Stress–Strain Model of High-Strength Concrete Confined by Lateral Ties under Axial Compression
Abstract
1. Introduction
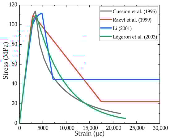
2. Existing Models
| Proposed by | Complete Curve Equation | Model Parameters |
|---|---|---|
| Cussion et al. [9] (1995) | ||
| Razvi et al. [20] (1999) | Same as the ascending portion of the Cussion model. | Calculation formulae are shown in Table 2 |
| Li et al. [15] (2001) | (For high-strength concrete) MPa) | |
| Légeron et al. [21] (2003) | Similar to the ascending portion of the Cussion model. Same as the descending portion of the Cussion model. | , Calculation formulae are shown in Table 2 |
| Proposed by | Empirical Formulae | Parameters |
|---|---|---|
| Razvi et al. [20] (1999) | ||
| Légeron et al. [21] (2003) | , |
3. Details of the Proposed Model
3.1. Normal Triaxial Compression Model
3.2. Effective Confinement Coefficient
- (1)
- unconfined zone: the concrete is outside the ties without any confined effect in this region;
- (2)
- weakly confined zone: the concrete is near the inner side of the ties reinforcement with a weak triaxial compressive stress state in this region;
- (3)
- heavily confined zone: the remaining part of the concrete is in the core region with a strong triaxial compressive stress state in this region.
3.3. Ties Strain at the Peak Stress in Confined Concrete
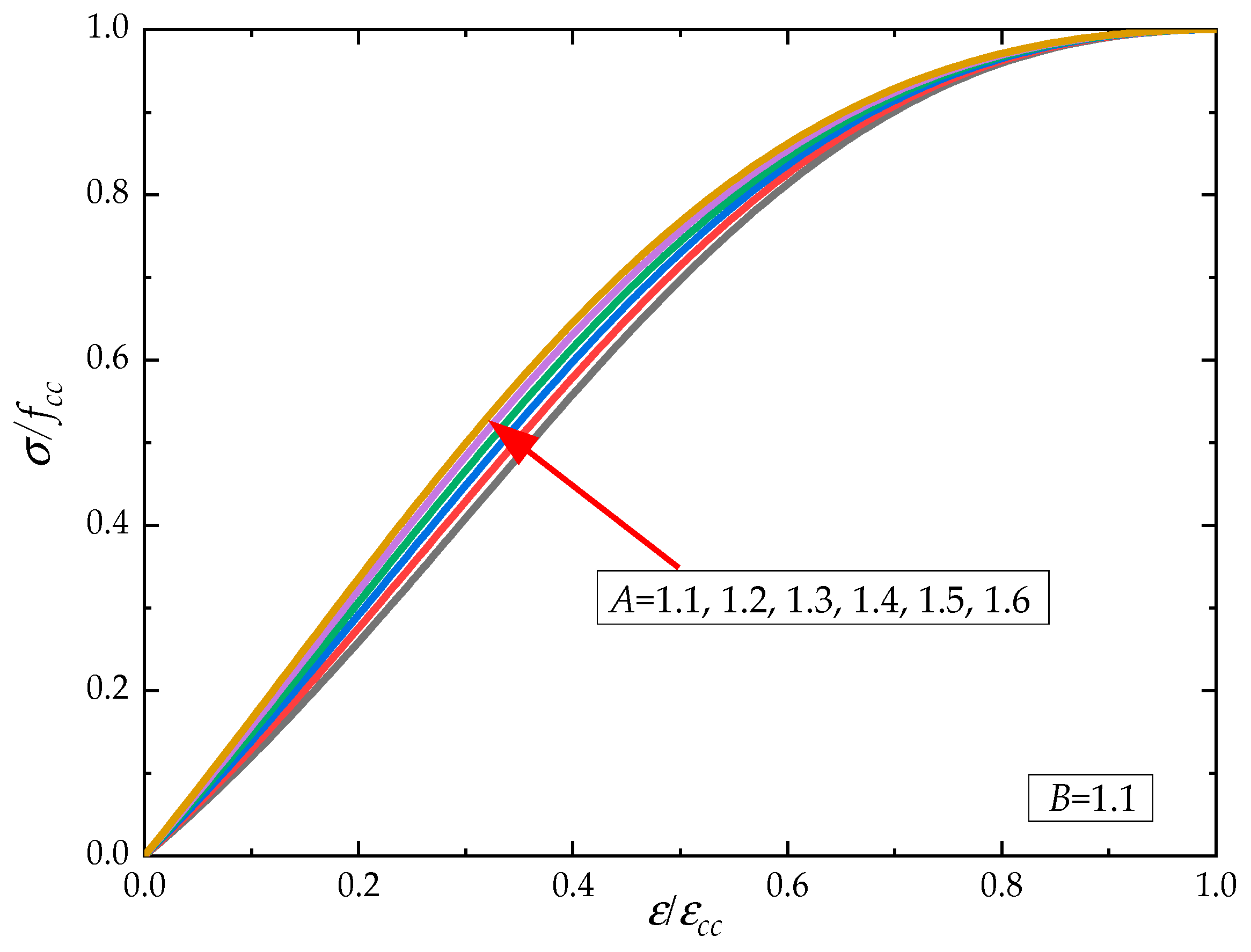
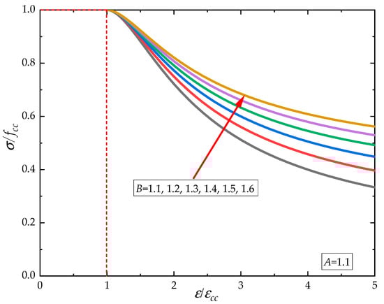
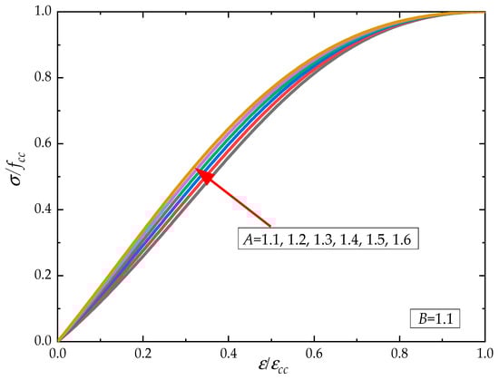
3.4. Stress–Strain Model
- (1)
- ;
- (2)
- ;
- (3)
- When , ;
- (4)
- The ascending portion is a convex function, and the descending portion has an inflection point.
- (1)
- The peak stress and peak strain of unconfined concrete under compression are obtained with experiments or empirical formulae;
- (2)
- Equation (13) is used to calculate the ties strain when confined concrete experiences the peak stress;
- (3)
- Equation (5) is used to calculate the effective confinement coefficient based on the arrangement form of the ties reinforcement;
- (4)
- The equivalent uniform lateral confined stress is calculated; and Equations (1), (2), (14), (16), (18), and (19) are used to obtain the complete curve equation model parameters A and B.
4. Model Evaluation
5. Conclusions
- (1)
- The existing models of ties-confined concrete stress–strain were compared; the differences between different empirical models were evident, particularly because the dispersion of the descending portion was large.
- (2)
- The effective confinement coefficient and empirical formula for the ties strain when confined concrete experienced the peak stress were established. The stress–strain model was proposed using a continuous derivable function, which has fewer model parameters and facilitates numerical calculations.
- (3)
- The proposed model is in good agreement with the test curve, and the predicted peak stress is slightly lower than the test results. The relative error is within 10%, which accounts for 92% of the test data; overall, the prediction accuracy of the proposed model for the stress–strain relationship for the specimens with fewer parameters and simpler functional form is generally comparable to other models.
Author Contributions
Funding
Data Availability Statement
Acknowledgments
Conflicts of Interest
Notations
| , | core dimension measured center-to-center of perimeter ties |
| ties spacing | |
| clear spacing between ties | |
| , | area of one leg of transverse reinforcement in b- and h-directions, respectively |
| modulus of elasticity of plain concrete | |
| compressive strength of unconfined concrete | |
| strain at maximum stress of unconfined concrete | |
| strain corresponding to 85% of peak stress of unconfined concrete on descending branch | |
| strain corresponding to 50% of peak stress of unconfined concrete on descending branch | |
| compressive strength of confined concrete | |
| strain at maximum stress of confined concrete | |
| strain corresponding to 85% of peak stress of confined concrete on descending branch | |
| strain corresponding to 50% of peak stress of confined concrete on descending branch | |
| strain corresponding to 20% of peak stress of confined concrete on descending branch | |
| ith clear ties spacing between adjacent longitudinal bars | |
| , | number of ties legs in b- and h-directions, respectively |
| total number of longitudinal bars | |
| ratio of area of longitudinal steel to area of core of section | |
| spacing of longitudinal reinforcement, laterally supported by corner of ties or ties of crosstie | |
| yield strength of ties reinforcement | |
| tensile stress in transverse reinforcement at peak concrete stress | |
| average confinement pressure | |
| equivalent uniform lateral pressure that produces the same effect as nonuniform pressure | |
| effective confinement coefficient proposed by Mander et al. [14] | |
| modulus of elasticity of ties | |
| area of the weakest confining plane in the adjacent ties plane | |
| ties plane confining area | |
| cylindrical compressive strength | |
| B, H | cross-section width and height, respectively |
| diameter of the longitudinal bar | |
| diameter of the ties |
References
- Considere, A. Experimental Research on Reinforced Concrete (Classic Reprint); Forgotten Books: London, UK, 2017. [Google Scholar]
- Richart, F.E.; Brandtzæg, A.; Brown, R.L. A Study of the Failure of Concrete under Combined Compressive Stresses; University of Illinois, Engineering Experiment Station: Urbana, IL, USA, 1928. [Google Scholar]
- Ahmad, S.H.; Shah, S.P. Stress strain curves of concrete confined by spiral reinforcement. ACI J. 1982, 79, 484–490. [Google Scholar]
- Martinez, S.; Nilson, A.H.; Slate, F.O. Spirally reinforced high strength concrete columns. Proc. ACI J. 1984, 81, 431–442. [Google Scholar]
- Fafitis, A. Lateral reinforcement for high-strength concrete columns. ACI Struct. J. 1985, 82, 423–433. [Google Scholar]
- Yong, Y.; Nour, M.G.; Nawy, E.G. Behavior of laterally confined high strength concrete under axial loads. J. Struct. Eng. 1988, 114, 332–351. [Google Scholar] [CrossRef]
- Muguruma, H.; Nishiyama, M.; Watanabe, F. Stress strain curve for concrete with a wide range of compressive strength. In Proceedings of the 3rd International Symposium on Utilization of High Strength Concrete, Lillehammer, Norway, 20–23 June 1993; pp. 314–321. [Google Scholar]
- Nagashima, T.; Sugano, S.; Kimura, H.; Ichikawa, A. Monotonic axial compression test on ultra-high-strength concrete tied columns. In Proceedings of the 10th World Conference on Earthquake Engineering, Balkema Rotterdam, The Netherlands, 19–24 July 1992; pp. 2983–2988. [Google Scholar]
- Cusson, D.; Paultre, P. Stress strain model for confined high strength concrete. J. Struct. Eng. 1995, 121, 468–477. [Google Scholar] [CrossRef]
- El-Dash, K.M.; Ahmad, S.H. A model for the stress-strain relationship of rectangular confined normal and high strength concrete columns. Mater. Struct. 1994, 27, 572–579. [Google Scholar] [CrossRef]
- Han, B.-S.; Shin, S.-W.; Bahn, B.-Y. A model of confined concrete in high-strength reinforced concrete tied columns. Mag. Concr. Res. 2003, 55, 203–214. [Google Scholar] [CrossRef]
- Shi, Q.-X.; Wang, N.; Wang, Q.-W.; Men, J.-J. Uniaxial compressive stress-strain model for high-strength concrete confined with high-strength lateral ties. Eng. Mech. 2013, 30, 131–137. (In Chinese) [Google Scholar]
- Bjerkli, L.; Tomaszewicz, A.; Jansen, J.J. Deformation properties and ductility of high strength concrete. In Proceedings of the 2nd International Symposium on Utilization of High Strength Concrete, Berkeley, CA, USA, 20–23 May 1990; pp. 215–238. [Google Scholar]
- Mander, J.; Priestley, M.J.; Park, R. Theoretical stress strain model for confined concrete. J. Struct. Eng. 1988, 114, 1804–1826. [Google Scholar] [CrossRef]
- Li, B.; Park, R.; Tanaka, H. Stress strain behavior of high strength concrete confined by ultra-high and normal-strength transverse reinforcements. ACI Struct. J. 2001, 98, 395–406. [Google Scholar]
- Umesh, K.S.; Pradeep, B.; Kaushik, S.K. Behavior of Confined High Strength Concrete Columns under Axial Compression. J. Adv. Concr. Technol. 2005, 3, 267–281. [Google Scholar]
- Suzuki, M.; Akiyama, M.; Hong, K.-N.; Cameron, I.D.; Wang, W.L. Stress–strain model of high-strength concrete confined by rectangular ties. In Proceedings of the 13th World Conference on Earthquake Engineering, Vancouver, BC, Canada, 1–6 August 2004. [Google Scholar]
- Chung, H.; Yang, K.; Lee, Y.; Eun, H. Stress–strain curve of laterally confined concrete. Eng. Struct. 2002, 24, 1153–1163. [Google Scholar] [CrossRef]
- Van, K.; Yun, H.; Hwang, S. Effect of confined high-strength concrete columns. J. Korea Concr. Inst. 2003, 15, 747–758. [Google Scholar] [CrossRef]
- Razvi, S.R.; Saatcioglu, M. Confinement model for high strength concrete. J. Struct. Eng. 1999, 125, 281–289. [Google Scholar] [CrossRef]
- Légeron, F.; Paultre, P. Uniaxial confinement model for normal and high strength concrete columns. J. Struct. Eng. 2003, 29, 241–252. [Google Scholar] [CrossRef]
- Montoya, E.; Vecchio, F.J.; Sheikh, S.A. Compression Field Modeling of Confined Concrete: Constitutive Models. J. Mater. Civ. Eng. 2006, 18, 510–517. [Google Scholar] [CrossRef]
- Koksal, H.O.; Erdogan, A. Stress–strain model for high-strength concrete tied columns under concentric compression. Structures 2021, 32, 216–227. [Google Scholar] [CrossRef]
- Ansari, F.; Li, Q.B. High-strength concrete subjected to triaxial compression. ACI Mater. J. 1998, 95, 747–755. [Google Scholar]
- Attard, M.M.; Setunge, S. Stress-strain relationship of confined and unconfined concrete. ACI Mater. J. 1996, 93, 432–442. [Google Scholar]
- Candappa, D.C.; Sanjayan, J.G.; Setunge, S. Complete triaxial stress-strain curves of high-strength concrete. J. Mater. Civil. Eng. 2001, 13, 209–215. [Google Scholar] [CrossRef]
- Hammons, M.I.; Neeley, B.D. Triaxial characterization of high-strength portland cement concrete. Transp. Res. Board 1993, 1382, 73–77. [Google Scholar]
- Imran, I.; Pantazopoulou, S.J. Experimental study of plain concrete under triaxial stress. ACI Mater. J. 1996, 96, 589–601. [Google Scholar]
- Kotsovos, M.D.; Newman, J.B. A mathematical model of the deformational behavior of concrete under generalised stress based on fundamental material properties. Mag. Constr. Res. 1980, 31, 151–158. [Google Scholar] [CrossRef]
- Newman, J.B. Concrete under Complex Stress; Imperial College of Science and Technology: London, UK, 1979. [Google Scholar]
- Lahlou, K.A.; Aitcin, P.C.; Chaallal, O. Behaviour of high-strength concrete under confined stresses. Cem. Concr. Compos. 1992, 14, 185–193. [Google Scholar] [CrossRef]
- Setunge, S.; Attard, M.M.; Darvall, P.L. Ultimate strength of confined very high-strength concretes. ACI Struct. J. 1993, 90, 632–641. [Google Scholar]
- Xie, J.; Elwi, A.E.; Macgregor, J.G. Mechanical properties of three high-strength concretes containing silica fume. ACI Mater. J. 1995, 92, 135–145. [Google Scholar]
- Sheikh, S.A.; Uzumeri, S.M. Strength and ductility of tied concrete columns. J. Struct. Div. ASCE 1980, 106, 1408–1412. [Google Scholar] [CrossRef]
- Saatcioglu, M.; Razvi, S.R. Strength and ductility of confined concrete. J. Struct. Eng. 1992, 118, 1590–1607. [Google Scholar] [CrossRef]
- Cusson, D.; Paultre, P. High strength concrete columns confined by rectangular ties. J. Struct. Eng. 1994, 120, 783–804. [Google Scholar] [CrossRef]
- Nishiyama, M.; Fukushima, I.; Watanabe, F.; Muguruma, H. Axial loading tests on high-strength concrete prisms confined by ordinary and high-strength steel. In Proceedings of the 3rd International Symposium on Utilization of High Strength Concrete, Lillehammer, Norwy, 20–23 June 1993; pp. 322–329. [Google Scholar]
- Hong, K.N.; Han, S.H.; Yi, S.T. High-strength concrete columns confined by low volumetric ratio lateral ties. Eng. Struct. 2006, 28, 1346–1353. [Google Scholar] [CrossRef]
- Wee, T.H.; Chin, M.S.; Mansur, M.A. Stress-strain relationship of high-strength concrete in compression. J. Mater. Civ. Eng. 1996, 8, 70–76. [Google Scholar] [CrossRef]












| Source | ID | Cross-Section | Longitudinal Bars | Ties | Concrete | (MPa) | ||||||
|---|---|---|---|---|---|---|---|---|---|---|---|---|
(mm) | (mm) | (mm) | (mm) | (mm) | (MPa) | (MPa) | (MPa) | |||||
| Nagashima et al. [7] (1992) | HH08LA | 225 | 225 | 12 | 10 | 5.1 | 55 | 1387 | 98.8 | 2459.1 | 47154.1 | 122.8 |
| HH10LA | 225 | 225 | 12 | 10 | 5.1 | 45 | 1387 | 98.8 | 2459.1 | 47154.1 | 122.5 | |
| HH13LA | 225 | 225 | 12 | 10 | 5.1 | 35 | 1387 | 98.8 | 2459.1 | 47154.1 | 131.5 | |
| HH15LA | 225 | 225 | 12 | 10 | 6.4 | 45 | 1368 | 98.8 | 2459.1 | 47154.1 | 127.0 | |
| HH20LA | 225 | 225 | 12 | 10 | 6.4 | 35 | 1368 | 100.4 | 2469.0 | 47407.2 | 148.2 | |
| HL06LA | 225 | 225 | 12 | 10 | 5 | 45 | 807 | 100.4 | 2469.0 | 47407.2 | 118.2 | |
| HL08LA | 225 | 225 | 12 | 10 | 5 | 35 | 807 | 100.4 | 2469.0 | 47407.2 | 133.2 | |
| 3 | 250 | 250 | 12 | 16 | 6 | 31 | 813 | 92.4 | 2418.3 | 46113.1 | 145.0 | |
| 4 | 250 | 250 | 12 | 16 | 6 | 45 | 813 | 92.4 | 2418.3 | 46113.1 | 122.0 | |
| Nishiyama et al. [27] (1993) | 7 | 250 | 250 | 12 | 16 | 6 | 60 | 813 | 92.4 | 2418.3 | 46113.1 | 120.0 |
| 8 | 250 | 250 | 12 | 16 | 4 | 31 | 840 | 92.4 | 2418.3 | 46113.1 | 120.0 | |
| 10 | 250 | 250 | 12 | 16 | 6 | 31 | 462 | 96.2 | 2442.8 | 46736.8 | 133.0 | |
| 11 | 250 | 250 | 12 | 16 | 6 | 45 | 462 | 96.2 | 2442.8 | 46736.8 | 117.0 | |
| 12 | 250 | 250 | 12 | 16 | 6 | 60 | 462 | 96.2 | 2442.8 | 46736.8 | 115.0 | |
| 13 | 250 | 250 | 12 | 16 | 6 | 60 | 462 | 96.2 | 2442.8 | 46736.8 | 115.0 | |
| Razvi et al. [11] (1999) | 14 | 250 | 250 | 12 | 16 | 4 | 31 | 481 | 96.2 | 2442.8 | 46736.8 | 115.0 |
| CS-3 | 250 | 250 | 12 | 16 | 6.5 | 55 | 570 | 105.4 | 2499.2 | 48181.5 | 129.1 | |
| CS-4 | 250 | 250 | 8 | 16 | 7.5 | 55 | 1000 | 105.4 | 2499.2 | 48181.5 | 123.4 | |
| CS-5 | 250 | 250 | 12 | 16 | 7.5 | 120 | 1000 | 105.4 | 2499.2 | 48181.5 | 122.5 | |
| CS-7 | 250 | 250 | 12 | 16 | 6.5 | 120 | 400 | 105.4 | 2499.2 | 48181.5 | 115.0 | |
| CS-8 | 250 | 250 | 8 | 16 | 11.3 | 85 | 400 | 105.4 | 2499.2 | 48181.5 | 117.8 | |
| CS-15 | 250 | 250 | 8 | 16 | 7.5 | 55 | 1000 | 68.9 | 2247.2 | 41815.8 | 95.5 | |
| CS-16 | 250 | 250 | 12 | 16 | 7.5 | 85 | 1000 | 68.9 | 2247.2 | 41815.8 | 95.2 | |
| CS-20 | 250 | 250 | 12 | 16 | 11.3 | 85 | 400 | 78.2 | 2319.5 | 43618.3 | 106.3 | |
Disclaimer/Publisher’s Note: The statements, opinions and data contained in all publications are solely those of the individual author(s) and contributor(s) and not of MDPI and/or the editor(s). MDPI and/or the editor(s) disclaim responsibility for any injury to people or property resulting from any ideas, methods, instructions or products referred to in the content. |
© 2023 by the authors. Licensee MDPI, Basel, Switzerland. This article is an open access article distributed under the terms and conditions of the Creative Commons Attribution (CC BY) license (https://creativecommons.org/licenses/by/4.0/).
Share and Cite
Wang, L.; Huang, X.; Xu, F. Stress–Strain Model of High-Strength Concrete Confined by Lateral Ties under Axial Compression. Buildings 2023, 13, 870. https://doi.org/10.3390/buildings13040870
Wang L, Huang X, Xu F. Stress–Strain Model of High-Strength Concrete Confined by Lateral Ties under Axial Compression. Buildings. 2023; 13(4):870. https://doi.org/10.3390/buildings13040870
Chicago/Turabian StyleWang, Lei, Xiaokun Huang, and Fuquan Xu. 2023. "Stress–Strain Model of High-Strength Concrete Confined by Lateral Ties under Axial Compression" Buildings 13, no. 4: 870. https://doi.org/10.3390/buildings13040870
APA StyleWang, L., Huang, X., & Xu, F. (2023). Stress–Strain Model of High-Strength Concrete Confined by Lateral Ties under Axial Compression. Buildings, 13(4), 870. https://doi.org/10.3390/buildings13040870

