, J.K. Experimental study on the plastic rotation capacity of reinforced high strength concrete beams. Mater. Struct. 2001, 34, 302–311. [Google Scholar] [CrossRef]
- Salih, A.M.; Mohammed, A.A. Minimum flexural reinforcement steel ratios of high-strength concrete beams. Adv. Civ. Eng. 2022, 2022, 5612790. [Google Scholar] [CrossRef]
- Ma, C.K.; Sulaiman, M.F.; Apandi, N.; Awang, A.Z.; Omar, W.; Jaw, S.W. Ductility and stiffness of slender confined reinforced high-strength concrete columns under monotonic axial load. Measurement 2019, 146, 838–845. [Google Scholar] [CrossRef]
- Ahmed, M.; Sheikh, M.N.; Hadi, M.N.S.; Liang, Q.Q. Numerical simulation of axially loaded square high-strength concrete short columns with steel equal-angles as longitudinal reinforcement. Eng. Struct. 2023, 276, 115391. [Google Scholar] [CrossRef]
- Arslan, G.; Cihanli, E. Curvature ductility prediction of reinforced high-strength concrete beam sections. J. Civ. Eng. Manag. 2010, 16, 462–470. [Google Scholar] [CrossRef]
- Lam, J.Y.K.; Ho, J.C.M.; Kwan, A.K.H. Flexural ductility of high-strength concrete columns with minimal confinement. Mater. Struct. 2009, 42, 909–921. [Google Scholar] [CrossRef]
- Kassoul, A.; Bougara, A. Maximum ratio of longitudinal tensile reinforcement in high strength doubly reinforced concrete beams designed according to Eurocode 8. Eng. Struct. 2010, 32, 3206–3213. [Google Scholar] [CrossRef]
- Bouzid, H.; Kassoul, A. Curvature ductility prediction of high strength concrete beams. Struct. Eng. Mech. 2018, 66, 195–201. [Google Scholar]
- Haytham, B.; Amar, K. Curvature ductility of high strength concrete beams. J. Mater. Eng. Struct. 2017, 4, 155–167. [Google Scholar]
- Bouzid, H.; Kassoul, A. Curvature ductility of high strength concrete beams according to Eurocode 2. Struct. Eng. Mech. 2016, 58, 1–19. [Google Scholar] [CrossRef]
- Bai, Z.Z.; Au, F.T.K. Flexural ductility design of high-strength concrete beams. Struct. Des. Tall Spec. Build. 2013, 22, 521–542. [Google Scholar] [CrossRef]
- Tamayo, J.L.P.; Garcia, G.O. Reassessment of the flexural behavior of high-strength reinforced concrete beams under short-term loads. SN Appl. Sci. 2021, 3, 204. [Google Scholar] [CrossRef]
- Shaaban, I.G.; Mustafa, T.S. Towards efficient structural and serviceability design of high-strength concrete T-beams. Proc. Inst. Civ. Eng. Struct. Build. 2021, 174, 836–848. [Google Scholar] [CrossRef]
- Kim, S.W. Prediction of Shear strength of reinforced high-strength concrete beams using compatibility-aided truss model. Appl. Sci. 2021, 11, 10585. [Google Scholar] [CrossRef]
- Al-Faqra, E.; Murad, Y.; Jaber, M.A.; Shatarat, N. Torsional behaviour of high strength concrete beams with spiral reinforcement. Aust. J. Struct. Eng. 2021, 22, 266–276. [Google Scholar] [CrossRef]
- Bernardo, L.; Lopes, S.; Teixeira, M. Experimental study on the torsional behaviour of prestressed HSC hollow beams. Appl. Sci. 2020, 10, 642. [Google Scholar] [CrossRef]
- Carmo, R.N.F.; Lopes, S.M.R. Ductility and linear analysis with moment redistribution in reinforced high-strength concrete beams. Can. J. Civ. Eng. 2005, 32, 194–203. [Google Scholar] [CrossRef]
- Carmo, R.N.F.; Lopes, S.M.R. Available plastic rotation in continuous high-strength concrete beams. Can. J. Civ. Eng. 2008, 35, 1152–1162. [Google Scholar] [CrossRef]
- Lou, T.; Lopes, S.M.R.; Lopes, A.V. FE modeling of inelastic behavior of reinforced high-strength concrete continuous beams. Struct. Eng. Mech. 2014, 49, 373–393. [Google Scholar] [CrossRef]
- Lou, T.; Lopes, S.M.R.; Lopes, A.V. Evaluation of moment redistribution in normal-strength and high-strength reinforced concrete beams. J. Struct. Eng. 2014, 14, 04014072. [Google Scholar] [CrossRef]
- Lou, T.; Lopes, S.M.R.; Lopes, A.V. Effect of relative stiffness on moment redistribution in reinforced high-strength concrete beams. Mag. Concr. Res. 2017, 69, 716–727. [Google Scholar] [CrossRef]
- El-Mogy, M.A.T. Behaviour of Continuous Concrete Beams Reinforced with FRP Bars. Ph.D. Thesis, University of Manitoba, Winnipeg, MB, Canada, 2011. [Google Scholar]
- Lou, T.; Lopes, S.M.R.; Lopes, A.V. Redistribution of moments in reinforced high-strength concrete beams with and without confinement. Struct. Eng. Mech. 2015, 55, 379–398. [Google Scholar] [CrossRef]
- EN 1992-1-1; Eurocode 2: Design of Concrete Structures—Part 1-1: General Rules and Rules for Buildings. European Committee for Standardization: Brussels, Belgium, 2004.
- Bonopera, M.; Chang, K.C. Elastic modulus of prestressed and reinforced concrete beams in Taiwan under dynamic flexural loading. J. Chin. Inst. Civ. Hydraul. Eng. 2021, 33, 83–92. [Google Scholar]
- Yuen, T.Y.P.; Wen, T.H.; Hung, C.C.; Zhang, H.; Pham, P.A.H.; Deng, Y. An eigendecomposition-based and mesh-sensitivity reduced constitutive model for nonlinear analysis of concrete structures under non-proportional cyclic loading. J. Build. Eng. 2022, 47, 103875. [Google Scholar] [CrossRef]

















| fck (MPa) | ρs2 (%) | Pu (kN) | Δu (mm) | κy (10−6 rad/mm) | κu (10−6 rad/mm) | μκ | cu/d | εt (%) |
|---|---|---|---|---|---|---|---|---|
| 30 | 0.72 | 330.7 | 54.3 | −6.52 | −32.91 | 5.05 | 0.15 | 1.53 |
| 1.55 | 667.0 | 40.1 | −7.71 | −21.55 | 2.80 | 0.25 | 0.89 | |
| 2.36 | 914.9 | 33.6 | −8.89 | −15.56 | 1.75 | 0.41 | 0.51 | |
| 3.18 | 1055.5 | 31.2 | −10.36 | −12.12 | 1.17 | 0.52 | 0.32 | |
| 4.0 | 1131.3 | 29.3 | −12.62 | −10.71 | 0.85 | 0.59 | 0.24 | |
| 60 | 0.72 | 348.3 | 57.1 | −6.37 | −35.61 | 5.59 | 0.14 | 1.69 |
| 1.55 | 700.4 | 44.9 | −7.19 | −25.60 | 3.56 | 0.18 | 1.15 | |
| 2.36 | 1027.6 | 39.3 | −7.98 | −20.60 | 2.58 | 0.26 | 0.84 | |
| 3.18 | 1279.8 | 33.6 | −8.61 | −15.53 | 1.80 | 0.35 | 0.56 | |
| 4.0 | 1432.3 | 31.2 | −9.34 | −12.28 | 1.32 | 0.44 | 0.38 | |
| 90 | 0.72 | 364.4 | 60.4 | −6.28 | −38.28 | 6.10 | 0.13 | 1.83 |
| 1.55 | 719.1 | 47.8 | −6.96 | −27.69 | 3.98 | 0.17 | 1.27 | |
| 2.36 | 1060.7 | 40.4 | −7.67 | −21.75 | 2.84 | 0.22 | 0.94 | |
| 3.18 | 1374.6 | 36.5 | −8.21 | −18.29 | 2.23 | 0.28 | 0.73 | |
| 4.0 | 1577.0 | 32.7 | −8.69 | −14.11 | 1.62 | 0.36 | 0.50 |
| fck (MPa) | ρs2 (%) | Mu (kN m) | Me (kN m) | βu (%) | |||
|---|---|---|---|---|---|---|---|
| Midspan | Support | Midspan | Support | Midspan | Support | ||
| 30 | 0.72 | 453.6 | −396.3 | 406.3 | −491.0 | −11.7 | 19.3 |
| 1.55 | 888.7 | −786.9 | 805.8 | −952.7 | −10.3 | 17.4 | |
| 2.36 | 1183.9 | −1126.5 | 1102.3 | −1289.7 | −7.4 | 12.7 | |
| 3.18 | 1317.6 | −1386.1 | 1271.6 | −1478.1 | −3.6 | 6.2 | |
| 4.0 | 1396.5 | −1512.9 | 1363.9 | −1578.1 | −2.4 | 4.1 | |
| 60 | 0.72 | 475.1 | −419.2 | 426.7 | −516.0 | −11.3 | 18.8 |
| 1.55 | 936.9 | −815.9 | 844.6 | −1000.5 | −10.9 | 18.5 | |
| 2.36 | 1355.7 | −1205.2 | 1234.7 | −1447.3 | −9.8 | 16.7 | |
| 3.18 | 1657.1 | −1548.4 | 1536.7 | −1789.1 | −7.8 | 13.5 | |
| 4.0 | 1796.9 | −1840.6 | 1720.5 | −1993.5 | −4.4 | 7.7 | |
| 90 | 0.72 | 494.6 | −440.8 | 445.6 | −538.7 | −11.0 | 18.2 |
| 1.55 | 961.0 | −837.9 | 866.2 | −1027.4 | −10.9 | 18.5 | |
| 2.36 | 1406.3 | −1228.5 | 1273.1 | −1494.9 | −10.5 | 17.8 | |
| 3.18 | 1806.1 | −1605.9 | 1648.1 | −1922.0 | −9.6 | 16.4 | |
| 4.0 | 2014.6 | −1947.9 | 1891.2 | −2194.8 | −6.5 | 11.2 | |
Disclaimer/Publisher’s Note: The statements, opinions and data contained in all publications are solely those of the individual author(s) and contributor(s) and not of MDPI and/or the editor(s). MDPI and/or the editor(s) disclaim responsibility for any injury to people or property resulting from any ideas, methods, instructions or products referred to in the content. |
© 2023 by the authors. Licensee MDPI, Basel, Switzerland. This article is an open access article distributed under the terms and conditions of the Creative Commons Attribution (CC BY) license (https://creativecommons.org/licenses/by/4.0/).
Share and Cite
Shi, S.; Pang, M.; Lou, T. Numerical Assessment on Continuous Reinforced Normal-Strength Concrete and High-Strength Concrete Beams. Buildings 2023, 13, 1157. https://doi.org/10.3390/buildings13051157
Shi S, Pang M, Lou T. Numerical Assessment on Continuous Reinforced Normal-Strength Concrete and High-Strength Concrete Beams. Buildings. 2023; 13(5):1157. https://doi.org/10.3390/buildings13051157
Chicago/Turabian StyleShi, Sensen, Miao Pang, and Tiejiong Lou. 2023. "Numerical Assessment on Continuous Reinforced Normal-Strength Concrete and High-Strength Concrete Beams" Buildings 13, no. 5: 1157. https://doi.org/10.3390/buildings13051157
APA StyleShi, S., Pang, M., & Lou, T. (2023). Numerical Assessment on Continuous Reinforced Normal-Strength Concrete and High-Strength Concrete Beams. Buildings, 13(5), 1157. https://doi.org/10.3390/buildings13051157
