Abstract
Taking Haixin Bridge as an example, the structural response of a new type arch bridge composed of an inclined arch and a curved beam under cable breaking is analyzed numerically. The cable breaking at different positions, different numbers of broken cables and different ways of breaking are modeled and calculated, and the remaining cables’ internal force and main girder’s deflection are selected as research indexes to evaluate the degree of impact effect of broken cables on the bridge. The numerical results show that (1) duration time of cable breaking is an important factor affecting the impact effect of the bridge, when the cable breaking time is less than 1% of the first order natural vibration period of the structure, the dynamic response caused by cable breaking no longer variates with time; (2) for the cables adjacent to the breaking cable at equal distances, the cable with a shorter length will carry more released force of breaking cable than the longer, and the impact effect is more significant; (3) the dynamic response of displacement and cable force caused by cables at different locations are different, a cable located in the L/4 arch rib area suddenly breaking shows the largest dynamic response; (4) it is feasible to take the dynamic amplification factor (DAF) of cable force and the main girder’s deflection as 2, but it is unsafe to take the DAF of the arch rib’s deflection as 2; (5) the dynamic response of multiple cables breaking at the same time cannot be simplified as a linear superposition of single cable breaks one by one, and the amplification effect becomes more significant with the increase of the number of broken cables. These conclusions can provide guidance for structural safety assessment of similar arch bridges after cable breakage.
1. Introduction
Arch bridges are extensively used for bridge projects with their unique structural motifs and excellent mechanical characteristics. However, in the case of aging bridges in long-term operation, previous design criteria and structural optimization have not achieved a certain level of robustness [1]. As a result, aging bridges are at risk of the safety hazard of collapse damage following failure of local components due to external factors [2]. The numerical simulation of progressive collapse of bridges under different extreme accidents has been investigated by current scholars [3,4,5,6,7]. In order to clarify critical loaded members and provide a basis for theoretical analysis to investigate the causes of collapse, a virtual scenario of the collapse of a bridge is accurately reproduced in this study.
Considering cables are the key components of cable-supported arch bridges, they play an important role in transmitting the load of the main girder to the arch ribs. However, due to environmental erosion [8], vehicle-bridge coupling vibration [9], fire accidents [10], and accidental impacts [11] while in operation, the cables may undergo constant damage, or even break suddenly, which is one of the crucial causes of progressive collapse which cannot be overlooked.
In recent years, numerous unforeseen bridge collapses have occurred while in operation owing to cables accidentally snapping in succession. For instance, on 11 November 2001, Sichuan Yibin South-Gate Bridge, the short cables were exposed to a corrosive environment for an extended period of time resulting in four pairs of eight cables rupturing at the base of the arch (Figure 1a). On 14 July 2011, Fujian Wuyishan Bridge suffered from a continuous collapse of single-span cables due to the presence of multiple overloaded vehicles (Figure 1b). On 29 October 2014, nine cables on the single side of the pylon on Hunan Chishi Bridge experienced a fire accident and burned off one after another before its girder was closed (Figure 1c). On October 2019, overall collapse from a successive cable breakage occurred on the Taiwan Nanfang’ao Bridge; the cause of accident was insufficient redundancy leading to the adjacent cables unable to withstand the impulse (Figure 1d). As can be seen from the above examples, the occurrence of cable breaking accidents threatens the stability and safety of the entire structure. Therefore, it is necessary to analyze the effects of cable-loss scenarios through the numerical simulation of different bridge types.
Figure 1.
Scene of the cable breaking accident. (a)South-Gate Bridge, Sichuan; (b) Gongguan Bridge, Fujian; (c) Chishi Bridge, Hunan; (d) Nanfang’ao Bridge, Taiwan.
At present, degradation rules in structural loading-bearing capacity after cable failure, has become a research hotspot, and some scholars have uncovered dynamic responses of cable loss by means of indoor models’ cable-breaking simulation experiments.
Chen et al. [12] conducted an experiment on the combustion of HDPE cables at various tilt angles (18°, 24°, and 30°) and found that the degree of burning, flame height, and flame propagation rate of the cables increased with the increment of cable inclination angle. Chen et al. [13] fabricated a 1:6.4 scale model of a concrete-filled steel tubular arch bridge, carried out cable fracture simulation tests, and adopted ANSYS/Ls-dyna software to perform numerical simulation of cable fracture for half-through and through concrete-filled steel tubular arch bridges with different spans and summarized the reasonable dynamic coefficients. Ma et al. [14] designed a cable-stayed bridge segment model with a scale ratio of 1:40 to analyze the tendency of static performance degradation under cable breakage and local damage to the girder. Lu et al. [15] fabricated a planar truss string structure with a 6 m span, through which the bottom cable of sudden rupture experiments show that the plastic strain first appeared in the bottom chord in the span, followed by the successive buckling of the upper chord and web, and finally full collapse occurred. Vu Hoang et al. [16] studied the sudden impact of a heavy object on 16 steel strands at different shock locations and under different initial stresses to obtain the dynamic response of cables when subjected to lateral impulse power.
Some scholars have investigated the influence on different types of bridges subjected to the impulse response of cable breaking using finite element numerical simulation. Zhang et al. [17] studied the structural response of a long-span cable-stayed bridge to cable loss during construction; and the static performance of the Chishi Bridge when subjected to multiple cable loss caused by a fire accident was investigated in detail by field inspection and finite element simulation. Qiu et al. [18] studied the effects of local vibration of the main cable, flexural stiffness of the main cable, the mass of the clamp, model damping ratio, and initial state of the hanger stress on the dynamic response of a suspension bridge caused by suspender cables breaking. Wu et al. [19] studied the dynamic response of a suspension bridge to sudden rupture of a single cable under different cable corrosion levels and then studied the response to different numbers of corroded cables. Wang et al. [20] investigated the variations in acceleration and displacement of a train and bridge deck of a cable-stayed bridge after the sudden breaking of the stay cable while the train was traveling. Ruiz-Teran et al. [21] carried out a full dynamic response analysis of broken cables for a cable-stayed bridge with tension cables below the girder slab, where the number of broken cables and the active traffic load were used as parameters to analyze whether this type of bridge can withstand two-fifths of its cables being broken. Cai et al. [22] improved four analytical methods for consideration of the initial state: linear static, nonlinear static, linear dynamic, and nonlinear dynamic methods, and simulated cable failure using the alternating path method. Mozos et al. [23,24] established a finite element modeling of 10 cable-stayed bridges and simulated analysis of broken cables by varying the parameters of local components, such as number of cable planes, cable type, girder section thickness, girder stiffness, etc. Yukari Aoki et al. [25] investigated the influence of the load position, broken cable position, damping ratios, and geometric nonlinearity on the ability of a cable-stayed bridge to gradually collapse. Zhou et al. [26] studied the variation rule of shock response of long-span cable-stayed bridges to sudden cable break under random traffic load, wind load excitation, and wind-vehicle-bridge coupling. Wolff et al. [27] argued that the dynamic amplification factor (DAF) recommended by the code, which is 2, was too large, and suggested that the dynamic amplification factor is determined by looking at structural damping, transverse vibration, and cable sag. Niel soto et al. [28] proposed a multi-model optimization scheme to obtain the minimum amount of steel used in the cables when considering the impact of broken cables.
The above literature review reveals that although there have been some research studies on the dynamic response of structure to cable breaking, these are not sufficient. The objects of these existing studies are mostly conventional bridges, while the force transmission mechanism of the special-shaped arch bridge composed of an inclined arch and a curved beam are more complex, and there are few studies on the impact effect of cable breaking on such bridges. Therefore, using Haixin Bridge in Guangzhou as the engineering background, the impact effect of cable breaking for a new type of arch bridge is studied by finite element simulation. The effects of cable position, number of broken cables and different failure modes on the bridge’s dynamic response including cable force, deflection of girder, and DAF are investigated in detail.
2. Project Background
Haixin Bridge, spanning across the Pearl River in Guangzhou, China, is a typical composite bridge composed of an inclined arch and a curved beam, as illustrated in Figure 2. It is a new type half-through arch bridge with a 10° inclined arch rib and a curved beam. The bridge has a total length of 305 m with a main span of 166 m and two side spans of 53.5 m. The axis of the arch is a quadratic parabola in the plane with a span length of 196 m and rise of 56 m. The widths of the arch sections are 6.5 m at arch ends and 4.2 m at the crown, respectively, which vary according to a circular curve. The arch is filled with C60 concrete in all chambers below the curved beam. The bridge deck is divided into east and west parts, where the slow-walkway on the east side is 273 m in length and the quick-walkway area on the west side for running and cycling is 250.4 m in length. The cross sections of the arch and the girder are shown in Figure 3. The materials of the main girder and arch rib are Q370qD whose yield stress is 370 MPa. A total of 23 suspender cables are used to support the girder longitudinally, all of which use GJ15-19 type steel strand with an ultimate tensile strength of 1,860 MPa, and the cross-section diagram of the cable is shown in Figure 4.
Figure 2.
Layout of Haixin Bridge (Unit: m). (a) Elevation view; (b) Plan view.
Figure 3.
Cross section dimensions (Unit: m). (a) Section of arch end; (b) Section of arch crown; (c) Section of mid-span girder; (d) Section of side-span girder.
Figure 4.
Cross-section diagram of suspender cable.
3. Description of the Numerical Modeling and Analysis
3.1. Material Properties and Load
The mechanical properties of the materials used in Haixin Bridge are shown in Table 1.
Table 1.
Mechanical properties of the materials.
The main purpose of this research is to study the dynamic impact response of the remaining structure to cable breaking. Therefore, the finite element model only considers the first-phase dead load and second-phase dead load which have a great influence on the internal force of the structure. The first-phase dead load includes the self-weight of the arch rib, main girder, filled concrete, and suspender cables. The second-phase dead load includes the weight of the railings, bridge deck pavement, and saddle weight in the side span.
The weight of the railings is 5.8 kN, 5 kN, and 20 kN, respectively, applied on the flange diaphragm, the web of the main beam and the anchorage point of the girder and cable. The weight of the pavement is 2.8 kN/m2, 7.5 kN/m2 and 11 kN/m2, respectively, imposed on the position of the quick-walkway, the viewing platform, and the slow-walkway. The saddle weight applied to the side span is 863.97 kN.
There are 23 suspender cables in total, from south to north, the cables are numbered from 1# to 23# as shown in Figure 5.
Figure 5.
Cable numbering diagram.
3.2. Description of the FE Modeling
A cable-breaking reaction involves high transient change on internal forces and structural matrix, making it difficult to simulate this dynamic incidence. Finite element software ANSYS with excellent transient analysis function is used to model and simulate the background bridge. Figure 6 shows the outline of the FE model.
Figure 6.
Finite element model.
A SHELL181 element is applied to the main girder and diaphragm plate, and the stiffening ribs of the girder are equivalent to plate thickness. A BEAM188 element is applied for the arch rib. LINK10 element is applied for the suspender cables. The weight of the railings is modeled by using MASS21 element added at the corresponding position. The weight of the pavement and saddle weight are applied using distributed load on the bridge deck.
The boundary conditions of the FE model used fixed-arch ends, a simply supported girder and the cables were hinged to the anchorage points on the girder and the arch rib. The joint position between the arch and girder is modeled by coupling DOFS of nodes. In this numerical model, the bridge is completed after only one construction stage, and no cable force adjustments are considered. The calculated cable force after construction under dead load is shown in Figure 7.
Figure 7.
Calculated cable force after construction.
3.3. Selection of Cable Breaking Time
The breaking of a cable causes a dynamic load whose magnitude varies depending on the breaking time from the load acting on the anchorages of the cable before its rupture to zero. The breaking time is one of the parameters that must be adequately considered in the dynamic analysis to obtain an accurate response of the structure.
Mozos et al. [29] studied the role that breaking time plays in the response of the structure from a theoretical and a numerical perspective, and found that the average breaking time observed is 0.0055 s for undamaged wires and 0.00375 s for those with local damage. Qiu et al. [30] introduced the cable force loss function and the failure time Δt to discuss the change of the maximum dynamic response value of the remaining structure under the impact of cable breaking. Shao et al. [31] pointed out that if the breaking duration is less than 1.0 s, the dynamic response curves almost coincide, and the maximum response is consistent.
Due to the different structural forms and force transmission modes in different types of bridges, the influence of the breaking time of cable on the structural dynamic response also differ. A parametric analysis is conducted in this section to study the suspender cable breaking time on the dynamic response of the new type arch bridge composed of an inclined arch and a curved beam, and the worst cable breaking time is selected.
Without loss of generality, the cable breaking time is presented as the function of the natural vibration period. 2 T, T, T/2, T/10, T/20, T/50, T/100, T/300, and T/500 are selected as the breaking time to conduct a finite element parametric analysis, where T is the first order vertical vibration period. Modal analysis of the Haixin Bridge is conducted by using ANSYS 18.0 software, and the first five order natural frequencies, periods, and modal shapes are shown in Table 2.
Table 2.
First five order natural frequencies, periods, and modal shapes.
As the first order modal of the bridge is characterized by the symmetric vertical bending of the girder, the first natural vibration period is selected as the most significant mode vibration period T dominated by vertical vibration. Cable 12# is selected as the breaking cable to carry out the parametric analysis on the breaking time of a suspender cable.
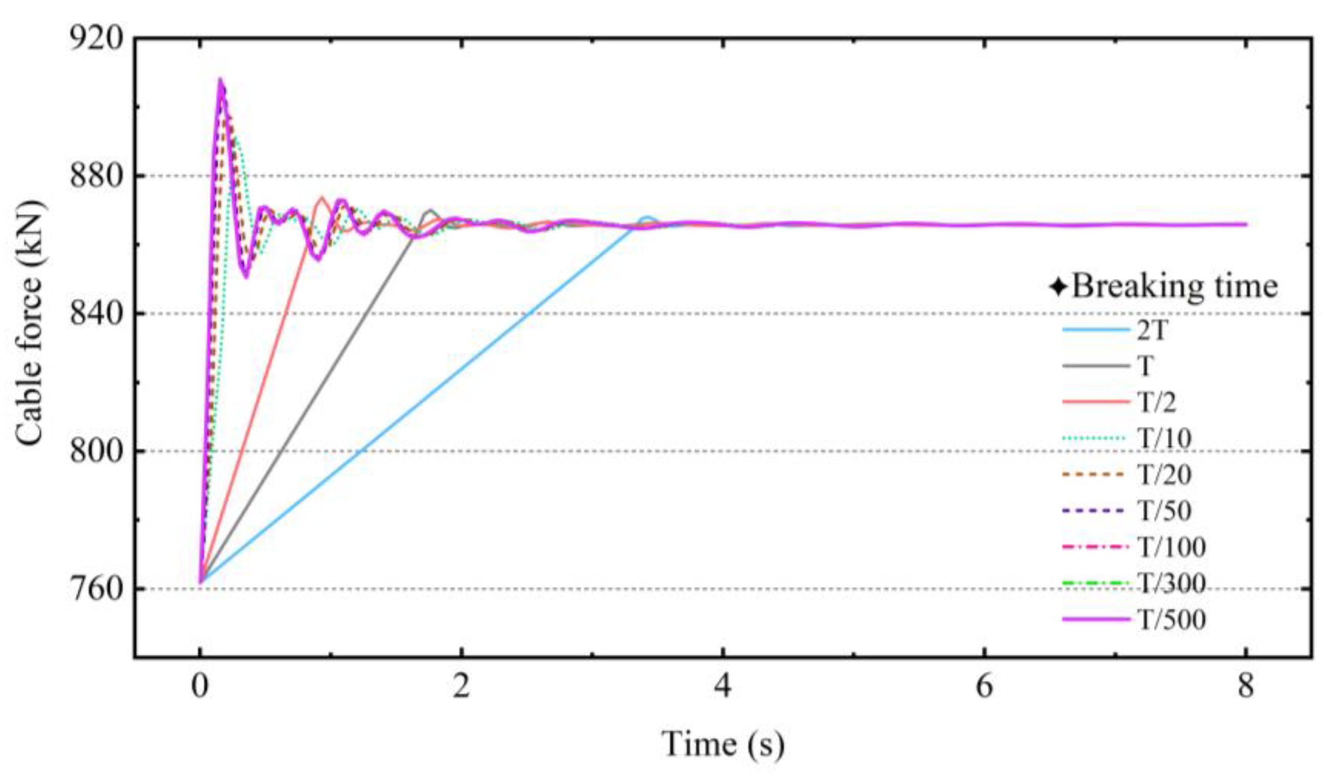
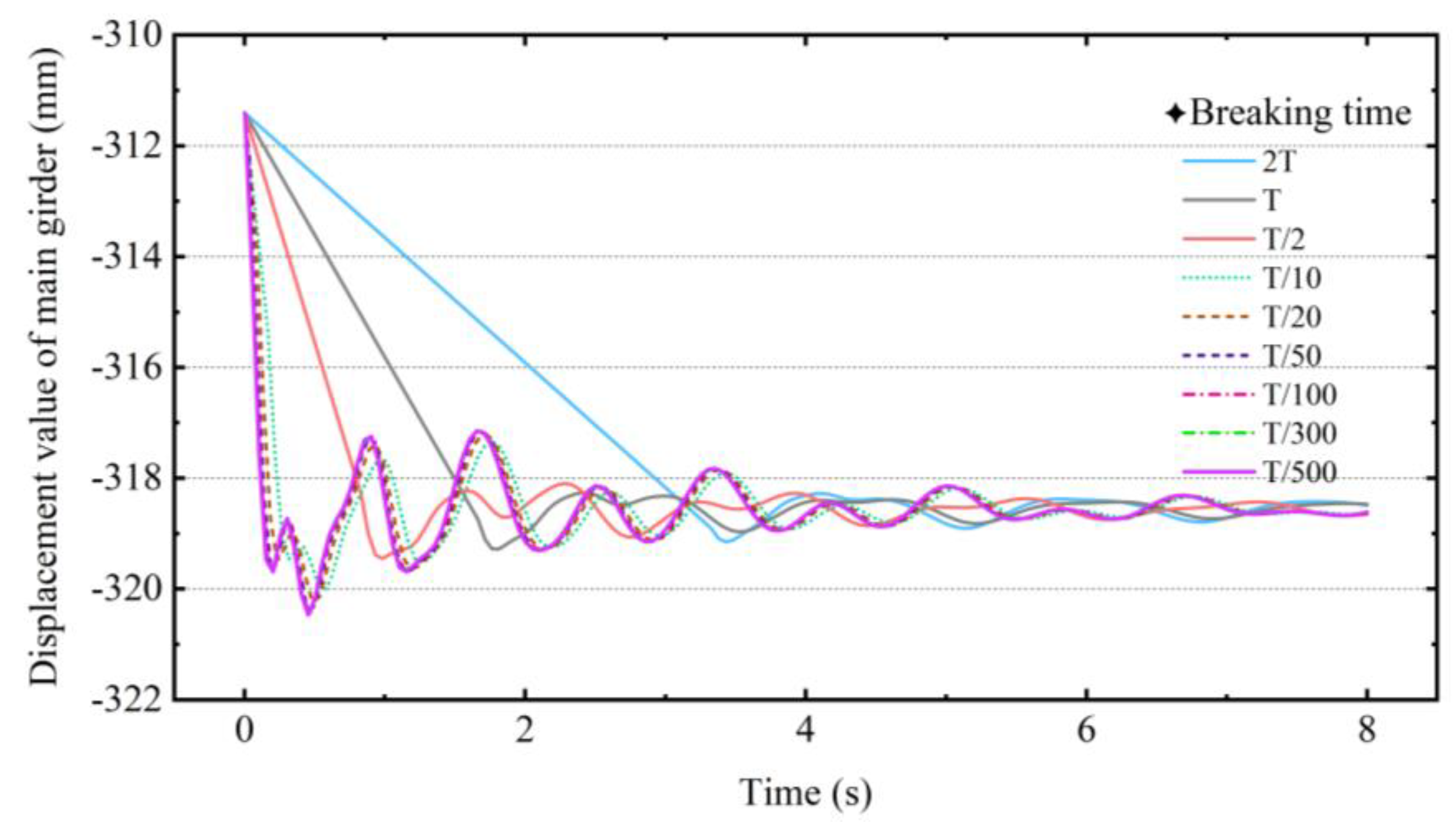
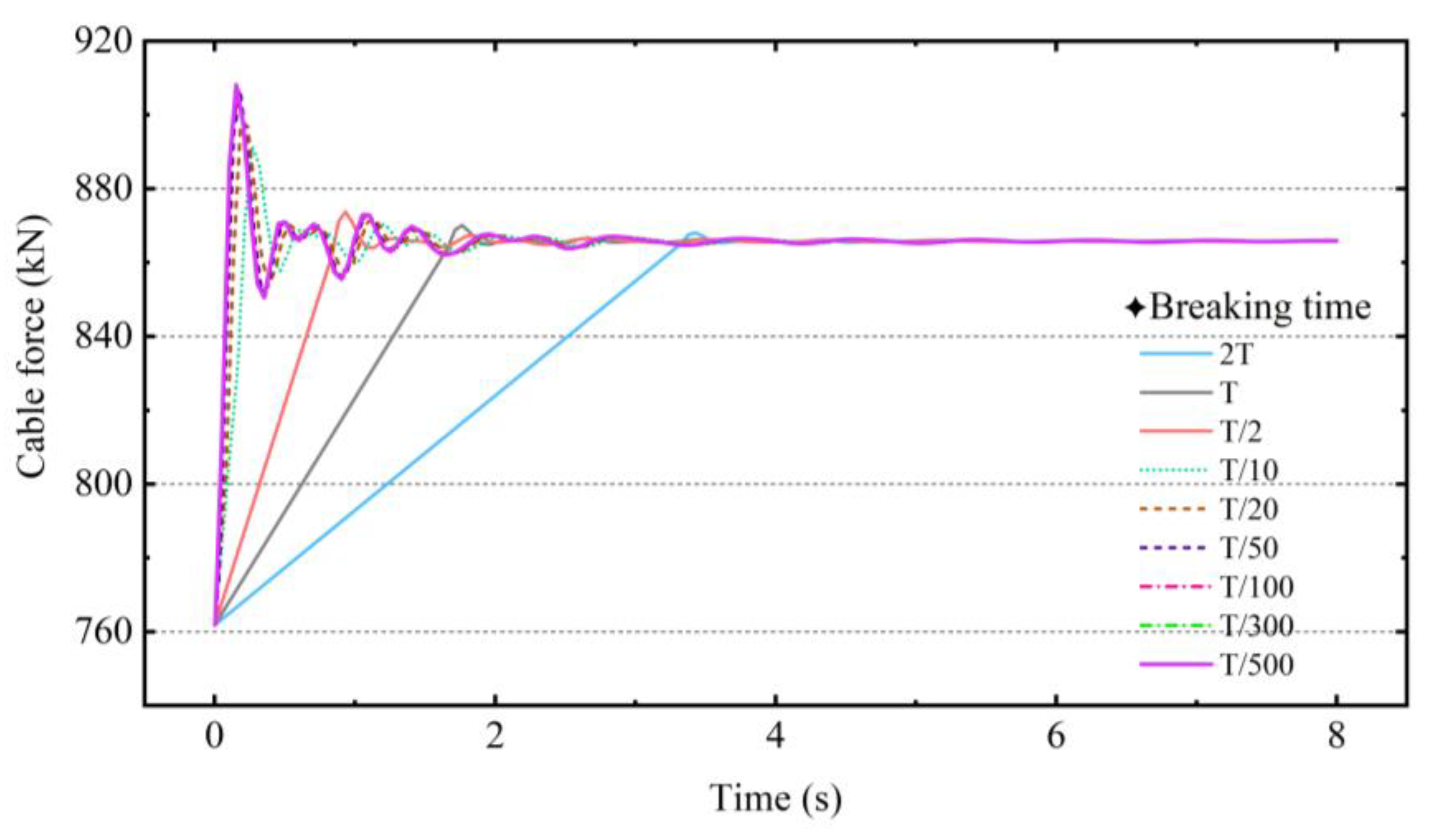
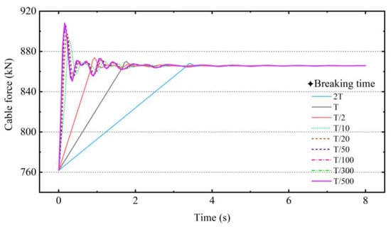
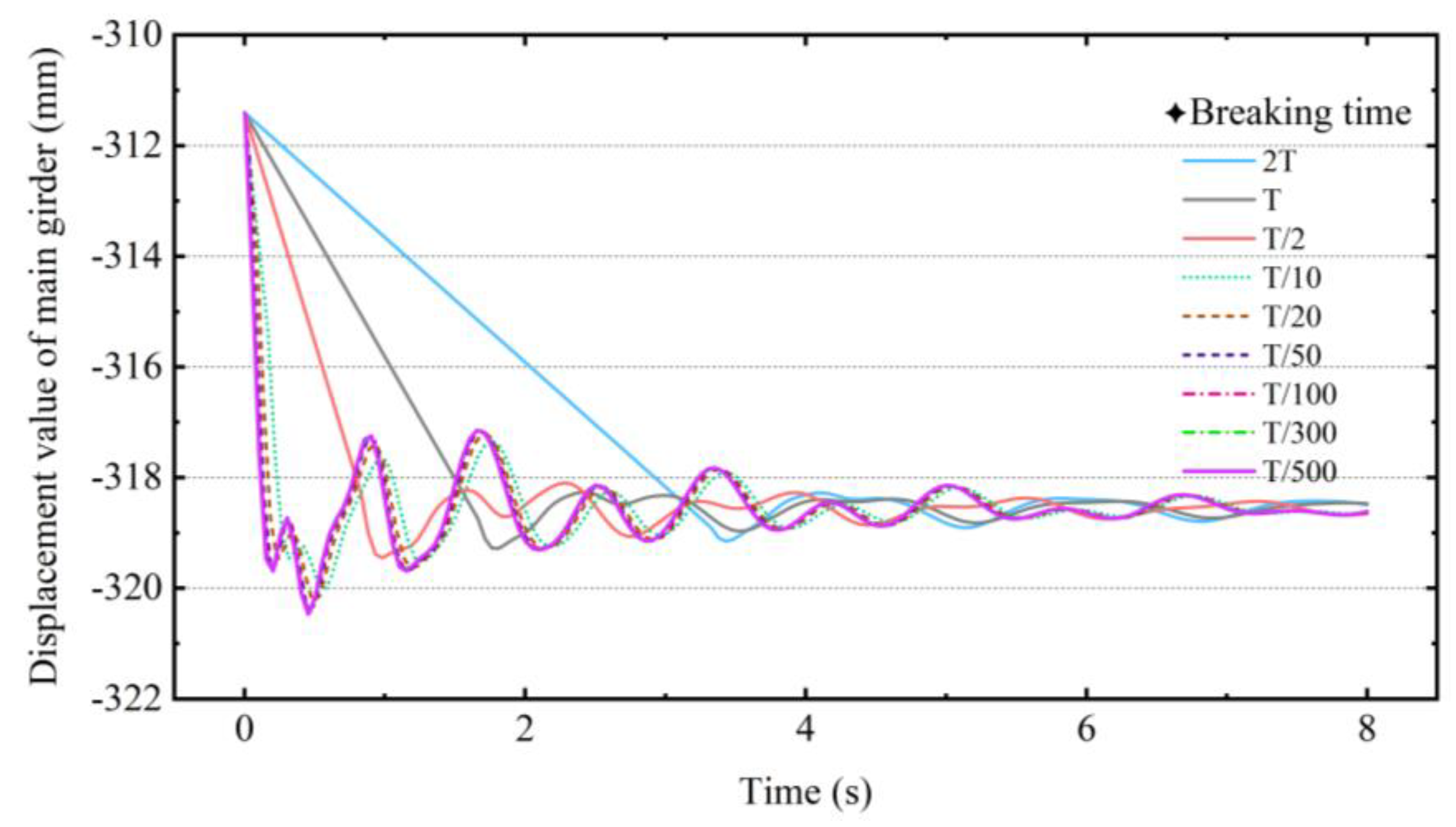
Figure 8 shows the internal force time history of cable 11# after cable 12# ruptured with a different breaking time; Figure 9 shows the deflection time history of the anchorage point between cable 12# and the girder after cable 12# ruptured with a different breaking time. From the figures, it can be seen that the fluctuation of cable force and girder’s deflection becomes smaller with the increase of cable breaking time. When the cable breaking time is 2 T, T and T/2, the fluctuation of cable force and deflection tends to be gentle, and the maximum value of dynamic response is nearly equal to the static response, which weakens the impact effect caused by the cable sudden break. When the cable breaking time is T/100, T/300 and T/500, the time history curves of cable force and girder’s deflection are nearly the same. That is to say, the dynamic response caused by cable breaking no further variates with time when the breaking time is less than 1% of the first order natural vibration period of the structure. In terms of the efficiency of numerical simulation, T/300 is chosen as the cable breaking time in this paper, that is, 0.0055 s.
Figure 8.
Force time history of cable 11# after cable 12# has broken.
Figure 9.
Deflection time history of 12# cable’s anchorage point on the girder after cable 12# has broken.
3.4. Selection of Structural Damping
The sudden breaking of the suspender cable will lead to reciprocating vibrations in the whole structure, the vibration energy of the structural system will be consumed due to the existence of damping, and the dynamic response of the remaining structure will eventually decay to a stable state. Therefore, when conducting a dynamic time-history analysis of cable breaking, a reasonable damping value will improve the accuracy of the simulation and reflect the true rule of the dynamic response of the bridge after sudden cable failure. In this paper, the widely used Rayleigh damping is used as the proportional viscous structure damping, the expression the damping is as follows [32]:
where: α is the coefficient of mass matrix, β is the coefficient of stiffness matrix, [M] is the mass matrix, [K] is the stiffness matrix, ωi is the ith modal frequency, ωj is the jth modal frequency, ξ is the damping ratio.
In this paper, the first and second order natural frequencies are used to calculate coefficients α and β, and according to “Specifications for seismic design of highway bridges” [33], the damping ratio of this bridge is set to 0.03.
3.5. Simulation Steps of Cable Breaking
Finite element software ANSYS is used to conduct numerical simulation, the simulation steps are as follows: 1. Perform modal analysis to obtain the first and second order modal frequencies, then substitute them into Equations (2) and (3) to calculate the mass matrix coefficient a and stiffness matrix coefficient b. 2. Close time integration effect and apply acceleration of gravity, open stress hardening effect. Perform transient analysis to obtain the initial state of the arch bridge before cable breaking under self-weight and secondary dead weight. 3. Open time integration effect, using “birth-death” function of element in ANSYS software to kill the element of broken cable in 0.0055 s. 4. Set enough load substeps to perform transient analysis until the obtained dynamic response becomes stable.
4. Analysis of the Structural Response Caused by a Single Cable Breaking
The cable at different locations bears different degrees of dead and live loads on the bridge deck system, so the overall structural stiffness changes caused by cable breaking at different locations are different, and the final impact on the static and dynamic response trends of the remaining members are also different. In this section, the single cable at typical locations including the long cable in the mid-span area, the moderate-length cable in the L/4 arch rib area, and the short cable in the arch end area are selected as the proposed broken cable for the finite element simulation. The following six cases of single cable breaking are selected: ① Cable 1# (arch end area) breaking; ② Cable 2# (arch end area) breaking; ③ Cable 6# (L/4 arch rib area) breaking; ④ Cable 7# (L/4 arch rib area) breaking; ⑤ Cable 11# (mid-span area) breaking; ⑥ Cable 12# (mid-span area) breaking.
4.1. Dynamic Response of Cable Force
Since abrupt cable breakage only has a large impact on the neighboring cables [13,19], Figure 10 presents the cable force variation of six cables near the failed cable 3 s after a single cable breaks.
Figure 10.
Variation of the neighboring cables’ force after a single cable at different positions breaking. (a) Cable 1# breaking; (b) Cable 2# breaking; (c) Cable 6# breaking; (d) Cable 7# breaking; (e) Cable 11# breaking; (f) Cable 12# breaking.
It can be seen from Figure 9 that the dynamic response caused by single cable breakage at different locations is different, and the closer the cable to the broken cable, the more force will be distributed to resist the structural deformation caused by the impact effect of cable breakage. At the moment of breakage, the neighboring cable force has a steep surge process; after reaching the maximum dynamic response, the force change curve oscillates up and down, and after 3 s of breakage the force variation is less than 1 kN, that is, the impact response caused by the breakage tends to a stable state.
For different typical locations under the impact of broken cables, only the neighboring cable with the largest incremental value of static and dynamic response of the cable force is analyzed. For the abrupt breakage of the short cable in the arch end area, the maximum force increment of the adjacent cable 2# caused by the breakage of cable 1# is 82.72 kN, and the final force variation is stabilized at 60.46 kN. Compared with the initial cable force before breakage, the increment percentages of maximum dynamic response and static stability value for cable 2# are 8.9% and 6.5%, respectively. For the abrupt breakage of the middle length cable in the L/4 arch rib area, the maximum force increment of the adjacent cable 5# caused by the breakage of cable 6# is 211.43 kN, and the final force variation is stabilized at 151.59 kN. Compared with the initial force before the breakage, the maximum dynamic response and static stability value of cable 5# are 21.2% and 15.2%, respectively. For the sudden breakage of the long cable in the mid-span area, the maximum force increment of the adjacent cable 10# caused by the breakage of cable 11# is 155.13 kN, and the final change of the cable force is stabilized at 110.81 kN. Compared with the initial cable force before the breakage, the increment percentages of the maximum dynamic and static stability value for cable 10# are 19.2% and 13.7%, respectively.
The impact response caused by the abrupt breakage of the moderate-length cable in the L/4 arch rib area is larger than the other two areas, and the cable force increment ratio of the neighboring cables near the broken cable is also the largest. The cable force released after the breakage of the cable in this area needs more transmission paths to share the corresponding load-bearing capacity. It can also be found that, considering the cable force distribution ratio of the neighboring cables with the same distance at the left and right sides of the broken cable, the cable force redistribution ratio of the shorter cable is larger than that of the longer one. For example, after the abrupt breakage of cable 6#, the maximum cable force increment of cable 5# is 12.93 kN larger than that of the value of cable 7#. In the actual engineering construction and maintenance, the cable damage or breaking should give priority to the neighboring cable with shorter length to meet the requirements of the cable-bearing capacity.
Figure 11 shows the maximum dynamic and static stresses of the remaining cables after the breakage of the cable in different typical areas. In this figure, σdyn represents the maximum dynamic stress of the remaining cable after breakage, and σst represents the static stress value of the remaining cable after breakage when it finally reaches the steady state. As shown in Figure 10, after the breakage of a single cable, the cable forces of the whole bridge cause stress redistribution in different proportions, and the impact effect of the broken cable decreases with the distance from the broken cable. Comparing the whole bridge cable stress changes after sudden breakage of cables at three typical locations, the maximum dynamic and static stresses of the neighboring cable caused by the sudden breakage of the cable in L/4 arch rib area is the largest. So detailed analysis should be focused on the cable damage or breaking on this location to improve the safety factor of the cable in this area. According to the “Technical Specification for concrete-filled steel tubular arch bridge” [34], in order to reduce the stress amplitude in the cable and improve its safety, a safety factor of 3.0 is taken, and steel strand with a tensile strength of 1,860 MPa is adopted as per the cable of Haixin Bridge and the admissible stress of the cable is 620 MPa. Under the six kinds of breaking conditions in this paper, the stress of the whole bridge’s cables considering the impact of the cable breaking does not exceed the design’s admissible stress, which shows that the sudden breakage of a single cable at different locations does not cause successive breakage of neighboring cables.
Figure 11.
Stress of remaining cables after cable breaking in different typical areas. (a) Abrupt break of cable 1# and 2#; (b) Abrupt break of cable 6# and 7#; (c) Abrupt break of cable 11# and 12#.
Table 3 shows the comparison of the total cable force increment of remaining cables after cable breakage and the released amount of the broken cable. Due to the symmetrical structure of the bridge, only half of the cables are listed. From this table, it can be seen that the sum of the remaining cables’ force caused by the sudden breakage of a cable in the area from the L/4 arch rib to the middle of the span is close to the released cable force of the corresponding broken cable. This indicates that most of the broken cable’s forces in this area are redistributed to the remaining cables according to the principle of internal force redistribution. However, after the five cables near the arch end break, the sum of the remaining cables’ force is smaller than the released force of the broken cable, and the corresponding difference between cable 1# and cable 2# is more than 500 kN, which is because part of the force of the broken cable in this area is distributed to the remaining cables according to the principle of internal force redistribution and the rest is directly transferred to the arch rib through the arch-beam joint.
Table 3.
Comparison of the total cable force increment of remaining cables.
4.2. Deflection Response of Main Girder
Figure 12 shows the variation of the main girder’s deflection after the breakage of the cable at different locations. Ddyn indicates the maximum dynamic deflection of the main girder after cable breakage, and Dst indicates the static deflection of the main girder when it reaches the stable state after the cable breaking. It can be seen that the deflection change of the main girder near the broken cable area is the largest, shown as the extreme point on the deflection curve, selecting the anchorage point of the main girder at the broken cable as the center point, the deflection change value shows the decreasing trend of “V” to both sides. The deflection of the main girder caused by the sudden breakage of the cable at the L/4 arch rib is relatively large, for example, after the sudden break of cable 7#, the static deflection and the maximum dynamic deflection of the main girder are 9.179 mm and 11.554 mm, respectively. As shown in Figure 12a, the variation of deflection of the main girder caused by the sudden break of cable 1# at arch end is less than the value at other positions, which is due to the supporting effect of the arch end.
Figure 12.
Deflection change curve of main girder after cable breakage at different positions. (a) Cable 1# break; (b) Cable 2# break; (c) Cable 6# break; (d) Cable 7# break; (e) Cable 11# break; (f) Cable 12# break.
4.3. Sensitivity Assessment of Impact Effects
Under actual conditions, it is a more complex and time-consuming work to analyze the dynamic response of cables broken for every bridge, so it is necessary to introduce the dynamic amplification factor (DAF) as a simplified index to assess the sensitivity of the remaining structure to the impact effects of broken cables, which is defined in the following equation:
where: is the absolute value of the maximum dynamic response of the remaining structure in the dynamic time history analysis of the arch bridge subjected to cable breaking. is the initial state values of the bridge before cable breaking. is the stability value of the remaining structure after cable breaks when it reaches its final resting state.
Figure 13 shows the DAF values of the remaining members after the cable breaking at different locations. In this figure, F represents the DAF of the remaining cable’s force; ZLD represents the DAF of the deflection at the anchorage point of the main girder and the cable; GLD represents the DAF of the deflection at the anchorage point of the arch rib and the cable. The further away from the broken cable area, the smaller the change in its cable force and deflection; only the DAF values of the members within the area of 4–5 cables adjacent to the broken cable are considered in this paper. As can be seen from Figure 12, the DAF of the remaining cable’s force after the cable breaking is between 1.35 and 1.78, and the DAF of the main girder’s deflection is between 1.22 and 1.88, which are both less than the requirement of code (DAF of 2) from PTI [35]. Therefore, it is conservative to use the DAF values specified in the code to calculate the impact effects of the cable force and main girder’s deflection. It can also be observed that the DAF value of the anchorage point’s deflection of the arch ribs is greater than 2 after the cable abruptly breaks in the L/4 arch rib and mid-span area, and the range of DAF values is from 1.15 to 2.81. Therefore, it is unsafe to simulate the impact effect of the anchorage point’s deflection of the arch ribs by the pseudo-dynamic method with the DAF of 2 specified in the code.
Figure 13.
DAF of the remaining members after cable breaking at different positions. (a) Abrupt breakage of cable 1# and 2#; (b) Abrupt breakage of cable 6# and 7#; (c) Abrupt breakage of cable 11# and 12#.
5. Analysis of the Structural Response Caused by Double Cable Breaking at Different Positions
On the basis of the cable breaking cases in the previous subsection, consider the situation of two adjacent cables breaking simultaneously and successively, the specific cable breaking cases are as follows: (1) Cable 1# and cable 2# break simultaneously and successively; (2) Cable 1# and cable 2# break successively; (3) Cable 6# and cable 7# break simultaneously; (4) Cable 6# and cable 7# break successively; (5) Cable 11# and cable 12# break simultaneously; (6) Cable 11# and cable 12# break successively. Note that simultaneous cable break is simulated in transient analysis by “killing” two cables at the same time. Cable break simultaneously is simulated in transient analysis by “killing” the second cable 3 s after the first cable breaks and the breaking sequence is broken successively according to the length of the cable from short too long. This setting is based on the time history curve of cable force from the previous section; 3 s after the breakage of the adjacent cable, the cable force decays to a static stability value.
5.1. Dynamic Response of Cable Force
Figure 14 shows the variation curves of the remaining cable’s force after double cable breaking at different locations. From Figure 14a,c,e, it can be found that the impact response generated by the cable breakage in different areas is different, and the increment of dynamic response and static stability value of the adjacent cable’s force after the two cables breakage in the area of L/4 arch rib is the largest. From Figure 14b,d,f, it can be observed that two cables break successively in different areas. The neighboring cables have two sections with a steep surge of force, and the maximum force increment of the neighboring cables during the whole breaking process is smaller than that of the simultaneous breaking, but the final stable force of the remaining cables under both breaking conditions is basically equal, that is, the redistribution ratio of the remaining cables is approximately the same.
Figure 14.
Variation of the neighboring cables’ force after the breakage of two cables at different positions. (a) Cable 1# and cable 2# break simultaneously; (b) Cable 1# and 2# break successively; (c) Cable 6# and 7# break simultaneously; (d) Cable 6# and 7# break successively; (e) Cable 11# and 12# break simultaneously; (f) Cable 11# and 12# break successively.
Table 4 shows the comparison of the maximum dynamic force increment and static force increment of the remaining cable under different breaking conditions. In this table, only the neighboring cable with the largest increase in force in the broken area is analyzed, and three working conditions are compared including single cable breakage, and two cables breaking simultaneously and successively. As can be seen from the table, the maximum dynamic response increment ratio of the remaining cable at the arch end is 1.08, and the value at the other two areas is 1.15. It can also be seen that the impact response from the simultaneous breakage of two cables at different locations is more significant than that of the successive breakage.
Table 4.
Incremental ratio of dynamic and static response under different breaking conditions of the remaining cables’ force.
Comparing the cable force response for the two conditions of simultaneous breakage of two cables and single cable breakage, the ratio of incremental dynamic response for simultaneous breakage of short cables and single cable breakage in arch end area is 1.59. The ratios are 2.17 and 2.13 at L/4 arch rib area and mid-span area, respectively, and the ratio of incremental static response is not much different from the ratio of incremental dynamic response. For successive breakage of two cables, the ratio of incremental dynamic response for successive breakage of short cables and single cable breakage in arch end area is 1.46, and the ratios are 1.89 and 1.84 at L/4 arch rib area and mid-span area, respectively.
Based on the static and dynamic response of the neighboring cable after a single cable break, the static and dynamic response of the neighboring cable after two cables breaking can be considered by the ratio of the incremental dynamic and static response of the cable force in Table 4. The incremental value of dynamic and static response of the short cable located at the arch end area is conservatively taken as 1.7; the incremental value of dynamic and static response of medium and long cable located at L/4 arch rib area and mid-span area is conservatively taken as 2.3.
Figure 15 shows the maximum dynamic stress and static stress of the remaining cables after the simultaneous and successive breaking of two cables in different typical areas. As can be seen from this figure, the dynamic stress increment of the neighboring cable 5# is the largest when cables 6# and 7# breaking simultaneously, which is 547.24 MPa. However, the stress value of the remaining cable after the breakage of two cables at the above three typical locations are all lower than the permission stress, which is 620 MPa, indicating that the sudden breakage of the two cables will not cause the neighboring cables to break continuously, and the structure still has a certain safety reserve.
Figure 15.
Stress of remaining cables after the breakage of the two cables at different locations. (a) Cable 1# and 2# break; (b) Cable 6# and 7# break; (c) Cable 11# and 12# break.
5.2. Deflection Response of Main Girder
Figure 16 shows the deflection variation of the main girder after two cables breaking at different positions. It can be seen that the deflection of the main girder caused by the simultaneous breakage of two cables is greater than that caused by the successive breakage. The maximum deflections of the main girder caused by the simultaneous breakage of two adjacent cables at the arch end, L/4 arch rib and mid-span are 8.82 mm, 27.10 mm, and 20.53 mm, respectively, which are 1.65, 2.32, and 2.18 times of the deflections caused by the sudden breakage of a single cable at the corresponding locations. The impact of two cable breaks at L/4 on the deflection of the whole bridge is the most significant, and the bridge deck will have an uneven concave phenomenon.
Figure 16.
Deflection variation of the main girder after two cables breaking at different positions. (a) Cable 1# and 2# break; (b) Cable 6# and 7# break; (c) Cable 11# and 12# break.
5.3. Sensitivity Assessment of Impact Effects
Figure 17 shows the DAF curves of four cables near the simultaneously broken two cables. The DAF values of the remaining cables’ force after the simultaneous break of two cables are between 1.35 and 1.69, and the DAF values of the deflection of the main girder are between 1.22 and 1.83, which are all less than the code specified value of 2. At some positions in L/4 arch rib area and mid-span area, the DAF values of arch rib’s deflection are between 1.1 and 3.88, which are larger than the code specified value of 2. Therefore, it is unsafe to simulate the impact effect of the anchorage point’s deflection of the arch ribs by using the pseudo-dynamic method with the DAF value of 2 specified in the code.
Figure 17.
DAF of the remaining members after the break of two cables at different positions. (a) Cable 1# and 2# break; (b) Cable 6# and 7# break; (c) Cable 11# and 12# break.
6. Comparison Analysis of Multiple Cables Breaking
To study whether the dynamic response caused by multiple cables breaking simultaneously can be regarded as a linear superposition of the dynamic responses caused by a corresponding single cable, this research includes an analysis of the stress changes in cable 5# when cable 6# breaks, cables 6# and 7# break simultaneously, and cables 6#, 7#, and 8# break simultaneously. The deflection changes in the anchorage between cable 7# and the main girder when cable 7# breaks, cables 6# and 7# break simultaneously, and cables 6#, 7# and 8# break simultaneously are also studied. The comparison results are shown in Figure 18.
Figure 18.
Comparison of the variation values of cable stress and main girder deflection response after different numbers of cable breaks. (a) Stress response comparison of cable 5#; (b) Deflection response comparison of the anchorage between cable 7# and the main girder.
As can be seen from Figure 18, the dynamic and static response change of cable stress and main girder deflection caused by multiple cables breaking simultaneously are higher than the linear superposition of those changes when different single cables break, and the amplification effect increases significantly with the increase of the number of broken cables. For example, the dynamic response change of the maximum stress of the adjacent cable after two cables breaking simultaneously is 1.17 times of the ideal linear superposition change value, and is 1.38 times under the condition of three cables breaking simultaneously. The change in dynamic response of the deflection of the main girder after the simultaneous breakage of two cables is 1.27 times of the ideal linear superposition value, and 1.45 times under the condition of the simultaneous breakage of three cables. Therefore, the dynamic response caused by the simultaneous breakage of multiple cables cannot be reduced to the linear superposition of the breakage of different single cables.
7. Conclusions
In this paper, a model of Guangzhou Haixin Bridge is established based on general finite element software ANSYS, and a semi-dynamic simulation based on the “birth-death element” method is used to simulate cable breakage. The impact effect caused by sudden cable breakage is accurately reflected by comparing and analyzing different breaking durations. The dynamic response of single and double cables after sudden break in three typical areas is analyzed, and the main conclusions are as follows.
(1) The dynamic impact caused by sudden break of the cable decreases with the increase of cable breaking time. When the cable breaking time is greater than T/2 (T is the first order vertical vibration period), the maximum dynamic response value of the remaining members tends to be closer to the static response results, which weakens the impact effect caused by the cable breaking. When the cable breaking time is less than T/100, the impact effect can be accurately reflected.
(2) The impact effect caused by the cable break decreases with the increase of distance from the broken cable, the cable closer to the location of the broken cable has greater final cable force redistribution ratio. For cables with same distance from the broken cable, the shorter has greater increment of the cable force than the longer. Thus, after cable damage or breakage, priority attention should be paid to the shorter of the adjacent cables to ensure the bearing capacity to meet the requirements. After the cable breakage in L/4 arch rib area and mid-span area, all the released cable force is distributed to the remaining cables. However, for short cable breakage near the arch end, part of the cable force is distributed to the remaining cables according to the internal force redistribution principle, and the other is directly transferred to the arch rib through the main girder.
(3) Based on the incremental force of the neighboring cable after a single cable breakage, the dynamic response of the cable force after two cables breaking can be calculated by the ratio of the static and dynamic response increment, taken as 1.7 at the arch end and 2.3 at the L/4 arch rib and mid-span area, conservatively.
(4) The dynamic response of the remaining structure caused by cable breakage differs at different locations. The displacement response and the cable force response caused by sudden cable breakage at the L/4 arch rib area are most significant, the safety factor of cables in this area should be improved. The impact response of the remaining cables caused by the simultaneous breakage of the neighboring two cables is greater than that of the successive breaking condition.
(5) The DAF values of the adjacent cable force caused by single or double cable abrupt breakage at the three typical locations are in the range of 1.35~1.78, and the DAF values of the main girder deflection near the failed cable are in the range of 1.22~1.88. Using the DAF value of 2 according to the specification, the proposed dynamic method reflected that the main girder deflection and the adjacent cable’s force are safe under the impact of cable breakage. At some positions in the L/4 arch rib area and mid-span area, the DAF values of arch rib’s deflection are larger than the code specified value of 2. Therefore, it is unsafe to simulate the impact effect of the anchorage point’s deflection of the arch ribs using the pseudo-dynamic method with the DAF value of 2 specified in the code.
(6) The dynamic response after the simultaneous breakage of multiple cables cannot be simplified to a linear superposition of the corresponding successive breakage of single cable. The dynamic and static response changes in cable stress and main girder deflection caused by simultaneous breakage of multiple cables are higher than those after the corresponding breakage of single cable, and the amplification effect is more significant with the increase in number of broken cables.
Author Contributions
Conceptualization, Y.H. and J.H.; methodology, Y.H.; software, J.H. and Q.Z.; validation, J.H. and J.W.; formal analysis, J.H.; investigation, J.W.; resources, Y.H.; data curation, J.H.; writing—original draft preparation, J.H.; writing—review and editing, J.W.; visualization, Q.Z.; supervision, Y.H.; project administration, Y.H.; funding acquisition, Y.H. All authors have read and agreed to the published version of the manuscript.
Funding
This research was funded by the National Natural Science Foundation of Guangdong Province (2022A1515012589), the “111” Project (No. D21021), the Technology Planning Project of Guangzhou City (No. 202201020143), and the Guangzhou Municipal Science and Technology Bureau Project (No. 201904010307) of China.
Institutional Review Board Statement
Not applicable.
Informed Consent Statement
Informed consent was obtained from all subjects involved in the study.
Data Availability Statement
The data presented in this study are available on request from the corresponding author.
Acknowledgments
The authors would like to thank all partners of Research Center of Wind Engineering and Engineering Vibration, Guangzhou University for their contribution to this research.
Conflicts of Interest
The authors declare no conflict of interest.
References
- Fan, B.-H.; Su, J.-Z.; Chen, B.-C. Condition evaluation for through and half-through arch bridges considering robustness of suspended deck systems. Adv. Struct. Eng. 2020, 24, 962–976. [Google Scholar] [CrossRef]
- Lin, W.; Lam, H.; Yoda, T.; Ge, H.; Xu, Y.; Kasano, H.; Nogami, K.; Murakoshi, J. After-fracture redundancy analysis of an aged truss bridge in Japan. Struct. Infrastruct. Eng. 2016, 13, 107–117. [Google Scholar] [CrossRef]
- Hu, Y.-C.; Tan, Y.-H.; Xi, F. Failure assessment and virtual scenario reproduction of the progressive collapse of the FIU bridge. Eng. Struct. 2021, 227, 111423. [Google Scholar] [CrossRef]
- Li, R.W.; Cao, D.S.; Wu, H. Collapse analysis and damage evaluation of typical simply supported double-pier RC bridge under truck collision. Structures 2021, 33, 3222–3238. [Google Scholar] [CrossRef]
- Li, Y.; Zong, Z.; Yang, B.; Xia, Z.; Lin, Y.; Lin, J. Collapse Analysis of a Two-Span Reinforced Concrete Bridge Model. Appl. Sci. 2021, 11, 8935. [Google Scholar] [CrossRef]
- Miao, F.; Ghosn, M. Reliability-based progressive collapse analysis of highway bridges. Struct. Saf. 2016, 63, 33–46. [Google Scholar] [CrossRef]
- Xu, X.; Wang, J.; Wei, J.; Taciroglu, E.; Dai, F.; Peng, W. A forensic investigation of the Taihe arch bridge collapse. Eng. Struct. 2018, 176, 881–891. [Google Scholar] [CrossRef]
- Deng, Y.; Deng, L. Corrosion Fatigue Test and Performance Evaluation of High-Strength Steel Wires Based on the Suspender of a 11-Year-Old Concrete-Filled Steel Tube Arch Bridge. Coatings 2022, 12, 1475. [Google Scholar] [CrossRef]
- Su, J.; Zhang, J.; Zhou, J.; Hu, C.; Zheng, Y. Fatigue Life Assessment of Suspenders in Tied-Arch Bridges Under Random Traffic Loads and Environmental Corrosion. Int. J. Civ. Eng. 2022, 21, 523–540. [Google Scholar] [CrossRef]
- Dai, L.; Liu, Y.; Liu, G.; Yan, D.; Yuan, M.; Wang, L. Damage simulation and strengthening of main girder after the fire-induced fracture of stay cables during construction. Structures. 2022, 45, 448–458. [Google Scholar] [CrossRef]
- Zhao, W.; Qian, J. Failure mode and impact performance of bridge piers subjected to heavy vehicle collision. J. Disaster Prev. Mitig. Eng. 2019, 39, 67–74+88. (In Chinese) [Google Scholar] [CrossRef]
- Chen, C.; Chen, J.; Zhao, X.; Shi, C. The effect of inclination angle on fire behaviors of stay cable in an intercepted double-layer cable model. J. Therm. Anal. Calorim. 2019, 140, 2701–2710. [Google Scholar] [CrossRef]
- Chen, K.; Luo, J.; Wu, Q.; Wang, H. Test of Broken Suspender Specimen and Equivalent Static Calculation Method for Half-Through and Through Concrete-Filled Steel Tubular Arch Bridges. Appl. Sci. 2022, 12, 11619. [Google Scholar] [CrossRef]
- Ma, Y.; Peng, A.; Wang, L.; Zhang, J. Model test on static performance degradation of cable-stayed bridge with cable rupture and main girder damage. J. Cent. South Univ. 2022, 53, 653–664. (In Chinese) [Google Scholar]
- Lu, J.; Zhang, H.; Wu, X. Experimental study on collapse behaviour of truss string structures under cable rupture. J. Constr. Steel Res. 2021, 185, 106864. [Google Scholar] [CrossRef]
- Hoang, V.; Kiyomiya, O.; An, T. Experimental and Numerical Study of Lateral Cable Rupture in Cable-Stayed Bridges: Case Study. J. Bridge Eng. 2018, 23, 05018004. [Google Scholar] [CrossRef]
- Zhang, Y.; Fang, Z.; Jiang, R.; Xiang, Y.; Long, H.; Lu, J. Static Performance of a Long-Span Concrete Cable-Stayed Bridge Subjected to Multiple-Cable Loss during Construction. J. Bridge Eng. 2020, 25, 04020002. [Google Scholar] [CrossRef]
- Qiu, W.; Yang, H.; Wu, G. Parameter study on finite element model of abrupt hanger-breakage event induced dynamic responses of suspension bridge. J. Zhejiang Univ. (Eng. Sci.) 2022, 56, 1685–1692. (In Chinese) [Google Scholar]
- Wu, G.; Qiu, W.; Wu, T. Nonlinear dynamic analysis of the self-anchored suspension bridge subjected to sudden breakage of a hanger. Eng. Fail. Anal. 2019, 97, 701–717. [Google Scholar] [CrossRef]
- Wang, T.; Zhang, X.; Wang, L. The Investigation on dynamic response of cable-stayed bridge and train on bridge under cable break conditions. J. Southwest Jiaotong Univ. 2022, 1–9. (In Chinese) [Google Scholar]
- Ruiz-Teran, A.M.; Aparicio, A.C. Response of under-deck cable-stayed bridges to the accidental breakage of stay cables. Eng. Struct. 2009, 31, 1425–1434. [Google Scholar] [CrossRef]
- Cai, J.-G.; Xu, Y.-X.; Zhuang, L.-P.; Zhang, J. Comparison of various procedures for progressive collapse analysis of cable-stayed bridges. J. Zhejiang Univ. Science A 2012, 13, 323–334. [Google Scholar] [CrossRef]
- Mozos, C.M.; Aparicio, A.C. Parametric study on the dynamic response of cable stayed bridges to the sudden failure of a stay, Part I: Bending moment acting on the deck. Eng. Struct. 2010, 32, 3288–3300. [Google Scholar] [CrossRef]
- Mozos, C.M.; Aparicio, A.C. Parametric study on the dynamic response of cable stayed bridges to the sudden failure of a stay, Part II: Bending moment acting on the pylons and stress on the stays. Eng. Struct. 2010, 32, 3301–3312. [Google Scholar] [CrossRef]
- Aoki, Y.; Valipour, H.; Samali, B.; Saleh, A. A Study on Potential Progressive Collapse Responses of Cable-Stayed Bridges. Adv. Struct. Eng. 2016, 16, 689–706. [Google Scholar] [CrossRef]
- Zhou, Y.; Chen, S. Numerical investigation of cable breakage events on long-span cable-stayed bridges under stochastic traffic and wind. Eng. Struct. 2015, 105, 299–315. [Google Scholar] [CrossRef]
- Wolff, M.; Starossek, U. Cable loss and progressive collapse in cable-stayed bridges. Bridge Struct. 2009, 5, 17–28. [Google Scholar] [CrossRef]
- Soto, N.; Cid, C.; Baldomir, A.; Hernández, S. Fail-safe optimum cable system under cable breakage in cable-stayed bridges. Application to the Queensferry Crossing Bridge. Eng. Struct. 2023, 279, 115557. [Google Scholar] [CrossRef]
- Mozos, C.M.; Aparicio, A.C. Numerical and experimental study on the interaction cable structure during the failure of a stay in a cable stayed bridge. Eng. Struct. 2011, 33, 2330–2341. [Google Scholar] [CrossRef]
- Qiu, W.; Wu, G. Research on simulation method of dynamic response analysis for suspension bridges subjected to hanger-breakage events. J. Hunan Univ. 2021, 48, 22–30. (In Chinese) [Google Scholar] [CrossRef]
- Shao, G.; Jin, H.; Jiang, R.; Xu, Y. Dynamic Response and Robustness Evaluation of Cable-Supported Arch Bridges Subjected to Cable Breaking. Shock Vib. 2021, 2021, 6689630. [Google Scholar] [CrossRef]
- Qu, Z.; Shi, X.; Li, X.X.; Ruan, X. Research on dynamic simulation methodology for cable loss of cable-stayed bridges. Struct. Eng. 2009, 25, 89–92. (In Chinese) [Google Scholar] [CrossRef]
- JTG/T 2231-01-2020; Specification for Seismic Design of Highway Bridges. People’s Communications Press: Beijing, China, 2020.
- GB 50923-2013; Technical specification for concrete-filled steel tubular arch bridge. China Planning Press: Beijing, China, 2013.
- PIT (Post-Tensioning Institute). Recommendations for stay suspender design, testing and installation; Cable-Stayed Bridges Committee: Phoenix, AZ, USA, 2007; pp. 39–40. [Google Scholar]
Disclaimer/Publisher’s Note: The statements, opinions and data contained in all publications are solely those of the individual author(s) and contributor(s) and not of MDPI and/or the editor(s). MDPI and/or the editor(s) disclaim responsibility for any injury to people or property resulting from any ideas, methods, instructions or products referred to in the content. |
© 2023 by the authors. Licensee MDPI, Basel, Switzerland. This article is an open access article distributed under the terms and conditions of the Creative Commons Attribution (CC BY) license (https://creativecommons.org/licenses/by/4.0/).

















