Compressed Stabilized Earth Block Incorporating Municipal Solid Waste Incinerator Bottom Ash as a Partial Replacement for Fine Aggregates
Abstract
1. Introduction
2. Materials and Methods
2.1. Soil
2.2. Cement
2.3. Municipal Solid Waste Incinerator Bottom Ash (MSWIBA)
2.4. Soil–Admixture Proportions
2.5. Optimum Moisture Content (OMC)
2.6. Optimum Fabrication of Compressed Stabilized Earth Block
2.7. Test Methods
3. Results and Discussion
3.1. Mechanical Properties of Compressed Stabilized Earth Block
3.1.1. Dry and Wet Compressive Strength of Compressed Stabilized Earth Blocks
3.1.2. Flexural Strength of Compressed Stabilized Earth Block
3.1.3. Water Absorption of Compressed Stabilized Earth Block
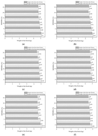
3.2. Alternate Wetting–Drying
3.3. Stress–Strain Behavior of CSEB
3.4. Microstructural Analysis
3.5. Cost Analysis
4. Conclusions
Author Contributions
Funding
Data Availability Statement
Conflicts of Interest
References
- Chauhan, P.; El Hajjar, A.; Prime, N.; Plé, O. Unsaturated behavior of rammed earth: Experimentation towards numerical modelling. Constr. Build. Mater. 2019, 227, 116646. [Google Scholar] [CrossRef]
- Brito, M.R.; Marvila, M.T.; Linhares, J.A.T., Jr.; Azevedo, A.R.G.D. Evaluation of the Properties of Adobe Blocks with Clay and Manure. Buildings 2023, 13, 657. [Google Scholar] [CrossRef]
- Lahdili, M.; El Abbassi, F.-E.; Sakami, S.; Aamouche, A. Mechanical and Thermal Behavior of Compressed Earth Bricks Reinforced with Lime and Coal Aggregates. Buildings 2022, 12, 1730. [Google Scholar] [CrossRef]
- Binici, H.; Aksogan, O.; Shah, T. Investigation of fibre reinforced mud brick as a building material. Constr. Build. Mater. 2005, 19, 313–318. [Google Scholar] [CrossRef]
- Rovnaník, P.; Rovnaníková, P. Blended alkali-activated fly ash/brick powder materials. Procedia Eng. 2016, 151, 108–113. [Google Scholar] [CrossRef]
- Naganathan, S.; Yousef, A.; Mohamed, O.; Mustapha, K.N. Performance of bricks made using fly ash and bottom ash. Constr. Build. Mater. 2015, 96, 576–580. [Google Scholar] [CrossRef]
- Shariful, M.; Elahi, T.E.; Rafat, A.; Mumtaz, N. Effectiveness of fly ash and cement for compressed stabilized earth block construction. Constr. Build. Mater. 2020, 255, 119392. [Google Scholar]
- Elahi, T.E.; Rafat, A.; Shariful, M.; Mehzabin, F. Suitability of fly ash and cement for fabrication of compressed stabilized earth blocks. Constr. Build. Mater. 2020, 263, 120935. [Google Scholar] [CrossRef]
- Elahi, T.E.; Rafat, A.; Shariful, M. Engineering characteristics of compressed earth blocks stabilized with cement and fly ash. Constr. Build. Mater. 2021, 277, 122367. [Google Scholar] [CrossRef]
- Prashanth, R.; Selvan, S.S.; Balasubramanian, M. Experimental Investigation on Durability Properties of Concrete Added with Nano Silica. Rasayan J. Chem. 2019, 12, 685–690. [Google Scholar] [CrossRef]
- Sekhar, D.C.; Nayak, S. Utilization of granulated blast furnace slag and cement in the manufacture of compressed stabilized earth blocks. Constr. Build. Mater. 2018, 166, 531–536. [Google Scholar] [CrossRef]
- Nagaraj, H.; Shreyasvi, C. Compressed Stabilized Earth Blocks Using Iron Mine Spoil Waste—An Explorative Study. Procedia Eng. 2017, 180, 1203–1212. [Google Scholar] [CrossRef]
- Contreras, M.; Teixeira, S.R.; Lucas, M.C.; Lima, L.C.N.; Cardoso, D.S.L.; da Silva, G.A.C.; Gregório, G.C.; de Souza, A.E.; dos Santos, A. Recycling of construction and demolition waste for producing new construction material (Brazil case-study). Constr. Build. Mater. 2016, 123, 594–600. [Google Scholar] [CrossRef]
- Hb, N.; Kv, A.; Nc, D. Utilization of granite sludge in the preparation of durable compressed stabilized earth blocks. MOJ Civ. Eng. 2018, 4, 237–243. [Google Scholar] [CrossRef]
- Choi, W.; Jeon, C. Development and performance verification of quality improvement equipment for recycled fine aggregate and soil. J. Mater. Cycles Waste Manag. 2021, 23, 1331–1347. [Google Scholar] [CrossRef]
- Agamuthu, P.; Victor, D. Policy Evolution of Solid Waste Management in Malaysia. J. Mater. Cycles Waste Manag. 2009, 11, 916–924. [Google Scholar]
- Ouedraogo, K.; Aubert, J.; Tribout, C.; Millogo, Y.; Escadeillas, G. Ovalbumin as natural organic binder for stabilizing unfired earth bricks: Understanding vernacular techniques to inspire modern constructions. J. Cult. Heritage 2021, 50, 139–149. [Google Scholar] [CrossRef]
- Banerjee, R.; Goswami, P.; Mukherjee, A. Stabilization of iron ore mine spoil dump sites with vetiver system. In Bio-Geotechnologies for Mine Site Rehabilitation; Elsevier: Amsterdam, The Netherlands, 2018; pp. 393–413. [Google Scholar]
- Kasinikota, P.; Tripura, D.D. Evaluation of compressed stabilized earth block properties using crushed brick waste. Constr. Build. Mater. 2021, 280, 122520. [Google Scholar] [CrossRef]
- Turco, C.; Junior, A.C.P.; Teixeira, E.R.; Mateus, R. Optimisation of Compressed Earth Blocks (CEBs) using natural origin materials: A systematic literature review. Constr. Build. Mater. 2021, 309, 125140. [Google Scholar] [CrossRef]
- Muntohar, A.S. Engineering characteristics of the compressed-stabilized earth brick. Constr. Build. Mater. 2011, 25, 4215–4220. [Google Scholar] [CrossRef]
- Haiying, Z.; Youcai, Z.; Jingyu, Q. Utilization of municipal solid waste incineration (MSWI) fly ash in ceramic brick: Product characterization and environmental toxicity. Waste Manag. 2011, 31, 331–341. [Google Scholar] [CrossRef] [PubMed]
- Silva, R.V.; De Brito, J.; Lynn, C.J.; Dhir, R.K. Use of municipal solid waste incineration bottom ashes in alkali- activated materials, ceramics and granular applications: A review. Waste Manag. 2017, 68, 207–220. [Google Scholar] [CrossRef]
- Chen, D.M. The world’ s growing municipal solid waste: Trends and impacts The world’ s growing municipal solid waste: Trends and impacts. Environ. Res. Lett. 2020, 15, 74021. [Google Scholar] [CrossRef]
- Jesudass, A.; Gayathri, V.; Geethan, R.; Gobirajan, M.; Venkatesh, M. Earthen blocks with natural fibres—A review. Mater. Today Proc. 2021, 45, 6979–6986. [Google Scholar] [CrossRef]
- Rahla, K.M.; Mateus, R.; Bragança, L. Implementing Circular Economy Strategies in Buildings—From Theory to Practice. Appl. Syst. Innov. 2021, 4, 26. [Google Scholar] [CrossRef]
- Islam, M.S.; Elahi, T.E.; Shahriar, A.R.; Nahar, K.; Hossain, T.R. Strength and Durability Characteristics of Cement-Sand Stabilized Earth Blocks. J. Mater. Civ. Eng. 2020, 32. [Google Scholar] [CrossRef]
- Oti, J.; Kinuthia, J.; Bai, J. Engineering properties of unfired clay masonry bricks. Eng. Geol. 2009, 107, 130–139. [Google Scholar] [CrossRef]
- SP-36 (Part1); Compendium of Indian Standards on Soil Engineering: Lab Testing of soils for Civil Engineering purposes. Bureau of Indian Standards: New Delhi, India, 1987.
- Concrete, G.; Block, I.; Agricultural, F. Investigation of compressed earth brick containing ceramic waste investigation of compressed earth brick containing. ARPN J. Eng. Appl. Sci. 2016, 11, 5459–5462. [Google Scholar]
- Nagaraj, H.; Rajesh, A.; Sravan, M. Influence of soil gradation, proportion and combination of admixtures on the properties and durability of CSEBs. Constr. Build. Mater. 2016, 110, 135–144. [Google Scholar] [CrossRef]
- AS HB 195; The Australian Earth Building Handbook. Standard Australia: Sydney, Australia, 2002.
- IS: 1725; Specification for soil based blocks used in general building construction. Bureau of Indian Standards: New Delhi, India, 2013.
- Teerajetgul, W.; Sinthaworn, S. Effects of Using Fine Quarry Waste as Cement Replacement Material on the Compressive Strength of the Mixture of Interlocking Block. Adv. Mater. Res. 2014, 1032, 2348–2353. [Google Scholar] [CrossRef]
- Bahar, R.; Benazzoug, M.; Kenai, S. Performance of compacted cement-stabilised soil. Cem. Concr. Compos. 2004, 26, 811–820. [Google Scholar] [CrossRef]
- Tripura, D.D.; Singh, K.D. Characteristic Properties of Cement-Stabilized Rammed Earth Blocks. J. Mater. Civ. Eng. 2015, 27, 1–8. [Google Scholar] [CrossRef]
- Balkis, A.P. The effects of waste marble dust and polypropylene fiber contents on mechanical properties of gypsum stabilized earthen. Constr. Build. Mater. 2017, 134, 556–562. [Google Scholar] [CrossRef]
- IS:3495-Part1; Methods of Tests of Burnt Clay Building Bricks. Bureau of Indian Standards: New Delhi, India, 1992.
- IS 5454; Methods for Sampling of Clay Building Bricks. Bureau of Indian Standards: New Delhi, India, 1978.
- Chou, M.-I.M.; Patel, V.; Laird, C.J.; Ho, K.K. Chemical and Engineering Properties of Fired Bricks Containing 50 Weight Percent of Class F Fly Ash. Energy Sources 2001, 23, 665–673. [Google Scholar] [CrossRef]
- ASTM C 67-02c; Standard Test Methods for Sampling and Testing Brick and Structural Clay Tile. Annual Book of ASTM Standards: Conshohocken, PA, USA, 2002.
- ASTM D 559-03; Test Methods for Wtting and Drying Compacted Soil–Cement Mixtures. Annual Book of ASTM Standards: Conshohocken, PA, USA, 2003.
- Gandia, R.M.; Gomes, F.C.; Aparecida, A.; Corrêa, R.; Rodrigues, M.C.; Mendes, R.F. Physical, mechanical and thermal behavior of adobe stabilized with glass fiber reinforced polymer waste. Constr. Build. Mater. 2019, 222, 168–182. [Google Scholar] [CrossRef]
- Seco, A.; Omer, J.; Marcelino, S.; Espuelas, S.; Prieto, E. Sustainable unfired bricks manufacturing from construction and demolition wastes. Constr. Build. Mater. 2018, 167, 154–165. [Google Scholar] [CrossRef]
- Oti, J.E.; Kinuthia, J.M.; Robinson, R.B. Applied Clay Science The development of un fi red clay building material using Brick Dust Waste and Mercia mudstone clay. Appl. Clay Sci. 2014, 102, 148–154. [Google Scholar] [CrossRef]
- New Mexico Earthen Building Materials Code; New Mexico Administrative: Santa Fe, NM, USA, 2011; pp. 1–28.
- NZS 4298; Materials and Workmanship for Earth Buildings (Building Code Compliance Document E2). Standards New Zealand: Wellington, New Zealand, 1998; Volume 4298.
- UN-Habitat Sri Lanka Sustainable Construction Using Alternative Technologies Compressed Stabilized Earth Blocks (CSEB) for Wall Construction. 2015. Available online: https://unhabitat.lk/wp-content/uploads/2016/04/Compressed-Stabilized-Earth-Blocks-CSEB-for-Wall-Construction.pdf (accessed on 3 April 2014).
- Hallal, M.M.; Sadek, S.; Najjar, S.S. Evaluation of Engineering Characteristics of Stabilized Rammed-Earth Material Sourced from Natural Fines-Rich Soil. J. Mater. Civ. Eng. 2018, 30, 4018273. [Google Scholar] [CrossRef]
















| Property | Parameter | Soil |
|---|---|---|
| Atterberg limit | Liquid limit, LL | 61.45% |
| Plastic limit, PL | 35.67% | |
| Plasticity Index, PI | 25.78% | |
| Grain size Distribution | Sand | 51.78% |
| Slit | 25.55% | |
| Clay | 22.67% | |
| Proctor Test | Optimum moisture content (OMC) | 19.67% |
| Maximum dry density (MDD) | 1820 kg/m3 | |
| Shrinkage Limit | 18.23% | |
| IS Soil Classification | CH |
| Compound | Chemical Composition (%) | |
|---|---|---|
| MSWIBA | OPC (Type I) | |
| SiO2 | 64.75 | 22.40 |
| Al2O3 | 0.78 | 5.13 |
| Fe2O3 | 0.38 | 3.98 |
| CaO | 14.85 | 61.64 |
| MgO | 0.74 | 1.26 |
| K2O | - | 0.61 |
| Na2O | - | 0.09 |
| SO3 | - | 1.14 |
| C | 15.53 | - |
| LOI | - | 3.75 |
| Cement | MSWIBA | No of Samples | Testing |
|---|---|---|---|
| 0% | 0%, 5%, 10%, 15%, 20%, 25% | 5 | Dry compression strength |
| 6% | 5 | Wet compression strength | |
| 7% | 5 | Flexural strength | |
| 8% | 5 | Water absorption | |
| 9% | 3 | Stress–strain behavior | |
| 10% | 5 | Wetting–drying test |
Disclaimer/Publisher’s Note: The statements, opinions and data contained in all publications are solely those of the individual author(s) and contributor(s) and not of MDPI and/or the editor(s). MDPI and/or the editor(s) disclaim responsibility for any injury to people or property resulting from any ideas, methods, instructions or products referred to in the content. |
© 2023 by the authors. Licensee MDPI, Basel, Switzerland. This article is an open access article distributed under the terms and conditions of the Creative Commons Attribution (CC BY) license (https://creativecommons.org/licenses/by/4.0/).
Share and Cite
Thennarasan Latha, A.; Murugesan, B.; Thomas, B.S. Compressed Stabilized Earth Block Incorporating Municipal Solid Waste Incinerator Bottom Ash as a Partial Replacement for Fine Aggregates. Buildings 2023, 13, 1114. https://doi.org/10.3390/buildings13051114
Thennarasan Latha A, Murugesan B, Thomas BS. Compressed Stabilized Earth Block Incorporating Municipal Solid Waste Incinerator Bottom Ash as a Partial Replacement for Fine Aggregates. Buildings. 2023; 13(5):1114. https://doi.org/10.3390/buildings13051114
Chicago/Turabian StyleThennarasan Latha, Abinaya, Balasubramanian Murugesan, and Blessen Skariah Thomas. 2023. "Compressed Stabilized Earth Block Incorporating Municipal Solid Waste Incinerator Bottom Ash as a Partial Replacement for Fine Aggregates" Buildings 13, no. 5: 1114. https://doi.org/10.3390/buildings13051114
APA StyleThennarasan Latha, A., Murugesan, B., & Thomas, B. S. (2023). Compressed Stabilized Earth Block Incorporating Municipal Solid Waste Incinerator Bottom Ash as a Partial Replacement for Fine Aggregates. Buildings, 13(5), 1114. https://doi.org/10.3390/buildings13051114

