Dynamic Response Modeling of Mountain Transmission Tower-Line Coupling System under Wind–Ice Load
Abstract
1. Introduction
2. Finite Element Model of Transmission Tower-Line Coupling System
2.1. Transmission Tower Mechanics Simulation Model
2.2. Conductor (Ground) Wire and Insulator String Modeling and Conductor (Ground) Wire Initial Form-Finding
2.3. Large Stall Distance and Large Height Difference Defined
2.4. Nonlinear Equations for Tower-Line Coupled Systems
2.5. The Main Analysis Steps of the Experiment
3. Wind–Ice Load Loading Method in the Experiment
3.1. Wind Load Characteristics Analysis
3.2. Simulation Method for Dynamic Response of Conductor Overlay (De)ice
4. Experiment Design and Analysis
4.1. Analysis of Steady-State Calculation Results
4.2. Analysis of Ultimate Bearing Capacity of Tension Tower
4.3. Analysis of Transient Calculation Results
4.3.1. Characterization of Wind-Ice Load Dynamic Response
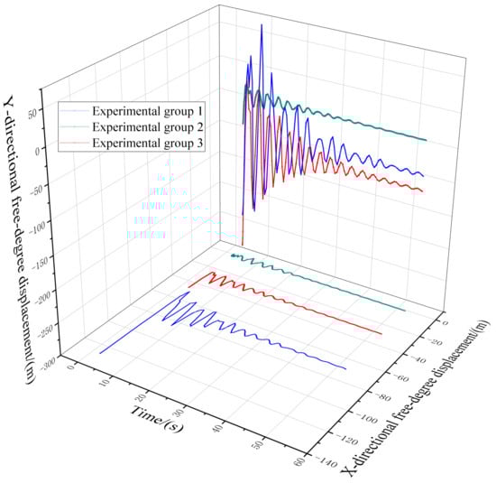
4.3.2. The Effect of Large Height Difference and Large Stall Distance Difference
4.3.3. Analysis of Transmission Tower-Line Safety under Wind-Ice Coupling
5. Conclusions
- (1)
- For transmission lines in mountainous terrain, under the static conditions of self-weight and wind-ice load, compared with no conductor, the axial force changes significantly, and the highest contribution rate of conductor axial force is 78.4%. The maximum value-added of wind-ice load on the basis of the contribution rate of the conductor is 27.6%, and the wind-ice load has a significant impact. The axial force of the tower main material mainly changes on the leeward side.
- (2)
- Considering the transmission tower-line coupling system model under the transient ice-shedding load of wind and ice, the dynamic response load of the axial force is significantly larger than the calculation result under the steady-state condition. In the experiment, under the large span difference and large elevation difference, the ice-shedding jump height of the conductor is the maximum of 11.13 m. The wind load has little effect on the vibration frequency of the conductor and has a greater effect on the stress vibration in the axial direction and the vertical line direction.
- (3)
- The maximum tensile strength of the tension tower is 545.5 kN, and the amplification effect of pulsating wind and conductor ice-shedding on the dynamic response of the line should be fully considered in the actual working condition. The large elevation difference mainly affects the tension in the X and Y degrees of freedom, and the maximum tension increase is up to 59.58%. Through the force transmission analysis of the straight tower, the position with the maximum bearing capacity is determined, and the main material should be reinforced at the cross-beam. Further analysis of the maximum ice thickness of the transmission line under the mountainous environment with large elevation difference and large span difference shows that it is smaller than the design value. The transmission line should pay attention to the influence of the mountainous terrain on the wind and ice load of the line, and reserve enough threshold space.
- (4)
- Through the above steady-state and transient analysis, the overall safety of the tower-line system is evaluated, the limit state of the transmission tower is calculated and simulated, and the safety status warning map of the transmission tower is established, which can effectively warn the health status of the transmission tower. According to the characteristics of the model, the key force-bearing points can be selected for reinforcement to prevent the safety accidents of the transmission line. As mentioned above, the force transmission process of the straight tower is the part with the largest axial force bearing.
Author Contributions
Funding
Data Availability Statement
Conflicts of Interest
Appendix A
References
- Bo, C.; Xinxin, S.; Jingbo, W. Progress in mechanical modeling of power transmission pylon systems. Eng. Mech. 2021, 38, 1–21. [Google Scholar]
- Zhengliang, L.; Zhengzhi, X.; Feng, H.; Zhitao, Y. Design and wind tunnel testing of an aeroelastic model for the 1000 kV Han River crossing EHV transmission tower system. Chin. Acad. J. Abstr. 2008, 14, 65. [Google Scholar]
- Eltaly, B.; Saka, A.; Kandil, K. FE Simulation of Transmission Tower. Adv. Civ. Eng. 2014, 2014, 258148. [Google Scholar] [CrossRef]
- Deng, H.; Xu, H.; Duan, C.; Jin, X.; Wang, Z. Experimental and numerical study on the responses of a transmission tower to skew incident winds. J. Wind. Eng. Ind. Aerodyn. 2016, 157, 171–188. [Google Scholar] [CrossRef]
- He, B.; Zhao, M.; Feng, W.; Xiu, Y.; Wang, Y.; Feng, L.; Qin, Y.; Wang, C. A method for analyzing stability of tower-line system under strong winds. Adv. Eng. Softw. 2019, 127, 1–7. [Google Scholar] [CrossRef]
- Liqiang, A.; Zhiqiang, Z.; Renmou, H.; Ronglun, Z.; Songling, P.; Cheng, L.; Wengang, Y. Dynamic response analysis of power transmission tower system under typhoon action. Vib. Shock 2017, 36, 255–262. [Google Scholar]
- Wenzhe, B.; Li, T. Study on collapse damage of transmission tower-line system under downburst flow. Eng. Mech. 2022, 39, 78–83. [Google Scholar]
- Yiqin, O.; Haifeng, C.; Deng, Y.; Guohua, C. Study on the power impact effect of ice-covered line dismantling in mountainous areas. J. Wuhan Univ. Technol. 2017, 5, 69–74. [Google Scholar]
- Roy, S.; Kundu, C.K. Design and analysis of transmission tower under wind loading. In Recent Developments in Sustainable Infrastructure; Springer: Berlin/Heidelberg, Germany, 2021; pp. 231–241. [Google Scholar]
- Qiang, X.; Jiguo, L.; Chengchong, Y.; Yong, Z. Wind tunnel test study on wind load transfer mechanism of 1000 kV UHV transmission tower system. Chin. J. Electr. Eng. 2013, 33, 109–116. [Google Scholar]
- Hongnan, L.; Haifeng, B. Wind (rain) induced vibration response and stability of power transmission tower line system. J. Civ. Eng. 2008, 41, 31–38. [Google Scholar]
- Yan, G.; Jingbo, Y. Wind load calculation method for transmission line towers in micro-terrain areas. Grid Technol. 2012, 36, 111–115. [Google Scholar]
- Chenguo, Y.; Yu, L.; Zehong, Z.; Chengxiang, L.; Lei, Z.; Zhou, Z. Reliability assessment of ice-covered transmission towers based on ultimate load carrying capacity analysis. High Volt. Technol. 2013, 39, 2609–2614. [Google Scholar]
- Lun, Y.; Wenjuan, L.; Yong, C.; Dong, Y. Transmission tower line system dance response characteristics test. J. Huazhong Univ. Sci. Technol. Nat. Sci. Ed. 2013, 11, 51–57. [Google Scholar]
- Chenguo, Y.; Feng, M.; Daolin, X.; Xiaoquan, L.; Zehong, Z.; Yujia, C. Mechanical properties of uneven ice-covered transmission tower line system. High Volt. Technol. 2011, 37, 3084–3092. [Google Scholar]
- Ra, H.; Li-Ming, W.; Pu-Xuan, Z.; Zhi-Cheng, G. Dynamic calculation of ice-shedding jumps on extra-high voltage lines. Chin. J. Electr. Eng. 2008, 28, 1–6. [Google Scholar]
- Junke, H.; Jingbo, Y.; Qinghua, L.; Fengli, Y. Ultra/Extra high voltage AC multiple transmission lines with the same tower for ice imbalance tension analysis. Grid Technol. 2011, 35, 33–37. [Google Scholar]
- Jakubovičová, L.; Sapietová, A.; Moravec, J. Static analysis of transmission tower beam structure. MATEC Web Conf. 2018, 244, 01011. [Google Scholar] [CrossRef]
- Tian, L.; Pan, H.; Qiu, C.; Ma, R.; Yu, Q. Wind-induced collapse analysis of long-span transmission tower–line system considering the member buckling effect. Adv. Struct. Eng. 2019, 22, 30–41. [Google Scholar] [CrossRef]
- Al-Bermani, F.G.; Kitipornchai, S. Nonlinear analysis of thin-walled structures using least element/member. J. Struct. Eng. 1990, 116, 215–234. [Google Scholar] [CrossRef]
- Xiaohui, L.; Lufei, Z.; Bo, Y.; Xiaoyan, Z. Dance mode analysis of continuous ice-covered conductors. J. Syst. Simul. 2016, 28, 8. [Google Scholar]
- Du, Y.X.; Lu, X.L. Study on the dynamic response of wind-induced ice shedding in power transmission tower line system. J. Hunan Univ. Nat. Sci. Ed. 2015, 42, 7. [Google Scholar]
- Lou, W.; Zhang, Y.; Xu, H. Analysis of the effect of ice and wind coupling on the dynamic tension and parameters of the de-icing of transmission lines. High Volt. Technol. 2022, 48, 1052–1059. [Google Scholar] [CrossRef]
- Ibrahim, A.M.; El Damatty, A.A.; Aboshosha, H. Dynamic behaviour of pre-stressed concrete transmission poles under synoptic wind loading. Adv. Struct. Eng. 2022, 25, 685–697. [Google Scholar] [CrossRef]
- Guohui, S.; Guanghui, Y.; Bingnan, S.; Yunxiang, H.; Wenjuan, L. Simulation of deicing of transmission lines considering deicing velocity effect. J. Chongqing Univ. Nat. Sci. Ed. 2010, 33, 7. [Google Scholar]
- Fu, X.; Li, H.N. Dynamic analysis of transmission tower-line system subjected to wind and rain loads. J. Wind. Eng. Ind. Aerodyn. 2016, 157, 95–103. [Google Scholar] [CrossRef]
- Mingxi, Z.; Bo, H.; Wentao, F.; Yu, W.; Lijun, F.; Kun, W.C. Influence of tower-line coupling factors on mechanical properties of high-voltage transmission tower-line structures under ice-cover loading and analysis. Chin. J. Electr. Eng. 2018, 38, 7141–7148+7440. [Google Scholar] [CrossRef]
- Khalid, H.M.; Ojo, S.O.; Weaver, P.M. Inverse differential quadrature method for structural analysis of composite plates. Comput. Struct. 2022, 263, 106745. [Google Scholar] [CrossRef]
- Kabir, H.; Aghdam, M. A robust Bézier based solution for nonlinear vibration and post-buckling of random checkerboard graphene nano-platelets reinforced composite beams. Compos. Struct. 2019, 212, 184–198. [Google Scholar] [CrossRef]

















| Model | Density/(kg/m3) | Modulus of Elasticity/(MPa) | Poisson’s Ratio | Yield Strength/(MPa) | Tensile Strength/(MPa) |
|---|---|---|---|---|---|
| Q345 | 7750 | 206,000 | 0.3 | 345 | 551 |
| Q235 | 7850 | 210,000 | 0.3 | 235 | 410 |
| Segment | Chord Member | Web Member | Segment | Chord Member | Web Member |
|---|---|---|---|---|---|
| 1 | L56 × 4 | L40 × 4 | 6 | L110 × 7 | L65 × 5, L50 × 4 |
| 2 | L70 × 5, L63 × 5 | L45 × 4 | 7 | L110 × 8 | L63 × 5, L56 × 4 |
| 3 | L75 × 5 | L45 × 3 | 8 | L110 × 10 | L56 × 4, L50 × 4 |
| 4 | L75 × 5, L70 × 6 | L45 × 3 | 9 | L110 × 10 | L56 × 4 |
| 5 | L75 × 5 | L45 × 4 | 10 | L125 × 20 | L63 × 5, L56 × 4 |
| Parameters | JLG1A-400/35 | JLB20A-120 |
|---|---|---|
| Cross-sectional area/(mm) | 423.20 | 120.61 |
| Outer diameter/(mm) | 26.90 | 14.25 |
| Mass per unit length/(kg·km−1) | 1347.50 | 810.00 |
| Modulus of elasticity/(MPa) | 65,000.00 | 148,100.00 |
| Rated breaking force/(kN) | 274.3 | 217 |
| 3# Tower Main Material Number | Self-Weighting without Wires/(N) | Wind Load without Conductor/(N) | Wind Load Axial Force Contribution | Self-Weighting with Wire/(N) | Wind and Ice Loads with Conductors/(N) | Axial Force Contribution of Wind and Ice Loads |
|---|---|---|---|---|---|---|
| 1 | −15,601.2 | 26531 | 62.97% | −298,136 | −278,609 | 7.01% |
| 2 | −15,757.9 | −58,197.5 | 72.92% | −293,839 | −392,093 | 25.06% |
| 3 | −15,679.4 | −57,466.3 | 72.72% | 267,660 | 247,628 | 8.09% |
| 4 | −15,657.5 | 27,192.6 | 63.46% | 264,024 | 364,672 | 27.60% |
| Group Name | Stall Spacing | Stall Spacing | Elevation Difference | Elevation Difference |
|---|---|---|---|---|
| Group 1 | 350 m | 350 m | 0 m | 0 m |
| Group 2 | 350 m | 350 m | 19.8 m | 48.6 m |
| Group 3 | 198.3 m | 514.6 m | 19.8 m | 48.6 m |
Disclaimer/Publisher’s Note: The statements, opinions and data contained in all publications are solely those of the individual author(s) and contributor(s) and not of MDPI and/or the editor(s). MDPI and/or the editor(s) disclaim responsibility for any injury to people or property resulting from any ideas, methods, instructions or products referred to in the content. |
© 2023 by the authors. Licensee MDPI, Basel, Switzerland. This article is an open access article distributed under the terms and conditions of the Creative Commons Attribution (CC BY) license (https://creativecommons.org/licenses/by/4.0/).
Share and Cite
Song, H.; Li, Y. Dynamic Response Modeling of Mountain Transmission Tower-Line Coupling System under Wind–Ice Load. Buildings 2023, 13, 828. https://doi.org/10.3390/buildings13030828
Song H, Li Y. Dynamic Response Modeling of Mountain Transmission Tower-Line Coupling System under Wind–Ice Load. Buildings. 2023; 13(3):828. https://doi.org/10.3390/buildings13030828
Chicago/Turabian StyleSong, Haoran, and Yingna Li. 2023. "Dynamic Response Modeling of Mountain Transmission Tower-Line Coupling System under Wind–Ice Load" Buildings 13, no. 3: 828. https://doi.org/10.3390/buildings13030828
APA StyleSong, H., & Li, Y. (2023). Dynamic Response Modeling of Mountain Transmission Tower-Line Coupling System under Wind–Ice Load. Buildings, 13(3), 828. https://doi.org/10.3390/buildings13030828

