Abstract
Due to the harsh application environment, sodium sulfate corrosion poses a considerable threat to the performance of reinforced concrete. Considering high fluidization and early strength cement grouts (HECG) are widely adopted in the repair engineering of reinforced concrete, HECG are also subjected to the action of corrosive substances. Even though numerous research results disclosed the effect of sodium sulfate corrosion on the performance and the degradation mechanisms of conventional cement grouts, the degradation mechanisms of HECG under sodium sulfate corrosion are still to be studied because HECG have the exceptional characteristics of high fluidization and early strength that conventional cement grouts do not have. Hence, the compressive and flexural strengths of HECG after corrosion with different sodium sulfate solution concentrations and corrosion times were tested in this study. Moreover, the evolution of the microstructure of HECG in the process of corrosion was analyzed with a Scanning Electron Microscope (SEM) test. The changes in the hydration products were investigated through the X-ray diffraction (XRD) test and the Differential Scanning Calorimeter (DSC) test. Consequently, the degradation mechanisms of HECG in the case of different sodium sulfate solution concentrations and corrosion times were revealed. The results indicate that the corrosion of sodium sulfate and hydration exists simultaneously when the corrosion time is less than 7 days. When the corrosion time is 14 days, the hydration of HECG was complete. The main source of the early strength of HECG is that the C-S-H gel crosses and clings to form a solid and compact whole in three-dimensional space. The effect of Na2SO4 on the early strength formation of HECG is that the corrosion of Na2SO4 can postpone the conversion of CH crystal into C-S-H gel and damage the generated CH crystal. This study on the degradation mechanisms of HECG exposed to sodium sulfate corrosion can provide new ideas for sulfate resistance and durability design of HECG.
1. Introduction
Reinforced concrete has been widely adopted in civil infrastructure. Owing to the complicacy of engineering environment for infrastructures, some defects (e.g., cracks, holes, etc.) in the reinforced concrete are inevitable in the service process. The cement grouts, which have the characteristics of high fluidization and early strength, are one type of the most popular repair materials adopted in reinforced concrete. Obviously, the cement grouts play an important role in the performance of reinforced concrete because the cement grouts directly fill the weakness zone of reinforced concrete. On the other hand, owing to complex service conditions, reinforced concrete will be corroded by corrosive substances [1,2], e.g., sodium ions, chloride ions, magnesium ions, sulfate ions, and so on [3,4,5]. The cement grouts are also subjected to the action of corrosive substances. Hence, considering the importance of early strength for the cement grouts, it is important to investigate the early strength evolution of cement grouts subjected to Na2SO4 corrosion.
Moreover, sulfates are more able to corrode cement-based materials compared toother corrosive ions, owing to the sulfates that will participate in and disturb the hydration process of the cement. Accordingly, the sulfates from soil, groundwater, and industrial wastewater were identified as common sources of corrosion for cement-based materials [6,7,8]. Xiong et al. [9] demonstrated the compressive strength of cement mortar in the corrosion of NaCl and Na2SO4 solutions and indicated that the corrosion of cement mortar in the case of Na2SO4 is more serious. Girardi et al. [10] examined the behavior of three different cements in relation toa cyclic exposure to sodium sulfate solution. Xiong et al. [11] used electrochemical impedance spectroscopy analysis to analyze the sodium sulfate diffusion process in cement paste and propose a model of equivalent circuits of cement paste subjected to sulfate erosion. Hu et al. [12] employed polypropylene fiber to treat the cement mortar to enhance its performance in the case of sulfate corrosion, as the erosion of sulfate is one of the most complex and harmful chemical corrosion actions. Li et al. [13] established an X-CT-hydration–deterioration model in a new way that combined the hydration behavior and the corrosion of sodium sulfate. Medina et al. [14] analyzed the microstructural, mineralogical, and morphological decay in cement paste specimens that corroded due to sodium sulfate. Yang et al. [2] evaluated the damage process of cement pastes subjected to sodium sulfate corrosion quantitatively by using X-ray computed tomography. Yang et al. [15] also did similar research. Wu et al. [16] revealed the degradation mechanisms and erosion products of Portland cement blended with limestone powder and subjected to sodium sulfate corrosion. Zhang et al. [17] found the main factor that leads to the deterioration of calcium sulfoaluminate cement specimens in the preliminary stage of sulfate attack is salt crystallization. Li et al. [18] employed a3D mesoscale numerical simulation to simulate a uniaxial compression test and the damage process of cement specimens exposed to a sodium sulfate attack. Qiao et al. [19] proposed a propagation model of cracks in cement mortar under sodium sulfate corrosion and found that damage played a pivotal role in the transmission of sulfate ions. Zhou et al. [20] established a chemical-micromechanical damage model of sulfate attacks on concrete with elastic damage mechanics. Huang et al. [21] analyzed the damage process of cement mortar subjected to sulfate attacks under an electrical field.
The previous studies carried out a large number of experiments on cement-based materials enduring sulfate corrosion. Some crack propagation models, damage models, and three-dimensional space–time models were established to demonstrate the degradation mechanisms of cement-based materials exposed to corrosion caused by sulfates, especially sodium sulfate corrosion. Hence, it was more practical and representative to investigate the corrosion of cement-based materials exposed to sodium sulfate, owing to the fact that the effect mechanisms of sodium are more troublesome than those of other sulfates [9].
The hydration products are directly related to the strength of cement test pieces because they are the main strength sources for cement-based materials. The sodium sulfate will participate and disturb the process of hydration reaction, which will contribute to the decrease or disappearance of original hydration products. Yang et al. [15] indicated that the main corrosion products of the cement paste with high water-to-cement ratios, in the case of sodium sulfate corrosion, are ettringite and gypsum. Wu et al. [16] demonstrated that thaumasite and ettringite were the main erosion products of Portland cement blended with limestone powder under the erosion of sodium sulfate. Zhang et al. [17] showed that the stability of ettringite was affected by SO42− and Na+. Zhang et al. [22] introduced the idea that ettringite (AFt) and gypsum gradually increase as the concentration of Na2SO4 solution increases, causing cross-cracks in the concrete. Yao et al. [23] investigated the damage mechanisms and microstructures of hydration products under the corrosive effect of sodium sulfate using microscopic methods, including SEM tests and XRD tests. Li et al. [24], Peng et al. [25], and Jiang et al. [26] also conducted similar studies. Zhang et al. [27] found that reducing the pH value of a sulfate solution contributes to gypsum crystal formation while inhibiting the formation of ettringite in cement paste.
Cement grouts is an emblematic cement-based material which is widely adopted in reinforcement engineering [28,29], maintenance engineering [28,30,31], road engineering [32,33], and other construction projects. Moreover, with the continuous development of modern infrastructure and the improvement of construction technology, some new engineering requirements (e.g., high fluidization [34,35,36], early strength [37,38,39], etc.) are put forward for the cement grouts. High fluidization can ensure the workability of cement grouts, and early strength can shorten the construction period. Moreover, owing to the peculiarity of high fluidization and early strength, the hydration processes of high fluidization and early strength cement grouts (HECG) are obviously different from conventional cement grouts. Consequently, the degradation mechanisms of HECG in the corrosion of sodium sulfate are also significantly different from conventional cement grouts. However, most of the existing studies mainly concentrated on conventional cement grouts. With the increasing application of HECG, it is necessary to reveal its degradation mechanisms to improve the durability of structures.
Hence, the objective of this study is to reveal the degradation mechanisms of HECG under the corrosive effect of sodium sulfate. The flexural and compressive strengths of HECG after corrosion under different corrosion conditions were investigated in this study. Moreover, the evolution of the microstructure of HECG in the process of corrosion was analyzed by using a SEM test. The changes in the hydration products were investigated through an XRD test and a DSC test. Consequently, the influence mechanisms of the sodium sulfate on the early strength formation of HECG were analyzed to reveal the degradation mechanisms of HECG with different sodium sulfate solution concentrations, and their corrosion times were revealed.
2. Materials and Methods
2.1. Materials
2.1.1. Cement and Additive
The cement used in this study was Zhonglian P. O. 42.5R cement, which was manufactured by QingzhouZhonglian Cement Co., Ltd. (Qingzhou city, China). The accelerating agent (AA), water reducing agent (WA), and U-type expansion agent (UEA) were obtained from Yuncheng Daming Material Technology Co., Ltd. (Yucheng city, China). The cement and three kinds of admixtures were employed to prepare HECG. Their basic properties are presented in Table 1, Table 2, Table 3 and Table 4, respectively. Their morphologies at indoor temperature are displayed in Figure 1.
Table 1.
Basic properties of the cement.
Table 2.
Basic properties of the water-reducing agent.
Table 3.
Basic properties of the accelerating agent.
Table 4.
Basic properties of the expansion agent.
Figure 1.
Cement and admixture. (a) Cement; (b) AA; (c) WA; (d) UEA.
2.1.2. Na2SO4
The sodium sulfate (Na2SO4) used was manufactured by Yantai Shuangshuang Chemical Co., Ltd (Yantai city, China). The key parameters and macro- and micro-scale pictures of Na2SO4 are shown in Table 5 and Figure 2, respectively.
Table 5.
Key parameters of Na2SO4.
Figure 2.
Additive. (a) Na2SO4; (b) SEM picture.
In addition, normal cement grouts without any additives are rarely adopted in engineering applications. The strength degradation mechanisms of normal cement grouts (i.e., normal cement mortars) under sulphate corrosion were widely discussed in previous studies [40,41]. Their results show that they are similar to conventional cement-based materials, owing to the fact that the sulphate only reacts with the cement in the normal cement-based materials without any additives. Obviously, this study is more targeted toward directly analyzing the degradation mechanisms of HECG under sodium sulfate corrosion, owing to the fact that the mechanisms of HECG are significantly different from those of normal cement grouts and cement mortars. Moreover, considering the limitation of time and funding, normal cement grouts were not analyzed in this study.
2.2. Methods
2.2.1. Preparation Process of HECG
The preparation of the HECG is presented in Figure 3. The compositions of the HECG were2.5% AA, 5% EA, and 1.2% WA. The water–cement ratio was 0.56. According to the Chinese test standard [42], the size of each HECG strength sample was 4 cm × 4 cm × 16 cm.
Figure 3.
The preparation process of HECG.
2.2.2. Preparation of Na2SO4 Solution and Corrosion Method
The preparation process of Na2SO4 solution and corrosion method are presented in Figure 4. The Na2SO4 solution in the plastic bottle was employed to conduct the corrosion of microscopic specimens. The standard cuboid specimens (40 mm × 40 mm × 160 mm) were corroded by the Na2SO4 solution in a bucket. Moreover, the concentrations of the sodium sulfate solutions were 0%, 3%, 6%, 9%, and 12%.
Figure 4.
The preparation of Na2SO4 solution and corrosion method.
2.2.3. Preparation Process of the Microscopic Specimens
The preparation process for the microscopic specimens is displayed in Figure 5.
Figure 5.
The preparation process for the microscopic test specimens.
2.2.4. Strength Test
The strength tests of the HECG specimens were conducted using the DYE-300S fully automatic flexural and compressive machine (Figure 6). Following the Chinese Cement and Concrete test standard [42], each specimen’s size was 4 cm × 4 cm, and the loading rate was 2.4 kN/s in the compressive test. Moreover, in the flexural test, the sample side length was 4 cm, the span was 10 cm, and the loading rate was 50 N/s.
Figure 6.
Strength test. (a) Machine; (b) flexural test; (c) compressive test.
2.2.5. SEM Test
In this study, the observation of the microstructures of the HECG specimens was done using the TFiSThermo Scientific Apreo S HiVac Scanning Electron Microscope (Figure 7a). The magnification of each SEM image was 20,000 times. The SEM specimens of HECG are shown in Figure 7b.
Figure 7.
SEM and HECG samples. (a) SEM; (b) SEM samples of HECG.
2.2.6. XRD Test
Changes in the diffraction peak intensities of the hydration products of the HECG were analyzed via the Bruker AXS D8-02 Polycrystalline X-ray Diffractometer (Figure 8a), which was produced in Germany. The XRD specimens of HECG are presented in Figure 8b.
Figure 8.
The XRD and HECG samples. (a) XRD; (b) XRD specimens of HECG.
2.2.7. DSC Test
In this study, the weight and heat changes of the hydration products of the HECG were investigated via the SDT650 Differential Scanning Calorimeter (Figure 9), which was manufactured by TA Company in the US. The DSC test specimens were the same as the XRD test.
Figure 9.
DSC.
3. The Strength Variation of HECG
The results of the compressive and flexural strength test of HECG specimens that corroded in 0%, 3%, 6%, 9%, and 12% sodium sulfate solution for 3, 7, 14, and 28 days are shown in Table 6.
Table 6.
The test results of compressive strength and flexural strength.
The variation trend of flexural and compressive strengths with the change of corrosion time and Na2SO4 solution concentration are shown in Figure 10.
Figure 10.
The variation trend of flexural and compressive strengths. (a) Flexural strength; (b) compressive strength; (c) flexural strength; (d) compressive strength.
As presented in Figure 10c,d, with the increase of Na2SO4 solution concentration, the compressive and flexural strength of the HECG corroded for 3 days and 7 days first increased and then decreased. This may be attributed to the reaction of SO42− with Ca2+ to form CaSO4·2H2O in the early stage of hydration. CaSO4·2H2O can provide some additional strength to compensate for the adverse effects of corrosion on the compressive and flexural strength of the HECG. However, the flexural and compressive strength decreased gradually as the solution concentration increased, and the effect of corrosion became more obvious. When the corrosion time was 14 days and 28 days, the flexural and compressive strength of HECG decreased continuously as the concentration of the Na2SO4 solution increased. This is because the hydration of the HECG specimen with early strength had completed at this time, and its hydration products were basically fixed. Corrosion became more and more obvious with the increase of solution concentration.
In addition, as shown in Figure 10a,b, when the corrosion time did not reach 7 days, the compressive and flexural strength of HECG at the same solution concentration increased with the increase of corrosion time. It reached its maximum at the seventh day. This is due to the simultaneous existence of corrosion and hydration as well as the hydration of the HECG specimen being stronger than the corrosion of Na2SO4 at this stage. With the passage of corrosion time, the hydration of the HECG specimen gradually ended. Hence, the flexural strength of HECG gradually decreased, owing to the continuous process of Na2SO4 corrosion. However, it should be noted that the change of compressive strength was not significant, which needs close attention in the subsequent microscopic analysis.
4. The Evolutionary Process of HECG’s Microstructure
The major hydration products of HECG are C-S-H gel, CH crystal, ettringite, etc., whose composition and properties have a decisive effect on the strength of HECG. Hence, the microstructure changes of the HECG specimens with different corrosion solution concentrations were observed by performing SEM tests to explore the evolution processes of their hydration products.
As presented in Figure A1 in Appendix A, the SEM images display the microstructure of internal (IN) and surface (SU) of HECG corroded in 0%, 3%, 6%, 9%, and 12% Na2SO4 solutions for 3, 7, 14, and 28 days.
When the corrosion time was 3 days, under standard curing conditions (no corrosion), the C-S-H gel and ettringite had basically generated. The C-S-H gel crosses and clings to form a dense and solid three-dimensional space structure, which is the main source of the early strength of HECG. It demonstrates that the effect of early hydration of HECG is quite remarkable, and the aim of early strength was attained. At the same time, the ettringite that can be observed from the surface microstructure becomes shorter and coarser after corrosion, and the tiny cracks that occurred in CH crystal became more and more apparent as the concentration of Na2SO4 solution increased. It demonstrates that the corrosion effect of sodium sulfate intensified as the concentration of Na2SO4 solution increased. In addition, the formation of block CaSO4·2H2O was also observed, which provided some early strength for the HECG specimen. However, the amount of block CaSO4·2H2O did not increase significantly with the increase of salt solution concentration. This explains the reason for the increase and decrease of the compressive and flexural strength of the HECG specimens with the increase in salt solution concentration at a lower corrosion time (3 days) (see Figure 10c,d). Moreover, compared with the surface microstructure, differences in the internal microstructure under different sodium sulfate solution concentrations were not apparent, showing that the inside of the HECG specimen was not corroded by the Na2SO4.
When the corrosion time was7 days, the C-S-H gel in HECG continued to increase after standard curing for 7 days, and the wrapping effect of CH crystal was more obvious compared to HECG standard curing for 3 days. The ettringite was almost invisible, and the densification of the microstructure was enhanced, indicating that hydration had further completed. Under the corrosion of Na2SO4, the erosion of SO42− to the lamellate and plate CH crystals in the surface microstructure of HECG was further aggravated compared to that seen after3 days of corrosion. The obvious fracture and edge gnawing phenomena could be also observed. Compared with uncorroded HECG, the amount of C-S-H gel decreased, and the amount of CH crystals increased. Hence, the corrosion of Na2SO4 can postpone the conversion of CH crystal into C-S-H gel and damage the generated CH crystal. This may be the effect of Na2SO4 on the early strength formation of HECG. Additionally, the difference between internal and surface microstructures at this stage was smaller than that after3 days of corrosion, which indicates the corrosion of Na2SO4 hadpermeated into the internal of HECG. At the same time, sodium sulfate crystals could be observed significantly in the surface microstructure, indicating that the surface sodium sulfate began to become saturated.
The microstructures of the specimens after 14 days of standard curing were similar to that of 7 days of standard curing, which demonstrates that HECG’s hydration reaction was basically completed by that time. When the corrosion time was 14 days, the destruction of the HECG specimen’s microscopic structure was more apparent, but the number of CH crystals was significantly reduced compared to that after7 days of corrosion. The microstructure damage became the main manifestation of corrosion damage. This indicates that the corrosion of Na2SO4 merely postpones the hydration process of HECG, but it does not restrain it. Even under the corrosion of sodium sulfate solution, the hydration of the HECG specimen completed after14 days of corrosion. Nevertheless, the flexural strength decreased rapidly (see Figure 10c,d) because of the severe destruction of the microstructure. Furthermore, the destruction of microstructure predominantly occurred inside of the HECG specimen at the current stage. The difference of surface microstructure was not obvious with the change of solution concentration, indicating that the Na2SO4 corroded the inside of the HECG specimen at that time and had reached saturation in the surface.
Compared to14 days of corrosion, there was no significant difference in the internal and surface microstructure of HECG after 28 days of corrosion, except that the damage of the internal microstructure was further aggravated. This indicates that the hydration products were basically stable, and the corrosion caused byNa2SO4 to the interior structure of the HECG specimen was the primary reason for the decrease of the flexural strength at that time. In addition, due to the damage of these microstructures, dominated by cracks, they were obviously more sensitive to tensile stress. The macroscopic manifestation was the attenuation of flexural strength of the HECG specimen being more obvious than that of compressive strength under the action of long-term corrosion.
In addition, as shown in Table 6, it can be found that the changes in compressive strength and flexible strength were both significant at early corrosion time (3 days). With the increase of corrosion time (longer than 7 days), the effect of Na2SO4 corrosion on the compressive strength of HECG was present, which was weaker than the flexible strength. First, it is well-known that the tensile resistance of cement-based materials is much lower than their compressive strength. Under the action of Na2SO4 corrosion, the change inflexible strength was naturally more prominent than the change in compressive strength. Second, the damage to the internal structure of the HECG specimens by Na2SO4 was one of the main reasons for strength attenuation. As shown in Figure A1 in the Appendix A, cracks were the main damage type to the microscopic structure of the HECG specimens, which are more sensitive to tensile force. Hence, the change of compressive strength under the action of Na2SO4 corrosion was weaker than flexible strength.
5. The Variation of Hydration Products of HECG
The XRD test and the DSC test were adopted to analyze the variation law of HECG hydration products. The analysis results are as follows.
5.1. XRD Test Results
The XRD test can explore the variation of all kinds of hydration products in HECG, owing to the fact that the content of the hydration products can be appraised via diffraction peak intensity. Hence, the hydration process of HECG can be reflected through changes in diffraction peak intensity for all of its hydration products. The diffraction patterns of HECG under different corrosion conditions are presented in Figure A2 in Appendix A.
In order to conduct quantitative analysis, the diffraction peak intensity of CH crystal was measured to quantitatively analyze the hydration process of HECG. The results are presented in Figure 11.
Figure 11.
The variations of diffraction peak intensities of CH crystal. (a) IN; (b) SU; (c) IN; (d) SU.
As presented in Figure 11a,b, the diffraction peak intensity of CH crystal in HECG under standard curing conditions (no corrosion) decreased with the increase of corrosion time. It decreased rapidly in the early stage and gradually slowed down in the later stage. This is due to most of the CH crystals transforming into C-S-H gel after 7 days of hydration. In the corrosive environment, the diffraction peak intensity of CH crystal first decreased, then increased, and then decreased again with the increase of corrosion time. This is owing to the CH crystal’s change into C-S-H gel at the early hydration stage, after which its diffraction peak intensity decreased. Under the corrosion of Na2SO4, CH crystal reacted with SO42− to form CaSO4·2H2O. The higher the concentration of solution, the more CaSO4·2H2O was formed. With the increase of CaSO4·2H2O content, the conversion rate of CH crystal to C-S-H gel slowed down, and the loss of CH crystal slowed down and gradually accumulated, leading to the increase in the diffraction peak intensity of the CH crystal. As the hydration reaction continued, the content of C3S decreased, and the number of CH crystals decreased; thus, the diffraction peak intensity dropped again.
As presented in Figure 11c,d, the diffraction peak intensity of the CH crystal first decreased and then increased with the increase of the concentration of Na2SO4 solution at 3 days and 7 days of corrosion time, and it continued to increase at 14 and 28 days of corrosion time. This is mainly due to the fact that the effect of hydration was stronger than corrosion over a shorter corrosion period (3 days and 7 days). However, the corrosion effect gradually became stronger with the increase of solution concentration. Consequently, there was a trend of increased corrosion after a decrease. In the case of longer corrosion periods (14 days and 28 days), the conversion process of CH crystal to C-S-H gel was obstructed under the corrosion of Na2SO4 solution because the hydration of HECG had basically completed, resulting in the accumulation of CH crystal and the continuous increase of its diffraction peak intensity.
In addition, as shown in Figure 5, the XRD specimens (HECG powder) were manufactured by breaking the cubic specimen after corrosion. The cubic specimens were soaked in the Na2SO4 solution for a target amount of time to realize the corrosion effect. Obviously, the corrosion was carried out from the outside in, resulting in a difference between the inside and the outside of the specimen, especially at the initial stage. However, with the increase of corrosion time, the solution gradually permeated into the cubic specimens, and the corrosion effect on the inside gradually increased. Hence, the difference between inside and outside grew smaller when the corrosion time was longer than 7 days.
5.2. DSC Test Results
The mass loss curves and the heat flow curves of the inside (IN) and the surface (SU) of the HECG specimens are presented in Figure A3, Figure A4, Figure A5, Figure A6 and Figure A7 in Appendix A. The endothermic peak of the first stage represents the dehydration effect of the C-S-H gel, ettringite, and CaSO4·2H2O. The peak of the second stage is the disintegration of CH crystal.
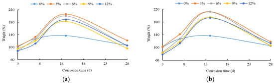
In order to analyze the hydration process quantitatively, the peak area and mass loss variation curves of C-S-H gel, ettringite, and CaSO4·2H2O in the endothermic peak of the first stage were analyzed, and they are presented in Figure 12 and Figure 13.
Figure 12.
The mass loss variation curves. (a) IN; (b) SU; (c) IN; (d) SU.

Figure 13.
The peak area variation curves. (a) IN; (b) SU; (c) IN; (d) SU.
As presented in Figure 12a,b and Figure 13a,b, peak area and mass loss first increased and then decreased as corrosion time increased. When the corrosion time was 14 days, the mass loss and peak area reached a maximum. This shows that the effect of hydration was stronger than the corrosion of Na2SO4 when the corrosion time was less than 14 days. In addition, owing to Na2SO4 corrosion’s destruction of the microscopic structure of HECG, the amount of hydration products decreased when the corrosion time exceeded 14 days.
As presented in Figure 12c,d and Figure 13c,d, with the increase of the sodium sulfate solution’s concentration, the peak area and mass loss first increased and then decreased with the concentration of sodium sulfate at 3% as the boundary. The corrosion effect was weak when the Na2SO4 concentration was less than or equal to 3%. Moreover, Na2SO4 can react with CH crystal to generate calcium sulphate (CaSO4) and accelerate the hydration of C3A to generate ettringite. Hence, the peak area and mass loss first increased. In addition, the corrosion effect gradually became stronger as Na2SO4 concentration increased, whereas the increase of the generated quantity of CaSO4 wasnot significant. At the same time, the 3CaO·Al2O3·3H2O continuedto react with ettringite to generate single sulfur calcium sulfoaluminate after running out of CaSO4. Consequently, the peak area and mass loss then decreased.
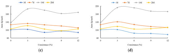
The peak area and mass loss variation curves of the hydration products in the endothermic peak of the second stage are presented in Figure 14 and Figure 15.
Figure 14.
The mass loss variation curves. (a) IN; (b) SU; (c) IN; (d) SU.
Figure 15.
The peak area variation curves. (a) IN; (b) SU; (c) IN; (d) SU.
As presented in Figure 14a,b and Figure 15a,b, with the increase of corrosion time, the peak area and mass loss of CH crystal first decreased and then increased, with the corrosion time at 7 days as the boundary between those periods. The hydration reaction and corrosion effects occurred simultaneously before corrosion time exceeded seven days. Hence, the CH crystal not only participated in the hydration reaction to conservation into C-S-H crystal, but it was also corroded by sodium sulfate to generate calcium sulfate. Hence, the consumption of CH crystals increased greatly, resulting in the peak area and mass loss of CH crystals decreasing promptly during the initial 7-day corrosion period. With the increase of corrosion time, the hydration reaction gradually completed, and the consumption of CH crystal gradually reduced. At the same time, the conservation of CH crystal into C-S-H gel was impeded due to CaSO4 promotingthe adhesion of ettringite, which was produced by the hydration of C3A, to the surface of CH crystals. Hence, the CH crystals accumulated after 7 days of corrosion. Accordingly, the peak area and mass loss increased again.
As presented in Figure 14c,d and Figure 15c,d, with the increase of the concentration of sodium sulfate solution, the peak area and mass loss of CH crystal first decreased and then increased when the corrosion time was 3 days and 7 days, whereas it increased continuously when the corrosion time was 14 days and 28 days. This is due to the hydration and corrosion reactions existing together when corrosion time was short. The corrosion reaction was gradually strengthened with the increase of solution concentration; thus, the consumption of CH crystals involved in hydration reaction also first increased and then decreased. When the corrosion time was long, the hydration reaction terminated, and the blocking effect of sodium sulfate on the transformation of CH crystal into C-S-H gel became more obvious with the increase of its concentration. Hence, the peak area and mass loss of the CH crystals increased gradually.
6. Conclusions
In this study, the flexural and compressive strengths of HECG under different corrosion conditions were investigated. Moreover, the evolution of the microstructure of HECG in the process of corrosion was analyzed by using the SEM test. The changes in the hydration products were investigated through the XRD test and the DSC test. Consequently, the influence mechanisms of the sodium sulfate on the early strength formation of HECG were analyzed to reveal the degradation mechanisms of HECG with different sodium sulfate solution concentrations and corrosion times. The following observations were obtained:
- When the corrosion time was less than 7 days, the corrosion of sodium sulfate and hydration existed simultaneously, and the former was weaker than the latter. When the corrosion time was 14 days, the hydration of HECG was complete, and its hydration products were basically fixed. The corrosion effect became more obvious with the increase of solution concentration.
- The main source of the early strength of HECG was found: the C-S-H gel crossed and clung to form a solid and compact whole in three-dimensional space.
- Most CH crystals formed at the initial hydration stage of HECG converted into C-S-H gel, and the corrosive action of sodium sulfate solution impeded this process.
- The corrosion of Na2SO4 can postpone the conversion of CH crystal into C-S-H gel and damage the generated CH crystal. It may be the effect mechanism of Na2SO4 on the early strength formation of HECG. The corrosion merely postpones the hydration process of HECG, and it does not prevent it.
In addition, owing to limited testing equipment, some advanced test methods used to quantitatively evaluate microscopic characteristics were not adopted in this study; this will be addressed in future studies.
Author Contributions
Conceptualization, Y.X. and S.J.; validation, Y.X. and J.Z.; formal analysis, Y.X., J.Z. and S.J.; investigation, Y.X. and S.J.; resources, Y.X. and J.Z.; data curation, Y.X., J.Z. and S.J.; writing—original draft preparation, Y.X., J.Z. and S.J.; writing—review and editing, Y.X., J.Z. and S.J.; visualization, Y.X. and J.Z.; supervision, S.J.; project administration, S.J.; funding acquisition, S.J. All authors have read and agreed to the published version of the manuscript.
Funding
This study was funding by the Highway Technology Projects of Zhejiang Province (2021011).
Institutional Review Board Statement
Not applicable.
Informed Consent Statement
Not applicable.
Data Availability Statement
Not applicable.
Conflicts of Interest
The authors declare no conflict of interest.
Appendix A

Figure A1.
The SEM Images of HECG.
Figure A1.
The SEM Images of HECG.


Figure A2.
The XRD Diffraction Pattern of HECG. (a) No corrosion, (b) Corrosion for 3 days, (c) Corrosion for 7 days, (d) Corrosion for 14 days, (e) Corrosion for 28 days.
Figure A2.
The XRD Diffraction Pattern of HECG. (a) No corrosion, (b) Corrosion for 3 days, (c) Corrosion for 7 days, (d) Corrosion for 14 days, (e) Corrosion for 28 days.

Figure A3.
The DSC Thermogravimetric Curve of HECG without corrosion.
Figure A3.
The DSC Thermogravimetric Curve of HECG without corrosion.

Figure A4.
The DSC Thermogravimetric Curve of HECG under the corrosion time of 3 days.
Figure A4.
The DSC Thermogravimetric Curve of HECG under the corrosion time of 3 days.

Figure A5.
The DSC Thermogravimetric Curve of HECG under the corrosion time of 7 days.
Figure A5.
The DSC Thermogravimetric Curve of HECG under the corrosion time of 7 days.


Figure A6.
The DSC Thermogravimetric Curve of HECG under the corrosion time of 14 days.
Figure A6.
The DSC Thermogravimetric Curve of HECG under the corrosion time of 14 days.


Figure A7.
The DSC Thermogravimetric Curve of HECG under the corrosion time of 28 days.
Figure A7.
The DSC Thermogravimetric Curve of HECG under the corrosion time of 28 days.

References
- Abd Elmoaty, A.M. Four-years carbonation and chloride induced steel corrosion of sulfate-contaminated aggregates concrete. Constr. Build. Mater. 2018, 163, 539–556. [Google Scholar] [CrossRef]
- Yang, Y.; Zhang, Y.; She, W.; Liu, N.; Liu, Z. In situ observing the erosion process of cement pastes exposed to different sulfate solutions with X-ray computed tomography. Constr. Build. Mater. 2018, 176, 556–565. [Google Scholar] [CrossRef]
- Zhang, K.; Li, W.; Han, F. Performance degradation mechanism and improvement techniques of asphalt mixture in salty and humid environment. Constr. Build. Mater. 2019, 208, 749–757. [Google Scholar] [CrossRef]
- Nicula, L.M.; Corbu, O.; Iliescu, M.; Sandu, A.V.; Hegyi, A. Study on the durability of road concrete with blast furnace slag affected by the corrosion initiated by chloride. Adv. Civ. Eng. 2021, 2021, 8851005. [Google Scholar] [CrossRef]
- Liu, J.; Zhang, W.; Li, Z.; Jin, H.; Tang, L. Influence of deicing salt on the surface properties of concrete specimens after 20 years. Constr. Build. Mater. 2021, 295, 123643. [Google Scholar] [CrossRef]
- Cefis, N.; Comi, C. Chemo-mechanical modelling of the external sulfate attack in concrete. Cem. Concr. Res. 2017, 93, 57–70. [Google Scholar] [CrossRef]
- Wongprachum, W.; Sappakittipakorn, M.; Sukontasukkul, P.; Chindaprasirt, P.; Banthia, N. Resistance to sulfate attack and underwater abrasion of fiber reinforced cement mortar. Constr. Build. Mater. 2018, 189, 686–694. [Google Scholar] [CrossRef]
- Zhao, G.; Li, J.; Shao, W. Effect of mixed chlorides on the degradation and sulfate diffusion of cast-in-situ concrete due to sulfate attack. Constr. Build. Mater. 2018, 181, 49–58. [Google Scholar] [CrossRef]
- Xiong, L.; Chen, H.; Zhang, Y. Anisotropic effects of corrosion direction on the mechanical behaviors of cement mortar. Struct. Concr. 2019, 20, 2206–2219. [Google Scholar]
- Girardi, F.; Vaona, W.; Di Maggio, R. Resistance of different types of concretes to cyclic sulfuric acid and sodium sulfate attack. Cem. Concr. Compos. 2010, 32, 595–602. [Google Scholar] [CrossRef]
- Xiong, C.; Jiang, L.; Zhang, Y.; Chu, H.; Jiang, P. Characterization of sulfate diffusion into cement paste by low frequency impedance spectroscopy. Mater. Lett. 2016, 174, 234–237. [Google Scholar] [CrossRef]
- Hu, Y.; Ma, L. Effect of surface treatment of polypropylene (PP) fiber on the sulfate corrosion resistance of cement mortar. Materials 2021, 13, 3690. [Google Scholar] [CrossRef] [PubMed]
- Li, Y.; Guan, Z.; Wang, Z.; Zhang, G.; Ding, Q. Evaluation of elastic modulus of cement paste in sodium sulfate solution by an advanced X-CT-hydration-deterioration model with SC method. Adv. Cem. Res. 2020, 32, 421–434. [Google Scholar] [CrossRef]
- Medina, G.; del Bosque, I.S.F.; Frias, M.; de Rojas, M.I.S.; Medina, C. Sulfate Resistance in Cements Bearing Ornamental Granite Industry Sludge. Materials 2020, 13, 4081. [Google Scholar] [CrossRef]
- Yang, Y.; Zhang, Y.; She, W.; Wu, Z.; Liu, Z.; Ding, Y. Nondestructive monitoring the deterioration process of cement paste exposed to sodium by X-ray computed tomography. Constr. Build. Mater. 2018, 186, 182–190. [Google Scholar] [CrossRef]
- Wu, M.; Zhang, Y.; Ji, Y.; She, W.; Yang, L.; Liu, G. A comparable study on the deterioration of limestone powder blended cement under sodium sulfate and magnesium sulfate attack at a low temperature. Constr. Build. Mater. 2020, 243, 118279. [Google Scholar] [CrossRef]
- Zhang, W.; Gong, S.; Kang, B. Surface corrosion and microstructure degradation of calcium sulfoaluminate cement subjected to wet-dry cycles in sulfate solution. Adv. Mater. Sci. Eng. 2017, 2017, 1464619. [Google Scholar] [CrossRef]
- Li, Y.; Guan, Z.; Wang, Z.; Wang, P.; Li, Y.; Zhang, G.; Ding, Q. 3D meso-scale finite element modelling on cement paste corroded in sodium sulfate with X-ray CT technique. Constr. Build. Mater. 2019, 202, 727–737. [Google Scholar] [CrossRef]
- Qiao, X.; Chen, J. Correlation of propagation rate of corrosive crack in concrete under sulfate attack and growth rate of delayed ettringite. Eng. Fract. Mech. 2019, 209, 333–343. [Google Scholar] [CrossRef]
- Zhou, S.; Ju, J. A chemo-micromechanical damage model of concrete under sulfate attack. Int. J. Damage Mech. 2021, 30, 1213–1237. [Google Scholar] [CrossRef]
- Huang, Q.; Wang, C.; Zeng, Q.; Yang, C.; Luo, C.; Yang, K. Deterioration of mortars exposed to sulfate attack under electrical field. Constr. Build. Mater. 2016, 117, 121–128. [Google Scholar] [CrossRef]
- Zhang, F.; Hu, Z.; Dai, L.; Wen, X.; Wang, R.; Zhang, D.; Song, X. Study on corrosion mechanism of different concentrations of Na2SO4 solution on early-age cast-in-situ concrete. Materials 2021, 14, 2018. [Google Scholar] [CrossRef] [PubMed]
- Yao, J.; Song, H.; Yang, Y. Correlation analyses on physical and mechanical parameters of concrete in marine environments. Materials 2022, 15, 1812. [Google Scholar] [CrossRef] [PubMed]
- Li, G.; Wang, B. The deterioration of cement mortar under the coupled conditions of stray current and sulfate. J. Test. Eval. 2021, 49, 603–612. [Google Scholar] [CrossRef]
- Peng, Y.; Meng, X.; Song, F.; Xu, G. Experimental study on the corrosion characteristics of concrete exposed to acid water containing aggressive carbon dioxide and sodium sulfate. Constr. Build. Mater. 2022, 321, 126397. [Google Scholar] [CrossRef]
- Jiang, C.; Jiang, L.; Li, S.; Tang, X.; Zhang, L. Impact of cation type and fly ash on deterioration process of high belite cement pastes exposed to sulfate attack. Constr. Build. Mater. 2021, 286, 122961. [Google Scholar] [CrossRef]
- Zhang, G.; Wu, C.; Hou, D.; Yang, J.; Sun, D.; Zhang, X. Effect of environmental pH values on phase composition and microstructure of portland cement paste under sulfate attack. Compos. Part B Eng. 2021, 216, 108862. [Google Scholar] [CrossRef]
- Ren, J.; Zhao, H.; Zhang, L.; Zhao, Z.; Xu, Y.; Cheng, Y.; Wang, M.; Chen, J.; Wang, J. Design optimization of cement grouts based on adaptive boosting algorithm and simplicial homology global optimization. J. Build. Eng. 2022, 49, 104049. [Google Scholar] [CrossRef]
- Shen, Y.; Jing, P.; Yao, W.; Tang, T.; Cao, D.; Peng, H.; Wang, Y. Effects of nanoparticles on the antipullout strength between the reinforcement and cement mortar. Adv. Civ. Eng. 2020, 2020, 8856647. [Google Scholar] [CrossRef]
- Gao, R.; Luo, Y.; Deng, H. Experimental study on repair of fractured rock mass by microbial induction technology. R. Soc. Open Sci. 2020, 6, 191318. [Google Scholar] [CrossRef]
- An, S.; Ai, C.; Ren, D.; Rahman, A.; Qiu, Y. Laboratory and field evaluation of a novel cement grout asphalt composite. J. Mater. Civ. Eng. 2018, 30, 04018179. [Google Scholar] [CrossRef]
- Zhou, S.; Yang, Z.; Zhang, R.; Li, F. Preparation, characterization and rheological analysis of eco-friendly road geopolymer grouting materials based on volcanic ash and metakaolin. J. Clean. Prod. 2021, 312, 127822. [Google Scholar] [CrossRef]
- Ren, J.; Yin, C. Investigating mechanical characteristics of aggregate structure for road materials. Int. J. Pavement Eng. 2022, 23, 372–386. [Google Scholar] [CrossRef]
- Arshad, M.T.; Ahmad, S.; Khitab, A.; Hanif, A. Synergistic use of fly ash and silica fume to produce high-strength self-compacting cementitious composites. Crystals 2021, 11, 915. [Google Scholar] [CrossRef]
- Yahia, A. Effect of solid concentration and shear rate on shear-thickening response of high-performance cement suspensions. Constr. Build. Mater. 2014, 53, 517–521. [Google Scholar] [CrossRef]
- Hassan, I.O.; Ismail, M.; Forouzani, P.; Majid, Z.A.; Mirza, J. Flow characteristics of ternary blended self-consolidating cement mortars incorporating palm oil fuel ash and pulverised burnt clay. Constr. Build. Mater. 2014, 64, 253–260. [Google Scholar] [CrossRef]
- Li, X.; Hao, J. Effects of mortar ratio on the properties of super early strength grouting materials by ternary complex system. Constr. Build. Mater. 2017, 152, 769–776. [Google Scholar] [CrossRef]
- El-Wafa, M.A.; Fukuzawa, K. Early-age strength of alkali-activated municipal slag-fly ash-based geopolymer mortar. J. Mater. Civ. Eng. 2018, 30, 04018040. [Google Scholar] [CrossRef]
- Ren, G.; Tian, Z.; Wu, J.; Gao, X. Effects of combined accelerating admixtures on mechanical strength and microstructure of cement mortar. Constr. Build. Mater. 2021, 304, 24642. [Google Scholar] [CrossRef]
- Pastor, J.L.; Ortega, J.M.; Climent, M.A.; Sánchez, I. Skin friction coefficient change on cement grouts for micropiles due to sulfate attack. Constr. Build. Mater. 2018, 163, 80–86. [Google Scholar] [CrossRef]
- Zhang, A.; Ge, Y.; Du, S.; Wang, G.; Chen, X.; Liu, X.; Li, H. Durability effect of nano-SiO2/Al2O3 on cement mortar subjected to sulfate attack under different environments. J. Build. Eng. 2023, 64, 105642. [Google Scholar] [CrossRef]
- Ministry of Transport of the People’s Public of China. Test Method of Cement and Concrete for Highway Engineering (JTG E30-2005); Ministry of Transport: Beijing, China, 2005.
Disclaimer/Publisher’s Note: The statements, opinions and data contained in all publications are solely those of the individual author(s) and contributor(s) and not of MDPI and/or the editor(s). MDPI and/or the editor(s) disclaim responsibility for any injury to people or property resulting from any ideas, methods, instructions or products referred to in the content. |
© 2023 by the authors. Licensee MDPI, Basel, Switzerland. This article is an open access article distributed under the terms and conditions of the Creative Commons Attribution (CC BY) license (https://creativecommons.org/licenses/by/4.0/).















