Wind-Induced Responses and Wind Loads on a Super High-Rise Building with Various Cross-Sections and High Side Ratio—A Case Study
Abstract
:1. Introduction
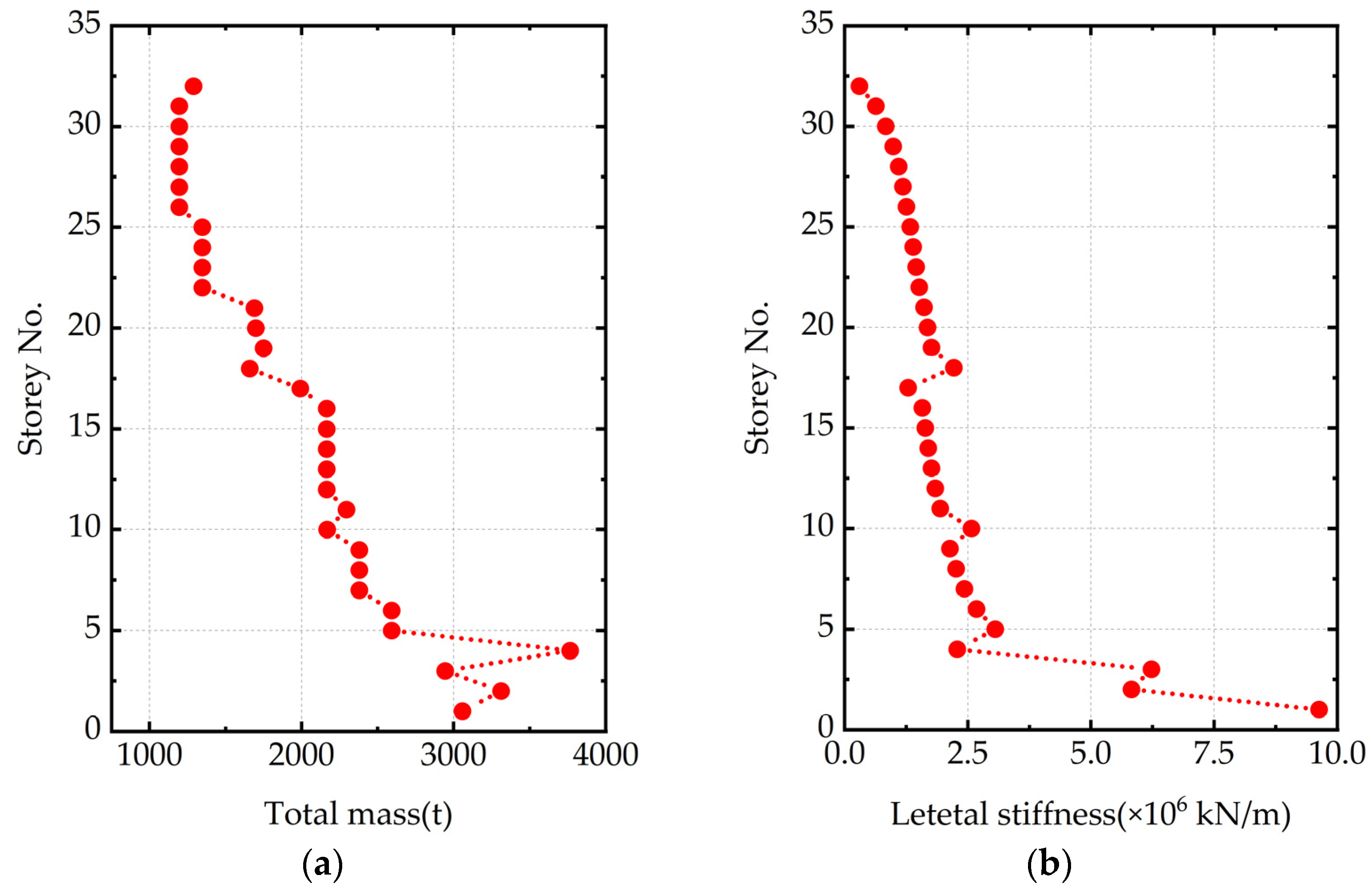
2. Wind Tunnel Tests of a Super High-Rise Building with a High Side Ratio
3. Wind Induced Responses of the Building
3.1. Theory on Wind-Induced Response of High-Rise Building
3.2. ESWLs of the High-Rise Building
3.3. Wind-Induced Acceleration Responses of the High-Rise Building
4. Wind Pressure on the Building
Mean wind Pressure Distribution on the High-Rise Building
5. Conclusions
Author Contributions
Funding
Data Availability Statement
Conflicts of Interest
References
- Zhu, H.; Yang, B.; Zhang, Q.; Pan, L.; Sun, S. Wind engineering for high-rise buildings: A review. Wind Struct. 2021, 32, 249–265. [Google Scholar]
- Xu, A.; Xie, Z.N.; Fu, J.Y.; Wu, J.R.; Tuan, A. Evaluation of wind loads on super-tall buildings from field-measured wind-induced acceleration response. Struct. Des. Tall Spec. Build. 2014, 23, 641–663. [Google Scholar] [CrossRef]
- Kim, Y.C.; Kanda, J. Wind response characteristics for habitability of tall buildings in Japan. Struct. Des. Tall Spec. Build. 2008, 17, 683–718. [Google Scholar] [CrossRef]
- Mannini, C.; Marra, A.M.; Pigolotti, L.; Bartoli, G. The effects of free-stream turbulence and angle of attack on the aerodynamics of a cylinder with rectangular 5:1 cross section. J. Wind Eng. Ind. Aerodyn. 2017, 161, 42–58. [Google Scholar] [CrossRef]
- Wang, X.; Gu, M. Experimental investigation of Reynolds number effects on 2D rectangular prisms with various side ratios and rounded corners. Wind Struct. 2015, 21, 183–202. [Google Scholar] [CrossRef]
- Gu, M.; Wang, X.; Quan, Y. Wind tunnel test study on effects of chamfered corners on the aerodynamic characteristics of 2D rectangular prisms. J. Wind. Eng. Ind. Aerodyn. 2020, 204, 104305. [Google Scholar] [CrossRef]
- Lin, N.; Letchford, C.; Tamura, Y.; Liang, B.; Nakamura, O. Characteristics of wind forces acting on tall buildings. J. Wind Eng. Ind. Aerodyn. 2005, 93, 217–242. [Google Scholar] [CrossRef]
- Li, Y.; Zhang, J.; Li, Q. Experimental investigation of characteristics of torsional wind loads on rectangular tall buildings. Struct. Eng. Mech. 2014, 49, 129–145. [Google Scholar] [CrossRef]
- Huang, P.; Quan, Y.; Gu, M. Experimental Study of Aerodynamic Damping of Typical Tall Buildings. Math. Probl. Eng. 2013, 2013, 731572. [Google Scholar] [CrossRef]
- Ha, Y.C. Empirical formulations for evaluation of across-wind dynamic loads on rectangular tall buildings. Wind Struct. 2013, 16, 603–616. [Google Scholar] [CrossRef]
- Zeng, J.; Li, M.; Li, S.; Ma, R. Spatial Distribution of Gusty Loads on a Rectangular Prism in Boundary Layer Flows. Ksce J. Civ. Eng. 2018, 22, 3052–3065. [Google Scholar] [CrossRef]
- Sanyal, P.; Dalui, S.K. Effects of side ratio for ‘Y’ plan shaped tall building under wind load. Build. Simul. 2021, 14, 1221–1236. [Google Scholar] [CrossRef]
- Lin, P.; Ding, F.; Hu, G.; Li, C.; Xiao, Y.; Tse, K.; Kwok, K.; Kareem, A. Machine learning-enabled estimation of crosswind load effect on tall buildings. J. Wind. Eng. Ind. Aerodyn. 2022, 220, 104860. [Google Scholar] [CrossRef]
- Lipecki, T. Pressure distribution on rectangular tall buildings in boundary layer flows. Arch. Civ. Mech. Eng. 2022, 22, 83. [Google Scholar] [CrossRef]
- Kim, Y.; Kanda, J. Characteristics of aerodynamic forces and pressures on square plan buildings with height variations. J. Wind Eng. Ind. Aerodyn. 2010, 98, 449–465. [Google Scholar] [CrossRef]
- Liu, Y.; Kopp, G.A.; Chen, S.-F. Effects of plan dimensions on gust wind loads for high-rise buildings. J. Wind. Eng. Ind. Aerodyn. 2019, 194, 103980. [Google Scholar] [CrossRef]
- Outline of Wind Tunnel Testing. The Wind Tunnel Laboratory of Shantou University. Available online: https://eng.stu.edu.cn/info/1065/1397.htm (accessed on 29 November 2022).
- Jonathan, A. Load Code for the Design of Building Structures 2012; China Architecture & Building Press: Beijing, China, 2012. [Google Scholar]
- Chopra, A.K. Dynamics of Structures: Theory and Applications to Earthquake Engineering; Higher Education Press: Beijing, China, 2007. [Google Scholar]
- Davenport, A.G. The Application of Statistical Concepts to the Wind Loading of Structures. Proc. Inst. Civ. Eng. 1961, 19, 449–472. [Google Scholar] [CrossRef]
- Giaralis, A.; Petrini, F. Wind-Induced Vibration Mitigation in Tall Buildings Using the Tuned Mass-Damper-Inerter. J. Struct. Eng. 2017, 143, 04017127. [Google Scholar] [CrossRef]
- Technical Code for Concrete Structure of High-Rise Buildings JGJ3-2010; China Architecture & Building Press: Beijing, China, 2010.
- ISO. Bases for Design of Structures—Serviceability of Buildings and Walkways against Vibrations; ISO: Geneva, Switzerland, 2007. [Google Scholar]
- Yan, B.; Li, Q.-S. Wind tunnel study of interference effects between twin super-tall buildings with aerodynamic modifications. J. Wind Eng. Ind. Aerodyn. 2016, 156, 129–145. [Google Scholar] [CrossRef]
- İnan Günaydın, T. Numerical Study of Wind induced Pressures on Irregular Plan Shapes. Iconarp Int. J. Archit. Plan. 2021, 9, 646–679. [Google Scholar] [CrossRef]
- Chakraborty, S.; Dalui, S.K.; Ahuja, A.K. Wind load on irregular plan shaped tall building—A case study. Wind Struct. 2014, 19, 59–73. [Google Scholar] [CrossRef]
















Disclaimer/Publisher’s Note: The statements, opinions and data contained in all publications are solely those of the individual author(s) and contributor(s) and not of MDPI and/or the editor(s). MDPI and/or the editor(s) disclaim responsibility for any injury to people or property resulting from any ideas, methods, instructions or products referred to in the content. |
© 2023 by the authors. Licensee MDPI, Basel, Switzerland. This article is an open access article distributed under the terms and conditions of the Creative Commons Attribution (CC BY) license (https://creativecommons.org/licenses/by/4.0/).
Share and Cite
Wang, Q.; Zhang, B. Wind-Induced Responses and Wind Loads on a Super High-Rise Building with Various Cross-Sections and High Side Ratio—A Case Study. Buildings 2023, 13, 485. https://doi.org/10.3390/buildings13020485
Wang Q, Zhang B. Wind-Induced Responses and Wind Loads on a Super High-Rise Building with Various Cross-Sections and High Side Ratio—A Case Study. Buildings. 2023; 13(2):485. https://doi.org/10.3390/buildings13020485
Chicago/Turabian StyleWang, Qinhua, and Buwen Zhang. 2023. "Wind-Induced Responses and Wind Loads on a Super High-Rise Building with Various Cross-Sections and High Side Ratio—A Case Study" Buildings 13, no. 2: 485. https://doi.org/10.3390/buildings13020485
APA StyleWang, Q., & Zhang, B. (2023). Wind-Induced Responses and Wind Loads on a Super High-Rise Building with Various Cross-Sections and High Side Ratio—A Case Study. Buildings, 13(2), 485. https://doi.org/10.3390/buildings13020485

