Experimental and Numerical Study on the Shear Performance of the Stone Panel–Panel Joint in Stone Cladding
Abstract
:1. Introduction
2. Experiment Program
2.1. Specimen Information
2.2. Test Setup, Instrumentation, and Loading Protocol
3. Experimental Results and Discussion
3.1. Failure Mode
3.2. Stress–Strain Analysis
3.3. The Influence of the Loading Mode
3.4. Stiffness Degradation
3.5. Energy Dissipation Capacity
4. Finite Element Analysis
4.1. Finite Element Modeling of SPPJs
4.2. Validation of the Model
4.3. The Strain Field in the SPPJs with Various Sealant Layer Widths
5. Conclusions
- In the shear tests of double-shear specimens with SPPJs, the specimens corresponding to the silicone sealant with different Young’s modulus exhibited good deformation ability and similar failure phenomena. As the thickness of the sealant increased, the failure mode of the SPPJ in the specimen gradually shifted from cohesive failure to a mixed failure of both adhesive and cohesive failures.
- Under the same shear strain, the increase of the sealant thickness led to the reduction in shear yield strain, shear yield stress, and shear failure strength of the SPPJ. For example, for specimens with the sealant width of 10 mm and the sealant Young’s modulus of 0.5 MPa under different thicknesses of the sealant, the shear failure strength of the SPPJ decreased by 32.6% when the thickness of the sealant increased from 6 mm to 8 mm. Compared to the specimen with the sealant Young’s modulus of 0.5 MPa, the sealant width of 10 mm and the sealant thickness of 10 mm, and the shear failure strength and shear yield strain of the specimen with the sealant Young’s modulus of 1.079 MPa, the sealant width of 10 mm and the sealant thickness of 10 mm increased by 43.3% and 22.6%, respectively.
- Compared with cyclic loading, the plastic part reflected in the SPPJ under monotonic loading was more pronounced. As the thickness of the sealant decreased, the stiffness degradation of the SPPJ increased. Based on the same shear strain, the increase in the thickness of the sealant enhanced the cumulative energy consumption of the specimen. For specimens with the sealant width of 10 mm and the sealant Young’s modulus of 1.079 MPa under different thicknesses of the sealant, when the shear strain was 2, the cumulative energy consumptions of SPPJs with sealant thicknesses of 10 mm and 8 mm were 2.10 and 1.75 times higher than that of the SPPJ with the sealant thickness of 6 mm, respectively.
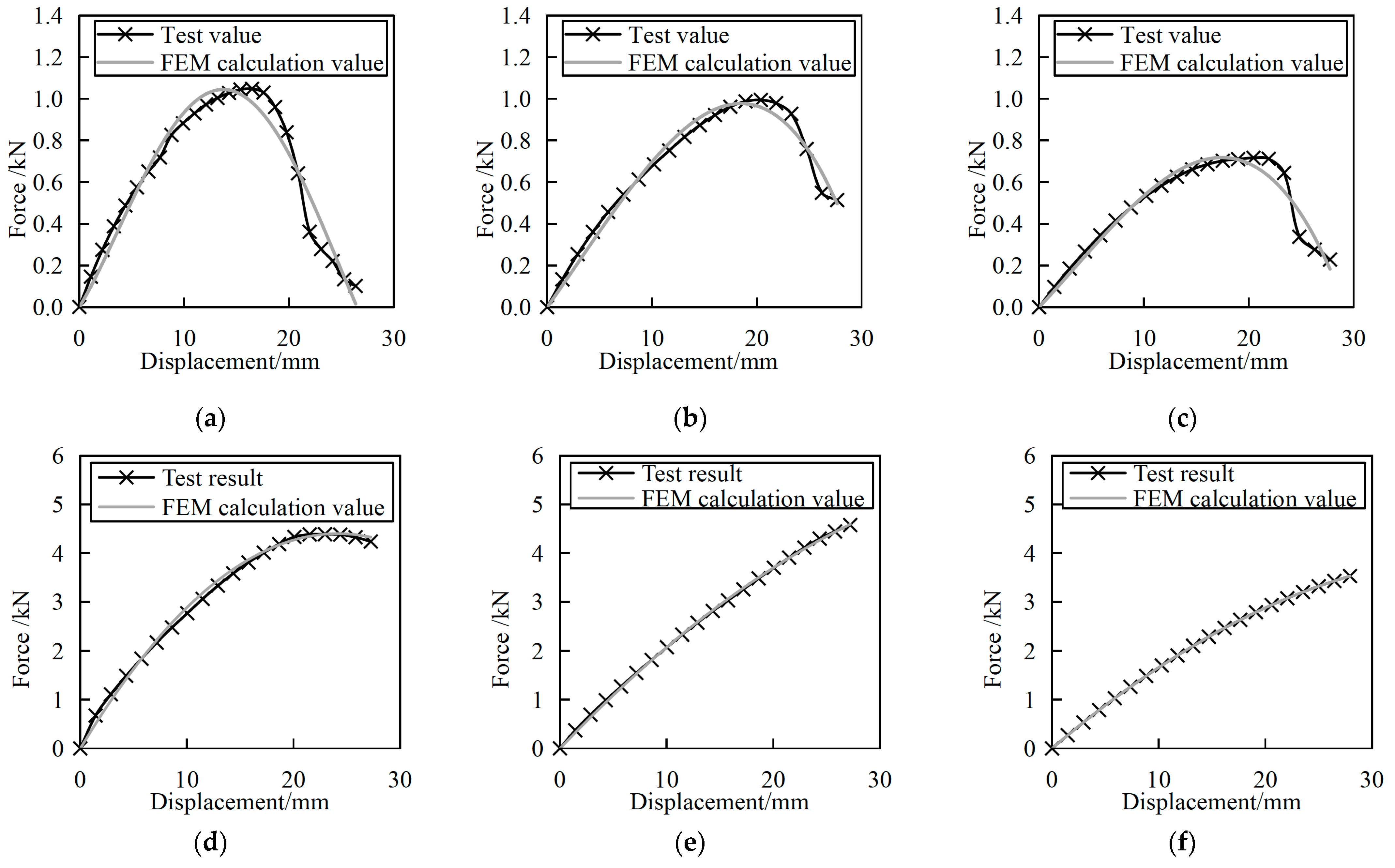
- By comparing experimental data and finite element analysis data, the correctness of the finite element model of the specimen with SPPJs established in this paper had been verified. When the total sealant content was the same, the change in the number of unilateral sealant layers resulted in the variation of the SPPJ’s strain distribution. The strain concentration zone of the specimen with two sealant layers in the unilateral SPPJ became larger with the increase of the sealant width. For specimens with one sealant layer in the unilateral SPPJ, the difference in strain distribution between specimens with different sealant widths was relatively small.
- In this paper, the influence of the dimension and the Young’s modulus of sealant on the shear performance of SPPJs was studied based on experiments and finite element analysis. However, there are still some limitations to this work. The limitation of this article is that it is difficult to obtain the shear performance and other properties of SPPJs under dynamic loads and different environmental conditions. Therefore, in subsequent research, the performance analysis of SPPJs under dynamic loads and the durability analysis of SPPJs under different environments will be comprehensively investigated. Moreover, the effects of temperature, humidity, and the type of stone or sealant on the shear performance of SPPJs will be more comprehensively quantified. In addition to finite element numerical analysis, the SPPJ strength damage prediction model based on the Weibull distribution will be further analyzed. The operability and related issues of SPPJs in practical engineering applications will be the focus of subsequent research.
- In summary, the quantification of the influence of the size of the sealant and the Young’s modulus on the shear performance of SPPJs can provide a comprehensive reference for the evaluation and prediction of the shear performance of SPPJs in the stone claddings. In addition, from the analysis of data, it can be concluded that the selection of sealant size in practical engineering needs to consider the design requirements, required deformation capacity, and tolerable failure modes of SPPJs. When designing the size of the sealant, it is necessary to balance the performance requirements and cost-effectiveness of SPPJs to ensure that they exhibit good performance and reliability under various conditions.
Author Contributions
Funding
Data Availability Statement
Conflicts of Interest
References
- Gams, M.; Starešinič, G.; Isaković, T. Seismic response of reinforced-concrete one-storey precast industrial buildings with horizontal cladding panels. Buildings 2023, 13, 2519. [Google Scholar] [CrossRef]
- Hayez, V.; Bianchi, S.; Lori, G.; Feng, J.; Kimberlain, J. Performance of silicone bonded facades during seismic events. In Proceedings of the GPD Glass Performance Days, Tampere, Finland, 3 July 2023. [Google Scholar]
- Aiello, C.; Caterino, N.; Maddaloni, G.; Bonati, A.; Franco, A.; Occhiuzzi, A. Experimental and numerical investigation of cyclic response of a glass curtain wall for seismic performance assessment. Constr. Build. Mater. 2018, 187, 596–609. [Google Scholar] [CrossRef]
- Yang, S.; Guo, Z.; Ye, Y.; Liu, Y. Mechanical performance of anchorage joints on short kerf stone curtain wall. J. Build. Mater. 2022, 25, 1300–1305. [Google Scholar] [CrossRef]
- Li, Q.; Crowley, R.W.; Bloomquist, D.B.; Roque, R. Newly developed adhesive strength test for measuring the strength of sealant between joints of concrete pavement. J. Mater. Civ. Eng. 2014, 26, 04014097. [Google Scholar] [CrossRef]
- Figueiredo, J.C.P.; Campilho, R.D.S.G.; Marques, E.A.S.; Machado, J.J.M.; da Silva, L.F.M. Adhesive thickness influence on the shear fracture toughness measurements of adhesive joints. Int. J. Adhes. Adhes. 2018, 83, 15–23. [Google Scholar] [CrossRef]
- Castagnetti, D.; Spaggiari, A.; Dragoni, E. Effect of bondline thickness on the static strength of structural adhesives under nearly-homogeneous shear stresses. J. Adhes. 2011, 87, 780–803. [Google Scholar] [CrossRef]
- Dal Lago, B.; Biondini, F.; Toniolo, G. Seismic perfSormance of precast concrete structures with energy dissipating cladding panel connection systems. Struct. Concr. 2018, 19, 1908–1926. [Google Scholar] [CrossRef]
- Dal Lago, B.; Biondini, F.; Toniolo, G.; Lamperti Tornaghi, M. Experimental investigation on the influence of silicone sealant on the seismic behaviour of precast façades. Bull. Earthq. Eng. 2017, 15, 1771–1787. [Google Scholar] [CrossRef]
- Negro, P.; Lamperti Tornaghi, M. Seismic response of precast structures with vertical cladding panels: The SAFECLADDING experimental campaign. Eng. Struct. 2017, 132, 205–228. [Google Scholar] [CrossRef]
- Nemati Giv, A.; Fu, Q.N.; Yan, L.; Kasal, B. The effect of adhesive amount and type on failure mode and shear strength of glued timber-concrete joints. Constr. Build. Mater. 2022, 345, 128375. [Google Scholar] [CrossRef]
- Giannis, S.; Adams, R.D. Failure of elastomeric sealants under tension and shear: Experiments and analysis. Int. J. Adhes. Adhes. 2019, 91, 77–91. [Google Scholar] [CrossRef]
- Gupta, V.; Mohapatra, P.C.; Smith, L.V. The effect of adhesive bondline thickness on joint strength. In Proceedings of the CAMX 2014—Composites and Advanced Materials Expo: Combined Strength, Unsurpassed Innovation, Orlando, FL, USA, 13 October 2014. [Google Scholar]
- Wang, T.; Zhang, X.a.; Yang, S.; Shahzad, M.M. Quantifying the influence of modeling uncertainties on performance evaluation of mega column-core tube-outrigger structure under near-field and far-field ground motions. J. Build. Eng. 2022, 59, 105052. [Google Scholar] [CrossRef]
- Lee, A.D.; Shepherd, P.; Evernden, M.C.; Metcalfe, D. Measuring the effective Young’s modulus of structural silicone sealant in moment-resisting glazing joints. Constr. Build. Mater. 2018, 181, 510–526. [Google Scholar] [CrossRef]
- Somarathna, H.M.C.C.; Raman, S.N.; Mohotti, D.; Mutalib, A.A.; Badri, K.H. The use of polyurethane for structural and infrastructural engineering applications: A state-of-the-art review. Constr. Build. Mater. 2018, 190, 995–1014. [Google Scholar] [CrossRef]
- Hagl, A. Mechanical characteristics of degraded silicone bonded pointsupports. J. ASTM Int. 2012, 9, 1–14. [Google Scholar] [CrossRef]
- Staudt, Y.; Odenbreit, C.; Schneider, J. Failure behaviour of silicone adhesive in bonded connections with simple geometry. Int. J. Adhes. Adhes. 2018, 82, 126–138. [Google Scholar] [CrossRef]
- Broker, K.; Fisher, S.; Memari, A. Seismic racking test evaluation of silicone used in a four-sided structural sealant glazed curtain wall system. J. ASTM Int. 2012, 9, 104144. [Google Scholar] [CrossRef]
- Clift, C.; Carbary, L.; Hutley, P.; Kimberlain, J. Next generation structural silicone glazing. J. Facade Des. Eng. 2015, 2, 137–161. [Google Scholar] [CrossRef]
- Wallau, W.; Recknagel, C. Durability assessment of structural sealant glazing systems applying a performance test method. J. Adhes. 2022, 98, 464–487. [Google Scholar] [CrossRef]
- Wang, G.; Zhou, Z.; Zhang, K.; Wu, L.; Zhang, X.; Shi, X. Study on corrosion resistance of passive sealant to Fe-based amorphous coating at atomic-scale. Constr. Build. Mater. 2023, 408, 133661. [Google Scholar] [CrossRef]
- Jiang, K.; Pan, D.; Huang, Y.; Fu, X. Construction defect identification for structural sealant by statistical driving-point accelerance. Constr. Build. Mater. 2023, 392, 131817. [Google Scholar] [CrossRef]
- JC/T 989-2016; Structural Load-Unbearing Stone Adhesive. Standardization Administration of China: Beijing, China, 2016.
- Schreier, H.W.O.; Orteu, J.-J.; Sutton, M.A. Image Correlation for Shape, Motion and Deformation Measurements: Basic Concepts, Theory and Applications; Springer: Boston, MA, USA, 2009. [Google Scholar]
- GB/T 12830-2008; Determination of Shear Modulus and Adhesive Strength of Vulcanized Rubber or Thermoplastic Rubber and Rigid Plate Four Plate Shear Method. Standardization Administration of China: Beijing, China, 2008.
- ASTM D907; Standard Terminology of Adhesives. International American Society of Testing and Materials: West Conshocken, PA, USA, 2011.
- Kumar, S.; Scanlan, J.P. On axisymmetric adhesive joints with graded interface stiffness. Int. J. Adhes. Adhes. 2013, 41, 57–72. [Google Scholar] [CrossRef]
- JGJ/T 101–2015; Specification for Seismic Test of Buildings. Standardization Administration of China: Beijing, China, 2015.
- Soleymani, M.; Tahani, M.; Zamani, P. On the influence of resin pocket area on the failure of tapered sandwich composites. Adv. Struct. Eng. 2021, 24, 42–51. [Google Scholar] [CrossRef]
- Tutunchi, A.; Kamali, R.; Kianvash, A. Adhesive strength of steel–epoxy composite joints bonded with structural acrylic adhesives filled with silica nanoparticles. J. Adhes. Sci. Technol. 2015, 29, 195–206. [Google Scholar] [CrossRef]
















| Specimen | Young’s Modulus /MPa | Thickness /mm | Width /mm | Specimen | Young’s Modulus /MPa | Thickness /mm | Width /mm |
|---|---|---|---|---|---|---|---|
| SA-6-10-T | 0.500 | 6 | 10 | SB-6-10-T | 1.079 | 6 | 10 |
| SA-8-10-T | 0.500 | 8 | 10 | SB-8-10-T | 1.079 | 8 | 10 |
| SA-10-10-T | 0.500 | 10 | 10 | SB-10-10-T | 1.079 | 10 | 10 |
| SA-6-75-O | 0.500 | 6 | 75 | SB-6-75-O | 1.079 | 6 | 75 |
| SA-8-75-O | 0.500 | 8 | 75 | SB-8-75-O | 1.079 | 8 | 75 |
| SA-10-75-O | 0.500 | 10 | 75 | SB-10-75-O | 1.079 | 10 | 75 |
Disclaimer/Publisher’s Note: The statements, opinions and data contained in all publications are solely those of the individual author(s) and contributor(s) and not of MDPI and/or the editor(s). MDPI and/or the editor(s) disclaim responsibility for any injury to people or property resulting from any ideas, methods, instructions or products referred to in the content. |
© 2023 by the authors. Licensee MDPI, Basel, Switzerland. This article is an open access article distributed under the terms and conditions of the Creative Commons Attribution (CC BY) license (https://creativecommons.org/licenses/by/4.0/).
Share and Cite
Yang, S.; Guo, Z.; Ye, Y.; Liu, Y. Experimental and Numerical Study on the Shear Performance of the Stone Panel–Panel Joint in Stone Cladding. Buildings 2023, 13, 3079. https://doi.org/10.3390/buildings13123079
Yang S, Guo Z, Ye Y, Liu Y. Experimental and Numerical Study on the Shear Performance of the Stone Panel–Panel Joint in Stone Cladding. Buildings. 2023; 13(12):3079. https://doi.org/10.3390/buildings13123079
Chicago/Turabian StyleYang, Shixuan, Zixiong Guo, Yong Ye, and Yang Liu. 2023. "Experimental and Numerical Study on the Shear Performance of the Stone Panel–Panel Joint in Stone Cladding" Buildings 13, no. 12: 3079. https://doi.org/10.3390/buildings13123079
APA StyleYang, S., Guo, Z., Ye, Y., & Liu, Y. (2023). Experimental and Numerical Study on the Shear Performance of the Stone Panel–Panel Joint in Stone Cladding. Buildings, 13(12), 3079. https://doi.org/10.3390/buildings13123079

