Feasibility of Multi-Zone Simulation for Estimating Contributions of Outdoor Particulate Pollution to Indoor Particulate Matter Concentration
Abstract
1. Introduction
2. Factors Related to Particle Transport from Outdoors to Indoors
2.1. Mechanism of Indoor Particle Transport
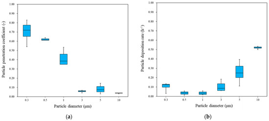
2.2. Penetration Coefficient and Deposition Rate
2.3. Outdoor Air Exchange Rate
2.4. Outdoor Particulate Pollution
3. Methods
3.1. Simulation Modeling
3.2. Description of Reference Building and Simulation Conditions
4. Simulation Results
4.1. Airflow Results
4.2. Particle Results (I): Amount of Outdoor Particle Penetration
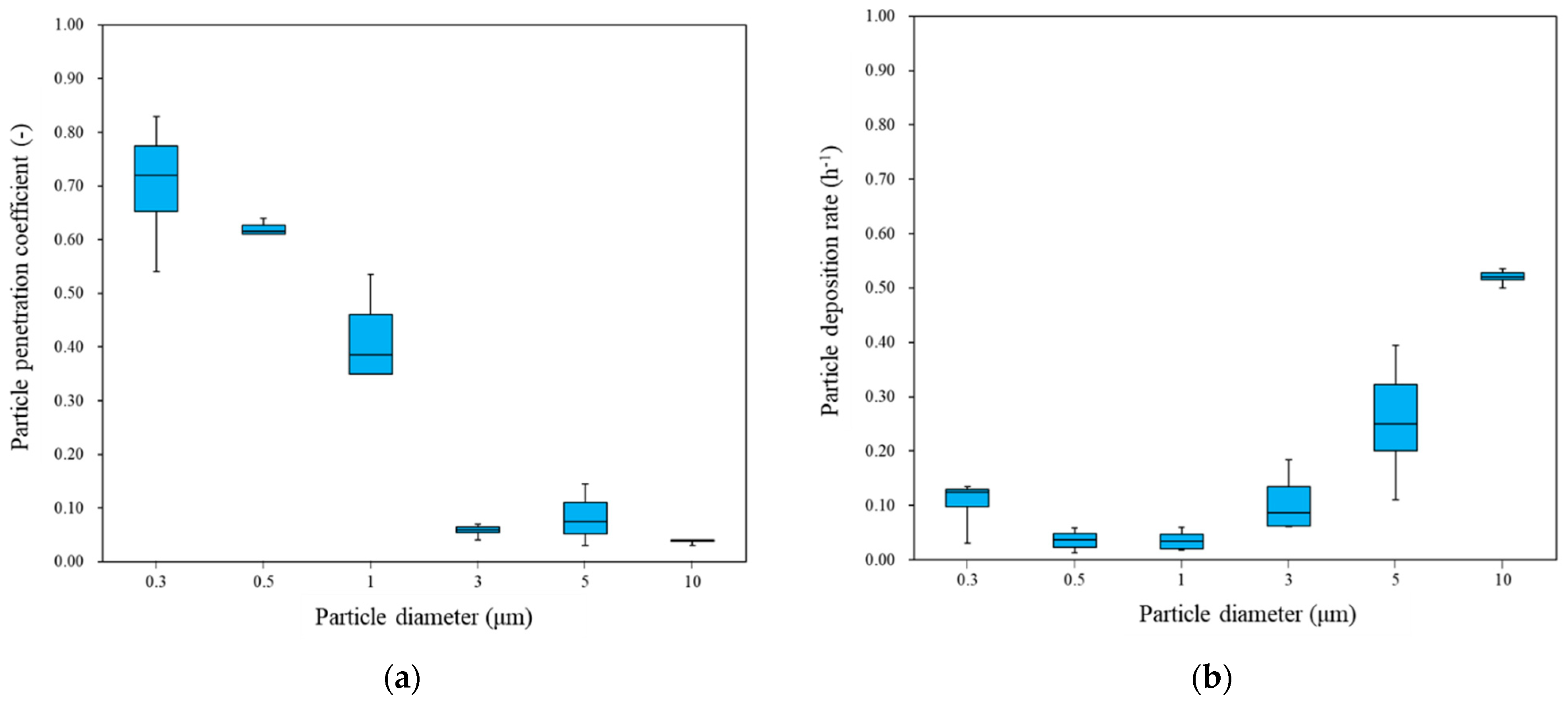
4.3. Particle Results (II): Indoor/Outdoor (I/O) Ratio Comparison Based on Particle Diameter
4.4. Particle Results (III): Indoor Particle Concentration Dependence on Outdoor PM Level
5. Discussion
5.1. Validity of Temporal and Spatial PM Evaluation Method
5.2. Promise of Multi-Zone Simulation Method for Evaluating Indoor PM Control Strategies
5.3. Limitations
6. Conclusions
Author Contributions
Funding
Data Availability Statement
Conflicts of Interest
Nomenclature
| Volume of building compartment k | m3 | |
| Flow rate of the air that brings the outdoor PM via a pathway m in a building compartment k | m3 s−1 | |
| Penetration coefficient of particles whose diameter is i transported via pathway m | - | |
| Outdoor PM number concentration | # m−3 | |
| Removed airflow rate in building compartment k | m3 s−1 | |
| Particle (particle diameter is i) number concentration in building compartment k | # m−3 | |
| Airflow rate from building compartment j to building compartment k | m3 s−1 | |
| Total surface area of deposition j in building compartment k | m2 | |
| Deposition velocity for deposition surface j in building compartment k | m s−1 | |
| Fraction of the accumulated particles that are available for resuspension from deposition surface j to the indoor air in building compartment k | - | |
| Resuspension rate for deposition surface j in building compartment k | s−1 | |
| Particle (particle diameter is i) number concentration accumulated on deposition surface j of area | # m−2 | |
| Number of particles (particle diameter is i) from indoor sources | # m−3 s−1 | |
| Number of penetrating particles with diameter i | h−1 | |
| Penetration coefficient for particles with diameter i | - | |
| Air exchange rate | h−1 |
References
- Sinclair, J.; Psota-Kelty, L.; Weschler, C.; Shields, H. Measurement and modeling of airbone concentrations and indoor surface accumulation rates of ionic substances at Neenah, Wisconsin. Atmos. Environ. Part A Gen. Top. 1990, 24, 627–638. [Google Scholar] [CrossRef]
- Heil, A.; Goldammer, J.G. Smoke-haze pollution: A review of the 1997 episode in Southeast Asia. Reg. Environ. Chang. 2001, 2, 24–37. [Google Scholar] [CrossRef]
- Hoskins, J.A. Health Effects due to Indoor Air Pollution. Indoor Built Environ. 2003, 12, 427–433. [Google Scholar] [CrossRef]
- Zhang, Y.; Zhao, B.; Li, X. Perceived Particle Intensity: An Indicator to Evaluate Indoor Particle Pollution. Indoor Built Environ. 2006, 15, 155–164. [Google Scholar] [CrossRef]
- Tippayawong, N.; Khuntong, P.; Nitatwichit, C.; Khunatorn, Y.; Tantakitti, C. Indoor/outdoor relationships of size-resolved particle concentrations in naturally ventilated school environments. Build. Environ. 2009, 44, 188–197. [Google Scholar] [CrossRef]
- Chen, C.; Zhao, B. Review of relationship between indoor and outdoor particles: I/O ratio, infiltration factor and penetration factor. Atmos. Environ. 2011, 45, 275–288. [Google Scholar] [CrossRef]
- Goossens, J.; Jonckheere, A.C.; Dupont, L.J.; Bullens, D.M. Air pollution and the airways: Lessons from a century of human urbanization. Atmosphere 2021, 12, 898. [Google Scholar] [CrossRef]
- Weschler, C.J.; Shields, H.C.; Naik, D.V. Indoor Ozone Exposures. JAPCA 1989, 39, 1562–1568. [Google Scholar] [CrossRef]
- Jenkins, P.L.; Phillips, T.J.; Mulberg, E.J.; Hui, S.P. Activity patterns of Californians: Use of and proximity to indoor pollutant sources. Atmos. Environ. Part A Gen. Top. 1992, 26, 2141–2148. [Google Scholar] [CrossRef]
- Sessa, R.; Di, P.M.; Schiavoni, G.; Santino, I.; Altieri, A.; Pinelli, S.; Del, P.M. Microbiological indoor air quality in healthy buildings. New Microbiol. 2002, 25, 51–56. [Google Scholar]
- Wang, Z.; Liu, C.; Qian, H.; Zheng, X.; Ji, W.; Zhang, X. Effect of particulate iron on tracking indoor PM2.5 of outdoor origin: A case study in Nanjing, China. Indoor Built Environ. 2021, 30, 711–723. [Google Scholar] [CrossRef]
- Martins, N.R.; Graça, G.C. Impact of outdoor PM2.5 on natural ventilation usability in California’s nondomestic buildings. Appl. Energy 2017, 189, 711–724. [Google Scholar] [CrossRef]
- Yin, H.; Liu, C.; Zhang, L.; Li, A.; Ma, Z. Measurement and evaluation of indoor air quality in naturally ventilated residential buildings. Indoor Built Environ. 2019, 28, 1307–1323. [Google Scholar] [CrossRef]
- Ruan, T.; Rim, D. Indoor air pollution in office buildings in mega-cities: Effects of filtration efficiency and outdoor air ventilation rates. Sustain. Cities Soc. 2019, 49, 101609. [Google Scholar] [CrossRef]
- Abt, E.; Suh, H.; Allen, G.; Koutrakis, P. Characterization of indoor particle sources: A study conducted in the metro-politan Boston area. Environ. Health Perspect. 2000, 108, 35–44. [Google Scholar] [CrossRef]
- Nazaroff, W.W. Indoor particle dynamics. Indoor Air 2004, 14, 175–183. [Google Scholar] [CrossRef]
- He, C.; Morawska, L.; Hitchins, J.; Gilbert, D. Contribution from indoor sources to particle number and mass concen-trations in residential houses. Atmos. Environ. 2004, 38, 3405–3415. [Google Scholar] [CrossRef]
- Gens, A.; Hurley, J.F.; Tuomisto, J.T.; Friedrich, R. Health impacts due to personal exposure to fine particles caused by insulation of residential buildings in Europe. Atmos. Environ. 2014, 84, 213–221. [Google Scholar] [CrossRef]
- Wallis, S.L.; Hernandez, G.; Poyner, D.; Holmes, W.; Birchmore, R.; Berry, T. Particle matter in residential buildings in New Zealand: Part II. The impact of building airtightness, mechanical ventilation using simulated occupancy. Atmos. Environ. X 2019, 2, 100026. [Google Scholar]
- Brittain, O.S.; Wood, H.; Kumar, P. Prioritising indoor air quality in building design can mitigate future airborne viral outbreaks. Cities Health 2020, 5, S162–S165. [Google Scholar] [CrossRef]
- Yu, L.; Kang, N.; Wang, W.; Guo, H.; Ji, J. Study on the Influence of Air Tightness of the Building Envelope on Indoor Particle Concentration. Sustainability 2020, 12, 1708. [Google Scholar] [CrossRef]
- Hamilton, R.S.; Mansfield, T.A. Airborne particulate elemental carbon: Its sources, transport and contribution to dark smoke and soiling. Atmos. Environ. Part A Gen. Top. 1991, 25, 715–723. [Google Scholar] [CrossRef]
- Miller, S.L.; Nazaroff, W.W. Environmental tobacco smoke particles in multizone indoor environments. Atmos. Environ. 2001, 35, 2053–2067. [Google Scholar] [CrossRef]
- Morawska, L.; He, C.; Hitchins, J.; Grilbert, D.; Parappukkaran, S. The relationship between indoor and outdoor airborne particles in the residential environmenet. Atmos. Environ. 2001, 35, 3463–3473. [Google Scholar] [CrossRef]
- Wallace, L. Indoor Particles: A Review. J. Air Waste Manag. Assoc. 1996, 46, 98–126. [Google Scholar] [CrossRef]
- Chen, A.; Cao, Q.; Zhou, J.; Yang, B.; Chang, V.W.-C.; Nazaroff, W.W. Indoor and outdoor particles in an air-conditioned building during and after the 2013 haze in Singapore. Build. Environ. 2016, 99, 73–81. [Google Scholar] [CrossRef]
- Deng, G.; Li, Z.; Wang, Z.; Gao, J.; Xu, Z.; Li, J.; Wang, Z. Indoor/outdoor relationship of PM2.5 concentration in typical buildings with and without air cleaning in Beiling. Indoor Built Environ. 2016, 26, 60–68. [Google Scholar] [CrossRef]
- Liao, C.-M.; Huang, S.-J.; Yu, H. Size-dependent particulate matter indoor/outdoor relationships for a wind-induced naturally ventilated airspace. Build. Environ. 2004, 39, 411–420. [Google Scholar] [CrossRef]
- Liu, X.; Zhai, Z. Identification of Appropriate CFD Models for Simulating Aerosol Particle and Droplet Indoor Transport. Indoor Built Environ. 2007, 16, 322–330. [Google Scholar] [CrossRef]
- Chen, Q. Ventilation performance prediction for buildings: A method overview and recent applications. Build. Environ. 2009, 44, 848–858. [Google Scholar] [CrossRef]
- Tong, Z.; Chen, Y.; Malkawi, A.; Adamkiewicz, G.; Spengler, J.D. Quantifying the impact of traffic-related air pollution on the indoor air quality of a naturally ventilated building. Environ. Int. 2016, 89–90, 138–146. [Google Scholar] [CrossRef]
- Liu, W.; You, R.; Chen, C. Modeling transient particle transport by fast fluid dynamics with the Markov chain method. Build. Simul. 2019, 12, 881–889. [Google Scholar] [CrossRef] [PubMed]
- Chu, C.-R.; Yang, K.-J. Transport process of outdoor particulate matter into naturally ventilated buildings. Build. Environ. 2021, 207, 108424. [Google Scholar] [CrossRef]
- Emmerich, S.J. Validation of multizone IAQ modeling of residential-scale buildings: A review. ASHRAE Trans. 2001, 107, 619–628. [Google Scholar]
- Emmerich, S.J.; Nabinger, S.J. Measurement and simulation of the IAQ impact of particle air cleaners in a single-zone building. HVACR Res. 2001, 7, 223–244. [Google Scholar] [CrossRef]
- Rim, D.; Persily, A.; Emmerich, S.; Dols, W.S.; Wallace, L. Multi-zone modeling of size-resolved outdoor ultrafine particle entry into a test house. Atmos. Environ. 2013, 69, 219–230. [Google Scholar] [CrossRef]
- Alonso, M.J.; Dols, W.S.; Mathisen, H.M. Using co-simulation between EnergyPlus and CONTAMW to evaluate recir-culation-based, demand-controlled ventilation strategies in an office building. Build. Environ. 2022, 211, 108737. [Google Scholar] [CrossRef]
- Chen, Z.; Chen, C.; Wei, S.; Liu, Z.; Cao, G.; Du, Y.; Li, G.; Zhu, J.; Ma, Y.; Wang, Y. Determination of key parameters (air exchange rate, penetration factor and deposition rate) for selecting residential air cleaners under different window airtightness levels. Sustain. Cities Soc. 2020, 56, 102087. [Google Scholar] [CrossRef]
- Bekierski, D.; Kostyrko, K.B. The Influence of outdoor particulate matter PM2.5 on indoor air quality: The implementation of a new assessment method. Energies 2021, 14, 6230. [Google Scholar] [CrossRef]
- Miri, A.; Heidari, A.; Davtalab, J.; Nosek, S.; Abdolzadeh, M. In-situ measurements of indoor dust deposition in Sistan region, Iran–the effect of windcatcher orientation. Build. Environ. 2022, 219, 109162. [Google Scholar] [CrossRef]
- Thatcher, T.L.; Nazaroff, W.W. Effect of Small-Scale Obstructions and Surface Textures on Particle Deposition from Natural Convection Flow. Aerosol Sci. Technol. 1997, 27, 709–725. [Google Scholar] [CrossRef]
- Eilts, S.M.; Li, L.; Pope, Z.C.; Hogan, C.J. Characterization of exhaled particle deposition and ventilation in an indoor setting. Atmos. Environ. 2021, 262, 118602. [Google Scholar] [CrossRef]
- Mei, D.; Wen, M.; Xu, X.; Zhu, Y.; Xing, F. The influence of wind speed on airflow and fine particle transport within different building layouts of an industrial city. J. Air Waste Manag. Assoc. 2018, 68, 1038–1050. [Google Scholar] [CrossRef] [PubMed]
- Seoul Institute. Seoul Infographics; Seoul Institute: Seoul, Republic of Korea, 2020; Volume 1. [Google Scholar]
- Slovic, A.D.; Ribeiro, H. Policy instruments surrounding urban air quality: The cases of São Paulo, New York City and Paris. Environ. Sci. Policy 2018, 81, 1–9. [Google Scholar] [CrossRef]
- Dols, W.S.; Emmerich, S.J.; Polidoro, B.J. Coupling the multizone airflow and contaminant transport software CONTAM with EnergyPlus using co-simulation. Build. Simul. 2016, 9, 469–479. [Google Scholar] [CrossRef] [PubMed]
- Lai, A.C.K. Modeling of airborne particle exposure and effectiveness of engineering control strategies. Build. Environ. 2004, 39, 599–610. [Google Scholar] [CrossRef]
- Sohn, M.D.; Apte, M.G.; Sextro, R.G.; Lai, A.C.K. Predicting sizeresolved particle behavior in multizone buildings. Atmos. Environ. 2007, 41, 1473–1482. [Google Scholar] [CrossRef]
- Demetriou, D.W.; Khalifa, H.E. Evaluation of distributed environmental control systems for improving IAQ and reducing energy consumption in office buildings. Build. Simul. 2009, 2, 197–214. [Google Scholar] [CrossRef]
- Miller, R.S. Elevator shaft pressurization for smoke control in tall buildings: The Seattle approach. Build. Environ. 2011, 46, 2247–2254. [Google Scholar] [CrossRef]
- Walton, G.N. AIRNET—A Computer Program for Building Airflow Network Modeling; National Institute of Standards and Technology: Gaithersburg, MD, USA, 1989. [Google Scholar]
- Lee, B.H.; Yee, S.W.; Kang, D.H.; Yeo, M.S.; Kim, K.W. Multi-zone simulation of outdoor particle penetration and transport in a multi-story building. Build. Simul. 2016, 10, 525–534. [Google Scholar] [CrossRef]
- Chao, C.Y.; Wan, M.; Cheng, E.C. Penetration coefficient and deposition rate as a function of particle size in non-smoking naturally ventilated residences. Atmos. Environ. 2003, 37, 4233–4241. [Google Scholar] [CrossRef]
- Elimelech, M.; Gregory, J.; Jia, X.; Williams, R.A. Introduction. In Particle Deposition & Aggregation, 1st ed.; Butterworth-Heinemann: Oxford, UK, 1995; Volume 1, pp. 3–5. [Google Scholar]
- Dols, W.S.; Milando, C.W.; Ng, L.; Emmerich, S.J.; Teo, J. On the Benefits of Whole-building IAQ, Ventilation, Infiltration, and Energy Analysis Using Co-simulation between CONTAM and EnergyPlus. J. Phys. Conf. Ser. 2021, 2069, 012183. [Google Scholar] [CrossRef]
- Heibati, S.; Maref, W.; Saber, H.H. Assessing the energy, indoor air quality and moisture performance for a three-story building using an integrated model, part two: Integrating the indoor air quality, moisture and thermal comfort. Energies 2021, 14, 5648. [Google Scholar] [CrossRef]
- Underhill, L.J.; Dols, W.S.; Lee, S.K.; Fabian, M.P.; Levy, J.I. Quantifying the impact of housing interventions on indoor air quality and energy consumption using coupled simulation models. J. Expo. Sci. Environ. Epidemiol. 2020, 30, 436–447. [Google Scholar] [CrossRef] [PubMed]












| Case 1 | Case 2 | Case 3 | Case 4 | |
|---|---|---|---|---|
| Season | Spring | Summer | Autumn | Winter |
| Outdoor temperature (°C) | 12.0 | 24.3 | 14.4 | –0.5 |
| Relative humidity (%) | 59 | 74 | 65 | 59 |
| Wind velocity (m s−1) | 2.7 | 2.2 | 2.0 | 2.4 |
| Wind direction (°) | 270 | 68 | 45 | 293 |
| Indoor temperature (°C) | 23.0 | 25.0 | 23.0 | 22.0 |
| PM Diameter (μm) | Mass Concentration (μg m−3) | |||
|---|---|---|---|---|
| Case 1 | Case 2 | Case 3 | Case 4 | |
| 0.3 | 14.4 | 5.0 | 9.0 | 19.6 |
| 0.5 | 9.6 | 3.3 | 6.0 | 13.1 |
| 1.0 | 14.4 | 5.0 | 9.0 | 19.6 |
| 3.0 | 4.7 | 1.5 | 3.0 | 13.8 |
| 5.0 | 14.1 | 4.6 | 8.9 | 41.3 |
| 10.0 | 6.3 | 2.1 | 4.0 | 18.4 |
| Total | 63.5 | 21.5 | 39.8 | 125.6 |
| Particle Diameter (μm) | Normal | Yellow Dust Storm | Smog | |||
|---|---|---|---|---|---|---|
| Mass Concentration (μg m−3) | Mass Fraction | Mass Concentration (μg m−3) | Mass Fraction | Mass Concentration (μg m−3) | Mass Fraction | |
| 0.3 | 19.6 | 0.13 | 8.7 | 0.01 | 18.3 | 0.16 |
| 0.5 | 13.1 | 0.08 | 8.7 | 0.01 | 18.3 | 0.16 |
| 1.0 | 19.6 | 0.13 | 34.8 | 0.04 | 15.5 | 0.14 |
| 3.0 | 13.8 | 0.13 | 7.1 | 0.09 | 9.6 | 0.07 |
| 5.0 | 41.3 | 0.38 | 38.7 | 0.49 | 39.3 | 0.28 |
| 10.0 | 18.4 | 0.17 | 27.6 | 0.35 | 24.5 | 0.28 |
| Total | 125.6 | 1 | 125.6 | 1 | 125.6 | 1 |
Disclaimer/Publisher’s Note: The statements, opinions and data contained in all publications are solely those of the individual author(s) and contributor(s) and not of MDPI and/or the editor(s). MDPI and/or the editor(s) disclaim responsibility for any injury to people or property resulting from any ideas, methods, instructions or products referred to in the content. |
© 2023 by the authors. Licensee MDPI, Basel, Switzerland. This article is an open access article distributed under the terms and conditions of the Creative Commons Attribution (CC BY) license (https://creativecommons.org/licenses/by/4.0/).
Share and Cite
Lee, B.-H.; Baek, S.-H. Feasibility of Multi-Zone Simulation for Estimating Contributions of Outdoor Particulate Pollution to Indoor Particulate Matter Concentration. Buildings 2023, 13, 673. https://doi.org/10.3390/buildings13030673
Lee B-H, Baek S-H. Feasibility of Multi-Zone Simulation for Estimating Contributions of Outdoor Particulate Pollution to Indoor Particulate Matter Concentration. Buildings. 2023; 13(3):673. https://doi.org/10.3390/buildings13030673
Chicago/Turabian StyleLee, Byung-Hee, and Seung-Hyo Baek. 2023. "Feasibility of Multi-Zone Simulation for Estimating Contributions of Outdoor Particulate Pollution to Indoor Particulate Matter Concentration" Buildings 13, no. 3: 673. https://doi.org/10.3390/buildings13030673
APA StyleLee, B.-H., & Baek, S.-H. (2023). Feasibility of Multi-Zone Simulation for Estimating Contributions of Outdoor Particulate Pollution to Indoor Particulate Matter Concentration. Buildings, 13(3), 673. https://doi.org/10.3390/buildings13030673
