Abstract
Green buildings (GBs) can effectively reduce building energy consumption and alleviate energy problems. However, as green building projects swell, the development process of GBs in China has gradually exposed many problems, among which the greenwashing behavior of construction enterprises is the more serious. The government needs to adopt some appropriate policies to prevent problems in GBs. This paper uses the evolutionary game theory to construct models and proposes four policy combinations: static reward and static punishment, static reward and dynamic punishment, dynamic reward and static punishment, dynamic reward and dynamic punishment. We compare the impact of four combinations on construction strategy and analyze the inner mechanisms of the behavior evolution of government departments and construction enterprises. Our results revealed no evolutionary stabilization strategy in the game system under the static reward and punishment policy. Under the combination of dynamic subsidies and static penalty policy, the green construction effect of construction enterprises is the best. Furthermore, dynamic reward policy has a more obvious restraining effect on construction enterprises. The government should dynamically adjust rewards and punishments according to the construction quality and determine the appropriate upper limit of rewards and punishments to improve the policies’ applicability and effectiveness. This study provides theoretical support for the healthy development of green buildings.
1. Introduction
Green buildings (GBs) can reduce or eliminate adverse impacts during design, construction, or operation and positively affect climate and the natural environment [1]. It can mitigate phenomena such as global warming and climate change and also improve occupants’ quality of life and provide economic benefits [2]. Thus, many counties have implanted GBs and enacted relevant laws [3,4], such as the Comprehensive Assessment System for Built Environment Efficiency (CASBEE) (Japan), the U.S. Leadership in Energy and Environmental Design (LEED), the UK’s Building Research Establishment Environmental Assessment Method (BREEAM) [5,6], and the GB Evaluation Standard (GB/T50378-2019) [7]. GBs in this study are based on the GB Evaluation Standard because its index framework and evaluation method are more suitable for GBs in China. The standard comprehensively evaluates the life cycle of the building system in China.
However, some problems have been exposed in the development of GBs in China, such as high-cost premiums, unequal distribution of benefits [8], irrational development of the construction industry [9], greenwashing behavior [10], and generated waste at the different stages of construction [11], etc. Among these, the “greenwashing behavior” of construction enterprises (NBD, 2021. A-share environmental risk list|360 companies on the list in the first half of the year, which is the highest risk, and who is deliberately “greenwashing”? http://www.nbd.com.cn/articles/2021-07-31/1859595.html accessed on 31 July 2021) is the most common and severe [12]. Greenwashing refers to the behavior of an enterprise that advertises that its products, services and business activities meet the green standards but, in fact, does not live up to the name [10]. Therefore, this paper describes greenwashing behavior as an enterprise’s deceptive “green construction” and non-green construction management made to pursue short-term interests. This conduct is fundamentally an opportunistic behavior of engineering management. For example, enterprises may claim to achieve GBs but do not take action because of their own interests [13]. In order to pursue short-term benefits by earning government subsidies, the construction project that calls “GB” did not implement the green construction scheme. This behavior led to the project failing to meet the GBs design standards and questioning government resource utilization efficiency [14]. GBs may not be truly “green,” which hinders the sustainable development of GBs in China.
The government has formulated a series of policies and increased the supervision to regulate green construction behavior (The Central People’s Government of the People’s Republic of China, 2012. Opinions on the implementation of accelerating the development of green buildings in China. www.gov.cn/zwgk/2012-05/07/content_2131502.htm accessed on 7 May 2012; Department of Housing and Urban-Rural Development of Shanxi Province, 2018. Supplementary Notice on the Implementation of Green Construction to Accelerate the Construction of Transformation Projects. https://zjt.shanxi.gov.cn/zwgk/tfwj/202109/t20210907_1959322.shtml accessed on 19 September 2019). But green construction is different from general construction projects; the characteristics of high R&D costs, large initial investments, and low short-term profits make enterprises often reluctant to invest in GBs [15], and it is easy to have moral hazard problems in the construction process. New technologies, materials, and construction methods are involved, which creates a serious information asymmetry between enterprises and government. The government needs to adjust the original supervision methods, and the difficulty of supervision increases. The rapid development of GBs has made the government’s regulatory forces (such as the scale and funding of departments at all levels) inadequate. Secondly, the particularity of GBs lies in requiring supervision of the whole process [16] (such as design, planning, construction, operation, transformation, demolition, etc.). The sharp rise in regulatory costs has also increased the difficulty of supervision to a certain extent. Under this circumstance, to ensure the standardization and effectiveness of GBs, the government needs to formulate reasonable reward and punishment policies, which is particularly important for regulating green construction behavior.
Therefore, to explore the influence of policies on the GBs’ behavior, this study constructs an evolutionary game model of construction enterprises and government departments. Aiming to analyze whether a dynamic incentive mechanism is more effective than a static one, we consider four combinations: static reward and static punishment, static reward and dynamic punishment, dynamic reward and static punishment, and dynamic reward and dynamic punishment. This study needs to answer the following questions: Can the combination of dynamic rewards and punishments better motivate enterprises’ green construction than static rewards and punishments? What combination of policies achieves overall optimality? By exploring the evolution process of the game, we can interpret the reasons for the behavioral tendencies of different subjects, analyze the internal mechanisms of evolution, and explore the effects of different policy combinations. The findings provide theoretical and decision-making support for the healthy development of GBs. The research flow of this paper is shown in Figure 1 below.
Figure 1.
Research flow.
The chapters of this paper are structured as follows: Section 2, we provide a review and discuss the related literature to this study. Section 3 describes the model and hypothesis. Section 4 establishes the four policy combinations and analyzes evolutionary stabilization. Section 5 presents numerical simulations to explore the impact of different combinations on game subjects. Finally, Section 6 summarizes the main findings and provides managerial implications of this study.
2. Related Literature
2.1. Research on Evolutionary Game Application
The evolutionary game derives from the theory of biological evolution; since the evolutionary stabilization strategy was proposed [17], it has received widespread attention in construction engineering [18,19,20]. Wang et al. [21] established an evolutionary game model to analyze the effect of policy on real estate enterprises. They found that combining incentives and penalties was an effective way to create a sustainable real estate industry. Aiming to interpret diverse subjects’ strategies and evolutionary behaviors, Jiang et al. [22] explore the construction safety supervisory mechanism in China from an evolutionary game view.
With the development of green concepts, many scholars use evolutionary games to study green building projects. Chen et al. [23] analyzed the effect of government policies on green building innovations through evolutionary game models and the results show that policy is the main factor affecting green procurement. Based on the evolution strategies of the construction enterprises under government supervision, Gao et al. [24] applied evolutionary game theory to analyze the path of government static and dynamic subsidies. To promote public acceptance of GBs, Jiang et al. [25] created a decision support model using evolutionary game theory to identify the optimal subsidy strategy and related factors.
2.2. Government Policies on Green Buildings
Academics have researched how governments develop strategies to regulate GBs’ construction behavior [26,27,28,29,30]. Olubunmi et al. believe that GBs construction incentives can be divided into two categories: external incentives and internal incentive mechanisms. The external incentive mechanism mainly comes from the government’s compulsory promotion, and the internal motivation comes from the beneficiary’s income from GBs [31]. Cohen et al. used the prisoner’s dilemma model to explain the barriers to energy conservation and emission reduction in the construction industry in Israel and demonstrated that government subsidies could help remove these barriers [32]. Liu and Li [33] reviewed the implementation of China’s GBs incentive policy, indicating that China still needs to study establishing an incentive mechanism system further and evaluate the incentive effect. GBs construction enterprises in China are more sensitive to financial incentives than non-financial ones [34]. Monetary incentives and green construction technologies significantly impact the development of GBs [35]. Li et al. [36] constructed an evolutionary game model to analyze the impact of subsidy policies on construction units and believe that the government should reasonably adjust the subsidy amount, improve the penalty mechanism, and strengthen publicity to encourage construction units to apply actively. Kong and He [37] analyzed China-related GBs and divided these policies into supply-side and demand-side, arguing that supply-side policy incentives are much better than demand-side. Chen and Hong [38] studied the optimal subsidy problem in the green building market from the perspective of policy benefit. The research results show that the government’s subsidy policy is not only affected by the government’s subjective initiative but also by the construction cost and the preference of construction units for GBs. Song et al. [39] show that both mandatory regulations and incentive-based policies can help increase the adoption of GBs, with the former having a greater impact than the former.
In summary, the existing literature increasingly considers the factors of construction enterprises in the study of government policy formulation. However, there are still areas for improvement in the practice of GBs construction supervision, mainly manifested in two aspects: (1) Most of them assume that the policy strength is fixed, that is, the static reward and punishment mechanism. In the practice of GBs construction supervision, government regulatory authorities have greater discretion, and often dynamically adjust the intensity of rewards and punishments according to the construction quality of construction enterprises (i.e., dynamic reward and punishment mechanism). In construction safety [22], electric vehicle production [40], public health services [41], Platform E-commerce credit supervision [42], etc., DRPM has been proven to be practical and effective. (2) Existing studies still need to consider the bounded rationality of governments and construction enterprises fully. However, in the process of GBs, the government and enterprises are affected by various factors. Such as information asymmetry [43], social roles, cognition, economic interests, etc., which make the government and enterprises show limited rational behavior in construction [44,45], affecting the performance of green construction behavior and the choice of government regulatory departments.
3. Model Description and Hypothesis
3.1. Analysis of the Game Relationship between Government and Construction Enterprises
Although many factors prevent GBs from achieving the expected design standards, the passive behavior of government regulators and the non-green behavior of construction enterprises are undoubtedly the most critical factors. The construction quality and the government supervision during the construction phase directly affect the delivery of GB products. Government departments need to give necessary incentives and supervision to construction enterprises. Currently, China’s incentives for GBs include financial subsidies, tax exemptions, and preferential use of land, and the punishment policy is mainly that the government fines construction enterprises to reduce moral risks [46]. In this paper, without considering external factors, whether GBs will be constructed according to standards can be regarded as the result of the game between construction companies and the government. Given this, this paper selects them as game subjects. Based on four policy combinations, the system evolution stabilization strategy is discussed.
3.2. Model Description and Hypothesis
- (1)
- This paper supposed that the game system contains two subjects: construction enterprises and government regulators, which play the roles of implementer and regulator. Both are finite and rational in the construction process and can continuously learn to achieve increased income. The final equilibrium is finding the optimal decision through continuous game and learning.There are only two strategic options for both sides of the game.
- (2)
- Construction enterprise: Based on the reality of GBs’ construction in China, the strategic choices of enterprises are abstracted into “green construction” and “non-green construction.” The “green construction” strategy means that the enterprise can strictly follow the GBs’ design standards, including using environmentally friendly construction materials, continuous improvement of construction technologies, etc., to ensure that the final GBs meet the design requirements. The “non-green construction” strategy refers to the moral risk behavior that enterprises’ constructions do not meet the design requirements, resulting in a waste of energy and resources [47]. The “non-green construction” behavior will eventually harm the vital interests of the government and the public and cause environmental pollution to reduce social benefits.
- (3)
- Government: As the subject of market regulation and the defender of public interest, government chooses the strategy of “positive supervision” and “passive supervision” in the abstract. With adequate information and analysis, government departments usually make decisions based on their experience and existing conditions. The “active supervision” strategy refers to the active performance of supervisory duties, adopting regular daily supervision and occasional non-daily supervision to focus on the construction process. Accordingly, the government regulator must bear the cost of supervision. Assuming an “active supervision” strategy, the government can decide to punish or reward construction companies as appropriate. However, in the actual supervision work, the government needs to invest a certain amount of human, material, and financial resources in supervising. In addition to being responsible for the supervision of GBs, it also shoulders many other tasks; Out of consideration of cost and benefit and based on the analysis of the construction information of existing construction enterprises, the government decides whether to actively supervise the construction enterprises.
- (4)
- The probability of the behavior strategy of both sides of the game.In the game process between the government and the construction companies, assuming the probability of active supervision is . Thus, passive supervision is , the likelihood of construction companies complying with the law is , and non-green construction is .
- (5)
- Cost-Benefit parameter assumptions and interpretation.The following parameter settings and instructions are given to construct the game’s payment matrix further. Assuming that the cost that construction enterprises need to pay when choosing green construction is , such as the adoption of new technologies, new materials, and training fees for construction personnel, etc., and the construction enterprise chooses non-green construction, the cost to be paid is , obviously ; Similarly, when the government regulatory department is actively supervised, the cost of supervision is , and the price paid when passive supervision is , obviously ; When the government actively supervises, it will carry out corresponding subsidies or penalties according to the green construction quality, and give subsidies to the construction enterprise; otherwise, a fine will be imposed, and the fine shall be owned by the government; The good green construction situation of the construction unit will be included in the integrity assessment system, and linked to the award evaluation, accumulating advantages for future undertaking projects, the potential future income is , and the government department will obtain additional income due to “free riding” behavior. In addition, when the construction enterprise adopts non-green construction behavior, the government’s credibility loss is caused by passive supervision by the government department .
4. Model Building and Analysis
4.1. Static Reward and Static Punishment
To further construct the game payment matrix, the following parameter settings and descriptions are given in Table 1.
Table 1.
Parameter symbols and their meanings.
The assumptions and definitions based on the above, the game payment matrix of construction companies and government department, are obtained as shown in Table 2.
Table 2.
The game payment matrix of government and construction enterprises under static reward and static punishment.
4.1.1. Evolutionary Stabilization Analysis of Static Reward and Punishment Model
According to evolutionary game theory and the game payment matrix, the expected return and replication dynamic equations under the two strategies of construction enterprises and governments are expressed:
The expected benefit of government opting for active supervision is:
The expected benefit of government opting for passive supervision is:
According to evolutionary game theory, the replication dynamics equation is a system dynamics differential equation that describes the frequency or frequency of a particular strategy employed in a population [48], so the dynamic replication equation chosen by the government to actively regulate is:
Similar to this, the replication dynamic equation of GBs for companies can be obtained:
It is necessary to find the stable state of the replication dynamics and then discuss the influence of small perturbations on the stable state [49]. According to the replication dynamic Equations (3) and (4), let , and discuss the evolutionary stabilization strategy of the system.
Evolutionary Stabilization Analysis of Government Strategies
Considering the evolutionary stabilization of government regulatory strategies, the derivative of Equation (3) is:
When , is constant, and all are government stabilization strategies; when , let , then and are in equilibrium. According to the stability theorem of differential equations, and is an evolutionary stabilization strategy. Different scenarios of need to be analyzed:
- (1)
- When , is constant, and the evolutionarily stable strategy (ESS) is .
- (2)
- When , there are two cases:
- (a)
- When , , and the ESS is .
- (b)
- When , , The government’s stabilization strategy depends on the size of . When , there is , and is the ESS. When , there is , and is the ESS.
Evolutionary Stabilization Analysis of Construction Enterprise Strategies
Similarly, consider the evolutionary stability of the strategy of construction enterprises. For Equation (4), there is:
When , is constant, and all are enterprises’ stabilization strategies; when , let , then and are in equilibrium. According to the stability theorem of differential equations, and is an evolutionary stabilization strategy. Different scenarios need to be analyzed:
- (1)
- When , is constant, and the evolutionary stabilization strategy is .
- (2)
- When , there are two cases:
- (a)
- When , , and the evolutionary stabilization strategy is .
- (b)
- When , , The government’s stabilization strategy depends on the size of . When , and is the evolutionary stabilization strategy. When , and is the evolutionary stabilization strategy.
Evolutionary Stabilization Analysis of Hybrid Strategies between Government and Construction Enterprises
The above analysis shows that under different initial conditions, the government and construction enterprises have different ESSs. However, in reality, when the additional benefits obtained while enterprises choose the “non-green“ strategy are far greater than the total rewards and penalties, regardless of whether the government actively supervises, the construction enterprises will choose the “non-green” strategy. Suppose the government’s reward and punishment mechanism is effective. In that case, it is necessary to ensure that when the government actively supervises, green construction benefits are greater than non-green. The government’s punishment should be greater than the price paid by environmental governance, which is and . Therefore, this study focuses on the stability under these two constraints.
From Equations (3) and (4), if and only if , hold, the system contains five equilibrium points , , , , , where , . According to Friedman [50], using the Jacobian matrix analyzes the stabilization of each equilibrium point, if and trace in the matrix, it indicates that the equilibrium point is an ESS.
According to Equations (3) and (4), the Jacobian matrix of the system is as follows:
Therefore,
The expression of the determinant and trace of each equilibrium point is shown in Table 3.
Table 3.
An expression of the determinant and trace of each equilibrium point.
When and , the local stabilization of the system is show in Table 4.
Table 4.
Stability analysis results for fixed equilibrium points.
Now discuss the stability at (), the corresponding Jacobi matrix is given by:
From the model solution, the characteristic root corresponding to the point () is , and
The system is not asymptotically stable. Construction firms’ and government regulators’ strategy is a closed-loop curve around the point (), which is infinitely near to that point but not automatically stable at that point, i.e., () is not an ESS for the system.
Proposition 1.
The replica dynamic equations are not asymptotically stable at any of the five local equilibrium points, and the system does not have an ESS.
Proposition 2.
During the game stage, there is no ESS, but a circular pattern is formed. The combination of static reward and static punishment policy has not achieved the effect of enhancing the motivation for green construction and reducing moral risks.
In the case of , , the dynamic evolution of the game system is shown in Figure 2. There is no ESS in an evolutionary game between the government and construction enterprises, but it shows a cyclical characteristic. When the initial strategy choice of two sides of the game falls in region I, the final strategy choice of the government and construction enterprises will tend to be (positive supervision, non-green construction). When the original strategy choice of both main bodies falls in region II, the final strategy choice of government regulators and enterprises will tend to be (passive supervision, non-green construction). When the initial strategy choice falls in region III, the final strategy choice will tend to be (passive supervision, green construction); when the original strategy choice falls in region IV, the final strategy choice will be (positive supervision, green construction).
Figure 2.
Evolution phase diagram of game system. (F2.I: When the initial state falls in region I, the stabilization strategy of the evolutionary game is (positive supervision, non-green construction); F2. II: When the initial state falls in region II, the stabilization strategy of the evolutionary game is (passive supervision, non-green construction); F2. III: When the initial state falls in region III, the stabilization strategy of the evolutionary game is (passive supervision, green construction); F2. IV When the initial state falls in region IV, the stabilization strategy of the evolutionary game is (positive supervision, green construction)).
Since the government and construction enterprises pursue their own interests, which leads to a vicious circle between the two strategies and cannot achieve evolutionary stability, there is no ESS in the policy of static reward and static punishment. Thus, this paper proposes a study on dynamic policy combinations.
4.2. Dynamic Reward and Static Punishment
It is assumed that the government’s reward to construction enterprises is proportional to their “green construction” behavior, i.e., the reward from a fixed constant to , where the reward is capped at and the punishment is still . Then the game system is as shown in Table 5:
Table 5.
The game payment matrix under dynamic reward and static punishment.
The dynamic replication equations can be obtained:
Proposition 3.
The equilibrium points that exist for replicating the system of dynamic equations are as follows:
- 1.
- The system with four fixed equilibrium points always, namely
- 2.
- , there is an equilibrium point (),, .
Proposition 4.
The system of replicated dynamic equations has asymptotic stability at () and exists a stabilization strategy.
Proof.
When , , we can obtain the stability analysis results for each equilibrium point, as shown in Table 6. □
Table 6.
Stability analysis of equilibrium points under dynamic reward and static punishment mechanism.
Now consider the stability at (), the corresponding Jacobi matrix is given by:
where , , .
According to the stability theory of differential equations, () is the center point of stability. Therefore, the system has asymptotic stability under the policy combination of dynamic reward and static punishment, and () is the ESS of the system.
It is not easy to envision the evolutionary curve as a spiral, which tends toward equilibrium (). Proposition 4 proves the existence of an ESS for the system with a dynamic reward and static punishment policy. The government actively regulates with probability , and the construction companies embrace GBs with probability .
Proposition 5.
The probability of active supervision and green construction is related to costs, benefits, rewards and punishments as follows:
- (1)
- (2)
- ,,,.
Proposition 5 illustrates that:
- (i)
- Active supervision’s probability is positively correlated with the cost of green construction . When the cost of GBs is higher, construction enterprises will likely have a fluke mentality and believe the government will not detect non-compliance. Based on which government authorities will generally strengthen supervision. Active supervision’s probability is inversely correlated with the cost of non-green construction. When non-green construction cost is higher, governmental thinks that construction enterprises will choose green construction and loosen supervision.
- (ii)
- As the cost of active supervision increases, the cost of human and financial resources will also rise accordingly. This phenomenon will put pressure on the government departments, so the probability of active supervision will decrease, and the probability of GBs will also reduce. On the contrary, with the increase in the cost of passive regulation by governmental departments, the government is more willing to take the initiative to effectively regulate and improve the green construction enthusiasm of construction enterprises.
- (iii)
- The higher the fine is, the greater the expense construction enterprises pay for non-green construction and the higher the subjective consciousness of conducting green construction behaviors. The higher the governmental supervision will raise the fine to prevent construction enterprises from unethical risk behaviors.
- (iv)
- The higher the reward means more of the financial burden, the lower the probability of active supervision. Nevertheless, construction enterprises think the government may loosen regulations after giving higher subsidies. Enterprises may adopt non-green construction, leading to a lower probability of their green construction.
- (v)
- In addition, regulatory motivation is negatively correlated with the potential future benefits of green construction. The government believes that the higher the foreseeable benefits of construction enterprises, the more they will choose green construction, leading to decreased regulatory motivation.
4.3. Static Reward and Dynamic Punishment
Supposing that the punishment strength is proportional to the non-green construction behavior, i.e., the punishment strength changes from a fixed constant to , where the punishment is capped at , and the reward level remains . Similarly, Propositions 6–8 can be drawn.
Proposition 6.
The equilibrium points that exist for replicating the system of dynamic equations are as follows:
- 1.
- The system with four fixed equilibrium points always, namely
- 2.
- , there is another equilibrium point (), where,.
Proposition 7.
The system of replicated dynamic equations exists asymptotic stability at () and an ESS. (The proof process is shown in Appendix A.1.)
Proposition 8.
The probability of active supervision and corporates’ green construction are related to costs, benefits, subsidies and fines as follows:
- (1)
- .
- (2)
- .
Proposition 8 is similar to Proposition 5. It is worth paying attention to the higher fine , the enterprise that fails to meet the green standard will face a high expense, which means that the government’s regulatory behavior may face close attention from all walks of life, so the probability of active supervision will increase, and the probability of green construction will also increase with the increase in fines.
4.4. Dynamic Reward and Dynamic Punishment
It is assumed that the government’s policy formulation is related to the choices of construction enterprises, i.e., the subsidies are related to the green construction choice, and the punishments are associated with non-green construction behavior. Suppose the reward is and the punishment is , where is the maximum of the penalty and is the maximum of the reward. Propositions 9–11 can be obtained similarly.
Proposition 9.
The equilibrium points that exist for replicating the system of dynamic equations are as follows:
- 1.
- The system always has four fixed equilibrium points, namely
- 2.
- When,, there is another equilibrium point (), where.
Proposition 10.
The system of replicated dynamic equations has asymptotic stability at () and the system has an ESS. (The proof process is shown in Appendix A.2.)
The system has asymptotic stability under the dynamic reward and dynamic punishment mechanisms, and () is the ESS. The evolutionary trajectory is a spiral curve tending to the equilibrium point (). There is an ESS under the dynamic reward and dynamic punishment policy, the active supervision’s probability is and the probability of construction companies choosing green construction is .
Proposition 11.
The active supervision’s probability and corporates’ green construction is related to costs, benefits, subsidies and fines as follows:
- (1)
- (2)
- .
Proposition 11 analysis is similar to Proposition 5 and 8.
5. Results
5.1. Simulation Analysis
To more intuitively describe the impact of the behaviors of two game subjects on each other and compare the differences in the evolutionary stability under four policy combinations, this chapter uses Matlab software and validates specific numerical examples to verify the established model and the conclusions obtained. To more clearly display the superiority of the dynamic incentive model compared with the static one, we study the effects of evolving choices under a change of parameters.
Under the premise of meeting the model requirements, combined with the specific reality of the GB construction stage, the relevant initial parameters were assigned. Considering that GBs projects are different from traditional engineering projects, construction projects have novelty, high complexity, and long-term goals, and the understanding of government and construction enterprises is gradually increasing. This paper draws on the study of Meng et al. [51] and Liang et.al. [52]. The number of games is expressed in time to observe parameter changes that influence the evolutionary results. The initial assignment of each parameter is shown in Table 7.
Table 7.
The initial value of the game model.
In this part, the evolution path diagrams will be compared. The evolutionary path diagrams of government regulators and construction enterprises under four policy combinations are shown in Figure 3a–d.

Figure 3.
(a) Evolutionary path diagram under static reward and punishment (When the time is from 0 to 100, the evolution trajectory of the evolutionary game). (b) Evolutionary path diagram under dynamic reward and punishment. (c) Evolutionary path diagram under dynamic reward and static punishment. (d) Evolutionary path diagram under static reward and dynamic punishment. (e) Evolutionary path diagram under three policies.
5.2. Discussion
As can be seen from Figure 3a, when , , the evolutionary process moves in a closed-loop, wave-like motion. Both sides’ evolutionary trajectories swing endlessly about this point and cannot establish equilibrium. This figure indicates that under static incentives, the government and construction companies exhibit a cyclical behavior pattern and no ESS. For the reason that the strategy choice impacts both parties’ benefits, the finite rational government and construction enterprises will adjust their strategies according to the changes, leading to an infinite cycle of both parties’ choices. This condition is consistent with the realistic situation that the government’s incentive policies are challenging to achieve long-lasting effects in the current GBs construction process.
Second, after verifying that the system cannot reach evolutionary stability under the static reward and punishment mechanism, the evolutionary stability results are investigated based on the dynamic incentive mechanisms. When the government adopts three dynamic policy combinations, the evolutionary path diagrams are shown in Figure 3b–d. From the above three diagrams, it can be seen that with the three dynamic reward and punishment policy combinations, the evolutionary trajectories converge in a spiral around their respective equilibrium points and finally reach a stable state. These figures show that the method of dynamic incentives is reasonable and practical. The market situation largely influences policies’ formulation and implementation, and since it is complex and changeable in reality. Applicability and timeliness will be the first choices for the government. For this reason, three dynamic policy combinations are more in line with objective reality than a static policy combination.
Finally, the effects of the three dynamic incentive policies are compared to judge which policy combination works best. By comparing the locations of the equilibrium points in Figure 3e, when dynamic reward and dynamic punishment mechanisms are adopted, the probability of active supervision is slightly higher than for the other two policy combinations. When dynamic reward and static punishment mechanisms are adopted, construction enterprises are willing to choose green construction. When a static reward and dynamic punishment mechanism is adopted, the probability of active supervision and green construction is lower than the other two policies. These findings show that the government can get better results by adopting dynamic reward policies. Since the fundamental purpose of government regulation is to ensure green construction, it is more important to improve the green construction enthusiasm of construction enterprises. Therefore, through comprehensive comparison, it is concluded that the dynamic reward and static punishment policy combination is the most effective in terms of green construction behavior, followed by the dynamic reward and punishment policy combination, and finally, static reward and dynamic punishment.
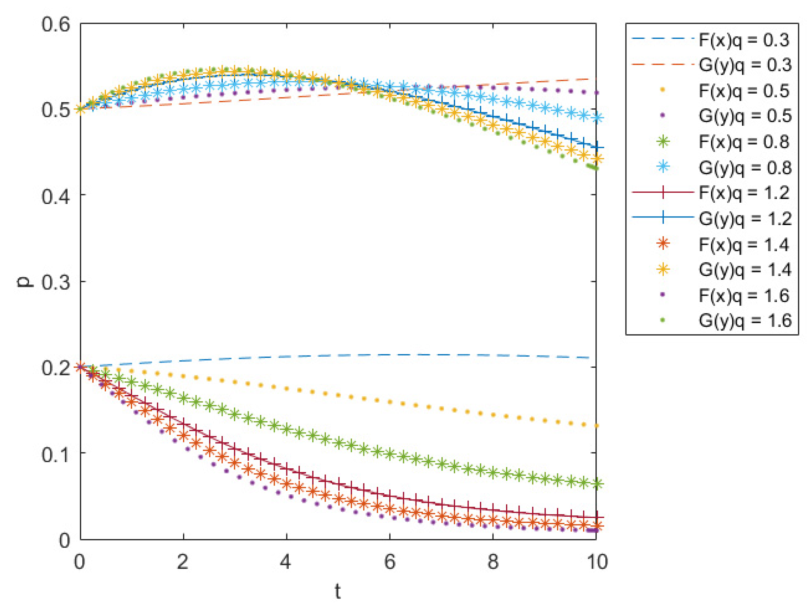
Under the dynamic reward and static punishment policy, we further investigate the influence of the maximum value of government reward on government and construction enterprises. The evolutionary trajectory of both subjects can be obtained by setting the upper limit of reward . At the same time, keep other relevant parameters unchanged, as shown in Figure 4.
Figure 4.
Effect of reward changes on evolutionary outcomes.
Keep other parameters constant and set the reward to vary between the interval (). Figure 4 shows that the probability of active supervision converges to 0 as the reward increases. For construction companies, the probability of green construction decreases with the increases and tends to converge to 0. It verifies the conclusion obtained in the previous section that the probability of active supervision and green construction are both inversely proportional to the upper limit of subsidies.
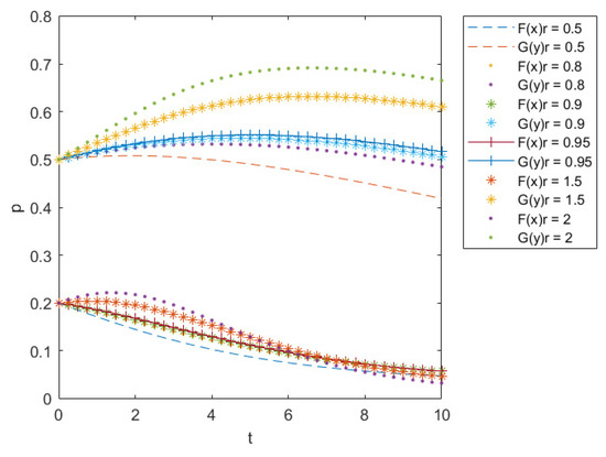
Based on the dynamic reward and punishment policy, we further investigate the influence of the maximum value of punishment on the strategy choice. The evolutionary track of two subjects can be obtained by setting the upper limit of penalty . Meanwhile, other relevant parameters are fixed, as presented in Figure 5.
Figure 5.
Effect of penalty changes on evolutionary outcomes.
Figure 5 describes that the probability of active supervision increases with the increase of the maximum value of the fine . For construction companies, the probability of green construction also rises with increasing the fine . It is verified that the probability of both governmental supervision and green construction are proportional to the maximum value of fines.
6. Conclusions
From the perspective of GBs supervision, this paper studies the impact of government policy combinations on green construction behavior. We constructed the evolutionary game models under static and dynamic incentive mechanisms. The reasons for the behavioral tendencies of both subjects and the effects of different policy combinations were explained, and the relevant essential parameters were analyzed. The model’s effectiveness was verified through example analysis. The main conclusions of this paper are as follows:
- (1)
- Under the static reward and punishment policy, the behavioral of the government and construction enterprises evolves in a cyclical cycle and does not exist ESS. The reward and punishment are set as fixed constants in the game process according to the construction quality and green construction management level. The evolution game is in a cyclical change process, which cannot achieve a stable equilibrium state under the static incentive mechanism.
- (2)
- With the dynamic policy combinations, the strategy choice of the two subjects will eventually stabilize at the system equilibrium point, independent of the initial strategy choices of both sides. If the government can adjust the reward and punishment in real-time according to the construction quality, impose more severe punishment on the non-green construction behaviors of construction enterprises and give higher subsidies to the GB construction. Regardless of the initial strategy choice, when the dynamic incentive mechanism is adopted, the evolutionary trajectories of game systems are spirally approaching the stable equilibrium point, which is infinitely close to the evolutionary stability point.
- (3)
- As the main body of GBs implementation, the choice of behavior strategy of construction enterprises is mainly affected by the government’s strategies. Adopting a dynamic reward policy has a more obvious restraining effect on construction enterprises. When considering the bounded rationality of government and companies, the numerical simulation shows that the adoption of dynamic reward and static punishment, as well as dynamic reward and dynamic punishment policy combinations, can better promote the development of GBs.
- (4)
- Under the dynamic incentive mechanisms, the probability of active supervision is inversely proportional to the reward ceiling value. The government tends to adopt a passive regulatory attitude with the reward ceiling value increase. At the same time, the probability of active supervision is proportional to the upper limit of punishment. The government is willing to choose an active supervision strategy as its value increases.
- (5)
- Under the dynamic incentive mechanisms, the probability of green construction by construction enterprises is inversely proportional to the upper limit of subsidies and positively proportional to the fine. Unlike traditional intuition, this shows that enterprises, as a bounded rational decision-making subject, have a certain risk aversion and are more sensitive to losses than subsidies. Accordingly, when the government implements GB supervision, it is necessary to increase the punishment of “greenwashing,” thereby increasing the probability of enterprises constructing according to regulations. This conclusion provides a theoretical reference for formulating policies and the green construction of construction enterprises.
Based on the conclusions, the following recommendations are made:
- (1)
- The policy combination should be adjusted from static to dynamic. When formulating a dynamic policy combination, the government should adjust the intensity of rewards and punishments according to the construction quality to improve the applicability and effectiveness of the policies. At the same time, relevant departments should set up red lines for GBs construction supervision, accelerate the formulation of relevant laws and regulations, continuously improve supervision mechanisms, strengthen law enforcement, and adopt diversified punishment models.
- (2)
- Construction enterprises should strictly regulate their construction behaviors. High construction costs are the main reason construction enterprises choose illegal construction. Construction enterprises should realize that the potential benefits, such as government reward and reputation accumulation, outweigh the benefits of non-green construction. Companies should regularly conduct self-inspection and self-correction activities and build a sound self-restraint system. In addition, construction companies should also retrain and update the knowledge reserve of on-site construction personnel to master the new construction processes and procedures of GBs and achieve them as a long-term goal.
This study uses the evolutionary game to study the problem of GB construction supervision, analyzes and discusses the behavior strategies in the process of GBs construction, and proposes dynamic incentive policy combinations that can improve the applicability and accuracy of policies. However, due to the large and complex content involved in the supervision of GBs, there are still certain areas for improvement in the model assumptions in this paper. We only study government and construction enterprises as game participants. Still, many participants in the GBs construction process, such as the public and owners, are also essential for the constraint of construction enterprises. Future research can build a multi-agent game model from this perspective to make the game model more realistic, targeted, and effective.
Author Contributions
Conceptualization, Y.L. and Y.C.; methodology, Y.C. and Q.M.; software, Z.L.; validation, Y.C., J.X. and Z.L.; formal analysis, Y.C. and Q.M.; investigation, Y.L.; resources, J.X.; writing—original draft preparation, Y.C.; writing—review and editing, Q.M.; visualization, Z.L.; supervision, J.X.; project administration, Y.L.; funding acquisition, Z.L. All authors have read and agreed to the published version of the manuscript.
Funding
This research was funded by the National Natural Science Foundation of China (Nos. 72071096, 71971100).
Data Availability Statement
Not applicable.
Acknowledgments
The author thank the editors and reviewers for their hard work.
Conflicts of Interest
The authors declare no conflict of interest.
Appendix A
Appendix A.1. The Proof of Proposition 7
Proof.
When , , the stability at (), the corresponding Jacobi matrix is given by:
where ,. □
The system has asymptotic stability under the static reward and dynamic punishment mechanisms, and () is the ESS of the system.
Appendix A.2. The Proof of Proposition 10
Proof.
When ,, the stability at (), the corresponding Jacobi matrix is given by:
where ,
. □
References
- Shen, Y.; Faure, M. Green building in China. Int. Environ. Agreem. Politics Law Econ. 2021, 21, 183–199. [Google Scholar] [CrossRef]
- Liu, Y.; Sun, X.; Sun, T.; Shi, X.; Liu, J. Promoting green residential buildings by increasing homebuyers’ willingness to pay: Evidence from Sino-Singapore Tianjin Eco-city in China. J. Clean. Prod. 2019, 238, 117884. [Google Scholar] [CrossRef]
- Illankoon, I.; Tam, V.; Le, K.N.; Tran, C.; Ma, M. Review on Green Building Rating Tools Worldwide: Recommendations for Australia. J. Civ. Eng. Manag. 2019, 25, 831–847. [Google Scholar] [CrossRef]
- Zainine, M.A.; Mezni, T.; Baeshen, Y.; Rahmoun, M.; Guizani, A. The assessment of buildings and constructions sector of economy proposal: An environmental perspective. Environ. Sci. Pollut. Res. 2021, 28, 22510–22521. [Google Scholar] [CrossRef] [PubMed]
- Lei, M.; Cui, T. A Scientometric Analysis and Visualization of Global LEED Research. Buildings 2022, 12, 1099. [Google Scholar] [CrossRef]
- Jiang, S.; Wang, N.; Wu, J. Combining BIM and Ontology to Facilitate Intelligent Green Building Evaluation. J. Comput. Civ. Eng. 2018, 32, 04018039. [Google Scholar] [CrossRef]
- Ye, L.; Cheng, Z.; Wang, Q.; Lin, H.; Lin, C.; Liu, B. Developments of Green Building Standards in China. Renew. Energy 2015, 73, 115–122. [Google Scholar] [CrossRef]
- Hwang, B.; Tan, J. Green building project management: Obstacles and solutions for sustainable development. Sustain. Dev. 2012, 20, 335–349. [Google Scholar] [CrossRef]
- Jin, J. Problem Analysis and Countermeasures of the Construction Enterprises in the Green Construction. In Applied Mechanics and Materials; Tang, X., Chen, X., Dong, Y., Wei, X., Yang, Q., Eds.; Trans Tech Publications Ltd.: Cham, Switzerland, 2013; Volume 291–294, pp. 1016–1020. [Google Scholar]
- He, Q.; Wang, Z.; Wang, G.; Zuo, J.; Wu, G.; Liu, B. To be green or not to be: How environmental regulations shape contractor greenwashing behaviors in construction projects. Sustain. Cities Soc. 2020, 63, 102462. [Google Scholar] [CrossRef]
- Rehman, U.; Iatisam, M.; Younas, W.; Tariq, N. Review on the Role of Sustainability Techniques in Development of Green Building. In Proceedings of the 2017 International Conference on Energy Conservation and Efficiency (ICECE), Lahore, Pakistan, 22–23 November 2017; IEEE: Piscataway, NJ, USA, 2017; pp. 74–80. [Google Scholar]
- Chen, Y.; Wang, G.; He, Y.; Zhang, H. Greenwashing behaviors in construction projects: There is an elephant in the room! Environ. Sci. Pollut. Res. 2022, 29, 64597–64621. [Google Scholar] [CrossRef]
- Du, X. How the Market Values Greenwashing? Evidence from China. J. Bus. Ethics 2015, 128, 547–574. [Google Scholar] [CrossRef]
- Huang, N.; Bai, L.; Wang, H.; Du, Q.; Shao, L.; Li, J. Social Network Analysis of Factors Influencing Green Building Development in China. Int. J. Environ. Res. Public Health 2018, 15, 2684. [Google Scholar] [CrossRef] [PubMed]
- Liu, H.; Li, J.; Sun, Y.; Wang, Y.; Li, W. Government incentives to promote the development of green building based on games theory. In Advanced Materials Research; Xu, Q., Li, H., Li, Q., Eds.; Trans Tech Publications Ltd.: Cham, Switzerland, 2014; Volume 869–870, pp. 381–384. [Google Scholar]
- Liu, Y. Legal construction of green building standards:realistic problems and improvement path. China Popul. Resour. Environ. 2020, 30, 170–178. [Google Scholar]
- Smith, J.M.; Price, G.R. The Logic of Animal Conflict. Nature 1973, 246, 15–18. [Google Scholar] [CrossRef]
- Tao, Z.; Wang, B.; Shu, L. Analysis on the Procurement Cost of Construction Supply Chain based on Evolutionary Game Theory. Arab. J. Sci. Eng. 2021, 46, 1925–1940. [Google Scholar] [CrossRef]
- Xu, X.; Li, Y.; Hou, X.; Zeng, S. Evolutionary Game Analysis of Dangerous-Waste Disposal of Major Engineering Enterprises and Government Supervision. In Proceedings of the International Conference on Construction and Real Estate Management 2021, Beijing, China, 16–17 October 2021; Wang, Y., Zhang, D., Shen, G., Eds.; ASCE: Reston, VA, USA, 2021; pp. 554–560. [Google Scholar]
- Qin, Z.; Wei, W.; Qin, M. Study on the Green Construction Supervision Based on Evolutionary Game Theory. In Advances in Computer Science Research; Jing, W., Guiran, C., Huiyu, Z., Eds.; Springer: Berlin/Heidelberg, Germany, 2017; Volume 59, pp. 1034–1040. [Google Scholar]
- Wang, J.; Qin, Y.; Zhou, J. Incentive policies for prefabrication implementation of real estate enterprises: An evolutionary game theory-based analysis. Energy Policy 2021, 156, 112434. [Google Scholar] [CrossRef]
- Jiang, X.; Sun, H.; Lu, K.; Lyu, S.; Skitmore, M. Using evolutionary game theory to study construction safety supervisory mechanism in China. Eng. Constr. Archit. Manag. 2023, 30, 514–537. [Google Scholar] [CrossRef]
- Chen, L.; Gao, X.; Hua, C.; Gong, S.; Yue, A. Evolutionary process of promoting green building technologies adoption in China: A perspective of government. J. Clean. Prod. 2021, 279, 123607. [Google Scholar] [CrossRef]
- Gao, Y.; Jia, R.; Yao, Y.; Xu, J. Evolutionary Game Theory and the Simulation of Green Building Development Based on Dynamic Government Subsidies. Sustainability 2022, 14, 7294. [Google Scholar] [CrossRef]
- Jiang, Y.; Hu, T.; Zhao, D.; Liu, B.; Zhang, H.; Zhang, Y.; Xu, Z. Decision model to optimize long-term subsidy strategy for green building promotion. Sustain. Cities Soc. 2022, 86, 104126. [Google Scholar] [CrossRef]
- Gang, L.; Cui, L. Analysis of urban green building and sustainable development. Agro Food Ind. Hi-Tech 2017, 28, 1031–1035. [Google Scholar]
- Hwang, B.-G.; Shan, M.; Phuah, S.L. Safety in green building construction projects in Singapore: Performance, critical issues, and improvement solutions. KSCE J. Civ. Eng. 2018, 22, 447–458. [Google Scholar] [CrossRef]
- Xing, Z.; Cao, X. Promoting Strategy of Chinese Green Building Industry: An Evolutionary Analysis Based on the Social Network Theory. IEEE Access 2019, 7, 67213–67221. [Google Scholar] [CrossRef]
- Zeng, X.; Li, S.; Yin, S.; Xing, Z. How Does the Government Promote the Collaborative Innovation of Green Building Projects? An Evolutionary Game Perspective. Buildings 2022, 12, 1179. [Google Scholar] [CrossRef]
- Assylbekov, D.; Nadeem, A.; Hossain, M.A.; Akhanova, G.; Khalfan, M. Factors Influencing Green Building Development in Kazakhstan. Buildings 2021, 11, 634. [Google Scholar] [CrossRef]
- Olubunmi, O.A.; Xia, P.B.; Skitmore, M. Green building incentives: A review. Renew. Sustain. Energy Rev. 2016, 59, 1611–1621. [Google Scholar] [CrossRef]
- Cohen, C.; Pearlmutter, D.; Schwartz, M. A game theory-based assessment of the implementation of green building in Israel. Build. Environ. 2017, 125, 122–128. [Google Scholar] [CrossRef]
- Liu, G.; Li, X. Literature Review on the Incentive Policies to Promote the Development of Green Building. In Applied Mechanics and Materials; Hou, H., Tian, L., Eds.; Trans Tech Publications Ltd.: Cham, Switzerland, 2013; Volume 357–360, pp. 2785–2792. [Google Scholar]
- He, C.; Wang, X.; Zhao, G. Developer’s willingness to construct green dwellings in china: Factors and stimulating policies. J. Civ. Eng. Manag. 2018, 24, 378–389. [Google Scholar] [CrossRef]
- Onuoha, I.J.; Aliagha, G.U.; Rahman, M.S.A. Modelling the effects of green building incentives and green building skills on supply factors affecting green commercial property investment. Renew. Sustain. Energy Rev. 2018, 90, 814–823. [Google Scholar] [CrossRef]
- Li, X.; Wang, C.; Kassem, M.A.; Liu, Y.; Ali, K.N. Study on Green Building Promotion Incentive Strategy Based on Evolutionary Game between Government and Construction Unit. Sustainability 2022, 14, 10155. [Google Scholar] [CrossRef]
- Kong, F.; He, L. Impacts of supply-sided and demand-sided policies on innovation in green building technologies: A case study of China. J. Clean. Prod. 2021, 294, 126279. [Google Scholar] [CrossRef]
- Chen, W.; Hong, X. Design of effective subsidy policy to develop green buildings: From the perspective of policy benefit. Clean Technol. Environ. Policy 2015, 17, 1029–1038. [Google Scholar] [CrossRef]
- Song, Y.; Li, C.; Zhou, L.; Huang, X.; Chen, Y.; Zhang, H. Factors affecting green building development at the municipal level: A cross-sectional study in China. Energy Build. 2021, 231, 110560. [Google Scholar] [CrossRef]
- Liu, C.; Huang, W.; Yang, C. The evolutionary dynamics of China’s electric vehicle industry–Taxes vs. subsidies. Comput. Ind. Eng. 2017, 113, 103–122. [Google Scholar] [CrossRef]
- Wang, C.; Cui, W. Supervision for the Public Health Services for Older Adults Under the Background of Government Purchasing: An Evolutionary Game Analysis Framework. Front. Public Health 2022, 10, 881330. [Google Scholar] [CrossRef]
- Wang, X.; Ren, X. Research on Dynamic Evolutionary Game of Platform E-commerce Credit Supervision from the Perspective of Government Governance. Chin. J. Manag. Sci. 2021, 29, 29–41. [Google Scholar]
- Collin-Dufresne, P.; Fos, V. Do Prices Reveal the Presence of Informed Trading? J. Financ. 2015, 70, 1555–1582. [Google Scholar] [CrossRef]
- Pi, Z.; Gao, X.; Chen, L.; Liu, J. The New Path to Improve Construction Safety Performance in China: An Evolutionary Game Theoretic Approach. Int. J. Environ. Res. Public Health 2019, 16, 2443. [Google Scholar] [CrossRef]
- Ma, Y.; Wan, Z.; Jin, C. Evolutionary Game Analysis of Green Production Supervision Considering Limited Resources of the Enterprise. Pol. J. Environ. Stud. 2021, 30, 1715–1724. [Google Scholar] [CrossRef]
- Cai, D.; Guo, C.; Bai, L.; Huang, H. Multi-Attribute Procurement Auctions Considering Green Degree of Buildings Under Different Subsidy Objects. J. Syst. Manag. 2022, 1–16. Available online: https://kns.cnki.net/kcms/detail/31.1977.N.20221130.1611.001.html (accessed on 11 February 2023).
- Kim, S.; Lim, B.T.H. Analysing the Characteristics of Green and Non-Green Buildings: From the Real Estate Perspective. In AIP Conference Proceedings; Chieh, D., Ed.; AIP Publishing LLC: Melville, NY, USA, 2019; Volume 2124. [Google Scholar]
- Chen, W.; Hu, Z.-H. Using evolutionary game theory to study governments and manufacturers’ behavioral strategies under various carbon taxes and subsidies. J. Clean. Prod. 2018, 201, 123–141. [Google Scholar] [CrossRef]
- Wu, H.; Ying, M. An Analyzes on Complexity and Evolutionary Stability in Co-petition Games. Syst. Eng.-Theory Pract. 2004, 2, 90–94. [Google Scholar]
- Dan, F. Evolutionary Games in Economics. Econom. Econom. Society 1991, 59, 637–666. [Google Scholar]
- Meng, Q.; Liu, Y.; Li, Z.; Wu, C. Dynamic reward and penalty strategies of green building construction incentive: An evolutionary game theory-based analysis. Environ. Sci. Pollut. Res. 2021, 28, 44902–44915. [Google Scholar] [CrossRef] [PubMed]
- Liang, X.; Fu, Y. Study on the Supply Side Evolutionary Game of Green Building under the Mechanism of Government Dynamic Reward and Punishment. Chin. J. Manag. Sci. 2021, 29, 184–194. [Google Scholar]
Disclaimer/Publisher’s Note: The statements, opinions and data contained in all publications are solely those of the individual author(s) and contributor(s) and not of MDPI and/or the editor(s). MDPI and/or the editor(s) disclaim responsibility for any injury to people or property resulting from any ideas, methods, instructions or products referred to in the content. |
© 2023 by the authors. Licensee MDPI, Basel, Switzerland. This article is an open access article distributed under the terms and conditions of the Creative Commons Attribution (CC BY) license (https://creativecommons.org/licenses/by/4.0/).





