The Mathematical Modeling and Performance of Sky Radiative Coolers
Abstract
:1. Introduction
2. Materials and Methods
2.1. Geometry and Heat Balance of the Sky Radiative Cooler
2.1.1. Simulation of the Operating Environment and Boundary Conditions
2.1.2. Geometric Modeling of the Sky Radiative Cooler
2.2. Numerical Modeling and Control Equations for the Sky Radiative Cooler
2.2.1. Fluid Numerical Model
2.2.2. Control Equations and Boundary Conditions for Radiant Heat Transfer
2.2.3. Surface-to-Surface Radiative Model
2.2.4. Performance Analysis of Sky Radiative Cooling
2.2.5. Turbulence Numerical Simulation Methods and Model Selection
3. Model Validation
3.1. Mesh Irrelevance Verification
3.2. Simulation Verification
4. Simulation Results
4.1. Analysis of the Radiative Cooler’s Performance for Different Cloud Thicknesses
4.2. Influence of the Ambient Wind Speed on the Radiative Cooling Effect
4.3. Influence of the Inlet Flow to the Sky Radiative Cooler on the Cooling Performance
4.4. Influence of the Installation Angle of the Sky Radiative Cooler on the Radiation Performance
4.5. Influence of the Structural Form of the Sky Radiative Cooler on the Cooling Effect
4.5.1. Effect of PE Film on the Sky Radiative Cooler’s Performance
4.5.2. Analysis of the Sky Radiative Cooler’s Performance at Different Air Sandwich Heights
4.5.3. Influence of the Surface Structure of the Sky Radiative Cooler on Its Cooling Performance
5. Energy Efficiency Analysis of the Sky Radiative Cooling Composite System
5.1. The Sky Radiative Cooling Composite Cooling System
5.2. Building Modeling and Simulation Software
5.3. Determination of Specifications for the Components of Sky Radiative Cooling Composite Systems
5.4. Simulation Location Selection and Annual Energy Consumption Analysis
6. Conclusions
- 1.
- Different cloud thicknesses have different effects on the sky radiative cooler; the thicker the cloud thickness, the worse the cooling performance of the radiative cooler, but in a completely cloudy environment, the sky radiative cooler can still realize a cooling effect. The cooling power of the radiative cooler decreased by 42.53 W/m2 and 54.54 W/m2 under cloudy and overcast conditions, respectively, compared with that of the radiative cooler under sunny conditions.
- 2.
- When the ambient temperature is the same, the larger the wind speed, the faster the rate of change of the surface temperature of the radiative cooler. When the ambient temperature is higher than the surface temperature of the cooler, the outdoor environment is exothermic to the cooler; the greater the wind speed, the greater the net cooling power, and the temperature difference can reach a maximum of 0.59 °C. In these conditions, insulating the surface of the radiative cooler from the environment can reduce non-radiation heat transfer. When the ambient temperature is lower than the surface temperature of the cooler, the cooler is exothermic to the outdoor environment; the lower the wind speed the larger the net cooling power, and the temperature difference can reach a maximum of 0.32 °C. In these conditions, non-radiation heat transfer is strengthened.
- 3.
- When the ambient temperature is held constant, the lower the water flow rate of the sky radiative cooling system, the lower the exit temperature of the radiative cooler, however, the net radiative cooling power is also smaller. The difference between the inlet and outlet temperatures and the net radiative cooling power with the increase in the flow rate of change slows down when the flow rate is greater than 5 L/min. Here, the flow rate is too large to lead to uneven heat transfer; the flow rate of the difference between the inlet and outlet temperatures and the net refrigeration power of the cooling system is negligible.
- 4.
- Consideration of the installation angle of the radiative cooler on the cooling effect should be considered when the impact of the buildings around the cooler and the ambient temperature are certain; the cooler and the surrounding objects do not generate radiant heat transfer. The larger the angle of inclination of the cooler, the more the absorption of solar radiation is reduced, and the lower the temperature of the cooler’s surface; when the radiative cooler is near a building, trees, or other objects, due to the surrounding objects, the radiant heat transfer from the surface of the cooler increases due to the reduction in solar radiation caused by changes in the angle of the surface of the cooler. The temperature first shows a rising trend as the angle continues to increase; the surrounding objects on the surface of the cooler increase until the amount of radiation heat transfer is no longer dominant, so the temperature will gradually decrease.
- 5.
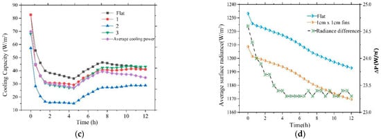
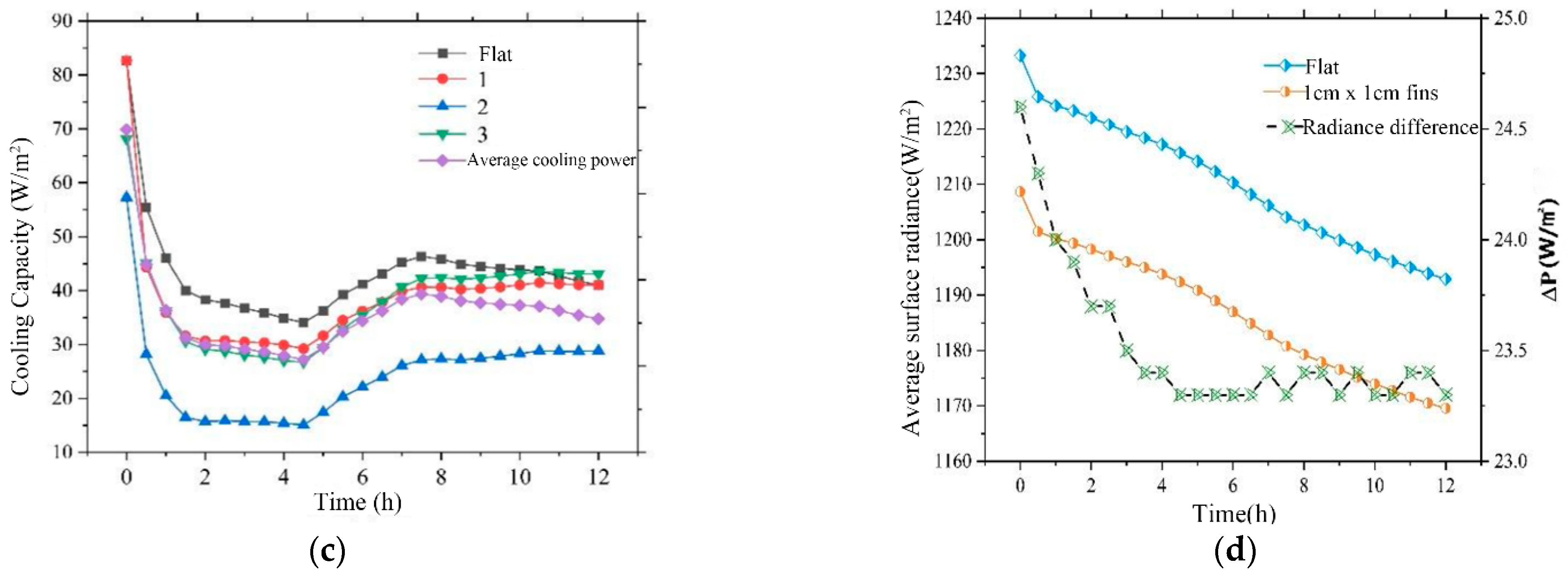
- By simulating and analyzing the radiative cooler with and without fins, it was found that, when the ambient temperature was constant, the addition of fins to the surface leads to a decrease in the cooling effect of the radiative cooler and thus to an increase in the outlet temperature. Therefore, when using a sky radiative cooler, the surface of the radiative cooler should have a flat structure.
- 6.
- Sky radiative cooling composite systems in Guangzhou, Shanghai, Jinan, and the Shenyang region reduce the amount of cooling power consumption compared to traditional vapor compression cooling units by 25.7%, 32.5%, 37.1%, and 44.8%, respectively. It can be seen that, in hot and humid areas, the sky radiative cooling composite system’s energy-saving effect is worse than in dry areas, where its energy-saving effect is good.
Author Contributions
Funding
Data Availability Statement
Acknowledgments
Conflicts of Interest
References
- Zeyghami, M.; Goswami, D.Y.; Stefanakos, E. A review of clear sky radiative cooling developments and applications in renewable power systems and passive building cooling. Sol. Energy Mater. Sol. Cells 2018, 178, 115–128. [Google Scholar] [CrossRef]
- Liu, J.; Zhang, Y.; Li, S.; Valenzuela, C.; Shi, S.; Jiang, C.; Wu, S.; Ye, L.; Wang, L.; Zhou, Z. Emerging materials and engineering strategies for performance advance of radiative sky cooling technology. Chem. Eng. J. 2023, 453, 139739. [Google Scholar] [CrossRef]
- Sun, X.; Sun, Y.; Zhou, Z.; Alam, M.A.; Bermel, P. Radiative sky cooling: Fundamental physics, materials, structures, and applications. Nanophotonics 2017, 6, 997–1015. [Google Scholar] [CrossRef]
- Vall, S.; Castell, A. Radiative cooling as low-grade energy source: A literature review. Renew. Sustain. Energy Rev. 2017, 77, 803–820. [Google Scholar] [CrossRef]
- Rephaeli, E.; Raman, A.; Fan, S. Ultrabroadband photonic structures to achieve high-performance daytime radiative cooling. Nano Lett. 2013, 13, 540–544. [Google Scholar] [CrossRef]
- Kou, J.L.; Jurado, Z.; Chen, Z.; Fan, S.; Minnich, A.J. Daytime Radiative Cooling Using Near-Black Infrared Emitters. ACS Photonics 2017, 4, 626–630. [Google Scholar] [CrossRef]
- Liu, H. Numerical Simulation of Flow Field and Heat Transfer in a Rectangular Pipe with Ribs. Master’s Thesis, University of Science and Technology of China, Hefei, China, 2010. [Google Scholar]
- Wang, W. Research on structure optimization and cooling performance of night sky radiators. J. Sol. Energy 2019, 40, 1842–1847. [Google Scholar]
- Chen, J.; Lu, L.; Gong, Q. Techno-economic and environmental evaluation on radiative sky cooling-based novel passive envelope strategies to achieve building sustainability and carbon neutrality. Appl. Energy 2023, 349, 121679. [Google Scholar] [CrossRef]
- Zhang, K.; Zhao, D.; Zhai, Y.; Yin, X.; Yang, R.; Tan, G. Modelling study of the low-pump-power demand constructal T-shaped pipe network for a large scale radiative cooled-cold storage system. Appl. Therm. Eng. 2017, 127, 1564–1573. [Google Scholar] [CrossRef]
- Golaka, A.; Exell, R.H.B. An investigation into the use of a wind shield to reduce theconvective heat flux to a nocturnal radiative cooling surface. Renew. Energy 2007, 32, 593–608. [Google Scholar] [CrossRef]
- Liu, C.; Wu, Y. Effect of atmospheric water vapor on radiative cooling performance of different surfaces. Sol. Energy 2019, 183, 218–225. [Google Scholar] [CrossRef]
- Liu, J.; Tang, H.; Jiang, C.; Wu, S.; Ye, L.; Zhao, D.; Zhou, Z. Micro-Nano Porous Structure for Efficient Daytime Radiative Sky Cooling. Adv. Funct. Mater. 2022, 32, 2206962. [Google Scholar] [CrossRef]
- Aili, A.; Zhao, D.; Tan, G.; Yin, X.; Yang, R. Reduction of water consumption in thermal power plants with radiative sky cooling. Appl. Energy 2021, 302, 117515. [Google Scholar] [CrossRef]
- Zhao, B. Research on Sky Radiation Cooling and Its Comprehensive Utilization with Solar Photovoltaic Conversion. Ph.D. Thesis, University of Science and Technology of China, Hefei, China, 2020. [Google Scholar]
- Zaite, A.; Belouaggadia, N.; Abid, C.; Kaiss, A.; Kanso, H. Integrate of night radiative cooling technology using a photovoltaic thermal collector under three different climates. Int. J. Thermofluids 2022, 16, 100252. [Google Scholar] [CrossRef]
- Hu, M.; Zhao, B.; Ao, X.; Cao, J.; Wang, Q.; Riffat, S.; Su, Y.; Pei, G. Applications of radiative sky cooling in solar energy systems: Progress, challenges, and prospects. Renew. Sustain. Energy Rev. 2022, 160, 112304. [Google Scholar] [CrossRef]
- Meir, M.G.; Rekstad, J.B.; LØvvik, O.M. A study of a polymer-based radiative cooling system. Sol. Energy 2002, 73, 403–417. [Google Scholar] [CrossRef]
- Collins, T.; Parker, S. Technology Installation Review: White Cap Roof Spray Cooling System; Pacific Northwest National Laboratory: Richland, WA, USA, 1998; Volume 23, p. 2015. [Google Scholar]
- Berdahl, P.; Martin, M. Emissivity of clear skies. Sol. Energy 1984, 32, 663–664. [Google Scholar] [CrossRef]
- Chen, J.; Lu, L.; Gong, Q.; Lau, W.Y.; Cheung, K.H. Techno-economic and environmental performance assessment of radiative sky cooling-based super-cool roof applications in China. Energy Convers. Manag. 2021, 245, 114621. [Google Scholar] [CrossRef]
- Wu, Y.; Zhao, H.; Sun, H.; Duan, M.; Lin, B.; Wu, S. A review of the application of radiative sky cooling in buildings: Challenges and optimization. Energy Convers. Manag. 2022, 265, 115768. [Google Scholar] [CrossRef]
- Cohen, M.E.; Greenberg, D.P. The Hemi-Cube: A Radiosity Solution for Complex Environments. Comput. Graph. 1985, 19, 31–40. [Google Scholar] [CrossRef]
- Matsuta, M.; Terada, S.; Ito, H. Solar heating and radiative cooling using a solar collector-sky radiator with a spectrally selective surface. Pergamon 1987, 39, 183–186. [Google Scholar] [CrossRef]
- Fu, Y.; Yang, J.; Su, Y.S.; Du, W.; Ma, Y.G. Daytime passive radiative cooler using porous alumina. Sol. Energy Mater. Sol. Cells 2019, 191, 50–54. [Google Scholar] [CrossRef]
- Glass, M.W. Chaparral—A Library Package for Solving Large Enclosure Radiation Heat Transfer Problems; Sandia National Laboratories: Albuquerque, NM, USA, 1995; pp. 1–38. [Google Scholar]
- Zhao, D.; Aili, A.; Zhai, Y.; Lu, J.; Kidd, D.; Tan, G.; Yin, X.; Yang, R. Subambient cooling of water: Toward real-world applications of daytime radiative cooling. Joule 2019, 3, 111–123. [Google Scholar] [CrossRef]
- DOE, Commercial Prototype Building Models, Building Energy Codes Program, Department of Energy [EB/OL]. 2019. Available online: https://www.energycodes.gov/commercialprototype-building-models (accessed on 5 June 2023).
- Thornton, B.A.; Rosenberg, M.I.; Richman, E.E.; Wang, W.; Xie, Y.; Zhang, J.; Cho, H.; Mendon, V.V.; Athalye, R.A.; Liu, B. Achieving the 30% Goal: Energy and Cost Savings Analysis of ASHRAE Standard 90.1-2010; Technical Report PNNL-20405; Pacific Northwest National Laboratory: Richland, WA, USA, 2011. [Google Scholar]
- ASHRAE, ANSI/ASHRAE Standard 90.1-2019; Energy Standard for Buildings except Low-Rise Residential Buildings. American Society of Heating, Refrigerating and Air Conditioning Engineers, Inc.: Atlanta, GA, USA, 2019.
- Fernandez, N.; Wang, W.; Alvine, K.; Katipamula, S. Energy Savings Potential of Radiative Cooling Technologies; Pacific Northwest National Laboratory: Richland, WA, USA, 2015. [Google Scholar]
- Zhao, D.; Yin, X.; Xu, J.; Tan, G.; Yang, R. Radiative sky cooling-assisted thermoelectric cooling system for building applications. J. Technol. Sci. 2020, 190, 116322. [Google Scholar] [CrossRef]
- Zhai, Y.; Ma, Y.; David, S.N.; Zhao, D.; Lou, R.; Tan, G.; Yang, R.; Yin, X. Scalable-manufactured randomized glass-polymer hybrid metamaterial for daytime radiative cooling. Science 2017, 355, 1062–1066. [Google Scholar] [CrossRef]
- Eicker, U.; Dalibard, A. Photovoltaic-thermal collectors for night radiative cooling of buildings. Sol. Energy 2011, 85, 1322–1335. [Google Scholar] [CrossRef]


























| Grid | Domain Unit | Frontier Element | Edge Unit | Temperature (°C) | |
|---|---|---|---|---|---|
| Serial No. | |||||
| Grid 1 | 67,473 | 17,768 | 891 | 22.64 | |
| Grid 2 | 13,551 | 6282 | 586 | 22.644 | |
| Grid 3 | 6081 | 2892 | 410 | 22.646 | |
| Cities | Radiative Cooler Area (m2) | Cooling Tank Volume (L) | System Loop Flows (kg/s) |
|---|---|---|---|
| Guangzhou | 95.50 | 300.83 | 0.53 |
| Shanghai | 92.50 | 291.40 | 0.51 |
| Jinan | 91.23 | 287.40 | 0.51 |
| Shenyang | 85.83 | 270.36 | 0.50 |
Disclaimer/Publisher’s Note: The statements, opinions and data contained in all publications are solely those of the individual author(s) and contributor(s) and not of MDPI and/or the editor(s). MDPI and/or the editor(s) disclaim responsibility for any injury to people or property resulting from any ideas, methods, instructions or products referred to in the content. |
© 2023 by the authors. Licensee MDPI, Basel, Switzerland. This article is an open access article distributed under the terms and conditions of the Creative Commons Attribution (CC BY) license (https://creativecommons.org/licenses/by/4.0/).
Share and Cite
Zhuang, Z.; Yang, X.; Xie, K.; Tang, M.; Xu, Y.; Ben, X. The Mathematical Modeling and Performance of Sky Radiative Coolers. Buildings 2023, 13, 2972. https://doi.org/10.3390/buildings13122972
Zhuang Z, Yang X, Xie K, Tang M, Xu Y, Ben X. The Mathematical Modeling and Performance of Sky Radiative Coolers. Buildings. 2023; 13(12):2972. https://doi.org/10.3390/buildings13122972
Chicago/Turabian StyleZhuang, Zhaoyi, Xuebin Yang, Kun Xie, Mengyan Tang, Yanbiao Xu, and Xianye Ben. 2023. "The Mathematical Modeling and Performance of Sky Radiative Coolers" Buildings 13, no. 12: 2972. https://doi.org/10.3390/buildings13122972
APA StyleZhuang, Z., Yang, X., Xie, K., Tang, M., Xu, Y., & Ben, X. (2023). The Mathematical Modeling and Performance of Sky Radiative Coolers. Buildings, 13(12), 2972. https://doi.org/10.3390/buildings13122972

