Next Article in Journal
Study on the Mechanical Properties of MiC Formworks with Different Material Components
Previous Article in Journal
Molecular Dynamics Study on Interfacial Strengthening Mechanisms of Ettringite/Polymer Nanocomposites
 
 
Font Type:
Arial Georgia Verdana
Font Size:
Aa Aa Aa
Line Spacing:
Column Width:
Background:
Article

Experimental Study on Bridge Structural Damage Identification Based on Quasi-Static Displacement Effects and Wavelet Packet Decomposition

1
School of Civil Engineering, Zhengzhou University, Zhengzhou 450001, China
2
Henan Transportation Investment Group Co., Ltd., Zhengzhou 450016, China
*
Author to whom correspondence should be addressed.
Buildings 2023, 13(12), 2974; https://doi.org/10.3390/buildings13122974
Submission received: 7 November 2023 / Revised: 21 November 2023 / Accepted: 23 November 2023 / Published: 29 November 2023

Abstract

:
Based on the displacement-induced linearity error curve and the theory of wavelet packet analysis, a bridge structural damage identification method is proposed, integrating two damage indicators: Quasi-Static Displacement-Induced Linearity Error Curve (QSDIL) and Relative Energy Rate of Wavelet Packet Energy Spectrum (RES). This method first constructs the QSDIL damage indicator based on a quasi-static displacement-induced linearity error, which is used for the preliminary localization of the bridge structural damage. Subsequently, relying on the principles of wavelet packet analysis, the method constructs the RES damage indicator for accurate positioning of the damage location in the bridge structure. The proposed method is experimentally validated, and the impact of factors such as single-point damage, multi-point damage, signal noise, lane position, and vehicle weight on the experimental results is investigated. The results indicate that the proposed method exhibits excellent identification performance for the location of structural damage in both single-point and multi-point damage scenarios, with good agreement between experimental and theoretical values. As the signal-to-noise ratio decreases, the accuracy and precision of the RES curve in locating the bridge structural damage position exhibit a nonlinear decreasing trend, with relatively small identification errors observed at noise levels of 90 dB to 100 dB. Different lane positions have a minimal impact on the damage identification effectiveness. With increasing vehicle weight, both QSDIL and RES curves show an increasing trend in peak values, facilitating the localization of bridge structural damage positions.

1. Introduction

Currently, scholars have conducted extensive research on the topic of damage identification in bridge structures both domestically and internationally. The analysis methods for damage identification in bridge structures include the following: (1) identification methods based on dynamic fingerprints; (2) identification methods based on model correction; (3) identification methods based on static characteristics; and (4) identification methods based on time-frequency signals [1,2,3,4,5]. Dynamic fingerprints, indicative of structural dynamic characteristics, involve discerning the structural damage state by observing changes in dynamic fingerprints before and after damage occurrence [6,7]. Huang et al. [8] proposed a vibration-based non-destructive global damage identification method using a genetic algorithm. By combining frequency and modal shapes, this method can be applied to identify the location and severity of structural damage under the influence of temperature variations and noise. Model correction involves iteratively adjusting simulated parameters towards responses that closely resemble the actual static–dynamic responses of real structures. Innocenzi et al. [9] integrated three methods—static analysis, dynamic analysis, and model correction—to conduct static and dynamic tests on a cable-stayed steel–concrete composite bridge. They developed a reliable structural digital twin model, demonstrating that expanded measurements and improved models can effectively explain the behavior of complex structures. This work lays a solid foundation for future bridge structural health monitoring.
The damage identification method based on static characteristics is typically employed when the structure is in a static state. Zhou et al. [10] considered the uncertainty of cross-sectional parameters and proposed a method to locate damage in simply supported beam bridges using the influence line interpolation of arbitrary cross-sectional rotation angles. However, this method is characterized by a relatively simple model and narrow applicability. Son et al. [11] utilized static displacement, slope, and curvature to detect damage in bridges. They calculated static displacement through finite element analysis, determined slope and curvature using the central difference method, and thereby assessed the sensitivity of damaged bridges. Wang et al. [12] introduced a damage identification analysis method based on the influence line interpolation index of mid-span displacement, addressing the issue of uncertain bending stiffness of the main beam and effectively locating the damage position. To obtain comprehensive data and reduce dependence on initial data, Sun et al. [13] measured the vertical displacement influence line of a bent bridge in a quasi-static state. By obtaining the curvature of the influence line through second-order differencing and employing gap smoothing techniques, they constructed a damage index for the identification of damage in such structures.
The method of identification based on time-frequency signals refers to the analysis of vibration response signals under external excitation when a structure undergoes damage. These signals often exhibit non-stationary and non-linear characteristics. Analyzing the time-frequency characteristics of vibration responses allows for a deeper exploration of hidden features within the signals [14]. Wu et al. [15] employed wavelet packet analysis to decompose acceleration data into wavelet packets. The energy values of the decomposed frequency bands (wavelet packet energy (WPE)) were used as different dimensions of MDS. They constructed a damage index combining WPE and MDS values, determining the damage location based on whether the MDS values of units exceeded a threshold. Yen et al. [16] proposed the concept of nodal energy based on the principles of wavelet packet analysis. Their research indicated that nodal energy exhibited higher robustness compared to decomposition coefficients in representing signal features. Sun et al. [17] introduced a statistical pattern classification method based on wavelet packet transform (WPT). The core of this method lies in the ability of wavelet packet transform to extract subtle anomalies from vibration signals, enabling structural damage identification. Soleymani et al. [18] utilized time-domain modal testing and wavelet analysis to identify damage in reinforced concrete beams. They generated various damage scenarios of different severity and locations using a numerical model of an RC beam, recorded acceleration time histories of damaged and undamaged structures, and ultimately determined the location and severity of damage through wavelet analysis.
In previous studies, damage identification of bridge structures often relied on single indicators such as displacement influence lines and wavelet packet energy. However, there has been limited research on the combined analysis of different indicators, and there is a lack of comparative analysis among different damage indicators. In current structural damage identification research, the majority of methods are concentrated on theoretical analysis and finite element numerical simulations. The reliability and applicability of theoretical analysis methods lack corresponding validation through experimental model testing.
Therefore, in response to the aforementioned challenges, this study proposes a bridge structural damage identification method that combines two indicators: Quasi-Static Displacement-Induced Linearity Error Curve (QSDIL) and Relative Energy Rate of Wavelet Packet Energy Spectrum (RES). Firstly, the QSDIL, a damage feature indicator, is constructed to preliminarily locate the position of damage in bridge structures based on a quasi-static displacement influence linearity error. Subsequently, following the principles of wavelet packet decomposition and the denoising theory of wavelet packet transform, the RES, another damage feature indicator, is constructed for accurate damage localization in bridge structures.
Simultaneously, in the laboratory, bridge structural test models are manufactured, and a bridge structural damage identification experimental system is designed to conduct experiments on bridge structural damage identification. Using the finite element software ANSYS 19.2, corresponding bridge models are established, and experimental values are compared and analyzed against theoretical calculations under various test conditions. Furthermore, this study explores the influence of factors such as single-point damage, multi-point damage, signal noise, lane position, and vehicle weight on the identification results. This method requires only a small number of sensors to achieve precise localization of bridge structural damage positions, providing valuable insights and references for experimental research on bridge structural damage identification.

2. Bridge Structural Damage Identification Method Based on Quasi-Static Displacement Influence Line and Wavelet Packet Analysis

2.1. Analysis of Differences in Quasi-Static Displacement Influence Line Theory

The displacement influence line is introduced based on the concept of force influence lines [19]. It represents the curve of the displacement at an observation point due to the movement of a unit load along the span of the structure. This curve varies as the position of the unit load changes. It is used to determine displacement values under the combined action of multiple loads and to identify the most critical location for moving loads on a structure. The quasi-static displacement influence line is an extension of the displacement influence line. It involves subjecting the structure to quasi-static loading to obtain the quasi-static displacement influence line. This line is then used for damage identification based on the structure’s response to quasi-static loading. In the context of bridge structures, a point’s displacement influence line represents the displacement curve generated at that point as a unit of concentrated force moves along the bridge direction due to load movement.
Consider a unit of concentrated force Fp = 1 with a constant direction and magnitude applied to a simply supported single-span beam. This force is moving at an extremely low velocity from support A towards support B. Let point C denote the location of a localized damage in the beam, where the flexural stiffness of the damaged region within the range [c−ε, c+ε] is EI′, while the remaining undamaged segments of the beam have a flexural stiffness of EI, as illustrated in Figure 1.
Damage information of a bridge structure is analyzed by the difference in quasi-static displacement influence lines, denoted as Δω(x), before and after damage at an arbitrary section D of a simply supported beam. The expression for the function of Δω(x) with respect to the distance x ¯ from the moving load to point A can be derived as follows:
(1)
When 0 x ¯ a , then
Δ ( x ) = ω d ( x ) ω 0 ( x ) = ( 1 E I 1 E I ) c ε c + ε ( p x ¯ p x ¯ l x ) ( a a l x ) d x = ( 1 E I 1 E I ) p a 3 l 2 ( 2 ε 2 + 6 c 2 ε 12 c ε l + 6 l 2 ε ) x ¯
(2)
When a x ¯ c ε , then
Δ ( x ) = ω d ( x ) ω 0 ( x ) = ( 1 E I 1 E I ) c ε c + ε ( p x ¯ p x ¯ l x ) ( a a l x ) d x = ( 1 E I 1 E I ) p a 3 l 2 ( 2 ε 2 + 6 c 2 ε 12 c ε l + 6 l 2 ε ) x ¯
(3)
When c ε x ¯ c + ε , then
Δ ( x ) = ω d ( x ) ω 0 ( x ) = ( 1 E I 1 E I ) [ c ε x ¯ l x ¯ l p x ) ( a a l x ) d x + x ¯ c + ε ( p x ¯ p x ¯ l x ) ( a a l x ) d x ] = ( 1 E I 1 E I ) p a 6 l 2 l x ¯ 3 3 l 2 x ¯ 2 + 4 ( ε 3 + 3 c 2 ε ) + 6 l 2 ( c + ε ) + 3 l ( c ε ) 2 x ¯ + 2 l ( c ε ) 3 3 l 2 ( c ε ) 2
(4)
When c + ε x ¯ l , then
Δ ( x ) = ω d ( x ) ω 0 ( x ) = ( 1 E I 1 E I ) c ε c + ε l x ¯ l p x ( a a l x ) d x = ( 1 E I 1 E I ) p a 3 l 2 ( 6 l c ε 2 ε 3 6 c 3 ε ) ( x ¯ l )
From the above equation, it is evident that the minimum value of the QSDIL curve must occur within the damaged region. Therefore, by analyzing the location of the peak on the QSDIL curve, it is possible to identify the damaged area, assess whether structural damage has occurred, and thus make an initial determination of the damaged region.

2.2. The Theory of Wavelet Packet Analysis

Wavelet packet analysis naturally possesses denoising capabilities. Its algorithm core inherits the fundamental characteristics of wavelet denoising while enhancing time-frequency resolution. It can simultaneously distinguish between the high- and low-frequency components of a signal at the same frequency [20]. In digital signal analysis, signal energy refers to the sum of the squared amplitudes of the signal at various points within a certain time frame. Typically, a signal x(t) is decomposed into high-frequency and low-frequency components at different scales, and then the energy of the signal within each wavelet packet frequency band is summed, thereby obtaining the total energy of the entire signal.
The process of calculating the energy of a signal using wavelet packet analysis is as follows.
The signal x(t) collected by the sensor is decomposed using wavelet packet analysis, resulting in the following:
x ( t ) = i = 1 2 j x i j ( t )
x i j ( t ) = r c i , r j ψ i , r , j ( t )
c i , r j ( t ) = + x ( t ) ψ i , r , j ( t ) d t
cji,r represents the wavelet packet coefficient, where i is the scale index, r is the position index, and j represents the frequency index. ψi,r,,j(t) represents the wavelet packet function, which is a set of standard orthogonal bases.
When mn,
ψ i , r m ( t ) ψ i , r n ( t ) = 0
By performing a wavelet packet decomposition on the original signal, the obtained wavelet coefficients can be utilized for calculating the energy components of the signal at various frequency bands. Within each wavelet packet frequency band, the computation of the sum of squared wavelet coefficients yields the energy component for that specific frequency band. Summing up the energy components from all frequency bands results in the total wavelet packet energy. At this stage, the total energy of the signal is given by the following:
E t = + x 2 ( t ) d t = m = 1 2 i n = 1 2 i + x i m ( t ) x i n ( t ) d t
From the orthogonality of wavelet packets, it follows that
E t = j = 1 2 i E i j = + x i j 2 ( t ) d t
In the equation, the energy of wavelet packet components is denoted as Et, and x i j 2 can be considered as the energy contained within the component signal. Ei represents the energy of the i-th frequency band within the structure, while Et represents the total energy of the wavelet packet decomposition. Here, i corresponds to the number of frequency bands and j corresponds to the number of wavelet packet coefficients within each frequency band.
RES is a damage characteristic indicator based on the total energy change rate of wavelet packet coefficients. It is expressed as follows:
R E S = E ( t , u n d a m ) / E ( t , d a m )
RES represents the relative energy change rate of the wavelet packet, E(t,undam) represents the total energy of undamaged wavelet packets in the structure, and E(t,dam) represents the total energy of wavelet packets in the structure with damage.
In the presence of damage in a bridge structure, the structural response signals display oscillations within a particular frequency range. Within this frequency range, specific segments will experience alterations, and the energy of signal components within particular frequency bands, as determined through wavelet packet analysis, will likewise change. Consequently, by comparing the energy of signal components within specific frequency bands before and after structural damage, it becomes feasible to characterize the intrinsic properties of the structure and make assessments regarding its structural integrity.

2.3. Process for Structural Damage Identification

The damage identification procedure proposed in this paper is grounded in a method for damage identification and analysis, which includes an initial damage assessment and precise damage localization. It involves the analysis and processing of response signals from bridge structures to facilitate the completion of identification and analysis. This method demands only a limited number of sensors for accurately localizing damage within the bridge structure, as illustrated in Figure 2. The specific steps are outlined as follows:
(1)
Bridge test model fabrication: Determine the bridge type, structural design, and materials for the experimental bridge. Create detailed drawings for the Bridge test model and proceed to construct the truss bridge structure model.
(2)
Bridge test model validation and adjustment: Establish finite element models of the bridge structure using software like Ansys 19.2 and Midas Civil 2021 (v1.1). Conduct static and dynamic analysis on both the bridge test model and the finite element model to validate the accuracy of the bridge test model.
(3)
Presetting damage scenarios: Assign numerical identifiers to truss members based on their structural forms, considering the characteristics of the truss structure. Predefine multiple damage scenarios for the bridge structure.
(4)
Acquisition of displacement response data: Utilize moving loads as the loading method and position sensors at the mid-span of the main beam. In the laboratory setting, apply simulated vehicle loads to the bridge structure. Utilize displacement sensors to capture the displacement-time responses of the bridge structure under both undamaged conditions and the preset damage scenarios. Acquire displacement response data of the bridge structure and apply wavelet packet analysis for noise reduction.
(5)
Based on the measurement results from step (4), the displacement influence lines under the assumed damage condition should be subtracted from the displacement influence lines under the undamaged state. This subtraction yields the QSDIL damage index, which is used for the preliminary assessment of bridge structure damage and the rough localization of the damaged area.
(6)
In step (5), after approximately localizing the damaged area, an increased number of sensors should be strategically placed in that region. These additional sensors are used to measure the dynamic response signals of acceleration time history at various points within the initially identified damage location.
(7)
Localization of bridge structural damage: Utilize continuous wavelet transform for wavelet packet decomposition and calculate the RES damage indicator. This should be followed by the plotting of the RES damage curve. Precise spatial localization of structural damage in the bridge is achieved by analyzing the peaks and abrupt changes in the RES curve.
Figure 2. Damage identification process flowchart.
Figure 2. Damage identification process flowchart.
Buildings 13 02974 g002

3. Experimental Design for Identifying Structural Damage in Bridges

3.1. Fabrication and Validation of Bridge Model

The selection of materials for bridge models should consider the experimental objectives and the applicable range of materials. Commonly used model materials include metal, gypsum, plastic, wood, and micro-concrete. Wood, compared to previous materials, possesses advantages such as simple material selection, easy model fabrication, high strength, and stability. In bridge damage identification experiments, structures made of wood are easily disassembled, and damaged beams can be readily replaced. Therefore, this paper adopts an experimental model with a wooden truss benchmark structure in its design.
Therefore, in this study, a wooden truss benchmark structure was chosen as the bridge test model. The structural dimensions are as follows: 1.8 m × 0.4 m × 0.3 m, with a main truss spacing of 0.3 m and a bay length of 0.3 m. The truss bridge has a span (L) of 1.8 m, a height (H) of 0.3 m, and a cross-sectional area of 100 mm2. The members are bonded using hot-melt adhesive. The experimental test beam has a total length of 1.8 m, with an effective test segment of 1.6 m. There are 0.1 m of bridge deck on each side as a buffer zone for accelerating and decelerating moving loads. The bridge deck is constructed from a single piece of Japanese white pine, measuring 1.8 m in length, 0.4 m in width, and 0.005 m in thickness. The boundary conditions on both ends are mobile supports. By changing the cross-sectional shape of the truss beam at the damage location, the degree of damage is quantified. The bridge test model is shown in Figure 3, and the relevant wooden material parameters are listed in Table 1.
To validate the applicability of the bridge test model, a combined methodology involving experiments and numerical analysis was employed to comprehensively assess its static and dynamic characteristics. Distinct finite element models for the bridge structure were meticulously formulated using ANSYS and Midas software. In the ANSYS model, the upper and lower chord members, as well as the diagonal bracing elements, were discretized using Link8 elements, while the bridge deck was simulated using Shell181 elements. The comprehensive 3D finite element model of the bridge in ANSYS comprises a total of 470 elements and 375 nodes, as visually represented in Figure 4a.
In the Midas model, the truss bridge components were defined utilizing custom materials fabricated from pine wood. The upper chords, lower chords, vertical members, and diagonal bracing elements have been represented as rod elements with a diameter of 10 × 10 mm. The entire 3D finite element model of the bridge within the Midas software encompasses 77 elements and 46 nodes, as elucidated in Figure 4b.
To assess the behavior of the bridge, both a static load test and a dynamic resonance test were conducted. In the static load test, a 3 kg test weight was positioned at the mid-span of the bridge, and the deflection at this location was quantified using a laser displacement sensor (model LK-G3000, KEYENCE, Osaka, Japan). The dynamic resonance test aimed to determine the bridge’s fundamental frequency, and it employed a single-point excitation technique. The bridge underwent free vibration excitation by being struck with a rubber hammer. Vibration signals were then collected via piezoelectric accelerometers (model DH105E, Jiangsu Donghua Testing, Taizhou, China) positioned at critical locations, including the bridge’s supports, 1/4 span, mid-span along the central axis, and at the deck’s edge.
Subsequently, the collected acceleration data underwent spectral analysis to extract the bridge’s first-order vertical resonance frequency, which is graphically depicted in Figure 5. The measured values of mid-span deflection and the first-order vertical resonance frequency are compared with their corresponding theoretical values, as presented in Table 2.
The data provided in Table 2 illustrate a close alignment between the measured values of mid-span deflection and the first-order vertical resonance frequency for the bridge test model when compared to the theoretical values. The variations observed are all within a margin of less than 5%. This strongly suggests that both the experimental and numerical models of the bridge are dependable and can be confidently employed for subsequent structural damage identification and analysis.

3.2. Experimental Trolley Model

The experimental vehicle is comprised of a metal body equipped with an FS-GR3E drive system. The dimensions of the vehicle’s body measure 0.2 m × 0.09 m × 0.05 m, with a total weight of 10 N. The rear cargo compartment of the vehicle is designed with dimensions of 7.5 cm × 3.5 cm × 3.5 cm, allowing for the placement of a specific number of counterweights to adapt to varying cargo loads. It is equipped with the FS-GT3C remote control system, which operates on a 3-channel 2.4 G transmission signal, providing controlled speed within a designated range. The visual representation of both the vehicle and the accompanying remote control system is provided in Figure 6.

3.3. Instrumentation and Essential Equipment

The truss structure primarily exhibits vertical vibrations. Therefore, when performing signal extraction, only vertical (Z-axis) accelerations need to be considered. Consequently, it is sufficient to deploy acceleration and displacement sensors in the vertical direction. To initially locate damage in the bridge structure, displacement sensing is required, necessitating the placement of a displacement sensor at the midspan of the bridge structure. After the preliminary damage localization, additional acceleration sensors are introduced to achieve precise localization of structural damage and identify the spatial damage locations. The arrangement of acceleration and displacement sensors is illustrated in Figure 7.
The chosen data acquisition system for testing is the TZT3828E dynamic–static signal test and analysis signal acquisition instrument, along with its accompanying dynamic acquisition analysis software. The dynamic–static signal test and analysis signal acquisition instrument are depicted in Figure 8. The operational block diagram of the multi-channel data acquisition system used is illustrated in Figure 9.

3.4. Experimental System for Identifying Structural Damage in Bridges

The bridge structure damage identification test system consists of vehicle test models and bridge test models. The bridge test model is divided into an acceleration runway, a bridge test segment, and a deceleration runway. During the experiment, the vehicle can be controlled remotely to accelerate, decelerate, maintain a constant speed, and apply brakes. The vehicle accelerates from rest to the set speed in the acceleration runway, travels at a constant speed through the bridge test segment, and then brakes to a stop in the deceleration runway. The test system based on the bridge test model for bridge structure damage identification is depicted in Figure 10.

4. Experimental Analysis of Damage Identification in Bridge Structures

4.1. Experimental Condition Design

The experimental beams used in this study are wooden truss beams with replacement members measuring 300 mm × 10 mm × 10 mm and 420 mm × 10 mm × 10 mm. To facilitate the replacement of damaged nodal members, deliberate damage is introduced to the upper chords, diagonal members, and web members. Given the symmetrical nature of the truss structure, the exterior upper chords and diagonal members of the truss structure are partitioned into 21 damaged units, with the truss units numbered as illustrated in Figure 11.
In the truss bridge test model established in this paper, three different levels of damage were designed at three critical locations on the truss bridge model. The damage can be categorized into single-point damage and multi-point damage, and depending on the location of the damage, it can be classified into upper chord damage and web member damage. The degree of damage is quantified by altering the cross-sectional shape at the damage location [21]. A schematic diagram of the quantification of damage location and damage extent in the truss bridge model is depicted in Figure 12.
When performing single-element damage identification, a single element is selected for damage identification at different locations on the truss bridge structure. The damage conditions for single-element damage identification are provided in detail in Table 3. For multiple-element damage identification, three different damage conditions are considered, which include two-point damage and three-point damage. The details of these damage conditions are outlined in Table 4.

4.2. Analysis of Damage Location and Degree Identification

4.2.1. Identification of Single-Point Damage Locations

Building upon the aforementioned bridge test model and the bridge structure damage identification test system, this study investigates the impact of damage location and extent on the identification results under the scenario of single-point damage. A visual representation of a single damage point is presented in Figure 13.
In conducting the racing car experiment on the central axis lane of the bridge, a test vehicle with a weight of 10 N was used. Two additional weight blocks, each weighing 10 N, were added to the rear of the vehicle, resulting in a total weight of 30 N. The vehicle traversed the test section at the center of the bridge at a constant velocity of 0.1 m/s. In the undamaged state of the bridge structure, laser displacement sensors were employed to measure the displacement response signal of the truss bridge model at the mid-span of the bridge. After denoising using wavelet packet transformation, the quasi-static displacement influence line in the undamaged state was computed.
Subsequently, acceleration sensors were installed within the predefined damage area. Considering the vehicle moving at a constant velocity of 0.5 m/s while passing through the bridge test section, acceleration response signals for various beam segments of the truss bridge model in the undamaged state were acquired. Based on the predefined conditions, damaged beams were replaced, and the aforementioned steps were repeated. The QSDIL curve was employed to preliminarily locate the lateral damage position in the bridge structure. The RES curve was then utilized to accurately pinpoint the spatial damage location within the bridge structure. The sensor arrangement is depicted in Figure 14, with laser displacement sensor measurement points positioned at the centerline of the bridge mid-span. Acceleration sensor measurement points were added in the region following the preliminary positioning of the bridge structure and were evenly distributed at the midpoint of the beams, which were named according to their corresponding truss positions.
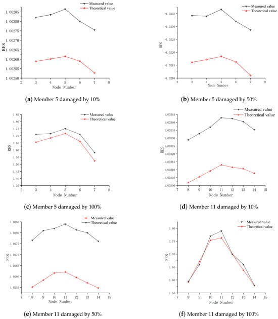
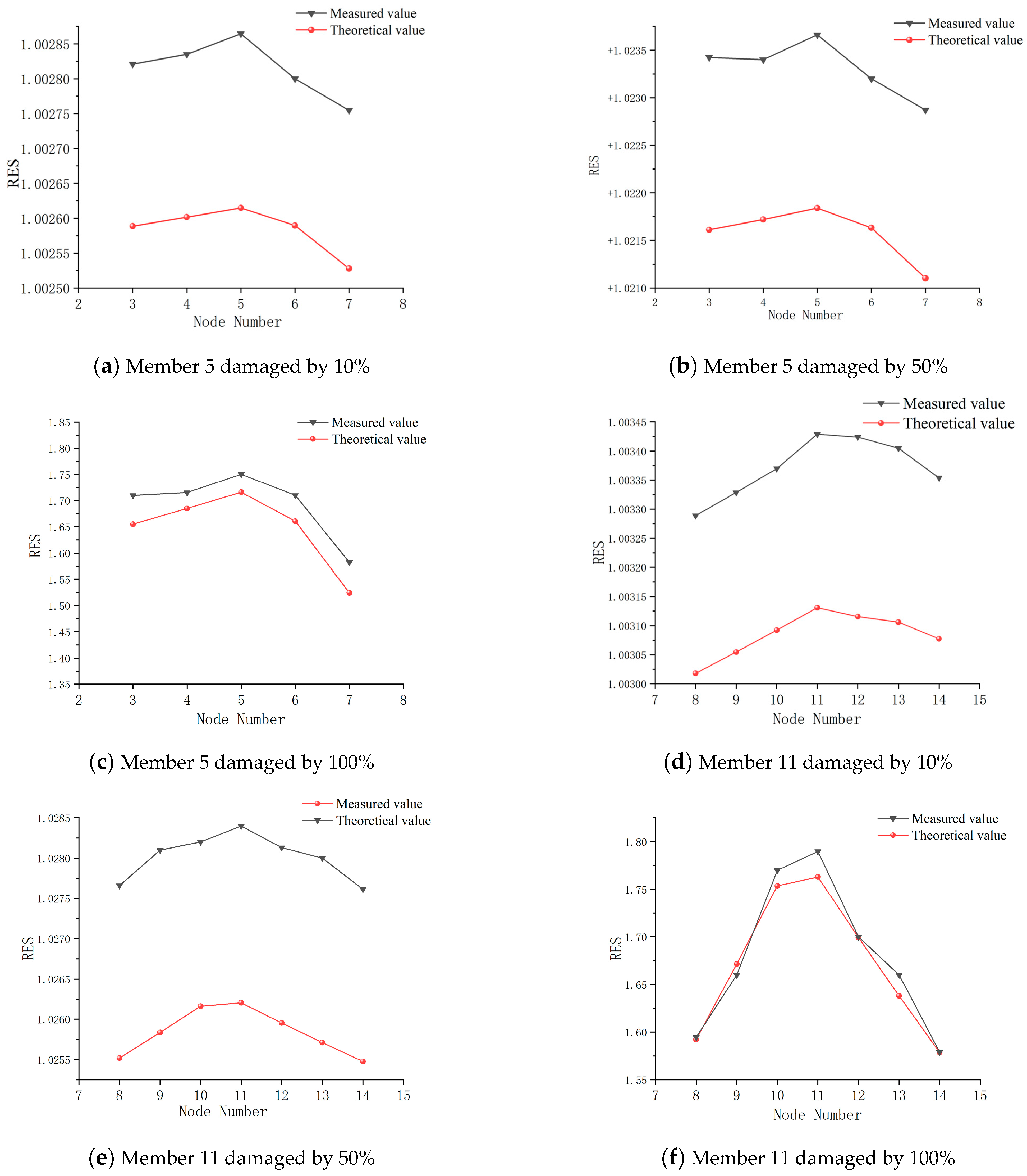
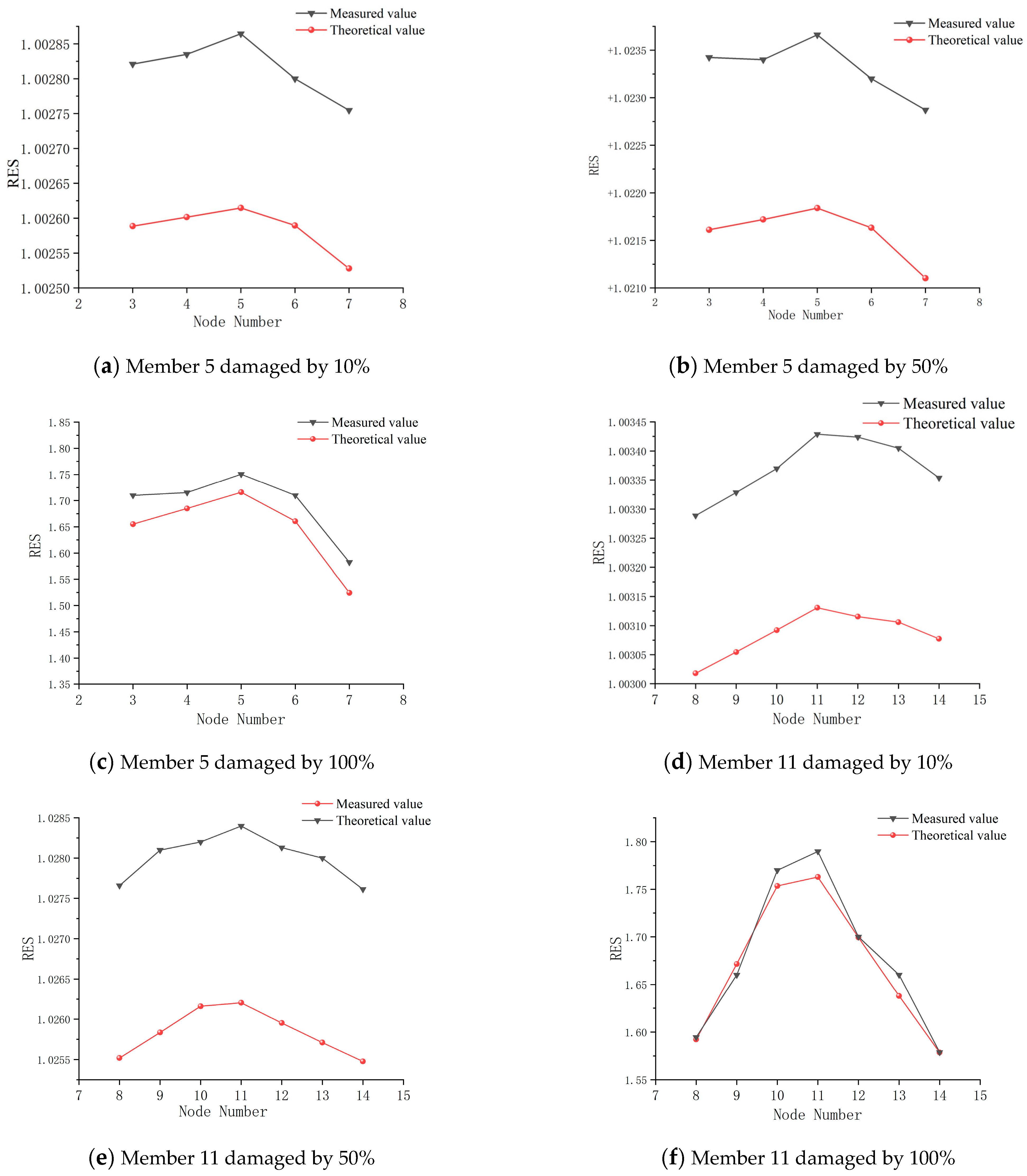
Simultaneously, based on the established bridge ANSYS model, simulations were conducted to replicate the same conditions as those in the predefined experiments. The dynamic responses of the bridge under the assumed scenarios were calculated, and the theoretical QSDIL curve and RES curve were determined. Figure 15 and Figure 16 respectively illustrate the theoretical and measured values of the QSDIL curve and RES curve under the condition of single-point damage in the bridge.
From Figure 15 and Figure 16 it can be observed that the experimental values of the QSDIL curve and RES damage curve closely align with the theoretical values. For the predefined damage locations, both the QSDIL curve and RES damage curve exhibit significant discontinuities and extremities at the preset damage positions. This indicates that the damage identification method possesses a high level of accuracy. Table 5 and Table 6 present a comparison of the peak values for QSDIL and RES between measured values and theoretical values under different damage locations and extents for single damage scenarios.
Based on the data from Table 5 and Table 6, it can be observed that, when the damage locations are the same, the peak values of QSDIL and RES curves increase with the increase in damage severity (10%, 50%, and 100%). Additionally, there is a strong positive correlation between the peak values and the severity of damage. For bridge structures with damage severity levels of 10%, 50%, and 100%, the measured peak values of RES are consistently between 1.002–1.004, 1.02–1.03, and 1.7–1.8, respectively. These values can be used to roughly identify the extent of damage. When the damage severity is the same, closer proximity of the damage location to the mid-span of the bridge results in larger peak values in the damage identification feature indicator curves, leading to a more pronounced effect in damage identification.
Additionally, except for a few points, the relative differences in the QSDIL curve are all less than 10% due to the influence of signal noise. Because RES inherently possesses excellent noise reduction capabilities, the relative differences in the RES curve are all less than 2%, indicating good consistency between the experimental and theoretical values of the response peak values. This validates the feasibility of damage identification experiments and the reliability of the theoretical analytical model. In conclusion, by placing a sensor at the mid-span position of the bridge to acquire the displacement influence line at that location, it is possible to make an initial assessment of the bridge’s damage condition.
However, because the displacement influence line provides information only at a single point, the information density is low. Additionally, as bridge spans increase and structural complexity grows, the identification accuracy may decrease. This approach is limited to detecting lateral structural damage. To enhance accuracy and address these limitations, after initially locating the approximate damage area, increasing the number of sensors in the local region and constructing RES damage identification indicators is a viable strategy. The RES curve relies solely on response information and is more sensitive to localized structural damage. This allows for precise localization of spatial damage positions within the bridge structure.

4.2.2. Identification of Multi-Point Damage Locations

Expanding on the previously discussed bridge test model and the bridge structural damage identification test system, this study sought to examine the influence of damage locations and extents on the identification outcomes under multi-point damage conditions. Figure 17 provides a visual representation of the scenarios involving multi-point damage. The results of the identification process using the quasi-static displacement influence line difference index are presented in Figure 18, while the results utilizing the relative change in wavelet packet energy (RES) index are displayed in Figure 19.
From Figure 18 it is evident that the QSDIL proves to be effective in identifying the structural damage condition. Similar to the single-point damage scenario, the curve exhibits a noticeable change in slope and a distinct inflection point at the location of damage. As the extent of damage increases, the deflection peak of the curve also grows. When damage extents are consistent but positioned at different locations, the deflection peak of the curve is more pronounced when closer to the bridge’s mid-span. In the case of multiple simultaneous damages, the deflection peak at the same location surpasses that of single-point damage. The consistent trend of deflection in both experimental and theoretical values allows for a preliminary and effective localization of the bridge’s structural damage position.
From Figure 19 it is evident that when multiple damages occur at predefined locations, the RES curve accurately reflects the damage condition. It exhibits local abrupt changes at the damage locations, and the extent of damage is positively correlated with these local abrupt changes. Compared to QSDIL, the RES curve requires the acquisition of response information from multiple points on the bridge. Its accuracy does not decrease with an increase in bridge span, and it is more sensitive to localized structural damage. The trend of deflection in both experimental and theoretical values is consistent, allowing for precise and effective localization of the bridge’s structural damage position.
As shown in Table 7, with an increase in the extent of damage, both QSDIL and RES curves exhibit larger peak values, and their peak values are strongly positively correlated with the extent of damage. A comparison of Table 7 indicates that when a bridge structure experiences damage at multiple points, under the same extent of damage, the peak values of both QSDIL and RES curves are higher than in the case of single-point damage. This confirms the feasibility of the method and the reliability of the bridge test model in multi-point damage scenarios.

5. Analysis of Factors Affecting Damage Identification in Bridge Structure Experiments

5.1. Influence of Noise Factors

Due to the presence of some noise in the QSDIL curve collection process, it is necessary to apply wavelet packet denoising. Therefore, only the impact of noise resistance of the RES curve used for precise positioning needs to be considered. To analyze the influence of signal noise on bridge structural damage identification, four sets of Gaussian white noise with signal-to-noise ratios of 70 dB, 80 dB, 90 dB, and 100 dB were added to the acceleration response signals of Members 5 and 11. Wavelet packet denoising was then applied to obtain acceleration time-history signals at the damage locations. The wavelet packet energy was analyzed, and the RES index was calculated.
Based on different locations and extents of damage in the beam elements, they were classified into different damage scenarios, as presented in Table 8. The test vehicle acted on the bridge structure at the central axis, with a weight of 30 N and a speed of 0.5 m/s through the test section. Figure 20 illustrates the RES curves under different signal-to-noise ratios, and Table 9 provides information on the peak values of the RES curves at different signal-to-noise ratios.
From Figure 20 it is evident that when subjected to 70 dB and 80 dB of noise interference, the RES curve exhibits significant fluctuations, and the accuracy of damage identification and localization is somewhat compromised. Under noise intensities of 90 dB and 100 dB, the RES curve displays smaller fluctuations and can effectively identify damage locations. Table 9 reveals that as the signal-to-noise ratio increases, the RES curve’s identification performance shows a positive trend, and the peak values of the curve exhibit a strong negative correlation. Under noise intensities of 90 dB to 100 dB, the RES identification indicators demonstrate good recognition performance, indicating that RES damage indicators possess a degree of robustness.

5.2. Influence of Lane Position

In real-world bridge inspection processes, vehicles typically travel in different lanes on the bridge. Therefore, it is important to analyze the impact of lane position on the effectiveness of damage identification. To analyze the impact of different lane positions on the precise localization of bridge structural damage, three lane positions are defined: the lane centerline position, the right lane position, and the left lane position. The right and left lanes are positioned 10 cm outward from the centerline lane, as depicted in Figure 21. The damage conditions for different lanes are presented in Table 10, while Figure 22 and Figure 23 depict the QSDIL and the RES curves beneath various lane positions. The peak values of the QSDIL and RES curves for the different lanes are summarized in Table 11.
From Figure 22 and Figure 23 it is evident that both single-point and two-point damage scenarios result in a noticeable change in slope at the predefined damage locations in the QSDIL and RES damage identification curves. This indicates that the QSDIL and RES indicators exhibit a certain level of resistance to lane interference and can effectively locate the damage positions for various scenarios. The lane in which the vehicle travels does not significantly affect the identification of the bridge’s damage location, but it does have some impact on the peak values of the QSDIL and the RES at the damage locations.
From Table 11 it can be observed that the extreme values of the QSDIL curve and RES curve are positively correlated with the sensor placement, specifically the lane position. The analysis reveals that the displacement sensor is positioned at the central location of the bridge deck. When a vehicle travels in the middle lane, the displacement response in the middle lane is more significant, resulting in a more pronounced variation in the QSDIL curve. Additionally, the acceleration sensor is located at a position corresponding to the left lane. When a vehicle travels near the side where the sensor is located, the proximity of the wheel to the measurement point increases, leading to an amplified dynamic response and, consequently, a larger variation in the RES curve.
During the experimental process, a lateral shift of 10 cm in the lane position had minimal impact on the damage identification effectiveness. Thus, the choice of the driving lane can be adapted based on practical requirements.

5.3. Influence of Vehicle Weight

The deformation of a bridge structure is more significant under higher vehicle loads, resulting in a more intense structural dynamic response with greater signal energy. During the process of bridge structural damage identification, different vehicle loads affect the bridge’s dynamic response, which, in turn, impacts the results of damage identification. Therefore, the influence of vehicle load on the effectiveness of damage identification was studied by adding different numbers of weight blocks to the rear of the test vehicle.
Each weight block weighs 10 N, and the weight of the test vehicle is 10 N, so three test scenarios were considered: 20 N, 30 N, and 40 N. The test vehicle traveled in the central lane, and for the preliminary localization of bridge structural damage positions when calculating the QSDIL difference curve, the vehicle’s speed was set to 0.1 m/s. When precisely locating the bridge’s structural damage positions using the RES curve, the vehicle’s speed was set to 0.5 m/s. The damage scenarios are outlined in Table 12, and the identification results for the QSDIL and RES indicators can be found in Figure 24 and Figure 25, respectively.
From Figure 24 and Figure 25, as well as Table 13, it is evident that with an increase in vehicle load, both the QSDIL and RES curves exhibit peaks at the predefined damage locations. In both single-point and multi-point damage scenarios, both curves demonstrate local extremities at the damage locations, reflecting the relative extent of damage at each location. The local extremities in both curves increase with the increase in vehicle load, indicating that this method is sensitive to the vehicle load factor. Therefore, in practical bridge health monitoring processes, it is advisable to consider increasing the vehicle load to enhance the accuracy of bridge structural damage identification.

6. Conclusions

Based on the displacement impact line and wavelet packet analysis theory, we propose a bridge structural damage identification method that combines QSDIL and RES damage indicators. The method has been experimentally validated, and the influence of factors such as single-point damage, multi-point damage, signal noise, lane position, and vehicle weight on the experimental results has been explored. The following conclusions were drawn:
(1)
When the bridge experiences single-point or multi-point damage, the QSDIL curve exhibits a significant mutation and reaches extremum at the pre-determined damage locations, with the relative difference between experimental and theoretical peak values being less than 10%. After preliminary identification of the damaged locations, RES curves are generated by adding acceleration sensors in the damaged area. The RES indicator demonstrates strong sensitivity to structural damage, with the relative difference between experimental and theoretical values being less than 2%. This indicates that the proposed method exhibits good robustness in the presence of single-point and multi-point damage. The experimental results closely align with theoretical values, enabling accurate identification of spatial damage locations in bridge structures.
(2)
When the damage locations in bridge structures are the same, both the QSDIL and RES curves exhibit an increase in peak values as the extent of damage increases, showing a strong positive correlation between peak values and the degree of damage. Conversely, when the degree of damage in bridge structures is the same, the closer the damage is to the mid-span region of the bridge, the larger the peak values in the QSDIL and RES curves, resulting in a more pronounced effect in damage identification.
(3)
With the increase in signal-to-noise ratio, the accuracy and precision of locating the damaged position in the bridge structure show a nonlinear trend of improvement. During the experimental process, at noise intensities of 90 dB and 100 dB, the identification error is relatively small. However, at signal-to-noise ratios of 70 dB and 80 dB, identification results may include misjudgments. To enhance damage identification accuracy, a signal-to-noise ratio of 90 dB and 100 dB is recommended.
(4)
The proposed method demonstrates preliminary and accurate identification of bridge structural damage locations when vehicles travel in different lanes, effectively resisting interference from lane-related factors. During the experimental process, a lateral shift of 10 cm in the lane position has a negligible impact on the effectiveness of damage identification, allowing for flexibility in choosing the lane based on practical needs.
(5)
Under the two preset conditions, as the vehicle weight increases from 20 N to 40 N, both QSDIL and RES curve peaks show an increasing trend. Specifically, the QSDIL identification indicator increases by 68.86% and 38.80% in the two scenarios, respectively. In comparison to the RES damage indicator, the QSDIL exhibits a larger growth rate, indicating higher sensitivity to the vehicle weight factor. To enhance damage identification accuracy, a vehicle weight of 40 N is recommended.
(6)
This method requires only a small number of sensors to achieve precise localization of bridge structural damage positions, providing a reference and guidance for experimental research on bridge structural damage identification in real bridge scenarios.

Author Contributions

Conceptualization, D.C.; methodology, Y.Z. and D.C.; validation, S.X. and Z.L.; investigation, C.Y. and Y.Z.; resources, Z.L. and S.X.; data curation, D.C.; writing—original draft, Y.Z.; writing—review and editing, Y.Z., D.C. and S.X.; supervision, Z.L. and D.C.; project administration, D.C. and S.X.; funding acquisition, S.X. All authors have read and agreed to the published version of the manuscript.

Funding

This work was supported financially by the National Natural Science Foundation of China (51408557), the China Postdoctoral Science Foundation (2013M541995), and the Program of the Department of Transportation of Henan Province (2020J-2-6), which has made this chapter possible.

Data Availability Statement

Some or all data, models, or code generated or used during the study are available from the corresponding author by request. The data are not publicly available due to privacy.

Conflicts of Interest

Author Chaoxu Yang was employed by the company Henan Transportation Investment Group Co., Ltd. The remaining authors declare that the research was conducted in the absence of any commercial or financial relationships that could be construed as a potential conflict of interest.

References

  1. Barbosa, G.B.; Fernandes, W.L.; Greco, M.; Peixoto, D.H.N. Numerical Modeling of Lyapunov Exponents for Structural Damage Identification. Buildings 2023, 13, 1802. [Google Scholar] [CrossRef]
  2. Fan, W.; Qiao, P. Vibration-based Damage Identification Methods: A Review and Comparative Study. Struct. Health Monit. Int. J. 2011, 10, 83–111. [Google Scholar] [CrossRef]
  3. Karimi, S.; Mirza, O. Damage identification in bridge structures: Review of available methods and case studies. Aust. J. Struct. Eng. 2023, 24, 89–119. [Google Scholar] [CrossRef]
  4. Liu, G.; Yang, Y.; Guo, F. Research on Identification Theories of Bridge Damage. Adv. Mater. Res. 2011, 143–144, 614–618. [Google Scholar] [CrossRef]
  5. Sun, Y.; Ma, K.; Sheng, D.; Liu, D.; Dai, B. Research on Bridge Structural Damage Identification. Sci. Program. 2022, 2022, 5095966. [Google Scholar] [CrossRef]
  6. Nicoletti, V.; Martini, R.; Carbonari, S.; Gara, F. Operational Modal Analysis as a Support for the Development of Digital Twin Models of Bridges. Infrastructures 2023, 8, 24. [Google Scholar] [CrossRef]
  7. Cunha, Á.; Caetano, E.; Magalhães, F.; Moutinho, C. Dynamic identification and continuous dynamic monitoring of bridges: Different applications along bridges life cycle. Struct. Infrastruct. Eng. 2018, 14, 445–467. [Google Scholar] [CrossRef]
  8. Huang, M.S.; Gül, M.; Zhu, H.P. Vibration-Based Structural Damage Identification under Varying Temperature Effects. J. Aerosp. Eng. 2018, 31, 04018014. [Google Scholar] [CrossRef]
  9. Innocenzi, R.D.; Nicoletti, V.; Arezzo, D.; Carbonari, S.; Gara, F.; Dezi, L. A Good Practice for the Proof Testing of Cable-Stayed Bridges. Appl. Sci. 2022, 12, 3547. [Google Scholar] [CrossRef]
  10. Zhou, Y.; Di, S.; Xiang, C.; Wang, L. Damage Detection for Simply Supported Bridge with Bending Fuzzy Stiffness Consideration. J. Shanghai Jiaotong Univ. 2018, 23, 308–319. [Google Scholar] [CrossRef]
  11. Son, B.-J.; Huh, Y.-H.; Kim, D.-J. Damage Detection in Bridge using Displacement, Slope and Curvature. J. Korean Soc. Civ. Eng. 2005, 25, 709. [Google Scholar]
  12. Wang, Y.-l.; Zhang, X.; An, X.-m. Damage Localization Method for Simply Supported Bridge with Flexural Stiffness Uncertainty Considered. China J. Highw. Transp. 2015, 28, 82–87. [Google Scholar]
  13. Sun, K.; Zhang, Y.-q. Damage identification of small-radius curved bridge based on curvature of displacement influence line. J. Zhejiang Univ. Eng. Sci. 2016, 50, 727–734. [Google Scholar]
  14. Luo, J.; Huang, M.S.; Lei, Y.Z. Temperature Effect on Vibration Properties and Vibration-Based Damage Identification of Bridge Structures: A Literature Review. Buildings 2022, 12, 1209. [Google Scholar] [CrossRef]
  15. Wu, H.; Huang, M.; Wan, Z.; Xu, Z. Research on Bridge Damage Identification Based on WPE-MDS and HTF-SAPSO. Buildings 2022, 12, 1089. [Google Scholar] [CrossRef]
  16. Yen, G.G.; Lin, K.C. Wavelet packet feature extraction for vibration monitoring. IEEE Trans. Ind. Electron. 2000, 47, 650–667. [Google Scholar] [CrossRef]
  17. Sun, Z.; Chang, C.C. Statistical wavelet-based method for structural health monitoring. J. Struct. Eng. 2004, 130, 1055–1062. [Google Scholar] [CrossRef]
  18. Soleymani, A.; Jahangir, H.; Rashidi, M.; Mojtahedi, F.F.; Bahrami, M.; Javanmardi, A. Damage Identification in Reinforced Concrete Beams Using Wavelet Transform of Modal Excitation Responses. Buildings 2023, 13, 1955. [Google Scholar] [CrossRef]
  19. Yan, P.; Li, H.; Ge, J.; Ye, Q. Structural damage identification based on modal strain energy and wavelet transform. J. Vib. Eng. 2012, 31, 121–126. [Google Scholar]
  20. Liang, Z.; Xiong, Z.; Cong, T.; Peng, J.; Yan, G. Damage identification of Chi River bridge based on vehicle excitation and WPEVCR. Adv. Bridge Eng. 2023, 4, 21. [Google Scholar] [CrossRef]
  21. Liu, X.; Tao, X.; Zhang, S. Simulation Research on Damage Identification of Simply Supported Beam Based on Wavelet Packet Energy Method. Xitong Fangzhen Xuebao 2019, 31, 1201–1207. [Google Scholar]
Figure 1. Position of a mobile load. In the figure, x represents the distance from point A to the location of the concentrated force, a is half the length of the simply supported beam, c is the distance from point A to the damaged point, and l is the length of the simply supported beam.
Figure 1. Position of a mobile load. In the figure, x represents the distance from point A to the location of the concentrated force, a is half the length of the simply supported beam, c is the distance from point A to the damaged point, and l is the length of the simply supported beam.
Buildings 13 02974 g001
Figure 3. Physical image of a bridge model.
Figure 3. Physical image of a bridge model.
Buildings 13 02974 g003
Figure 4. Finite element model of a bridge.
Figure 4. Finite element model of a bridge.
Buildings 13 02974 g004
Figure 5. First-order vertical resonant frequency of a bridge.
Figure 5. First-order vertical resonant frequency of a bridge.
Buildings 13 02974 g005
Figure 6. Experimental test vehicle photograph.
Figure 6. Experimental test vehicle photograph.
Buildings 13 02974 g006
Figure 7. Physical representation of the sensor.
Figure 7. Physical representation of the sensor.
Buildings 13 02974 g007
Figure 8. Signal acquisition instrument for dynamic and static signal testing and analysis—TZT3828E.
Figure 8. Signal acquisition instrument for dynamic and static signal testing and analysis—TZT3828E.
Buildings 13 02974 g008
Figure 9. Block diagram of a multi-channel data acquisition system.
Figure 9. Block diagram of a multi-channel data acquisition system.
Buildings 13 02974 g009
Figure 10. Damage identification test system.
Figure 10. Damage identification test system.
Buildings 13 02974 g010
Figure 11. Truss unit identification.
Figure 11. Truss unit identification.
Buildings 13 02974 g011
Figure 12. Damage diagram of laboratory truss.
Figure 12. Damage diagram of laboratory truss.
Buildings 13 02974 g012
Figure 13. Physical representation of a single unit damage condition.
Figure 13. Physical representation of a single unit damage condition.
Buildings 13 02974 g013
Figure 14. Test point layout diagram for damage identification experiments.
Figure 14. Test point layout diagram for damage identification experiments.
Buildings 13 02974 g014
Figure 15. Single-point damage QSDIL curve.
Figure 15. Single-point damage QSDIL curve.
Buildings 13 02974 g015
Figure 16. Single-point damage RES curve.
Figure 16. Single-point damage RES curve.
Buildings 13 02974 g016
Figure 17. Physical representation of multiple-point damage.
Figure 17. Physical representation of multiple-point damage.
Buildings 13 02974 g017
Figure 18. Multiple-point damage QSDIL curve.
Figure 18. Multiple-point damage QSDIL curve.
Buildings 13 02974 g018
Figure 19. Multiple-point damage RES curve.
Figure 19. Multiple-point damage RES curve.
Buildings 13 02974 g019
Figure 20. RES curves at different SNRs.
Figure 20. RES curves at different SNRs.
Buildings 13 02974 g020
Figure 21. Lane layout diagram (mm).
Figure 21. Lane layout diagram (mm).
Buildings 13 02974 g021
Figure 22. QSDIL curves for different travel lanes.
Figure 22. QSDIL curves for different travel lanes.
Buildings 13 02974 g022
Figure 23. RES curves for different travel lanes.
Figure 23. RES curves for different travel lanes.
Buildings 13 02974 g023
Figure 24. QSDIL curves under different vehicle weight conditions.
Figure 24. QSDIL curves under different vehicle weight conditions.
Buildings 13 02974 g024
Figure 25. RES curves under different vehicle weight conditions.
Figure 25. RES curves under different vehicle weight conditions.
Buildings 13 02974 g025
Table 1. Material parameters of the wood.
Table 1. Material parameters of the wood.
Specifications of the Wood (mm)Elastic Modulus (MPa)Poisson’s RatioDensity (g/cm3)Position
300 × 10 × 101.25 × 1040.40.47Top Chord, Bottom Chord, Vertical Member
420 × 10 × 101.25 × 1040.40.47Diagonal Brace Member
400 × 10 × 101.25 × 1040.40.47Horizontal Member
1800 × 400 × 51.25 × 1040.40.47Bridge Deck
Table 2. Comparison of a mid-span deflection and vertical fundamental frequency experimental and theoretical values for bridge model.
Table 2. Comparison of a mid-span deflection and vertical fundamental frequency experimental and theoretical values for bridge model.
ProjectMeasured ValuesANSYS Theoretical ValuesMidas Theoretical ValuesRelative Maximum Deviation
Mid-Span Deflection/mm0.1030.1080.1054.85%
First-Order Vertical Frequency/Hz3.0003.1483.1214.93%
Table 3. Individual unit damage condition.
Table 3. Individual unit damage condition.
Damage ConditionDamaged MembersDamage LocationDegree of Damage (%)
15Three-Point10
25Three-Point50
35Three-Point100
411Mid-Span10
511Mid-Span50
611Mid-Span100
Table 4. Multiple damage condition.
Table 4. Multiple damage condition.
Damage ConditionDamaged MembersDamage LocationDegree of Damage (%)Type of Damage
15, 11Three-Point, Mid-Span10, 10Damage to Two Units
25, 11Three-Point, Mid-Span50, 100Damage to Two Units
35, 11, 16Three-Point, Mid-Span, Three-Point100, 100, 100Damage to Three Units
Table 5. Comparison of QSDIL and RES peak values for Member 5 with varying degrees of damage.
Table 5. Comparison of QSDIL and RES peak values for Member 5 with varying degrees of damage.
Damage Degree (%)1050100
QSDILMeasured Value/mm−0.00874−0.0702−0.7604
Theoretical Value/mm−0.00792−0.0658−0.7061
Relative Difference/%7.5646.6877.695
RESMeasured Value1.00281.02371.7160
Theoretical Value1.00261.02181.7506
Relative Difference/%0.030.181.98
Table 6. Comparison of QSDIL and RES peak values for Member 11 with varying degrees of damage.
Table 6. Comparison of QSDIL and RES peak values for Member 11 with varying degrees of damage.
Damage Degree (%)1050100
QSDILMeasured Value/mm−0.02267−0.2001−2.0693
Theoretical Value/mm−0.02137−0.1775−1.9040
Relative Difference/%6.09412.738.678
RESMeasured Value1.00341.02841.7898
Theoretical Value1.00311.02621.7630
Relative Difference/%0.030.211.52
Table 7. Comparison of QSDIL and RES peak values under multi-point damage.
Table 7. Comparison of QSDIL and RES peak values under multi-point damage.
Damage ConditionDamage Location51116
Members 5 and 11 Damaged by 10%QSDILMeasured Value/mm−0.0203−0.0264-
Theoretical Value/mm−0.01890.0279-
Relative Difference/%5.4437.451-
RESMeasured Value1.05571.0559-
Theoretical Value1.05491.0551-
Relative Difference/%0.080.08-
Members 5 and 11 Damaged by 50% and 100%QSDILMeasured Value/mm−1.7486−2.5300-
Theoretical Value/mm−1.6687−2.3747-
Relative Difference/%4.7896.538-
RESMeasured Value2.47612.4842-
Theoretical Value2.39132.3983-
Relative Difference/%0.080.08-
Members 5, 11, and 16 All Damaged by 100%QSDILMeasured Value/mm−2.0280−2.8664−1.9782
Theoretical Value/mm−1.9148−3.0649−1.8721
Relative Difference/%5.9117.5635.668
RESMeasured Value4.01944.01984.0197
Theoretical Value4.00904.00954.0094
Relative Difference/%0.260.260.26
Table 8. Damage conditions at different SNRs.
Table 8. Damage conditions at different SNRs.
Damage ConditionDamaged MembersDamage Degree (%)SNR (dB)
1115070
2115080
3115090
41150100
55, 115070
65, 115080
75, 115090
85, 1150100
Table 9. Comparison of peak values in RES curves under different operating conditions.
Table 9. Comparison of peak values in RES curves under different operating conditions.
Damage ConditionDamaged Members511
Member 11 Damaged by 50%70-1.0248
80-1.0234
90-1.0229
100-1.0223
Members 5 and 11 Both Damaged by 50%701.05651.0568
801.05601.0563
901.05571.0559
1001.05531.0556
Table 10. Different lane test conditions.
Table 10. Different lane test conditions.
Damage ConditionDamaged MembersDamage Degree (%)Vehicle Loaded Lane
1550Left Lane
2550Center Lane
3550Right Lane
45, 1150, 100Left Lane
55,1150, 100Center Lane
65, 1150, 100Right Lane
Table 11. Comparison of QSDIL and RES peak values under varied travel lanes.
Table 11. Comparison of QSDIL and RES peak values under varied travel lanes.
Damage ConditionDamaged Members (%)511
Member 5 Damaged by 50%QSDILLeft Lane−0.06575 mm-
Center Lane0.07020 mm-
Right Lane−0.06490 mm-
RESLeft Lane1.0244-
Center Lane1.0237-
Right Lane1.0234-
Members 5 and 11 Damaged by 50% and 100%QSDILLeft Lane−1.6599 mm−2.3394 mm
Center Lane−1.7753 mm−2.5317 mm
Right Lane−1.6574 mm−2.3171 mm
RESLeft Lane2.48382.5594
Center Lane2.47612.4886
Right Lane2.38192.4479
Table 12. Test conditions for different vehicle weights.
Table 12. Test conditions for different vehicle weights.
Damage ConditionDamaged MembersDamage Degree (%)Vehicle Weight (N)
1115020
2115030
3115040
45, 1150, 10020
55, 1150, 10030
65, 1150, 10040
Table 13. Comparison of QSDIL and RES peak values under varied vehicle weights.
Table 13. Comparison of QSDIL and RES peak values under varied vehicle weights.
Damage ConditionDamaged Members511
Member 11 Damaged by 50%QSDILVehicle Weight 20 N-−0.0964 mm
Vehicle Weight 30 N-−0.2001 mm
Vehicle Weight 40 N-−0.3096 mm
RESVehicle Weight 20 N-1.01646
Vehicle Weight 30 N-1.02860
Vehicle Weight 40 N-1.03695
Members 5 and 11 Damaged by 50% and 100%QSDILVehicle Weight 20 N−1.3838 mm−1.9684 mm
Vehicle Weight 30 N−1.7753 mm−2.5317 mm
Vehicle Weight 40 N−2.2724 mm−3.2161 mm
RESVehicle Weight 20 N2.40352.4971
Vehicle Weight 30 N2.51072.6142
Vehicle Weight 40 N2.61872.7360
Disclaimer/Publisher’s Note: The statements, opinions and data contained in all publications are solely those of the individual author(s) and contributor(s) and not of MDPI and/or the editor(s). MDPI and/or the editor(s) disclaim responsibility for any injury to people or property resulting from any ideas, methods, instructions or products referred to in the content.

Share and Cite

MDPI and ACS Style

Chen, D.; Zhang, Y.; Xu, S.; Li, Z.; Yang, C. Experimental Study on Bridge Structural Damage Identification Based on Quasi-Static Displacement Effects and Wavelet Packet Decomposition. Buildings 2023, 13, 2974. https://doi.org/10.3390/buildings13122974

AMA Style

Chen D, Zhang Y, Xu S, Li Z, Yang C. Experimental Study on Bridge Structural Damage Identification Based on Quasi-Static Displacement Effects and Wavelet Packet Decomposition. Buildings. 2023; 13(12):2974. https://doi.org/10.3390/buildings13122974

Chicago/Turabian Style

Chen, Daihai, Yunsen Zhang, Shizhan Xu, Zheng Li, and Chaoxu Yang. 2023. "Experimental Study on Bridge Structural Damage Identification Based on Quasi-Static Displacement Effects and Wavelet Packet Decomposition" Buildings 13, no. 12: 2974. https://doi.org/10.3390/buildings13122974

APA Style

Chen, D., Zhang, Y., Xu, S., Li, Z., & Yang, C. (2023). Experimental Study on Bridge Structural Damage Identification Based on Quasi-Static Displacement Effects and Wavelet Packet Decomposition. Buildings, 13(12), 2974. https://doi.org/10.3390/buildings13122974

Note that from the first issue of 2016, this journal uses article numbers instead of page numbers. See further details here.

Article Metrics

Back to TopTop