Investigating the Sorption Isotherms and Hysteresis of a Round Perforated Brick Using Newly Developed Models
Abstract
:1. Introduction
2. Materials and Method
2.1. Materials Description
2.2. Sample Preparation
2.3. Experimental Method
Temperature Effect on Water Capacity of the Round Perforated Brick
2.4. Appropriate Models
2.4.1. Sorption Isotherms
- Coefficient of determination:
- The relative mean error:
- The residual sum of squares:
2.4.2. Hysteresis Phenomenon
2.5. Isosteric Heat
3. Results and Discussion
3.1. Sorption Isotherms (Adsorption/Desorption)
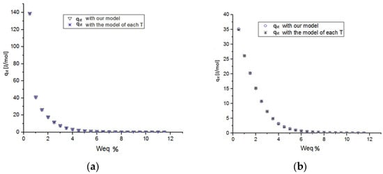
Analytical Modeling
3.2. Hysteresis Phenomenon
Analytical Modeling
3.3. Isosteric Heat
4. Conclusions
Author Contributions
Funding
Data Availability Statement
Acknowledgments
Conflicts of Interest
Abbreviations
| CEREFE | The Office of the Commissioner for Renewable Energy and Energy Efficiency |
| APRUE | The Agency for the Promotion and Rationalization of Energy Use |
| IUPAC | The International Union of Pure And Applied Chemistry |
| LTPE | Eastern Public Works laboratory, Constantine |
| R2 | The correlation coefficient |
| MRE | The relative mean error |
| CEBS | Compressed earth brick stabilized |
| RSS | The residuals sum of squares |
| ads | Adsorption |
| des | Desorption |
| sat | Saturation |
| Wdes | Desorption main curve |
| Wads | Adsorption main curve |
| H1ads | Adsorption intermediate curve (path 1) |
| H1des | Desorption intermediate curve (path 1) |
| H2ads | Adsorption intermediate curve (path 2) |
| H2des | Desorption intermediate curve (path 2) |
References
- Dulac, J.; Abergel, T. Énergie et bâtiments: Regards sur le reste du monde. In Annales des Mines-Responsabilité et Environnement; Cairn/Softwin: Lyon, France, 2018; Volume 90, pp. 17–21. [Google Scholar] [CrossRef]
- Commissariat aux Energies Renouvelables et à l’Efficacité Energétique (CEREFE). Transition Energétique en Algérie. 2020. Available online: https://www.cerefe.gov.dz/wp-content/uploads/2022/02/Rapport_CEREFE_TE-2020-4.pdf (accessed on 5 November 2023).
- Anisse, C.; Mohammed, B.; Sofiane, A. en Algérie: Analyse et Recommandations. p. 112. Available online: https://www.asjp.cerist.dz/en/downArticle/13/9/3/174257 (accessed on 5 November 2023).
- Simonson, C.J.; Salonvaara, M.; Ojanen, T. The effect of structures on indoor humidity-Possibility to improve comfort and perceived air quality: Effect of structures on indoor humidity. Indoor Air 2002, 12, 243–251. [Google Scholar] [CrossRef] [PubMed]
- Raji, S. Caractérisation Hygro Thermique, par une Approche Multi échelle, de Constructions en Bois Massif en vue D’amélioration énergétique et de Valorisation Environnementale. Ph.D. Thesis, Université Bordeaux, Bordeaux, France, 2006; p. 226. [Google Scholar]
- Al-Muhtaseb, A.; McMinn, W.; Magee, T. Moisture Sorption Isotherm Characteristics of Food Products: A Review. Food Bioprod. Process. 2002, 80, 118–128. [Google Scholar] [CrossRef]
- Feng, C.; Janssen, H.; Wu, C.; Feng, Y.; Meng, Q. Validating various measures to accelerate the static gravimetric sorption isotherm determination. Build. Environ. 2013, 69, 64–71. [Google Scholar] [CrossRef]
- Sormoli, M.E.; Langrish, T.A. Moisture sorption isotherms and net isosteric heat of sorption for spray-dried pure orange juice powder. LWT-Food Sci. Technol. 2015, 62, 875–882. [Google Scholar] [CrossRef]
- Martínez-Ibernón, A.; Aparicio-Fernández, C.; Royo-Pastor, R.; Vivancos, J.-L. Temperature and humidity transient simulation and validation in a measured house without a HVAC system. Energy Build. 2016, 131, 54–62. [Google Scholar] [CrossRef]
- Zhang, X.; Zillig, W.; Künzel, H.M.; Zhang, X.; Mitterer, C. Evaluation of moisture sorption models and modified Mualem model for prediction of desorption isotherm for wood materials. Build. Environ. 2015, 92, 387–395. [Google Scholar] [CrossRef]
- Promis, G.; Dutra, L.F.; Douzane, O.; Le, A.T.; Langlet, T. Temperature-dependent sorption models for mass transfer throughout bio-based building materials. Constr. Build. Mater. 2019, 197, 513–525. [Google Scholar] [CrossRef]
- Maaroufi, M.; Abahri, K.; El Hachem, C.; Belarbi, R. Characterization of EPS lightweight concrete microstructure by X-ray tomography with consideration of thermal variations. Constr. Build. Mater. 2018, 178, 339–348. [Google Scholar] [CrossRef]
- ISO 12571; Hydrothermal Performance of Building Materials and Products—Determination of Hygroscopic Sorption Properties. ISO: Geneva, Switzerland, 2000.
- Bui, R.; Labat, M.; Aubert, J.-E. Comparison of the Saturated Salt Solution and the Dynamic Vapor Sorption techniques based on the measured sorption isotherm of barley straw. Constr. Build. Mater. 2017, 141, 140–151. [Google Scholar] [CrossRef]
- Miloudi, Y.; Fezzioui, N.; Labbaci, B.; Benidir, A.; Roulet, C.-A.; Oumeziane, Y.A. Hygrothermal Characterization of Compressed and Cement Stabilized Earth Blocks. Int. Rev. Civ. Eng. IRECE 2019, 10, 177. [Google Scholar] [CrossRef]
- Feng, C.; Janssen, H. Hygric properties of porous building materials (II): Analysis of temperature influence. Build. Environ. 2016, 99, 107–118. [Google Scholar] [CrossRef]
- Haba, B.; Agoudjil, B.; Boudenne, A.; Benzarti, K. Hygric properties and thermal conductivity of a new insulation material for building based on date palm concrete. Constr. Build. Mater. 2017, 154, 963–971. [Google Scholar] [CrossRef]
- Touré, P.M.; Sambou, V.; Faye, M.; Thiam, A.; Adj, M.; Azilinon, D. Mechanical and hygrothermal properties of compressed stabilized earth bricks (CSEB). J. Build. Eng. 2017, 13, 266–271. [Google Scholar] [CrossRef]
- Saidi, M.; Cherif, A.S.; Zeghmati, B.; Sediki, E. Stabilization effects on the thermal conductivity and sorption behavior of earth bricks. Constr. Build. Mater. 2018, 167, 566–577. [Google Scholar] [CrossRef]
- Oumeziane, Y.A. Evaluation des Performances Hygrothermiquesd’uneparoi par Simulation Numérique: Application aux Paroisen Béton de Chanvre. Ph.D. Thesis, INSA de Rennes, Rennes, France, 2013; p. 354. [Google Scholar]
- Sarkisov, L.; Monson, P.A. Modeling of Adsorption and Desorption in Pores of Simple Geometry Using Molecular Dynamics. Langmuir 2001, 17, 7600–7604. [Google Scholar] [CrossRef]
- Bruschi, L.; Mistura, G.; Liu, L.; Lee, W.; Gösele, U.; Coasne, B. Capillary Condensation and Evaporation in Alumina Nanopores with Controlled Modulations. Langmuir 2010, 26, 11894–11898. [Google Scholar] [CrossRef] [PubMed]
- Ancilotto, F.; Da Re, M.; Grubišić, S.; Hernando, A.; Silvestrelli, P.; Toigo, F. Grand Canonical Monte Carlo study of argon adsorption in aluminium nanopores. Mol. Phys. 2011, 109, 2787–2796. [Google Scholar] [CrossRef]
- Fan, C.; Do, D.; Nicholson, D. On the existence of a hysteresis loop in open and closed end pores. Mol. Simul. 2015, 41, 245–255. [Google Scholar] [CrossRef]
- Haines, W.B. Studies in the physical properties of soil. V. The hysteresis effect in capillary properties, and the modes of moisture distribution associated therewith. J. Agric. Sci. 1930, 20, 97–116. [Google Scholar] [CrossRef]
- Pham, H.Q.; Fredlund, D.G.; Barbour, S.L. A study of hysteresis models for soil-water characteristic curves. Can. Geotech. J. 2005, 42, 1548–1568. [Google Scholar] [CrossRef]
- Poulovassilis, A. The Effect of Hysteresis of Pore-Water on the Hydraulic Conductivity. Eur. J. Soil Sci. 1969, 20, 52–56. [Google Scholar] [CrossRef]
- Everett, D.H. A general approach to hysteresis. Part 3—A formal treatment of the independent domain model of hysteresis. Trans. Faraday Soc. 1954, 50, 1077–1096. [Google Scholar] [CrossRef]
- Fabbri, A.; Al Haffar, N.; McGregor, F. Measurement of the relative air permeability of compacted earth in the hygroscopic regime of saturation. Comptes Rendus Mec. 2019, 347, 912–919. [Google Scholar] [CrossRef]
- Kool, J.B.; Parker, J.C. Development and evaluation of closed-form expressions for hysteretic soil hydraulic properties. Water Resour. Res. 1987, 23, 105–114. [Google Scholar] [CrossRef]
- NF EN 1097-5; Essais pour Déterminer les Caractéristiques Mécaniques et Physiques des Granulats—Partie 5: Détermination de la Teneur en Eau par Séchage en Etuve Ventilée. Association Française de Normalisation (AFNOR): Saint-Denis, France, 2008.
- NF P 94–054; Sols: Reconnaissance et Essais. Détermination De La Masse Volumique Des Sols Fins En Laboratoire. Méthode du Pycnomètre à Eau. AFNOR: Paris, France, 1991.
- NF P94-056; Sols: Reconnaissance Et Essais-Analyse Granulométrique-Méthode Par Tamisage A Sec Après Lavage. Décision Du Directeur Général De L’afnor Le 5 Février 1996 Pour Prendre Effet Le 5 Mars 1996. Association Française de Normalisation (AFNOR): Saint-Denis, France, 1996.
- NF P94-057; Sols: Reconnaissance et Essais-Analyse Granulométrique Des Sols-Méthode Par Sédimentation. AFNOR: Paris, France, 1992.
- NF P 94–051; Sols: Reconnaissance Et Essais. Détermination Des Limites d’Atterberg. Limite De Liquiditéà La Coupelle–Limite De Plasticité Au Rouleau. AFNOR: Paris, France, 1993.
- ASTM C1498; C16 Committee, «Test Method for Hygroscopic Sorption Isotherms of Building Materials». ASTM International: West Conshohocken, PA, USA, 2010. [CrossRef]
- Belghit, A.; Kouhila, M.; Boutaleb, B. Experimental study of drying kinetics by forced convection of aromatic plants. Energy Convers. Manag. 2000, 41, 1303–1321. [Google Scholar] [CrossRef]
- Young, J.F. Humidity control in the laboratory using salt solutions-a review. J. Appl. Chem. 2010, 17, 241–245. [Google Scholar] [CrossRef]
- Oswin, C.R. The kinetics of package life. III. The isotherm. J. Soc. Chem. Ind. 1946, 65, 419–421. [Google Scholar] [CrossRef]
- Halsey, G. Physical Adsorption on Non-Uniform Surfaces. J. Chem. Phys. 1948, 16, 931–937. [Google Scholar] [CrossRef]
- van den Berg, C.; Bruin, S. Water activity and its estimation in food systems: Theoretical aspects. In Water Activity: Influences on Food Quality; Elsevier: Amsterdam, The Netherlands, 1981; pp. 1–61. [Google Scholar] [CrossRef]
- Peleg, M. Assessment of a Semi-Empirical Four Parameter General Model for Sigmoid Moisture Sorption Isotherms. J. Food Process. Eng. 1993, 16, 21–37. [Google Scholar] [CrossRef]
- Caurie, M. A new model equation for predicting safe storage moisture levels for optimum stability of dehydrated foods. Int. J. Food Sci. Technol. 2007, 5, 301–307. [Google Scholar] [CrossRef]
- Huang, H.-C.; Tan, Y.-C.; Liu, C.-W.; Chen, C.-H. A novel hysteresis model in unsaturated soil. Hydrol. Process. 2005, 19, 1653–1665. [Google Scholar] [CrossRef]
- Carmeliet, J.; De Wit, M.; Janssen, H. Hysteresis and moisture buffering of wood. In Proceedings of the Symposium of Building Physics in the Nordic Countries, Reykjavik, Iceland, 13–15 June 2005. [Google Scholar]
- Mualem, Y. A conceptual model of hysteresis. Water Resour. Res. 1974, 10, 514–520. [Google Scholar] [CrossRef]
- Schiller, P.; Wahab, M.; Bier, T.; Waida, S.; Mögel, H. Capillary Forces and Sorption Hysteresis of Cement Pastes with Small Slit Pores. Procedia Mater. Sci. 2015, 11, 649–654. [Google Scholar] [CrossRef]
- Pedersen, C.R. Transient calculation on moisture migration using a simplified description of hysteresis in sorption isotherms. In Proceedings of the 2nd Symposion on Building Physics in the Nordic Countries, Trondheim, Norway, 20–22 August 1990. [Google Scholar]
- Hansen, K.K. Sorption Isotherms—A Catalogues; Technical University of Denmark: Kgs: Lyngby, Denmark, 1986. [Google Scholar]
- Remki, B.; Abahri, K.; Belarbi, R.; Bensaibi, M. Hydric and structural approaches for earth based materials characterization. Energy Procedia 2017, 139, 417–423. [Google Scholar] [CrossRef]
- Cagnon, H.; Aubert, J.; Coutand, M.; Magniont, C. Hygrothermal properties of earth bricks. Energy Build. 2014, 80, 208–217. [Google Scholar] [CrossRef]
- Orosz, M.; Nagy, B.; Tóth, E. Hygrothermal behavior of ultra-lightweight polystyrene concrete. Pollack Period. 2017, 12, 53–66. [Google Scholar] [CrossRef]
- Ramirez, R.; Ghiassi, B.; Pineda, P.; Lourenço, P. Experimental characterization of moisture transport in brick masonry with natural hydraulic lime mortar. Build. Environ. 2021, 205, 108256. [Google Scholar] [CrossRef]
- Laroussi, C. Analyse de L’interactionespaceporeux-fluide dans les Problèmesd’écoulementen Milieux non Saturés. Ph.D. Thesis, Université Paul Sabatier de Toulouse, Toulouse, France, 1972. [Google Scholar]




















| The clay used | Red Medjana 100% |
| The dimensions | (5.5 × 9.5 × 21.0) cm |
| Compaction pressure | −7 bars (to reduce the pore’s volume) |
| Breaking strength | 10.7 MPa |
| Forming pressure | 17 bar |
| Weight | 1850–1980 g |
| Properties | Value | Normes | Reference |
|---|---|---|---|
| The actual water content | 24.802% | NF EN 1097-5 | [31] |
| The volumetric mass | 2689.9 kg/m3 | NF P 94-054 | [32] |
| The granulometric analysis and sedimentation process. | clayey loam with little sandy soil | NF P 94-056 NF P 94-057 | [33] [34] |
| Atterberg′s limits | WL = 41.051% | NF P 94-051 | [35] |
| WP = 21.170% | |||
| IP = 19.881% | |||
| Ground type | Little plastic | / | / |
| Ground nature | Loam | / | / |
| Jar | Mineral Salt | RH% (T = 10 °C) | RH% (T = 23 °C) | RH% (T = 30 °C) | RH% (T = 40 °C) | RH% (T = 50 °C) |
|---|---|---|---|---|---|---|
| 01 | KOH | 11 | 9 | 7 | 6 | 5 |
| 02 | MgCl2.6H2O | 33 | 33 | 33 | 31 | 30 |
| 03 | K2CO3 | 43 | 43 | 43 | 42 | 41 |
| 04 | NaNO3 | 76 | 74 | 72 | 71 | 69 |
| 05 | KCl | 87 | 85 | 84 | 82 | 81 |
| 06 | Distilled water | 99 | 99 | 99 | 99 | 99 |
| Model | Formula | Ref. |
|---|---|---|
| Oswin | [39] | |
| Halsey | [40] | |
| Henderson | [14] | |
| Modified Chung-Pfost | [19] | |
| GAB | [41] | |
| Halkings | [14] | |
| Langmuire | [14] | |
| Peleg | [42] | |
| Smith | [14] | |
| Caurie | [43] | |
| Hailwood Horrobin (HH) | [14] | |
| BET | [14] |
| Model | Type | Formula (Adsorption/Desorption) | Ref. |
|---|---|---|---|
| Huang | Mathematical | [44] | |
| Carmeliet | Physical | Ads: Des: / | [45] |
| Pedersen | empirical | [48] | |
| Ads | ||||||
|---|---|---|---|---|---|---|
| T (K) | Model | a | b | R2 | MRE | RSS |
| 283 | Oswin | 2.88606 | 0.316223 | 0.99451 | 0.549 | 0.671 |
| 296 | Oswin | 2.73813 | 0.323132 | 0.99449 | 0.535 | 0.776 |
| 303 | Oswin | 2.63651 | 0.328646 | 0.994504 | 0.526 | 0.927 |
| 313 | Oswin | 2.46195 | 0.340565 | 0.99496 | 0.479 | 1.170 |
| 323 | Oswin | 2.36394 | 0.347184 | 0.99430 | 0.536 | 1.520 |
| Des | ||||||
| T (K) | Model | a | b | R2 | MRE | RSS |
| 283 | Oswin | 3.693586 | 0.2642446 | 0.98915 | 1.065 | 0.639 |
| 296 | Oswin | 3.448779 | 0.2738895 | 0.99209 | 0.745 | 0.609 |
| 303 | Oswin | 3.256990 | 0.2832697 | 0.99293 | 0.663 | 0.688 |
| 313 | Oswin | 3.193406 | 0.2848660 | 0.99168 | 0.757 | 0.776 |
| 323 | Oswin | 3.066196 | 0.2912604 | 0.99279 | 0.646 | 0.868 |
| Formula a | Formula b | |
|---|---|---|
| Ads | ||
| Des |
| Oswin’s Model Formula | R2 | MRE | RSS | |
|---|---|---|---|---|
| Ads | 0.994 | 5.066 | 2.626 | |
| Des | 0.991 | 3.583 | 3.878 | |
| Des | ||
|---|---|---|
| Model | Formula | R2 |
| Carmeliet | 0.9430 | |
| Huang | 0.9889 | |
| Ads | ||
| Model | Formula | R2 |
| Carmeliet | 0.9430 | |
| Huang | 0.9907 | |
| Path 1 | ||||||
|---|---|---|---|---|---|---|
| T (°C) | Ads | Des | ||||
| A | B | b | A | B | b | |
| 10 | 0.44425 | 2.6843 | 0.316223 | −0.1665 | 3.3238 | 0.264244 |
| 23 | 0.3866 | 2.5311 | 0.323132 | −0.1409 | 3.0848 | 0.273889 |
| 30 | 0.3347 | 2.3667 | 0.328646 | −0.1054 | 2.8298 | 0.283269 |
| 40 | 0.2845 | 2.2851 | 0.340566 | −0.1775 | 2.7988 | 0.284866 |
| 50 | 0.2274 | 2.2027 | 0.347184 | −0.2679 | 2.7259 | 0.291260 |
| Path 2 | ||||||
| T (°C) | Ads | Des | ||||
| A | B | b | A | B | b | |
| 10 | −0.0337 | 2.9970 | 0.316223 | −0.4315 | 3.3630 | 0.264244 |
| 23 | 0.1674 | 2.5708 | 0.323132 | −0.2262 | 2.9766 | 0.273889 |
| 30 | 0.1690 | 2.4617 | 0.328646 | −0.2052 | 2.8660 | 0.283260 |
| 40 | 0.1928 | 2.2722 | 0.340566 | −0.2572 | 2.7418 | 0.284866 |
| 50 | 0.2010 | 2.1666 | 0.347184 | −0.2511 | 2.6372 | 0.291260 |
| Des | Path 1 | Path 2 |
|---|---|---|
| X | ||
| Y | ||
| b | ||
| Ads | Path 1 | Path 2 |
| X | ||
| Y | ||
| b |
Disclaimer/Publisher’s Note: The statements, opinions and data contained in all publications are solely those of the individual author(s) and contributor(s) and not of MDPI and/or the editor(s). MDPI and/or the editor(s) disclaim responsibility for any injury to people or property resulting from any ideas, methods, instructions or products referred to in the content. |
© 2023 by the authors. Licensee MDPI, Basel, Switzerland. This article is an open access article distributed under the terms and conditions of the Creative Commons Attribution (CC BY) license (https://creativecommons.org/licenses/by/4.0/).
Share and Cite
Ferrak, I.; Suleiman, R.K.; Kadja, M.; Rahman, M.M.; Boumediene, L.; Al-Badour, F.A.; Saleh, T.A.; Meliani, M.H. Investigating the Sorption Isotherms and Hysteresis of a Round Perforated Brick Using Newly Developed Models. Buildings 2023, 13, 2804. https://doi.org/10.3390/buildings13112804
Ferrak I, Suleiman RK, Kadja M, Rahman MM, Boumediene L, Al-Badour FA, Saleh TA, Meliani MH. Investigating the Sorption Isotherms and Hysteresis of a Round Perforated Brick Using Newly Developed Models. Buildings. 2023; 13(11):2804. https://doi.org/10.3390/buildings13112804
Chicago/Turabian StyleFerrak, Intissar, Rami K. Suleiman, Mahfoud Kadja, Mohammad Mizanur Rahman, Lina Boumediene, Fadi A. Al-Badour, Tawfik A. Saleh, and Mohammed Hadj Meliani. 2023. "Investigating the Sorption Isotherms and Hysteresis of a Round Perforated Brick Using Newly Developed Models" Buildings 13, no. 11: 2804. https://doi.org/10.3390/buildings13112804
APA StyleFerrak, I., Suleiman, R. K., Kadja, M., Rahman, M. M., Boumediene, L., Al-Badour, F. A., Saleh, T. A., & Meliani, M. H. (2023). Investigating the Sorption Isotherms and Hysteresis of a Round Perforated Brick Using Newly Developed Models. Buildings, 13(11), 2804. https://doi.org/10.3390/buildings13112804

