Abstract
Plastic concrete is a ductile material with a low elastic modulus (1000–3000 MPa), good flexibility, a and strong ability to adapt to the surrounding soil deformation. Hydraulic concrete mainly serves in a watery environment, so the leaching behavior of plastic concrete is crucial and cannot be neglected. Meanwhile, improving the crack resistance and effect of anti-seepage is also a primary task for cut-off walls. In this paper, in order to investigate the mechanical performance and leaching behavior of plastic concrete, a uniaxial compressive strength test was performed on plastic concrete specimens of a specific age (28 days) and different percentages of replacement cement by single bentonite (40%, 50%, and 60%) and bentonite (30%) together with clay (10%, 20%, and 30%), and the compressive strength, elastic modulus, pH value of the leaching solution, ultrasonic transmit time, electrical resistivity, and calcium ion dissolution concentration of plastic concrete have been evaluated. Moreover, the quantitative relationship between pH value and calcium ion concentration change was built through the electrochemical accelerating leaching method. According to the results, adding 40–60% soil materials can entirely meet the compressive strength (2–7 MPa), elastic modulus (below 3000 MPa), and relative permeability coefficient (below 1 × 10−7 cm/s) of plastic concrete used for cut-off walls while the compressive strength and elastic modulus of plastic concrete with 30% replacement cement by bentonite would be higher than 7 MPa and 3000 MPa, respectively. The leaching resistance of plastic concrete can be improved by more than 30% by adding bentonite coupled with clay, and three representative zones were observed through SEM and energy spectrum analysis, and Ca/Si molar ratio decreased by 30% after leaching.
1. Introduction
Concrete cut-off walls have been widely used as an anti-seepage measure in hydraulic engineering, such as dams, dam foundations, embankments, and cofferdams as well as reinforcement of ill-conditioned reservoirs, for good anti-permeability. However, such shortcomings of traditional rigid concrete cut-off walls as high elastic modulus, small ultimate strain, and stress concentration on the wall, inevitably generated internal cracks and further resulted in wall damage. In this context, the plastic concrete cut-off wall has been largely applied to water conservancy projects.
As a new flexible structural engineering material, plastic concrete means admixtures with low cement content and admixed with bentonite and clay, which has low strength, low elastic modulus, and large strain. Compared with normal concrete, plastic concrete has different material composition, in which part of the cement would be replaced by massive soil materials, mainly including bentonite or clay. Therefore, plastic concrete shows low elastic modulus, good flexibility, and a strong ability to adapt to the surrounding soil deformation which improves the crack resistance and effect of anti-seepage and reduces cost for low cement content.
To meet the requirement for the low elastic modulus of plastic concrete, the water–binder ratio must be large enough, usually about 1.5 [1], compared with that of normal concrete between 0.4 and 0.6 [2]. However, the actual water–binder ratio of plastic concrete is generally below 1.5 with the incorporation of various mineral admixtures [3,4,5,6]. The permeability coefficient of plastic concrete is a critical parameter when workability and mechanical performance are guaranteed. Under the premise of fixed strength and elastic modulus, adjusting water–binder ratio can lower the permeability coefficient by an order of magnitude [7]. With the increase in bentonite content, shear strength, elastic modulus, and permeability coefficient decreased. However, the permeability coefficient did not change any more when the bentonite increased to certain content [8]. Most domestic studies on plastic concrete were conducted to optimize the mix design for specific engineering. For example, rigid concrete cut-off walls and plastic concrete cut-off walls in subsidiary dams of certain reservoirs were compared and analyzed through static calculation, seismic dynamic calculation as well as static and dynamic calculation [9]. The results indicate that pressure stress increased only by 0.5% and no tensile stress was generated in the plastic concrete cut-off wall while the maximum pressure stress and tensile stress of rigid concrete one increased by 12% and 17%, respectively. It can be concluded that plastic concrete cut-off wall has good seismic performance and can be used in earthquake project. Hu [10] investigated the effect of composition materials on the durability of plastic concrete including frost resistance, sulfate corrosion resistance, and impermeability by adding fly ash, phosphogypsum, and slag.
In the recent 30 years, concrete has been widely used as the most important building material in water conservancy projects, especially in large-scale hydraulic projects, such as water gates and dams. Hydraulic concrete is normally used in hydraulic buildings and structures which are periodically or constantly exposed to surrounding mineralized or acid water during its service life and therefore leaching behavior of hydraulic concrete cannot be neglected when it comes to mass infrastructure construction in Northern China. Leaching is governed by a combined diffusion–precipitation process when hydraulic concrete is involved in working conditions, resulting in the dissolution of hydration products from the matrix, subsequent structure degradation, and even deterioration. As much literature has shown, the most direct changes in leaching to concrete structures include strength loss and porosity increase [11,12,13,14,15,16,17,18]. However, the literature referring to the leaching behavior of plastic concrete is hardly found.
The natural process of leaching is usually very slow [19], and the degradation of cement paste due to the dissolution of hydration products rarely affects common concrete structures, but it grows relevant to hydraulic structures, such as dams and radioactive disposal facilities, wherein long-term durability must be guaranteed [19,20,21]. The accelerated method used includes a chemical attack with deionized water under applied voltage [11,12,22,23] or a more aggressive solution extensively ammonium nitrate solution [24,25,26], sodium sulfate solution [21] nitric acid solution [24,27]. Meanwhile, the performance of cementitious materials under single leaching and coupled leaching with other factors [23] has been focused. Even the decalcification of calcium silicate hydrate under aggressive solution attack [18] was investigated to clarify the mechanism of calcium dissolution.
The electrochemical accelerating leaching method (EALM) was adopted to conduct the short-term leaching process for the plastic concrete in this study. The effect of mixing amount and adding ways of soil materials on the mechanical performance and leaching resistance of plastic concrete was investigated in detail. In addition, scanning electron microscope and energy spectrum detection were used to analyze the changes in microstructure after electrochemical accelerating leaching processes.
2. Materials and Methods
2.1. Materials
The performance index and chemical composition of cement used for plastic concrete samples in this study are presented in Table 1 and Table 2, respectively, conforming to the requirement of Chinese Standard GB175-2020.
Table 1.
Physical and mechanical performance of cement.
Table 2.
Chemical composition of cement (wt.%).
Calcium bentonite from Jiutai City, Jilin Province, and strong plasticity clay from Harbin City, Heilongjiang Province (plasticity index Ip > 17) were admixed to prepare cylindrical plastic concrete with 100 mm in diameter and 50 mm in height and cubic plastic concrete with sides of 100 mm. The characterization parameters and chemical composition of bentonite are given in Table 3 and Table 4. Calcium oxide content of calcium bentonite was 5.01% which promised its adsorption and ion exchange ability. The water–binder ratio and sand percentage were fixed at 0.7 and 50%, respectively. The polycarboxylate superplasticizer made by Jiangsu Subote New Material Co. Ltd., Nanjing, China was admixed to adjust the workability of plastic concrete. Concrete specimens were prepared by incorporating different percentages of replacement cement by single bentonite (30%, 40%, 50%, and 60%) and bentonite (30%) coupled with clay (10%, 20%, and 30%) by mass, and mix proportions were given in Table 5. B40 specimen means the plastic concrete mixed with 40% bentonite and therefore B30C20 specimen means plastic concrete incorporated by 30% bentonite and 20% clay simultaneously.
Table 3.
Physical performance of bentonite.
Table 4.
Chemical composition of bentonite.
Table 5.
Mix proportions of plastic concrete.
Moreover, polycarboxylate superplasticizer with 20% water reduction was mixed into specimens to adjust the slumps between 180 mm and 220 mm. Method for molding plastic concrete specimens mainly referred to Chinese test code for hydraulic concrete (SL/T 352-2020) [28] and Chinese Specification of concrete cut-off walls used for hydropower and water conservancy project (DL/T 5199-2019) [29]. After casting for 48 h, the specimens were removed from the mold due to their low compressive strength and then cured in a standard curing room (temperature 20 ± 2 °C and relative humidity over 95%) for 26 days before leaching test.
2.2. Experimental
2.2.1. Measurements for Mechanical Performance
According to Chinese test code for hydraulic concrete SL352-2020, compressive strength, relative permeability coefficient, and elastic modulus were measured to appraise the mechanical performance of plastic concrete. Compressive strength of cubic plastic concrete was measured by universal press machines YA-2000, produced by Shanghai Hualong test Instrument factory, Shanghai, China. The relative permeability coefficient was obtained through formula computation by inputting the mean water penetration height after one-off pressure test. The elastic modulus was calculated from load–strain curve.
2.2.2. Electrochemical Accelerating Leaching Method
Specific procedures of electrochemical accelerating leaching method (EALM) and measurement method for electrical resistivity were given in previous studies [30]. Three-dimensional structural configuration of electrochemical accelerated leaching device was given in Figure 1. It is noted that in this study, the applied voltage on the plastic concrete is 60 V and the leaching duration lasts for two weeks. De-ionized water should be renewed after leaching for 7 days to investigate the short-term calcium dissolution behavior of plastic concrete. The related parameters include dissolution calcium ions amount, pH value, and electrical resistivity. Dissolution of calcium ions and pH value were tested by calcium ion selective electrode and pH electrode, respectively. Electrochemical impedance spectrum was used to obtain electrical resistivity of bulk materials.
Figure 1.
Three-dimensional structural configuration of electrochemical accelerated leaching device.
Calcium ion selective electrode and reference electrode form a circuit loop. If the potential of solution was measured, then the corresponding concentration can be calculated through Nernst equation. After activation and standard curve calibration, it was found that calcium ion selective ion electrode had high precision.
3. Results
3.1. Mechanical Behavior
3.1.1. Workability
Table 6 gives the workability of plastic concrete with different mixes. With the increase in the content of bentonite or clay, the dosage of superplasticizer decreased, and good workability of plastic concrete can be ensured despite the large water demand of soil materials. According to Table 6, the slump and slump flow of all plastic concrete meets the requirement for 180–220 mm and 240–400 mm.
Table 6.
Workability of plastic concrete.
3.1.2. Compressive Strength
Figure 2 shows the 28-day compressive strength of plastic concrete with different percentages of replacement cement by bentonite and clay.
Figure 2.
Compressive strength of plastic concrete mixed with bentonite and clay.
When the mixed amount of bentonite increased from 30% to 60%, the corresponding compressive strength decreased by 61%, from 11.9 MPa to 4.6 Mpa, as Figure 2 shows. From Figure 2, it can be concluded that the compressive strength of plastic concrete with a fixed amount of bentonite decreased obviously with the increase in clay amount single bentonite plastic concrete shows a similar trend. What is interesting is that the compressive strength of bentonite plastic concrete and bentonite–clay is very close once the total amount of soil materials is fixed. Take 60% for example, the compressive strengths of bentonite plastic concrete and bentonite–clay are 4.6 Mpa and 4 Mpa.
As the mixing amount of soil materials increased, the compressive strength of plastic concrete decreased. The main reason was that the setting and hardening process divided into plastification and solidification due to bentonite acting as the plasticizer [31] which was evidently different from that of common concrete. Such clay mineral as bentonite has very strong water absorption ability and softening ability, further resulting in a decrease in compressive strength. What is more, with the increase in the amount of bentonite, its plasticity effect on the mechanical performance is more and more obvious. The high compressive strength of concrete specimens with high cement amounts stems from its solidification effect. That means the compressive strength of plastic concrete depends on who plays a leading role, solidification or plastification [31].
3.1.3. Elastic Modulus
Elastic modulus is a crucial mechanical parameter of plastic concrete which represents the relationship between the stress and the strain under the force-bearing condition. Due to its low elastic modulus, plastic concrete has been widely used as cut-off walls in dam projects. This is because the deformation modulus of rigid concrete is a hundred times bigger than that of plastic concrete which inevitably leads to cracks in walls and decreased anti-seepage ability. Given that, it is of great importance to investigate the elastic modulus of plastic concrete during the mixing proportion design process.
Figure 3 depicts the elastic modulus of plastic concrete mixed with different amount s of bentonite and clay. As Figure 3 shows, the elastic modulus of plastic concrete decreased with the increase in bentonite mixing content. However, the corresponding elastic modulus of B30 and B40 are 3230 Mpa and 3011 Mpa, a little more than the technical index of the experiment. When the mixing content of bentonite increased to 60%, the elastic modulus decreased to 2235 Mpa, by 31% compared with B30. This is mainly due to the plasticity of bentonite. As for the bentonite–clay plastic concrete system, a similar trend of elastic modulus was indicated because the transformation ability of plastic concrete was controlled by fine particles of bentonite and clay dispersing in the cement paste. Consequently, adjusting the mixing amount of soil materials can obtain the appropriate elastic modulus in practical engineering. What is more, the elastic modulus of plastic concrete with bentonite and clay meets the requirements for cut-off walls in dam projects, usually below 3000 Mpa.
Figure 3.
Elastic modulus of plastic concrete mixed with bentonite and clay.
3.1.4. Relative Permeability Coefficient
Relative permeability coefficients of plastic concrete mixed with bentonite show great differences from that of bentonite–clay plastic concrete, as Table 7 shows. The anti-permeability decreased with the increase in soil materials for both bentonite plastic concrete and bentonite–clay. However, the relative permeability coefficient of all specimens meets the requirement of design, less than 1 × 10−7 cm/s. Plastic concrete with less cement consumption and low density still has good anti-permeability mainly due to the following three reasons. Firstly, the layer structure of clay mineral compositions bears strong water absorption ability, and its volume will expand 30 times in a water-saturated state, making adjacent components squeeze each other. Secondly, fine particles of bentonite and clay fill most of the interspaces between cement particles and their hydration products, forming a volume filler effect and compact structure. Lastly, the newly generated hydration products, such as C-S-H and CnAHn, after incorporating bentonite and clay, acting as physical and chemical effects, compact the structure and improve its permeability resistance.
Table 7.
Relative permeability coefficient of different plastic concrete specimens (×10−8 cm/s).
In addition, it can be found that the relative permeability coefficient of bentonite–clay plastic concrete is larger than that of bentonite which indicates bentonite is superior to clay for the improvement of anti-permeability performance. This phenomenon is attributed to different mixing amounts of soil materials and variations in particle size distribution [24].
3.2. Leaching Behavior
3.2.1. pH Value
Under the applied voltage, the H+ and OH− ions move towards the cathode end and anode end, respectively, and start the hydrolysis process, releasing H2 gas and O2 gas, which explains the reasons why the cathode solution and anode solution become alkaline and acidic.
Figure 4 shows the variation in the pH value of the anode solution along with the increase in leaching duration. The results indicate the anode solution becomes more acidic and the falling range of pH during the second leaching week is smaller than that during the first one once the accelerating leaching test starts. The growth rate can be directly estimated through the slope of the fitting pH value–time curve. Take B30C20 for example, the slope of the first week and the second week is 0.1907 and 0.1018 with correlation coefficients 0.9975 and 0.9541, respectively. The concentration gradient of Ca2+ between the pore solution and surrounding de-ionized water drives the quick dissolution and decreases slowly, especially after the exchange of the leaching medium which accounts for the smaller descent rate during the second leaching week. The addition of bentonite together with clay into the mix will improve the leaching behavior of plastic concrete which can be concluded from the pH value of cathode solution versus leaching duration. The pH value of the cathode solution for three concrete groups with bentonite and clay is lower than that of concrete ones with only bentonite when the replacement amount of soil materials is the same. After exchanging deionized water, the difference in pH value of the cathode solution between different mixes diminishes.
Figure 4.
Relationship between pH value of anode solution and leaching duration. (a) first week (b) second week.
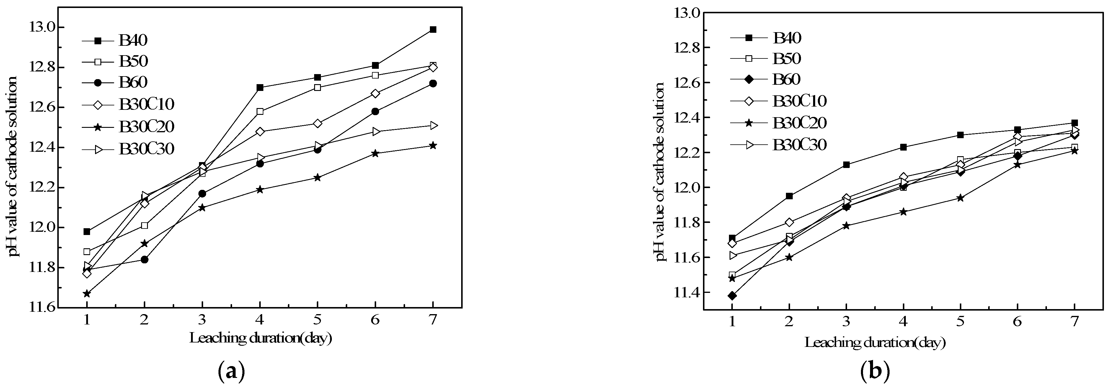
On the contrary, the cathode solution seems more and more alkaline along with the leaching duration, and the growth of the pH value in the cathode end becomes slower, as shown in Figure 5. The highest pH value of the cathode solution appeared at (12.99, first 7) of B40. For the same reason, take B40 for example, the slope of the pH leaching time curve during the first week and the second week is 0.1711 and 0.1039 with corresponding correlation coefficients of 0.97469 and 0.93822. The pH value of the cathode solution for plastic concrete with different mixes has similar trends found in the anode solution. The mutual effect between the pH value of both the anode solution and cathode solution exactly conforms to the electrolytic balance of water.
Figure 5.
Relationship between pH value of cathode solution and leaching duration. (a) first week (b) second week.
3.2.2. Calcium Ion Dissolution Concentration
Through the calcium ion selective electrode and reference electrode, the transformation equation can be expressed as the relation between solution potential X and calcium ion dissolution concentration Y, as Equation (1) shows.
Y = −22.86X − 165.71
According to the electrical migration principle under applied potential, no calcium ions were found in the anode electrode and thus just the calcium ion dissolution concentration of the cathode electrode was monitored. Figure 6 depicts the calcium oxide dissolution mass in the leaching solution during the test period.
Figure 6.
Calcium oxide dissolution mass leaching time curve. (a) First week (b) second week.
According to the calcium oxide dissolution mass data, great differences between the first week and second week are similar to the pH change trend. Take B40 for example. The CaO dissolution mass at the initial and final leaching test of the first week is 53 mg/L and 620 mg/L while the counterpart value is 56 mg/L and 339 mg/L. The sharp increase in Ca ions in the cathode solution in the first week is attributed to the direct calcium migration from the pore solution to the surrounding de-ionized water and then after renewing the leaching medium, more Ca ions are needed to maintain balance in the pore solution [11,12]. In that case, hydration products mainly include calcium hydroxide and C-S-H dissolved to provide extra calcium ions which leads to descending range of calcium oxide dissolution mass. The calcium oxide dissolution mass decreased with the increase in mixing amount of bentonite, and the same is true for the change trend of bentonite–clay plastic concrete with fixed bentonite and increasing clay. Incorporating bentonite together with clay can effectively improve the leaching resistance of plastic concrete and when the percentage of placement cement by soil materials is the same, the dissolved calcium oxide mass of B30C10 and B30C20 decreased by more than 30% (L7d: 33.3%, 39.3%; L14d: 33.3%, 35.6%).
In conclusion, there is a certain relationship between the pH, electrolytic rate, and calcium concentration. Calcium oxide dissolution mass and pH are the direct index of calcium leaching which can indirectly reflect the electrolytic rate of water.
3.2.3. Electrical Resistivity
The electrical resistivity of bulk concrete has a close relationship with its intrinsic properties, such as porosity distribution, ion penetration resistance, homogeneous state, cracks, and compaction rate. From Figure 7, we can conclude that the electrical resistivity of all specimens decreased within a small range, mainly due to the short-term leaching duration which proves indirectly calcium dissolution leads to a change in structures. The fine particles of soil materials incorporated into plastic concrete make their structure denser [32], with less porosity and good impermeability, so leached plastic concrete with different mixes after 14 days has little difference in the electrical resistivity. In addition, the addition of bentonite and clay into the mixes of plastic concrete makes them structural compactness and therefore their electrical resistivity is relatively close.
Figure 7.
Variation of electrical resistivity of plastic concrete with leaching duration.
3.2.4. Ultrasonic Transmit Time
The ultrasonic wave spreads quickly through dense structures of plastic concrete with a corresponding shorter ultrasonic transmit time. Internal micro-pores or cracks due to calcium dissolution inevitably extend the propagation path and increase the ultrasonic transmit time. Figure 8 shows the effect of leaching duration on ultrasonic transmit time through plastic concrete. The 14-day growth rate of ultrasonic transmit time is obviously larger than that of the 7-day value, which indicates that calcium leaching from the concrete matrix is a continuous and time-consuming process. The variation trend of ultrasonic transmit time is in accordance with that of the calcium oxide dissolution mass. Take B40 for example, the cumulative calcium oxide dissolution mass reached up to 2167 mg and the largest growth rate of ultrasonic transmit time increased by 30% after the total leaching test. The increscent ultrasonic transmit time clarifies the degradation caused by the electrochemical accelerating leaching process.
Figure 8.
Effect of leaching on ultrasonic transmit time through the plastic concrete.
The accumulative growth rate of ultrasonic transmit time is not linear after plastic concrete undergoes two weeks of electrochemical accelerating leaching test. The largest growth rate of ultrasonic transmit time during the first week and the second one appears at B30C30 and B40 groups, respectively. It can be concluded that the growth rate of the ultrasonic transmit time of the B30C10 group during the whole test period is far lower than that of the B40 group. The addition of bentonite and clay into the mixes of plastic concrete with a lower growth rate of ultrasonic transmit time can improve its leaching resistance which is in accordance with the results of calcium ion dissolution concentration in 3.2.2. Hence, the damage extent is influenced by mixing amounts and varieties of soil materials. Compared with the electrical resistivity, the ultrasonic transmit time of leached plastic concrete is more sensitive to estimate the calcium dissolution process in this paper.
3.3. Mechanism Discussion
Take B60, for example, a microstructure analysis was conducted, mainly including SEM and energy spectrum analysis of fragmental samples at different zones, to investigate the change in chemical composition and microstructure after a short-term EALM test. Sampling locations were set as the cathode side, middle position, and the anode side, named PC, PM, and PA correspondingly.
3.3.1. SEM
Figure 9 gives the SEM photos of B60 specimens at different zones. From SEM photographs of three typical zones, it can be concluded that PC, PM, and PA represent leached zone, transitional zone, and sound zone, respectively. At the PC zone, many micropores, and loose structures of cement stone with needlelike and dispersed C-S-H gels as well as calcium hydroxide crystals were observed, which means calcium dissolution leads to high porosity and further strength loss. As for the transition zone, the cement stone still has a dense structure, and calcium hydroxide crystals spread through connected C-S-H gels which are the result of short-term leaching. Integrated cement hydration products and the structure of cement stone can be seen clearly in the PA zone.
Figure 9.
SEM photos of B60 specimens at different zones. (a) PA (b) PM (c) PC.
3.3.2. Energy Spectrum Analysis
According to Figure 10 and Table 7, we can find that the relative content of calcium elements at different zones seems notably different. The result of the energy spectrum analysis chooses the calcium silicate mass fraction ratio as the evaluation index, given in Table 8. Before leaching, the initial relative content of calcium element approaches 2.26. The similar C/S ratio of the PM zone and PA zone is 1.12 and 1.04, respectively, which is far more than that of the PC zone. The relative content of calcium elements at the transitional zone and the sound zone is about 5 times that of the leached zone. The C/S ratio of the B60 group decreased to 1.57 after leaching for 14 days. So, the electrochemical accelerating leaching test gives rise to a decrease in the Ca/Si ratio by 30%.

Figure 10.
Energy spectrum diagram of B60 specimen at different zones after leaching. (a) PA (b) PC (c) PM.
Table 8.
Element content of leached B60 plastic concrete at different zones (wt.%).
4. Conclusions
The effect of mixing the amount of bentonite and clay on the workability and mechanical performance of plastic concrete was investigated. EALM was adopted to discuss the short-term leaching behavior of plastic concrete with a fixed water–binder ratio and sand ratio by judging several directly related parameters after the leaching test. In addition, this paper also used SEM and energy spectrum analysis to study the leaching mechanisms. The main conclusions are as follows.
- (1)
- Replacing cement with bentonite and clay can effectively improve the workability of plastic concrete and ensure its anti-permeability ability. With the increase in mixing amounts of soil materials, compressive strength, and elastic modulus decreased while the relative permeability coefficient increased evidently but still meets the requirement for test design.
- (2)
- After leaching for 14 days, the internal structure of plastic concrete changed clearly which can be reflected by the increase in pH of the cathode solution, calcium ions concentration, as well as ultrasonic fight-time, and the decrease in both the pH of the anode solution and electrical resistivity.
- (3)
- Three representative locations were investigated through SEM corresponding to leached zone, transitional zone, and sound zone. Different cement stone structures were seen from SEM photographs. The Ca/Si ratios of the transitional zone and the sound zone are similar, about five times that of the leached zone. The calcium element content of the cathode side decreases by 30% after the electrochemical accelerating leaching test.
- (4)
- Adding bentonite into plastic concrete can effectively improve leaching resistance, especially for the 30% bentonite–10% clay plastic concrete systems, and its mechanical properties meet the requirements for cut-off walls in dam projects.
Author Contributions
L.Z.: Writing—original draft, conceptualization, methodology, data curation, funding acquisition. C.M.: Writing—review and editing, methodology, project administration. Z.Z.: Writing—review and editing, supervision, validation. S.S.: Conceptualization, methodology, data curation, formal analysis. X.L.: Conceptualization, validation. J.L.: Writing—review and editing. All authors have read and agreed to the published version of the manuscript.
Funding
Thanks to the support of the NSF of Xinjiang Province (2020D01C057) , the Uramqi Outstanding Young Doctor Talent Program (Grant No. 2020Q071) and the Doctoral Foundation of Xinjiang University (Grant No. 2020BS06).
Data Availability Statement
All necessary data are provided in the article.
Conflicts of Interest
The authors declare no conflict of interest.
References
- Wang, S.; Xiao, Y.; Xu, Y.; Zhu, P.; Liu, H. Acceleration Effect of Chemical Solution Immersion on Calcium Leaching of Cement-Based Material. J. Chin. Ceram. Soc. 2022, 50, 403–412. [Google Scholar]
- Neville, A.M. Properties of Concrete; McMillan Press: London, UK, 1995. [Google Scholar]
- Soroush, F.; Reza, Z.M.; Mahdi, M. Comparative study on uniaxial and triaxial strength of plastic concrete containing nano silica. Constr. Build. Mater. 2020, 244, 118212. [Google Scholar]
- He, K.; Ye, C.; Deng, Y.; Zhou, J.; Liao, B.; Gong, R.; Bi, Y.; Ji, W. Study on the microscale structure and anti-seepage properties of plastic concrete for cut-off walls modified with silica fume: Experiment and modelling. Constr. Build. Mater. 2020, 261, 120489. [Google Scholar] [CrossRef]
- Wang, S.; Wang, W.; Liu, H. Deformation behaviour and failure criteria of plastic concretes under compression stresses. Mag. Concr. Res. 2021, 71, 627–635. [Google Scholar] [CrossRef]
- David, A.S.; Engin, K.; Frank, D. Plastic concrete for cut-off walls: A review. Constr. Build. Mater. 2020, 255, 119248. [Google Scholar]
- Bagheri, A.R.; Alibabaie, M.; Babaie, M. Reduction in the permeability of plastic concrete for cutoff walls through utilization of silica fume. Constr. Build. Mater. 2008, 22, 1247–1252. [Google Scholar] [CrossRef]
- Mahboubi, A.; Ajorloo, A. Experimental study of the mechanical behavior of plastic concrete in triaxial compression. Cem. Concr. Res. 2005, 35, 412–419. [Google Scholar] [CrossRef]
- Sun, W.G.; Fan, J.H. The application of plastic concrete impervious core in the dam located in the seismic area. Int. J. Hydroelectr. Energy 2000, 18, 28–30. [Google Scholar]
- Hu, Y.M. Study on the Properties of Plastic Concrete; Wuhan University of Technology: Wuhan, China, 2005. [Google Scholar]
- Ryu, J.S.; Otsuki, N.; Minagawa, H. Long-term forecast of Ca leaching from mortar and associated degeneration. Cem. Concr. Res. 2002, 32, 1539–1544. [Google Scholar] [CrossRef]
- Saito, H.; Deguchi, A. Leaching tests on different mortars using accelerated electrochemical method. Cem. Concr. Res. 2000, 30, 1815–1825. [Google Scholar] [CrossRef]
- Sugiyama, T.; Promentilla, M.A.B.; Hitomi, T.; Takeda, N. Application of synchrotron micro tomography for pore structure characterization of deteriorated cementitous materials due to leaching. Cem. Concr. Res. 2010, 40, 1265–1270. [Google Scholar] [CrossRef]
- Rougelot, T.; Burlion, N.; Bernard, D.; Skoczylas, F. About micro cracking due to leaching in cementitious composites: X-ray micro tomography description and numerical approach. Cem. Concr. Res. 2010, 40, 271–283. [Google Scholar] [CrossRef]
- Burlion, N.; Bernard, D.; Chen, D. X-ray micro tomography: Application to microstructure analysis of a cementitious material during leaching process. Cem. Concr. Res. 2006, 36, 346–357. [Google Scholar] [CrossRef]
- Haga, K.; Sutou, S.; Hironaga, M.; Tanaka, S.; Nagasaki, S. Effect of porosity on leaching of Ca from hardened ordinary Portland cement paste. Cem. Concr. Res. 2005, 35, 1764–1775. [Google Scholar] [CrossRef]
- Haga, K.; Shibata, M.; Hironaga, M.; Tanaka, S.; Nagasaki, S. Change in pore structure and composition of hardened cement paste during the process of dissolution. Cem. Concr. Res. 2005, 35, 943–950. [Google Scholar] [CrossRef]
- Liu, X.; Feng, P.; Yu, X.H.; Huang, J.L. Decalcification of calcium silicate hydrate(C-S-H) under aggressive solution attack. Constr. Build. Mater. 2022, 342, 127988. [Google Scholar] [CrossRef]
- Lagerblad, B. Leaching Performance of Concrete Based on Studies of Samples from Old Concrete Structures, Technical Report TR-01-27; Swedish Cement and Concrete Institute: Stockholm, Sweden, 2001. [Google Scholar]
- van Eijk, R.J.; Brouwers, H.J.H. Study of the relation between hydrated Portland cement composition and leaching resistance. Cem. Concr. Res. 1998, 28, 815–828. [Google Scholar] [CrossRef]
- Zou, D.J.; Zhang, M.; Qin, S.S.; Liu, T.J.; Tong, W.H.; Zhou, A.; Jivkov, A. Calcium leaching from cement hydrates exposed to sodium sulfate solutions. Constr. Build. Mater. 2022, 351, 128975. [Google Scholar] [CrossRef]
- Zhang, L. Research on the Electrochemical Approach to Accelerate the Dissolution of Concrete; Master of Engineering, Hohai University: Nanjing, China, 2007. [Google Scholar]
- Li, X.-N.; Zuo, X.-B.; Zou, Y.-X. Modeling and simulation on coupled chlrode and calcium diffusion in concrete. Constr. Build. Mater. 2021, 271, 121557. [Google Scholar] [CrossRef]
- Wang, H.; Guo, C.; Zou, D.; Sun, X. Modeling of calcium leaching of concrete subjected to aggressive water. Adv. Sci. Technol. Water Resour. 2018, 38, 26–31. [Google Scholar]
- Carde, C.; Francois, R. Effect of the leaching of calcium hydroxide from cement paste on mechanical and physical properties, Cem. Concr. Res. 1997, 27, 539–550. [Google Scholar] [CrossRef]
- Wan, K.S.; Li, Y.; Sun, W. Experimental and modeling research of the accelerated calcium leaching of cement paste in ammonium nitrate. Constr. Build. Mater. 2013, 40, 832–846. [Google Scholar] [CrossRef]
- Wang, S.; Xu, Y.; Zhu, P.; Liu, H.; Lyu, Q. Experimental study on splitting tensile strength of concrete layer interface under dissolution effects. Adv. Sci. Technol. Water Resour. 2022, 42, 27–32. [Google Scholar]
- SL/T 352-2020; Chinese Test Code for Hydraulic Concrete. Ministry of Water Resources of the People’s Republic of China: Beijing, China, 2020.
- DL/T 5199-2019; Chinese Specification of Concrete Cut-Off Wall Used for Hydropower and Water Conservancy Project. National Energy Administration: Beijing, China, 2019.
- Zhou, L.N.; Wang, Z.; Lu, S. Damage evolution of concrete by electrical resistivity monitoring method after a leaching period coupled with freeze-thaw cycles. Rom. J. Mater. 2015, 45, 424–427. [Google Scholar]
- Zhu, G.M. Experimental Study on Plastic Concrete as Cutoff Wall Construction of the Second Stage Cofferdam of Three Gorges Project. Yangtze River 1998, 29, 14–15. [Google Scholar]
- Zhao, Z.; Ma, Y. Mix design and application of plastic concrete. J. Heilongjiang Hydraul. Eng. 2009, 36, 53–56. [Google Scholar]
Disclaimer/Publisher’s Note: The statements, opinions and data contained in all publications are solely those of the individual author(s) and contributor(s) and not of MDPI and/or the editor(s). MDPI and/or the editor(s) disclaim responsibility for any injury to people or property resulting from any ideas, methods, instructions or products referred to in the content. |
© 2023 by the authors. Licensee MDPI, Basel, Switzerland. This article is an open access article distributed under the terms and conditions of the Creative Commons Attribution (CC BY) license (https://creativecommons.org/licenses/by/4.0/).










