Study on the Performance of Active Embedded Steel Wire Knot Form in Silicone Graphene Composite Thermal Insulation Structure Integrated System
Abstract
1. Introduction
2. Calculation of Uplift Force of Steel Wire Embedded Integrated Board
2.1. Theoretical Model of Steel Wire Pull-out Resistance
- (1)
- Both steel wire and concrete matrix are elastic materials.
- (2)
- When the steel wire is embedded into the concrete matrix, a pull-out zone is formed between the steel wire and the matrix. The contact friction between the steel wire and the matrix, the mechanical bite force when the matrix shrinks, and so on, together constitute the interface bonding strength of the two media.
- (3)
- Under the action of external forces, the pull-out effect of steel wire and concrete can be divided into debonding stage and the pull-out stage [30].
2.2. Verification of Theoretical Model of Steel Wire Pull-Out Resistance
2.3. Wind Pressure Resistance Strength of the Integrated Thermal Insulation Structure System
3. Wind Pressure Resistance Performance Analysis of Steel Wire Embedded Thermal Insulation and Structural Integration System
3.1. Basic Information on Thermal Insulation and Integrated Structural Board
3.2. Results and Discussion
3.2.1. Analysis of Tensile Strength of Steel Wire
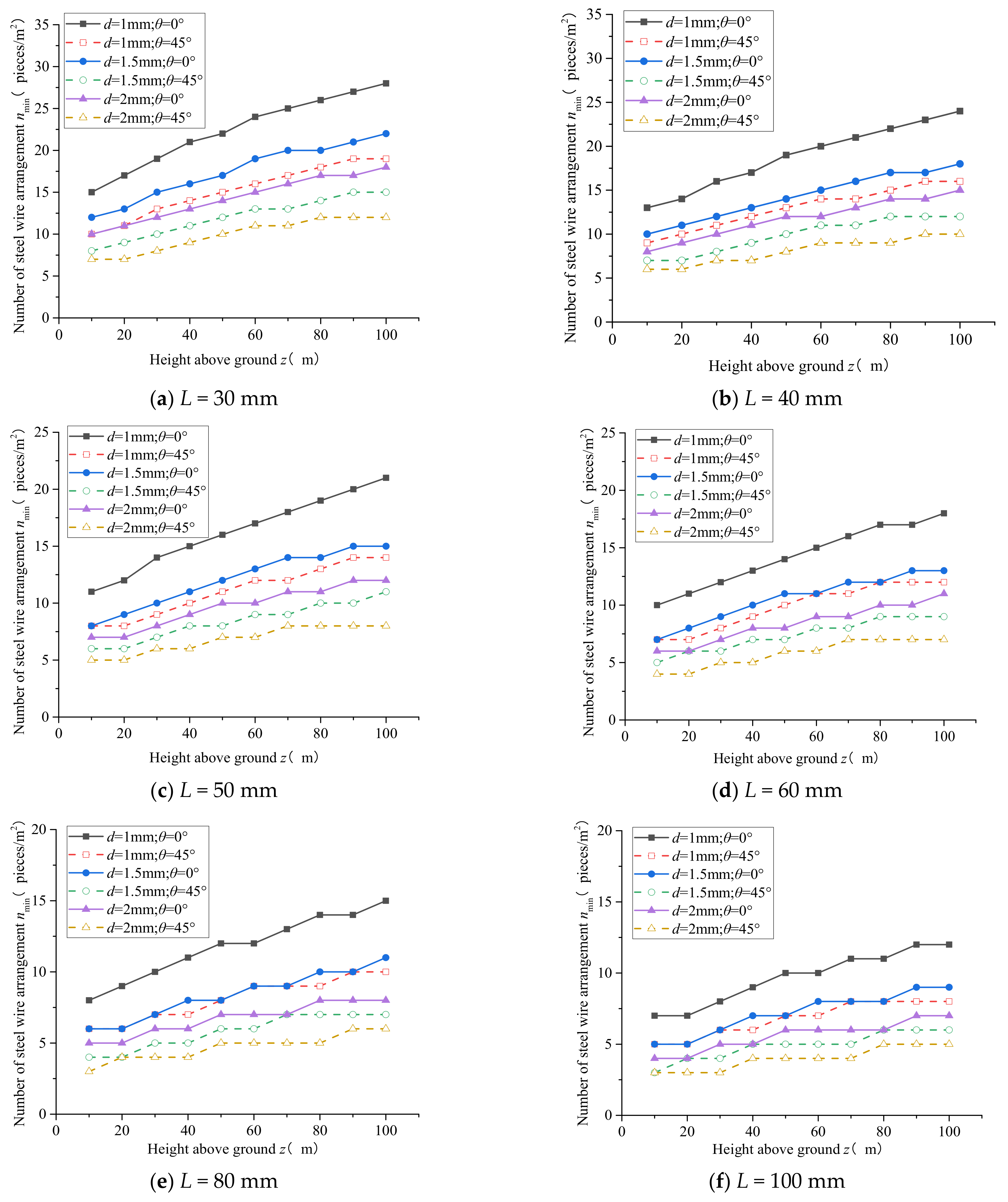
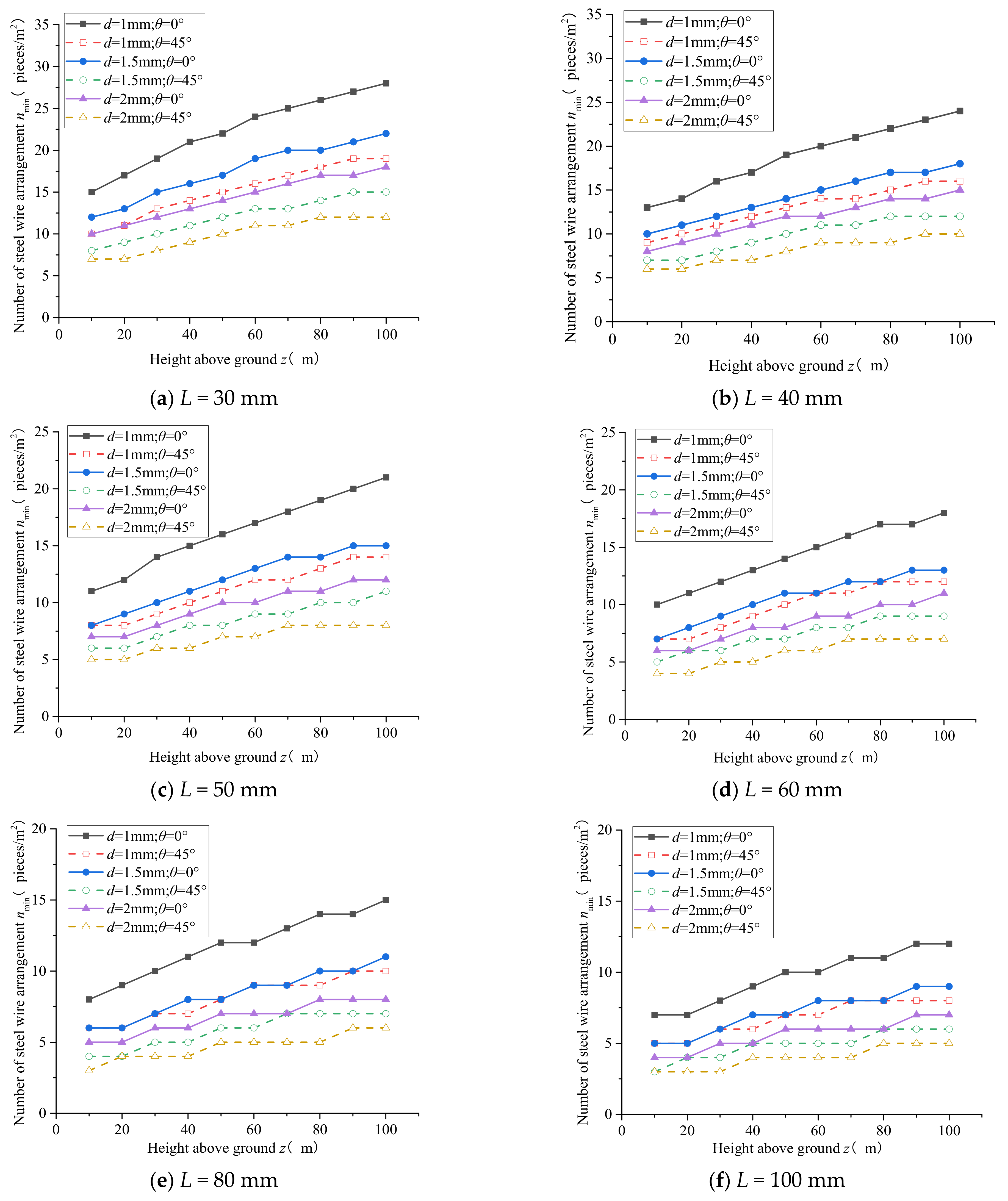
3.2.2. Result Analysis of Steel Wire Arrangement
4. Stress Analysis of Integrated Formwork of External Wall Thermal Insulation Structure
5. Conclusions
- (1)
- By adding the tie steel wires in the silicone graphene composite thermal insulation board, the passive anchoring is changed to an active tie. Through the steel tie wires, the bonding strength between the thermal insulation layer and the concrete base can be actively enhanced, full adhesion without cavities can be guaranteed, and the cost of auxiliary materials and construction procedures can be reduced.
- (2)
- Based on the pull-out model of steel wire, it is found that the pull-out performance of steel wire is affected by the diameter d of steel wire, the embedded depth L of steel wire, and the embedded deflection angle θ of steel wire. The impact is significant, and the pull-out resistance is proportional to the three factors. However, when the concrete density (i.e., strength) reaches 2385 kg/m3 (C30) and above, it has little effect on the pull-out performance of steel wire.
- (3)
- Based on the wind pressure resistance strength theory of the external wall of the structure, it is found that the number of steel wires arrangement is inversely proportional to the wire diameter d, the embedded depth of the steel wire L, and the embedded deflection angle of the steel wire θ. Moreover, the number of steel wires to be arranged increases with the increase of the building height.
- (4)
- The number of embedded steel wires in the silicone graphene composite thermal insulation board per unit area depends on the building structure’s external wall load and the steel wires’ pull-out performance. The arrangement of the steel wire determines the bonding performance of the thermal insulation board. When the overall bonding strength meets the wind pressure resistance requirements, the minimum number of steel wires corresponding to different building heights can be obtained.
- (5)
- When the thickness of the silicone graphene composite thermal insulation board is at least 80 mm, the anti-deformation effect is close to that of the ordinary plywood. The silicone graphene composite thermal insulation board can replace the traditional plywood in the exterior wall formwork system, which can ensure the energy conservation and thermal insulation of the exterior wall and integrate the thermal insulation structure of the building exterior wall, so as to avoid formwork removal.
Author Contributions
Funding
Data Availability Statement
Conflicts of Interest
Abbreviations
| f | the interfacial bond strength between steel wire and concrete matrix |
| δ | the pull-out displacement of steel wire |
| f0 | the peak bond strength at the debonding stage |
| δ0 | the corresponding pull-out displacement at the end of the debonding stage |
| L | the embedded depth of steel wire |
| d | the diameter of steel wire |
| F0 | the elastic bonding force between steel wire and concrete matrix |
| Fmax | the maximum pull-out resistance of steel wire |
| θ | the embedded deflection angle of steel wire |
| ε | the deflection angle influence coefficient |
| ρ | the concrete density |
| RK | the wind pressure resistance strength |
| WK | the standard value of wind load |
| K | the wind load resistance safety factor |
| Fmax | the maximum pull-out force of the steel wire |
| n | the number of steel wires per square meter |
| η | the reduction factor |
| z | the height above ground |
| βz | the gust coefficient at height z |
| μs | the local shape coefficient of wind load |
| μz | the wind pressure height variation coefficient |
| ω0 | the standard value of basic wind pressure |
| W | the section resistance moment |
| I | the section moment of inertia |
| bo | the calculated width of the template |
| ho | the thickness of formwork |
| Mmax | the maximum calculated bending moment |
| q | the lateral pressure load combination of the formwork |
| q0 | the lateral pressure line load acting on the formwork |
| l0 | the spacing between timbers |
| σ | the bending strength |
| [σ] | the allowable bending strength |
| ωmax | the maximum calculated deflection |
| [ω] | the allowable deflection |
| E0 | the modulus of elasticity of formwork |
References
- Aksakal, B.; Ulutaş, A.; Balo, F.; Karabasevic, D. A new hybrid MCDM model for insulation material evaluation for healthier environment. Buildings 2022, 12, 655. [Google Scholar] [CrossRef]
- Dénes, T.O.; Iştoan, R.; Tǎmaş-Gavrea, D.R.; Manea, D.L.; Hegyi, A.; Popa, F.; Vasile, O. Analysis of sheep wool-based composites for building insulation. Polymers 2022, 14, 2109. [Google Scholar] [CrossRef] [PubMed]
- Rasmussen, F.N.; Andersen, C.E.; Wittchen, A.; Hansen, R.N.; Birgisdóttir, H. Environmental product declarations of structural wood: A review of impacts and potential pitfalls for practice. Buildings 2021, 11, 362. [Google Scholar] [CrossRef]
- Barrigón Morillas, J.M.; Montes González, D.; Vílchez-Gómez, R.; Gómez Escobar, V.; Maderuelo-Sanz, R.; Rey Gozalo, G.; Atanasio Moraga, P. Virgin natural cork characterization as a sustainable material for use in acoustic solutions. Sustainability 2021, 13, 4976. [Google Scholar] [CrossRef]
- Li, T.T.; Chuang, Y.C.; Huang, C.H.; Lou, C.W.; Lin, J.H. Applying vermiculite and perlite fillers to sound-absorbing/thermal-insulating resilient PU foam composites. Fibers Polym. 2015, 16, 691–698. [Google Scholar] [CrossRef]
- König, J.; Nemanič, V.; Žumer, M.; Petersen, R.R.; Østergaard, M.B.; Yue, Y.; Suvorov, D. Evaluation of the contributions to the effective thermal conductivity of an open-porous-type foamed glass. Constr. Build. Mater. 2019, 214, 337–343. [Google Scholar] [CrossRef]
- Fernandes, F.A.D.S.; Costa, D.D.S.d.O.; Martin, C.A.G.; Rossignolo, J.A. Vitreous Foam with Thermal Insulating Property Produced with the Addition of Waste Glass Powder and Rice Husk Ash. Sustainability 2023, 15, 796. [Google Scholar] [CrossRef]
- Ahac, M.; Ahac, S.; Lakušić, S. Long-Term Sustainability Approach in Road Traffic Noise Wall Design. Sustainability 2021, 13, 536. [Google Scholar] [CrossRef]
- Pedroso, M.; Flores-Colen, I.; Silvestre, J.D.; Gomes, M.G.; Silva, L.; Ilharco, L. Physical, mechanical, and microstructural characterisation of an innovative thermal insulating render incorporating silica aerogel. Energy Build. 2020, 211, 109793. [Google Scholar] [CrossRef]
- Paneri, A.; Wong, I.L.; Burek, S. Transparent insulation materials: An overview on past, present and future developments. Sol. Energy 2019, 184, 59–83. [Google Scholar] [CrossRef]
- Gonçalves, M.; Simões, N.; Serra, C.; Flores-Colen, I. A review of the challenges posed by the use of vacuum panels in external insulation finishing systems. Appl. Energy 2020, 257, 114028. [Google Scholar] [CrossRef]
- Berardi, U.; Sprengard, C. An overview of and introduction to current researches on super insulating materials for high-performance buildings. Energy Build. 2020, 214, 109890. [Google Scholar] [CrossRef]
- De Guinoa, A.S.; Zambrana-Vasquez, D.; Alcalde, A.; Corradini, M.; Zabalza-Bribián, I. Environmental assessment of a nano-technological aerogel-based panel for building insulation. J. Clean. Prod. 2017, 161, 1404–1415. [Google Scholar] [CrossRef]
- Su, S.; Cébron, D.; Nataf, H.C.; Cardin, P.; Vidal, J.; Solazzo, M.; Do, Y. Acoustic spectra of a gas-filled rotating spheroid. Eur. J. Mech. B Fluids 2020, 84, 302–310. [Google Scholar] [CrossRef]
- Uvsløkk, S.; Schlemminger, C.; Asphaug, S. Thermal insulation performance of reflective foils in floor cavities-Hot box measurements and calculations. Energy Procedia 2017, 132, 333–338. [Google Scholar] [CrossRef]
- Fei, P.; Guo, Z.; Ye, C.; Teng, Z.; Chen, Q.; Zhang, G.; Cai, J. The enhancement of the flame retardance of bamboo fibre/HDPE composites: Cerium doped H2Ti2O5• H2O nanotubes effects. Constr. Build. Mater. 2019, 201, 728–735. [Google Scholar] [CrossRef]
- Hossain, A.; Mourshed, M. Retrofitting Buildings: Embodied & Operational Energy Use in English Housing Stock. Proceedings 2018, 2, 1135. [Google Scholar]
- Buratti, C.; Belloni, E.; Lascaro, E.; Merli, F.; Ricciardi, P. Rice husk panels for building applications: Thermal, acoustic and environmental characterization and comparison with other innovative recycled waste materials. Constr. Build. Mater. 2018, 171, 338–349. [Google Scholar] [CrossRef]
- Danihelová, A.; Němec, M.; Gergeľ, T.; Gejdoš, M.; Gordanová, J.; Sčensný, P. Usage of recycled technical textiles as thermal insulation and an acoustic absorber. Sustainability 2019, 11, 2968. [Google Scholar] [CrossRef]
- Raza, M.; Abdallah, H.A.; Abdullah, A.; Abu-Jdayil, B. Date Palm Surface Fibers for Green Thermal Insulation. Buildings 2022, 12, 866. [Google Scholar] [CrossRef]
- Yang, W.; Li, Y. Sound absorption performance of natural fibers and their composites. Sci. China Technol. Sci. 2012, 55, 2278–2283. [Google Scholar] [CrossRef]
- Abu-Jdayil, B.; Mourad, A.H.; Hittini, W.; Hassan, M.; Hameedi, S. Traditional, state-of-the-art and renewable thermal building insulation materials: An overview. Constr. Build. Mater. 2019, 214, 709–735. [Google Scholar] [CrossRef]
- Villasmil, W.; Fischer, L.J.; Worlitschek, J. A review and evaluation of thermal insulation materials and methods for thermal energy storage systems. Renew. Sustain. Energy Rev. 2019, 103, 71–84. [Google Scholar] [CrossRef]
- Asdrubali, F.; D’Alessandro, F.; Schiavoni, S. A review of unconventional sustainable building insulation materials. Sustain. Mater. Technol. 2015, 4, 1–17. [Google Scholar] [CrossRef]
- Berardi, U.; Iannace, G. Acoustic characterization of natural fibers for sound absorption applications. Build. Environ. 2015, 94, 840–852. [Google Scholar] [CrossRef]
- Al-Homoud, M.S. Performance characteristics and practical applications of common building thermal insulation materials. Build. Environ. 2005, 40, 353–366. [Google Scholar] [CrossRef]
- Zhao, Z. The Application of Polyurethane Composite Material in the Field of Building Exterior Wall. In Proceedings of the 2015 International Conference on Social Science and Technology Education, Sanya, China, 11–12 April 2015; Atlantis Press: Amsterdam, The Netherlands, 2015. [Google Scholar]
- Li, Z.; Liu, W.; Liu, Y. Experimental Study on Seismic Behavior of Composite Shear Wall with Vitrified Beads No-demolition Wall Formwork. Concrete 2012, 271, 131–137. (In Chinese) [Google Scholar]
- Li, X.; Liu, J.; Pei, X.; Bai, Y. Design and performance analysis of rock wool composite thermal insulation formwork. Silic. Bull. 2019, 38, 1597–1603. (In Chinese) [Google Scholar]
- Qaderi, S.; Ebrahimi, F.; Mahesh, V. Free vibration analysis of graphene platelets–reinforced composites plates in thermal environment based on higher-order shear deformation plate theory. Int. J. Aeronaut. Space Sci. 2019, 20, 902–912. [Google Scholar] [CrossRef]
- Qaderi, S.; Ebrahimi, F.; Seyfi, A. An investigation of the vibration of multi-layer composite beams reinforced by graphene platelets resting on two parameter viscoelastic foundation. SN Appl. Sci. 2019, 1, 399. [Google Scholar] [CrossRef]
- Ebrahimi, F.; Qaderi, S. Stability analysis of embedded graphene platelets reinforced composite plates in thermal environment. Eur. Phys. J. Plus 2019, 134, 349. [Google Scholar] [CrossRef]
- Liu, D.; Wang, S.; Zhu, J.; Li, H.; Zhu, H. Investigation on thermal conductivity of graphene/Si heterostructure based on molecular dynamics simulation. Phys. Lett. A 2022, 426, 127895. [Google Scholar] [CrossRef]
- Gong, W.; Garg, R.; Guo, R.; Lee, S.; Cohen-Karni, T.; Shen, S. Thermal Transport in Multidimensional Silicon-Graphene Hybrid Nanostructures. ACS Appl. Mater. Interfaces 2021, 13, 50206–50212. [Google Scholar] [CrossRef]
- Wang, J.; Zhang, J.; Yu, L.; Fu, Y. Experiment and Simulation of Pullout Behavior of Bonded Steel Wire and Concrete. Eng. Mech. 2016, 33, 202–208. (In Chinese) [Google Scholar]
- Zhang, J.; Gao, Y.; Huang, Z. Comparative analysis of temperature and stress of internal and external thermal insulation walls. J. Harbin Eng. Univ. 2011, 32, 895–905. (In Chinese) [Google Scholar]
- Lin, Z.; Kanda, T.; Li, V.C. On interface property characterization and performance of fiber reinforced cementitious composites. Concr. Sci. Eng. 1999, 1, 173–174. [Google Scholar]
- Li, V.C.; Stang, H.; Krenchel, H. Micromechanics of crack bridging in fibre-reinforced concrete. Mater. Struct. 1993, 26, 486–494. [Google Scholar] [CrossRef]
- Yu, L.; Fu, Y.; Zhang, J.; Wang, J. Experiment and simulation of bond performance between foam concrete and steel wire. J. Harbin Inst. Technol. 2016, 48, 119–123. (In Chinese) [Google Scholar]
- JGJT480-2019; Technical Standard for External Thermal Insulation Engineering of Rock Wool Thin Plastered Exterior Walls. Ministry of Construction of the People’s Republic of China: Beijing, China, 2019. (In Chinese)
- GB50009-2012; Code for Building Structure Loads. Ministry of Construction of the People’s Republic of China: Beijing, China, 2012. (In Chinese)
- GB/T 5486-2008; Test Methods for Inorganic Rigid Thermal Insulation. China Standards Press: Beijing, China, 2008. (In Chinese)
- JGJ 144-2019; Technical Standard for External Thermal Insulation on Walls. China Construction Industry Press: Beijing, China, 2019. (In Chinese)
- GB/T 10294-2008; Thermal Insulation—Determination of Steady-State Thermal Resistance and Related Properties-Guarded Hot Plate Apparatus. China Standards Press: Beijing, China, 2008. (In Chinese)
- GB/T 19631-2005; Glassfiber Reinforced Cement Lightweight Hollow Panel for Partition. China Standards Press: Beijing, China, 2005. (In Chinese)
- GB/T 8813-2008; Rigid Cellular Plastics-Determination of Compression Properties. China Standards Press: Beijing, China, 2008. (In Chinese)
- GB 8624-2012; Classification for Burning Behavior of Building Materials and Products. China Standards Press: Beijing, China, 2012. (In Chinese)













| Base Wall 1 | Thermal Insulation Layer 2 | Plastering Layer 3 | Finish Layer 4 | Tie Steel Wire 5 | Structural Diagram |
|---|---|---|---|---|---|
| Cast-in-situ/ prefabricated wall | Composite thermal insulation board | Plastering mortar (built-in alkali resistant glass fiber mesh) | External wall flexible putty + adhesive + face brick | Double-layer galvanized steel wire mesh + tie steel wire | ![]() |
| Test Indicators | Performance Requirements | Test Results | Test Method Basis | |
|---|---|---|---|---|
| Dry density (kg/m3) | 150–300 | 184 | GB/T 5486-2008 [42] | |
| Compressive strength (Mpa) | ≥0.30 | 0.33 | GB/T 5486-2008 | |
| Tensile strength perpendicular to the plate surface (Mpa) | ≥0.20 | 0.21 | JGJ 144-2019 [43] | |
| Thermal conductivity coefficient, 25 °C (W/m·K) | ≤0.055 | 0.050 | GB/T 10294-2008 [44] | |
| Bending load (N) | ≥3000 | 3179 | GB/T 19631-2005 [45] | |
| Bending deformation (mm) | ≥6 | ≥6 | GB/T 8813-2008 [46] | |
| Impact resistance (J) | The first-floor wall of the building and the wall at the door and window positions | 10 | 10 | JGJ 144-2019 |
| Corresponding walls on the second floor and above | 3 | 3 | JGJ 144-2019 | |
| Combustion performance level | A (A2) | — | GB 8624-2012 [47] | |
| Wind pressure resistance value (kPa) | — | 10.63 | JGJ 144-2019 | |
| Variable | Value |
|---|---|
| Steel wire diameter d (mm) | 1.0, 1.5, 2.0, 3.0, 4.0 |
| Concrete density ρ (kg/m3) | 2385 (C30), 2390 (C35), 2400 (C40), 2410 (C45), 2420 (C50) |
| Embedded depth of steel wire L (mm) | 30, 40, 50, 60, 80, 100 |
| Embedded deflection angle of steel wire θ (°) (Tilt Down) | 0, 15, 30, 45, 60 |
| Height above Ground z (m) | Gust Coefficient βz | Wind Pressure Height Variation Coefficient μz | Local Shape Coefficient of Wind Load μs | The Standard Value of Basic Wind Pressure ω0 (kN/m2) |
|---|---|---|---|---|
| 10 | 2.05 | 0.65 | 2.0 | 0.4 |
| 20 | 1.99 | 0.74 | ||
| 30 | 1.90 | 0.88 | ||
| 40 | 1.85 | 1.0 | ||
| 50 | 1.81 | 1.10 | ||
| 60 | 1.78 | 1.20 | ||
| 70 | 1.75 | 1.28 | ||
| 80 | 1.73 | 1.36 | ||
| 90 | 1.71 | 1.43 | ||
| 100 | 1.69 | 1.50 |
| Height above Ground z (m) | z < 20 | 20 ≤ z <50 | 50 ≤ z ≤100 |
|---|---|---|---|
| d = 1 mm; L = 30 mm | ≥34 | ≥44 | ≥56 |
| d = 1.5 mm; L = 30 mm | ≥26 | ≥34 | ≥44 |
| d = 2 mm; L = 30 mm | ≥22 | ≥28 | ≥36 |
| d = 1 mm; L = 40 mm | ≥28 | ≥38 | ≥48 |
| d = 1.5 mm; L = 40 mm | ≥22 | ≥28 | ≥36 |
| d = 2 mm; L = 40 mm | ≥18 | ≥24 | ≥30 |
| d = 1 mm; L = 50 mm | ≥24 | ≥32 | ≥41 |
| d = 1.5 mm; L = 50 mm | ≥18 | ≥24 | ≥30 |
| d = 2 mm; L = 50 mm | ≥14 | ≥20 | ≥24 |
| d = 1 mm; L = 60 mm | ≥22 | ≥28 | ≥36 |
| d = 1.5 mm; L = 60 mm | ≥16 | ≥22 | ≥26 |
| d = 2 mm; L = 60 mm | ≥12 | ≥16 | ≥22 |
| d = 1 mm; L = 80 mm | ≥18 | ≥24 | ≥30 |
| d = 1.5 mm; L = 80 mm | ≥12 | ≥16 | ≥22 |
| d = 2 mm; L = 80 mm | ≥10 | ≥14 | ≥16 |
| d = 1 mm; L = 100 mm | ≥14 | ≥20 | ≥24 |
| d = 1.5 mm; L = 100 mm | ≥10 | ≥14 | ≥18 |
| d = 2 mm; L = 100 mm | ≥8 | ≥12 | ≥14 |
| Height above Ground z(m) | z < 20 | 20 ≤ z <50 | 50 ≤ z ≤100 |
|---|---|---|---|
| d = 1 mm; L = 30 mm | ≥22 | ≥30 | ≥38 |
| d = 1.5 mm; L = 30 mm | ≥18 | ≥24 | ≥30 |
| d = 2 mm; L = 30 mm | ≥14 | ≥20 | ≥24 |
| d = 1 mm; L = 40 mm | ≥20 | ≥26 | ≥32 |
| d = 1.5 mm; L = 40 mm | ≥14 | ≥20 | ≥24 |
| d = 2 mm; L = 40 mm | ≥12 | ≥16 | ≥20 |
| d = 1 mm; L = 50 mm | ≥16 | ≥22 | ≥28 |
| d = 1.5 mm; L = 50 mm | ≥12 | ≥16 | ≥22 |
| d = 2 mm; L = 50 mm | ≥10 | ≥14 | ≥16 |
| d = 1 mm; L = 60 mm | ≥14 | ≥20 | ≥24 |
| d = 1.5 mm; L = 60 mm | ≥12 | ≥14 | ≥18 |
| d = 2 mm; L = 60 mm | ≥8 | ≥12 | ≥14 |
| d = 1 mm; L = 80 mm | ≥12 | ≥16 | ≥20 |
| d = 1.5 mm; L = 80 mm | ≥8 | ≥12 | ≥14 |
| d = 2 mm; L = 80 mm | ≥8 | ≥10 | ≥12 |
| d = 1 mm; L = 100 mm | ≥10 | ≥14 | ≥16 |
| d = 1.5 mm; L = 100 mm | ≥8 | ≥10 | ≥12 |
| d = 2 mm; L = 100 mm | ≥6 | ≥8 | ≥10 |
| Factor | Variable | |
|---|---|---|
| Plywood | Thermal Insulation Board | |
| Calculated width of template b0 (mm) | 1000 | |
| Spacing of wood square l0 (mm) | 150; 200 | |
| Formwork thickness h0 (mm) | 15 | 50; 80; 100 |
| Modulus of elasticity of formwork E0 (N/mm2) | 4000 | 20 |
| Allowable bending strength of formwork [σ] (N/mm2) | 15 | 10 |
| Allowable deflection of formwork [ω] (mm) | l0/250 | |
Disclaimer/Publisher’s Note: The statements, opinions and data contained in all publications are solely those of the individual author(s) and contributor(s) and not of MDPI and/or the editor(s). MDPI and/or the editor(s) disclaim responsibility for any injury to people or property resulting from any ideas, methods, instructions or products referred to in the content. |
© 2023 by the authors. Licensee MDPI, Basel, Switzerland. This article is an open access article distributed under the terms and conditions of the Creative Commons Attribution (CC BY) license (https://creativecommons.org/licenses/by/4.0/).
Share and Cite
Zhao, X.; Geng, D.; Cheng, Z.; Bai, Z.; Long, M.; Chen, Y.; Lu, Q.; Ying, W. Study on the Performance of Active Embedded Steel Wire Knot Form in Silicone Graphene Composite Thermal Insulation Structure Integrated System. Buildings 2023, 13, 705. https://doi.org/10.3390/buildings13030705
Zhao X, Geng D, Cheng Z, Bai Z, Long M, Chen Y, Lu Q, Ying W. Study on the Performance of Active Embedded Steel Wire Knot Form in Silicone Graphene Composite Thermal Insulation Structure Integrated System. Buildings. 2023; 13(3):705. https://doi.org/10.3390/buildings13030705
Chicago/Turabian StyleZhao, Xiaoxia, Dajiang Geng, Zhiqiang Cheng, Zhicheng Bai, Mingjian Long, Yang Chen, Qingqing Lu, and Wei Ying. 2023. "Study on the Performance of Active Embedded Steel Wire Knot Form in Silicone Graphene Composite Thermal Insulation Structure Integrated System" Buildings 13, no. 3: 705. https://doi.org/10.3390/buildings13030705
APA StyleZhao, X., Geng, D., Cheng, Z., Bai, Z., Long, M., Chen, Y., Lu, Q., & Ying, W. (2023). Study on the Performance of Active Embedded Steel Wire Knot Form in Silicone Graphene Composite Thermal Insulation Structure Integrated System. Buildings, 13(3), 705. https://doi.org/10.3390/buildings13030705


