The Economic Impact Associated with the Direct Connection Strength of Micropiles in Foundation Retrofit Projects
Abstract
1. Introduction
2. Materials and Methods
2.1. Micropile Underpinning Design
2.2. Bond Stress Prediction
2.2.1. Eurocode 2
2.2.2. ACI-318-19
2.2.3. ACI-318 and EH-80
2.2.4. Rodríguez-Ortiz (1984)
2.2.5. Oteo (2007)
2.2.6. Rodríguez-Ortiz (2007)
2.2.7. EHE-08
2.3. Monte Carlo Simulation
3. Case Studies
4. Results
4.1. Comparison of the Different Formulations
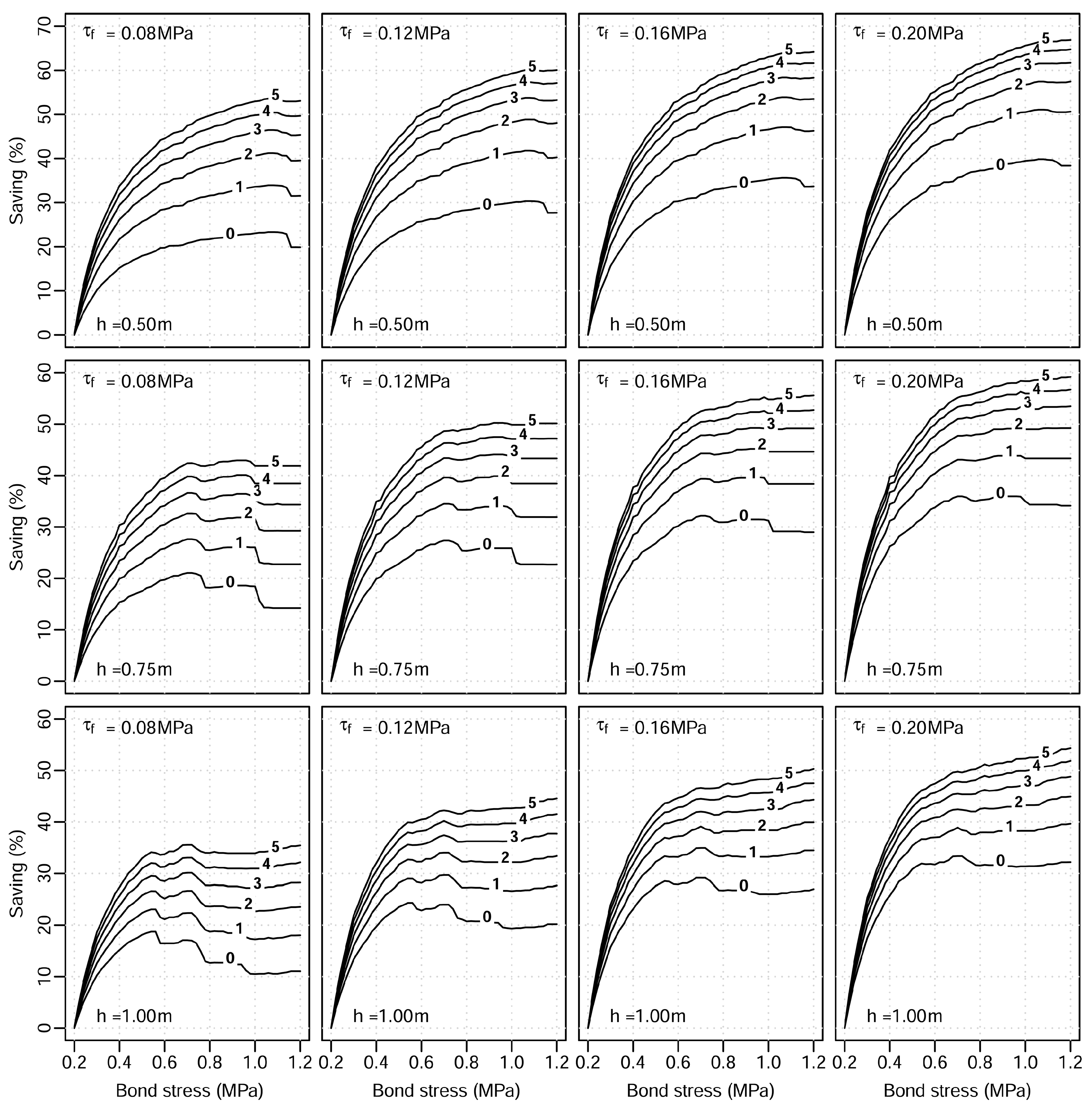
4.2. Probablistic Analysis Using Monte Carlo Simulation
5. Discussion
6. Conclusions
- The latest European regulations about micropiles reduced the bond strength of micropiles to those of the existing foundations. So, direct connection verification has become the usual limiting factor in building retrofit projects. This implies that, with respect to the previous methods to evaluate the connection strength, it is now necessary to use more micropiles, thereby increasing the project’s cost by around 40%, which can be even up to 50%.
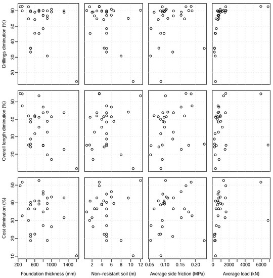
- The increase in cost is substantially relevant in buildings that: transmit large loads, stand on soil whose first non-resistant layer is very thick, and whose foundations are thin. Therefore, it is especially relevant to buildings with foundation slabs.
- The American RC code (ACI-318-19) contemplates the use of a shear strength value of 0.552 MPa at the interface between concrete casts at different times. This value is similar to the concrete shear strength, which is the bond stress value that was previously used in Europe. So, using this value does not imply an increase in the cost of retrofit projects. In addition, this value is supported by lab tests carried out by Pachla, since it is slightly lower than the characteristic 5% percentile of the distribution of the bond stress design values.
- Finally, in the case of applying techniques to improve the bond stress, for increasing the roughness in the boreholes, it is not economically or structurally advisable to exceed the bond stress values of 0.60 MPa or reach values of around 1.0 MPa. These high values would only be required for large structures, which transmit large loads to the soil, in which it is necessary to apply out strong reinforcement to the connection, as well as to improve the resistance of micropiles.
Supplementary Materials
Author Contributions
Funding
Conflicts of Interest
References
- Lizzi, F. The Static Restoration of Monuments: Basic Criteria, Cases Histories: Strengthening of Buildings Damaged by Earthquakes; SAGE Publications: Thousand Oaks, CA, USA, 1982. [Google Scholar]
- Edens, J.H.; Fisher, B.L. Foundation Retrofit of Three Structures Utilizing Micropiles. In Proceedings of the Structures Congress 2018: Buildings and Disaster Management-Selected Papers from the Structures Congress 2018, Fort Worth, TX, USA, 19–21 April 2018; Volume 2018. [Google Scholar] [CrossRef]
- Federal Highway Administration. Micropile Design and Construction Guidelines. In Handbook; No. 132078T; Federal Highway Administration: Washington, DC, USA, 2005. [Google Scholar]
- Cadden, A.; Gómez, J. Buckling of Micropiles. A Review of Historic Research and Recent Experiences; ADSC-IAF—Micropile Committee, Schnabel Engineering Associates: West Chester, PA, USA, 2002. [Google Scholar]
- Babu, G.L.S.; Murthy, B.S.; Murthy, D.S.N.; Nataraj, M.S. Bearing Capacity Improvement Using Micropiles: A Case Study; ASCE: Reston, VA, USA, 2004. [Google Scholar]
- Elsawwaf, A.; El Sawwaf, M.; Farouk, A.; Aamer, F.; El Naggar, H. Restoration of Tilted Buildings via Micropile Underpinning: A Case Study of a Multistory Building Supported by a Raft Foundation. Buildings 2023, 13, 422. [Google Scholar] [CrossRef]
- Akan, R.; Keskin, S.N.; Uzundurukan, S. Multiple Regression Model for the Prediction of Unconfined Compressive Strength of Jet Grout Columns. Procedia Earth Planet. Sci. 2015, 15, 299–303. [Google Scholar] [CrossRef]
- Akan, R. Estimation of the maximum bending of cantilever sheet pile walls by using multiple linear regression analysis. J. Eng. Sci. Des. 2022, 10, 247–256. [Google Scholar] [CrossRef]
- Echave-Rasines, J.M. Micropiles to footing connection. In Jornadas Técnicas SEMSIG-AETESS, 3ª Sesión; CEDEX, Naos Livros: Madrid, Spain, 2003; pp. 131–141. [Google Scholar]
- Pachla, H. Conditions of proper interaction of Low-pressure Injection Piles (LIP) with structure and soil, carrying capacity of pile anchorage in foundation. Stud. Geotech. Mech. 2016, 38, 33–49. [Google Scholar] [CrossRef]
- Veludo, J.; Dias-da_Costa, D.; Júlio, E.N.B.S.; Pinto, P.L. Bond strength of textured micropiles grouted to concrete footings. Eng. Struct. 2012, 35, 288–295. [Google Scholar] [CrossRef]
- CEN. EN 14199:2019 Execution of Special Geotechnical Works—Micropiles (Endorsed by AENOR in August of 2006); European Committee for Standardization: Brussels, Belgium, 2019; p. 65. [Google Scholar]
- GPEMOC. Guía Para el Proyecto y la Ejecución de Micropilotes en Obras de Carretera. Dirección General de Carreteras; Ministerio de Fomento: Madrid, Spain, 2005; p. 142. (In Spanish) [Google Scholar]
- ACI Committee 318. Building Code Requirements for Structural Concrete and Commentary (ACI 318M-19); American Concrete Institute: Farmington Hills, MI, USA, 2019; p. 623. [Google Scholar]
- Gómez, J.; Cadden, A.; Traylor, R.P.; Bruce, D.A.; Eng, C. Connection Capacity between Micropiles and Concrete Footings: Interpretation of Test Results and Design Recommendations. In Geo3 GEO Construction Quality Assurance/Quality Control; ADSC: Fort Worth, TX, USA, 2005. [Google Scholar]
- Veludo, J.; Júlio, E.N.B.S.; Dias-Da-Costa, D. Compressive strength of micropile-to-grout connections. Constr. Build. Mater. 2012, 26, 172–179. [Google Scholar] [CrossRef]
- Veludo, J.; Júlio, E.N.B.S.; Pinto, P.L. Bond strength of micropile (grout) concrete interfaces in RC footings strengthened with micropiles. In Proceedings of the 9th International Workshop on Micropiles, London, UK, 10–13 May 2009. [Google Scholar]
- Darrel, W.; Gómez, J.; Cadden, A.W.; Traylor, R.P.; Pilkington, M. Compressive Load Transfer in Micropiles through Concrete Footings: A Full Scale Test Program. In Geo3 GEO Construction Quality Assurance/Quality Control; ADSC: Fort Worth, TX, USA, 2005. [Google Scholar]
- CEN. EN 14199:2006 Execution of Special Geotechnical Works—Micropiles; European Committee for Standardization: Brussels, Belgium, 2006; p. 52. [Google Scholar]
- CEN. EN 1992-1-1: Eurocode 2: Design of Concrete Structures—Part 1-1: General Rules and Rules for Buildings; European Committee for Standardization: Brussels, Belgium, 2004; p. 225. [Google Scholar]
- Real Decreto 2661/1998, BOE N° 11; Instrucción de Hormigón Estructural (EHE). EHE: Madrid, Spain, 1999; pp. 1–271. (In Spanish)
- EHE-08. Real Decreto 1247/2008, BOE N°, 203; Instrucción de Hormigón Estructural (EHE-08) y Suplemento. EHE: Madrid, Spain, 2008; pp. 1–304. (In Spanish)
- EH-73. Decreto 3062/1973, BOEN° 293; Instrucción para el proyecto y la ejecución de obras de hormigón en masa o armado (EH-73). EHE: Madrid, Spain, 1973; pp. 23701–24204. (In Spanish)
- Instrucción EH-80. Real Decreto 2868/1980, BOEN°9; Instrucción para el proyecto y la ejecución de obras de hormigón en masa o armado (EH-80). EHE: Madrid, Spain, 1980; pp. 522–839. (In Spanish)
- Rodríguez-Ortiz, J.M. Curso de Rehabilitación, 1st ed.; Colegio Oficial de Arquitectos de Madrid: Madrid, Spain, 1984; Volume 4. (In Spanish) [Google Scholar]
- Oteo, C.S. Micropilotes. Criterios para el diseño de micropilotes. In Jornadas Técnicas SEMSIG-AETESS, 3ª Sesión; CEDEX, Naos Livros: Madrid, Spain, 2007. (In Spanish) [Google Scholar]
- Rodríguez-Ortiz, J.M. Actuaciones y rehabilitación en construcciones históricas y singulares. In Intervenciones en Cimentación: Técnicas Aplicables y Patología. Jornadas Técnicas SEMSIG-AETESS, 7ª Sesión; CEDEX, Naos Livros: Madrid, Spain, 2007. (In Spanish) [Google Scholar]
- ACI Committee 318. Building Code Requirements for Structural Concrete (ACI 318-02) and Commentary (ACI 318R-02); American Concrete Institute: Farmington Hills, MI, USA, 2002; p. 443. [Google Scholar]
- Akan, R. Examination of the behavior of the single anchored sheet piles in sand utilizing analytical and numerical methods. Arab. J. Geosci. 2021, 14, 1949. [Google Scholar] [CrossRef]
- Cyna, H.; Schlosser, F.; Frank, R.; Plumelle, C.; Estephan, R.; Altamayer, F.; Goulesco, N.; Juran, I.; Maurel, C.; Shahrour, I.; et al. FOREVER: Synthèse des Resultants et Recommandations du Project National sur les Micropieux (1999–2003); Presses de L’Ecole National des Ponts et Chaussées: Paris, France, 2004; pp. 1–347. (In French) [Google Scholar]
- Serrano-Alcudia, F. Patología de la Edificación. El Lenguaje de las Grietas, 1st ed.; Fundación Escuela de la Edificación: Madrid, España, 1998. (In Spanish) [Google Scholar]
- Martínez-Paz, J.M.; Pellicer-Martínez, F.; Colino, J. A probabilistic approach for the socioeconomic assessment of urban river rehabilitation projects. Land Use Policy 2014, 36, 468–477. [Google Scholar] [CrossRef]
- Marek, P.; Gustar, M.; Anagnos, T. Codified design of steel structures using Monte Carlo techniques. J. Constr. Steel Res. 1999, 52, 69–82. [Google Scholar] [CrossRef]
- Luo, R.F.; Wang, Y.F.; Xiao, W.F.; Zhao, X.Z. AlfphaTruss: Monte Carlo Tree Search for Optimal Truss Layout Design. Buildings 2022, 12, 641. [Google Scholar] [CrossRef]
- Grubišic, M.; Ivoševic, J.; Grubišic, A. Reliability analysis of reinforced concrete frame by finite element method with implicit limit state functions 1. Buildings 2019, 9, 119. [Google Scholar] [CrossRef]
- Nguyen, H.D.; Shin, M.; Torbol, M. Reliability assessment of a planar steel frame subjected to earthquakes in case of an implicit limit-state function. J. Build. Eng. 2020, 32, 101782. [Google Scholar] [CrossRef]
- Hoang, P.H.; Phan, H.N.; Nguyen, D.T.; Paolacci, F. Kriging Metamodel-Based Seismic Fragility Analysis of Single-Bent Reinforced Concrete Highway Bridges. Buildings 2021, 11, 238. [Google Scholar] [CrossRef]
- Vose, D. Risk Anaysis—A Quantitative Guide, 3rd ed.; John Wiley and Sons: London, UK, 2008. [Google Scholar]
- Pachla, H. Experimental verification of integrity of low-pressure injection piles structure—Pile internal capacity. Stud. Geotech. Mech. 2017, 39, 77–85. [Google Scholar] [CrossRef]
- Gatto, M.P.A.; Montrasio, L. Analysis of the Behaviour of Very Slender Piles: Focus on the Ultimate Load. Int. J. Civ. Eng. 2020, 19, 145–153. [Google Scholar] [CrossRef]






| Status | Code/Regulation | Formulation | |
|---|---|---|---|
| In use | Eurocode [20] | (1) | |
| (2) | |||
| ACI-318-19 [14] | (3) | ||
| No longer in use | EH-80 [24] | (4) | |
| Rodríguez-Ortiz (1984) [25] | (5) | ||
| Oteo (2007) [26] | (6) | ||
| Rodríguez-Ortiz (2007) [27] | (7) | ||
| EHE-08 [22] | (8) |
| Number | Foundation | h (m) | e0 (m) | N (Ud) | (kN) | (MPa) |
|---|---|---|---|---|---|---|
| 1 | Isolated footings | 1.00 | 2.20 | 9 | 763.30 | 0.090 |
| 2 | Isolated footings | 0.60 | 4.40 | 12 | 599.78 | 0.070 |
| 3 | Isolated footings | 0.80 | 0.90 | 7 | 1627.47 | 0.175 |
| 4 | Isolated footings | 0.50 | 5.00 | 4 | 176.38 | 0.108 |
| 5 | Isolated footings | 1.00 | 6.00 | 28 | 909.53 | 0.093 |
| 6 | Isolated footings | 0.80 | 5.00 | 47 | 625.05 | 0.055 |
| 7 | Isolated footings | 0.50 | 5.00 | 4 | 204.39 | 0.212 |
| 8 | Isolated footings | 0.70 | 1.60 | 58 | 318.17 | 0.073 |
| 9 | Isolated footings | 1.30 | 3.00 | 23 | 1557.81 | 0.099 |
| 10 | Isolated footings | 0.80 | 6.00 | 12 | 735.01 | 0.130 |
| 11 | Isolated footings | 0.50 | 5.00 | 23 | 678.76 | 0.086 |
| 12 | Isolated footings | 0.70 | 4.00 | 18 | 1163.99 | 0.094 |
| 13 | Isolated footings | 0.50 | 4.00 | 7 | 556.65 | 0.080 |
| 14 | Isolated footings | 0.70 | 12.00 | 8 | 1323.50 | 0.078 |
| 15 | Isolated footings | 0.50 | 4.50 | 12 | 197.47 | 0.076 |
| 16 | Isolated footings | 0.90 | 9.50 | 8 | 723.05 | 0.093 |
| 17 | Isolated footings | 0.90 | 2.50 | 23 | 686.36 | 0.120 |
| 18 | Isolated footings | 0.45 | 3.00 | 5 | 388.48 | 0.151 |
| 19 | Isolated footings | 0.90 | 8.00 | 9 | 292.77 | 0.047 |
| 20 | Isolated footings | 0.60 | 5.00 | 3 | 266.83 | 0.081 |
| 21 | Isolated footings | 0.90 | 6.50 | 7 | 973.36 | 0.086 |
| 22 | Isolated footings | 0.80 | 5.00 | 16 | 427.92 | 0.051 |
| 23 | Isolated footings | 1.30 | 2.00 | 52 | 1510.06 | 0.150 |
| 24 | Isolated footings | 1.60 | 10.50 | 6 | 320.65 | 0.071 |
| 25 | Strip footings | 0.60 | 5.00 | 2 | 926.10 | 0.061 |
| 26 | Foundation slab | 0.30 | 5.00 | 1 | 635.69 | 0.174 |
| 27 | Foundation slab | 0.25 | 3.50 | 2 | 1595.25 | 0.162 |
| 28 | Foundation slab | 0.30 | 3.50 | 1 | 5950.30 | 0.178 |
| 29 | Foundation slab | 0.45 | 1.50 | 1 | 6847.02 | 0.086 |
| Unit | Description | Reinforcement | Cost (EUR) | |
|---|---|---|---|---|
| m | Construction of 152 mm diameter micropile for different tubular reinforcements | (mm) | 66.0 | |
| (mm) | 70.0 | |||
| (mm) | 75.5 | |||
| (mm) | 79.0 | |||
| m | Reinforcement of the joint to improve the strength at the grout-to-steel interface (reinforcement) | ∅16 (mm) | 10.0 | |
| ∅20 (mm) | 11.0 | |||
| ∅25 (mm) | 12.5 | |||
| m | Drilling of 220 mm diameter | - | - | 150.0 |
| S.P. | Micropile equipment transportation | - | - | 3500.0 |
| Aggregate Values | Diminutions (%) Respect EC2 [20] | ||||||||
|---|---|---|---|---|---|---|---|---|---|
| Bond Stress (MPa) | n | (m) | (EUR) | (m) | CC (MEUR) | n (%) | (%) | CC (%) | |
| In use | 0.206 [20] | 3137 | 9.12 | 778.3 | 28,606 | 2.442 | - | - | - |
| 0.552 [14] | 1345 | 13.10 | 1097.1 | 17,516 | 1.476 | −57% | −39% | −40% | |
| No longer in use | 0.219 [22] | 2942 | 9.28 | 790.6 | 27,298 | 2.326 | −6% | −5% | −5% |
| 0.566 [24] | 1332 | 13.08 | 1103.2 | 17,423 | 1.469 | −58% | −39% | −40% | |
| 0.637 [25] | 1241 | 13.58 | 1149.6 | 16,857 | 1.427 | −60% | −41% | −42% | |
| 0.653 [27] | 1206 | 13.80 | 1171.5 | 16,648 | 1.413 | −62% | −42% | −42% | |
| 0.679 [26] | 1186 | 13.92 | 1182.8 | 16,504 | 1.403 | −62% | −42% | −43% | |
Disclaimer/Publisher’s Note: The statements, opinions and data contained in all publications are solely those of the individual author(s) and contributor(s) and not of MDPI and/or the editor(s). MDPI and/or the editor(s) disclaim responsibility for any injury to people or property resulting from any ideas, methods, instructions or products referred to in the content. |
© 2023 by the authors. Licensee MDPI, Basel, Switzerland. This article is an open access article distributed under the terms and conditions of the Creative Commons Attribution (CC BY) license (https://creativecommons.org/licenses/by/4.0/).
Share and Cite
Pellicer-Martínez, F.; Martínez-Lirón, V.; Hernández-Díaz, A.M.; Pérez-Aracil, J.; López-Juárez, J.A. The Economic Impact Associated with the Direct Connection Strength of Micropiles in Foundation Retrofit Projects. Buildings 2023, 13, 980. https://doi.org/10.3390/buildings13040980
Pellicer-Martínez F, Martínez-Lirón V, Hernández-Díaz AM, Pérez-Aracil J, López-Juárez JA. The Economic Impact Associated with the Direct Connection Strength of Micropiles in Foundation Retrofit Projects. Buildings. 2023; 13(4):980. https://doi.org/10.3390/buildings13040980
Chicago/Turabian StylePellicer-Martínez, Francisco, Vicente Martínez-Lirón, Alejandro Mateo Hernández-Díaz, Jorge Pérez-Aracil, and José Antonio López-Juárez. 2023. "The Economic Impact Associated with the Direct Connection Strength of Micropiles in Foundation Retrofit Projects" Buildings 13, no. 4: 980. https://doi.org/10.3390/buildings13040980
APA StylePellicer-Martínez, F., Martínez-Lirón, V., Hernández-Díaz, A. M., Pérez-Aracil, J., & López-Juárez, J. A. (2023). The Economic Impact Associated with the Direct Connection Strength of Micropiles in Foundation Retrofit Projects. Buildings, 13(4), 980. https://doi.org/10.3390/buildings13040980

