Abstract
A person spends about a third of their life sleeping, and high sleep quality is very important for health. Environmental factors are one of the most important factors affecting sleep quality, and indoor carbon dioxide (CO2) concentration while sleeping has a significant effect on sleep quality. In an indoor bedroom with no open windows and no fresh air system, different numbers of people sleeping will lead to changes in indoor CO2 concentration. In order to study the changes in sleep quality caused by differences in CO2 concentration, experimental research was performed. Objective sleep quality data are collected with polysomnography (PSG) and a subjective questionnaire. The sleep quality of the subjects is tested under three different CO2 concentration levels; the average carbon dioxide concentration of three conditions is 680, 920, and 1350 ppm, which simulate a room with 1, 2, and 3 people sleeping, respectively. Other environment parameters are controlled as follows: test environment temperature is 26 ± 0.5 °C, relative humidity is 50 ± 5%, there is no obvious heat source in the test room, and the radiation temperature and air temperature difference is less than 1 °C. A total of 30 subjective tests were carried out with 10 subjects; the test lasted more than one month. The data subsequently underwent statistical analysis to determine the influence of CO2 concentration on sleep quality. The results show that as the CO2 concentration level increased, the sleep quietness and satisfaction of the subjects gradually decreased, the sleep duration gradually decreased, and symptoms such as throat discomfort, dyspnea, dry and itchy skin, difficulty falling asleep, difficulty waking up, congested nose and bad air smell become more obvious. The PSG test results showed that CO2 concentration has a significant impact on the proportion of the N3 period. According to the group of CO2 concentration conditions, the mean of the N3 period proportion under the conditions of one person, two persons, and three persons is 20.4%, 17.3%, and 14.4%, respectively. Finally, there was also an increase in turning over or awakening during sleep, indicating that sleep quality was reduced under higher CO2 concentrations.
1. Introduction
Sleep quality is very important for health and daily life performance [1]. Improving sleep quality involves not only developing good sleep habits but also creating a suitable sleeping environment. Indoor environmental quality is composed of a thermal and humid environment, indoor air quality, an acoustic environment, and a light environment. Influential thermal environment factors in the bedroom include temperature, relative humidity, airflow velocity, radiation temperature, etc. CO2 concentration is also an important index to judge indoor air quality [2]. Existing data show that if people are indoors with CO2 concentrations greater than 1000 ppm for a long time, the functions of the respiratory system, circulatory system, and brain organs are affected, and symptoms such as deepened breathing, accelerated circulation, or slow brain response will appear, resulting in discomfort [3]. CO2 is an exhaust gas from the human respiratory system, and indoor breathing has become the main source of indoor CO2 in most civil buildings, while indoor CO2 concentration has a strong impact on human health [4]. When the content of CO2 in the air is normal, it is harmless to the human body, but after exceeding a certain degree, it starts to affect people’s respiratory system, causing an increase in the concentration of carbonic acid in the blood, an increase in acidity, acidosis to occur, and can cause people’s physiological reactions as well as various discomforts [5]. Some guidelines and standards list the maximum CO2 concentration acceptable indoors, usually at around 800 ppm or 1000 ppm [6,7]. However, due to a decrease in ventilation during sleep, CO2 discharged by human breathing accumulates indoors, and its concentration gradually increases until it far exceeds national standards [8].
A high concentration of bedroom CO2 also has a negative impact on sleep quality. Low CO2 concentration can provide a healthy and comfortable sleeping environment and is conducive to improving sleep quality, which has a far-reaching impact on human physical and mental health. Zhang et al. [9] recruited 104 subjects for a home sleep test during spring and autumn in Beijing, China, and divided them into a high CO2 concentration group and a low CO2 concentration group with 1000 ppm as the line. The average CO2 levels of the two groups were 2012 ppm and 672 ppm. Subjective assessment results showed that the high CO2 concentration group had poor sleep satisfaction and strong smell intensity, while the objective results showed that the awake stage was longer and sleep efficiency was significantly poorer. Strøm-Tejsen et al. [10] conducted an experiment on the relationship between CO2 concentration and sleep quality in Danish dormitories. In the study, two different CO2 conditions were created using ultra-low noise fans controlled by sensors, and researchers found that sleep quality and performance significantly improved under low CO2 conditions the next day. Fan et al. [11] studied the per capita production of CO2 in a naturally ventilated room and monitored the concentration using a CO2 concentration sensor. The per capita CO2 production rate was calculated based on the measured data. Kapalo et al. [12] divided the per capita CO2 production of different activity intensities into two types and conducted a test with the mass conservation equation. The test activities included students’ sit-in painting and talking, standing and talking, walking around the classroom, mild activity, and moderate activity. For both test methods, the classroom doors and windows were subject to the permeability test in an unmanned state. However, it is easy to have inaccurate test results due to many factors of interference in the field test. Qi et al. [13] studied the per capita CO2 production under two activity levels, including sitting and standing, and asked the subjects to move in a well-sealed experimental cabin for about half an hour. The per capita CO2 production of the two activity levels was indirectly calculated by comparing and calculating the changes in CO2 concentration in the closed experimental cabin before and after the activity. This method is simple and is characterized by the ease of obtaining the instrument, but it has high requirements for laboratory airtightness. However, this experiment does not consider that the CO2 produced by the subjects during their activities in the experimental cabin leads to an increase in CO2 concentration in the experimental cabin. This further affects the CO2 production of the human body, resulting in the experimental results being not completely equal to the CO2 production of the human body in a normal environment.
Xu et al. [14] investigated the sleep quality of 12 subjects (6 males and 6 females) at three CO2 concentrations; they observed a linear positive correlation between sleep onset latency (SOL) and CO2 concentration and a linear negative correlation between SWS and CO2 concentration. Sekhar et al. [15] observed that when compared to air-conditioned bedrooms, the average CO2 concentration in natural ventilation bedrooms decreased by 310 ppm, and the average sleep duration increased by 0.4 h.
Based on 41 people [16], it found that the lower the CO2 concentration and noise level, the more comfortable the participants felt. This information can be helpful in guiding the control of bedroom environments. SWS was negatively correlated with air temperature and CO2 concentration. Compared to males, air temperature and CO2 concentration had a greater impact on the sleep quality of females. Zhang et al. [17] observed that heart rate decreased less when CO2 was 3000 ppm compared with the reference condition of 500 ppm. They also recruited twenty-four subjects to sleep two nights for different CO2 conditions: 780 and 2027 ppm. The results showed that people subjectively perceived a decrease in their sleep quality when exposed to high indoor CO2, and subjects had shorter durations of deep sleep and total sleep at high CO2 exposure levels than those at low CO2 exposure levels [18]. Sekhar et al. [19] summarized 46 studies concerned with bedroom (or whole house) ventilation tests; they proposed that CO2 concentration above 2600 ppm would disrupt sleep duration and negatively affect next-day cognitive performance.
The above results show that moderate ventilation can improve subjective sleep quality. However, The aim of the appeal study was mainly to focus on the effect of different concentrations of CO2 on sleep quality, and the concentrations tested varied widely, so the results showed that CO2 concentrations had a significant effect on sleep. However, in reality, there is an upper limit on the concentration of CO2 in the room. In order to study the changes in human sleep quality with carbon dioxide concentration within the range of carbon dioxide concentration in a typical home environment, this paper determines the concentration of CO2 according to the three cases of living in a bedroom: one person, two people, and three people. First, we wanted to determine if changes in carbon dioxide levels in the bedroom had any effect on sleep quality. The analysis of variance is used to test whether there are significant differences in the proportion of the N3 period under different CO2 conditions. The importance of whether a room has a fresh air system to improve sleep quality is verified, and the quantitative relationship between indoor CO2 concentration and sleep quality is established through sleep experiments on subjects, through multiple dimensions such as subjective feeling, time awake, and deep sleep ratio.
2. Methods
In order to study the effect of different carbon dioxide concentrations on human sleep quality, a total of 30 subjective tests were carried out with 10 subjects. The experimental study was conducted in a temperature-controlled sleep laboratory. The laboratory’s air conditioning system was used to control the ambient temperature and humidity. Environmental parameters control: each test environment temperature was 26 ± 0.5 °C, relative humidity was 40 ± 5%, there was no obvious heat source in the room, and the radiation temperature and air temperature difference was less than 1 °C. The experimental test was carried out in Beijing, China, from January to February 2022, which belongs to the winter heating season.
Subject selection: in order to ensure that the experimental results were scientific and effective, subjects were strictly selected according to the general requirements of sleep testing, and a professional subjective sleep quality questionnaire was designed. Finally, the experimental testing process was strictly followed.
2.1. Environment for Testing
The test was carried out in a laboratory to simulate an ordinary bedroom sleeping environment. Covering an area of about 12 m2, this laboratory had temperature and humidity adjustment functions, could accurately control the indoor temperature and humidity, and could ensure the consistency and reproducibility of test conditions. The layout of the experimental site is shown in Figure 1. According to GB/T18204.1-2013 [20], the laboratory air leakage coefficient was calibrated, and it was 0.484.
Figure 1.
Layout of experimental bedroom.
The subjective assessment and objective data were used to test the changes in sleep quality under the conditions of three different CO2 concentrations, and the influence relationship between CO2 concentration changes and sleep quality was obtained using statistical analysis. The sleep quality was tested with different CO2 concentrations, according to the sleep conditions of 1, 2, and 3 persons indoors. The subjects were tested with the prescribed dress conditions (uniform summer cotton shorts with short sleeves, the thermal resistance of clothing: 1.97 clo).
2.2. Indoor CO2 Concentration during Sleep Tests
According to the Bulletin of the Seventh National Census issued by the National Bureau of Statistics of China in 2021, the average population of each household in China is 2.62 persons. In China, more than 80% of children under the age of 6 share a room with their parents. Therefore, three kinds of bedroom CO2 concentrations were selected, that is, simulated sleep scenarios with one person, two persons, and three persons in a room.
In order to ensure the reproducibility of the sleep process and to reduce as much interference as possible, only one subject was in the house during the sleep test. Therefore, it was necessary to introduce CO2 into the room to simulate human CO2 emissions and create indoor CO2 concentration conditions for two and three persons. According to ISO 8996 [21], the average metabolic rate during sleep is 40 W/m2, and the CO2 production rate is about 0.239 L/min, calculated according to the human body size of 50th percentile adults.
The indoor carbon dioxide concentration relies on the carbon dioxide emission device to simulate the situation of many people. The device is shown in Figure 2. According to the above calculation method, the carbon dioxide cylinder is connected through the emission simulation device to control the emissions. There is a carbon dioxide concentration monitoring alarm device to ensure the safety of the experiment.
Figure 2.
Carbon dioxide emission device.
In order to ensure the accuracy of physical parameters in the experimental bedroom, the physical parameters (air temperature Ta, relative humidity RH, air flow rate va, black-bulb temperature tg, and indoor CO2 concentration) were measured using the instruments shown in Table 1 for the duration of the experiment.
Table 1.
Model and parameters of environmental measurement equipment.
The results of the test showed that indoor CO2 concentration was 787 ppm for one person, for two persons, it was 1298 ppm, and for three persons, it was 2271 ppm. Based on the subjective assessment of air quality given by the subjects during the test, combined with relevant indoor air quality standards, and considering the health and ethics of the subjects, it can be seen that the CO2 concentration values of the three simulated conditions finally determined in this sleep experiment were harmless to humans.
2.3. Selection of Subjects
According to statistics principles, the larger the sample size is, the better it can reflect the overall situation of the investigated object. However, due to various reasons, there is a very limited sample size that can be selected in actual conditions. It is necessary to minimize errors caused by individual differences and to seek the relationship between variables on the premise of ensuring a sufficient sample size. On the basis of ensuring that the sample size can meet the reliability and statistical test, as few possible samples should be selected. In order to balance the age, intelligence, sensitivity, and male–female ratio of the subjects, and to ensure high feedback quality, 10 young subjects, including 5 males and 5 females, were selected from more than 30 subjects who had previously participated in research experiments on sensation and sleep quality in different thermal environments. The subjects were selected to participate in the formal experiment and had all been screened using the Pittsburgh Sleep Questionnaire and confirmed to meet all the test requirements. The subjects were aged 29 ± 4.59, weighed 65.6 ± 11 kg, and were 166.2 ± 6.94 cm tall. They were required to work and rest normally, keep a good diet, maintain a stable mood, avoid catching a cold in the near future, have no strenuous exercise to stabilize blood sugar, and avoid excessive nerve excitement over the whole course of the experiment. After each subject signed the informed consent form, all experimental working conditions were completed for three consecutive days according to regulations. The Latin square experimental design method was adopted to balance the influence of the experimental sequence.
2.4. Design of the Subjective Questionnaire
The subjective questionnaire survey mainly evaluates the sleep quality perception of target users under the three concentrations of CO2. The subjective test mainly includes three parts: basic personal information, sleep quality assessment, and health and comfort assessment.
For basic personal information, subjects’ demographic information and thermal sensations are recorded, including gender, age, height, weight, hot and cold preferences, and clothing situation. For the sleep quality part, a modification was made based on the Pittsburgh Sleep Quality Questionnaire [22] to change the original sleep quality in the past month to an assessment of the sleep quality of the previous night. After the early pre-experiment, it was found that the 4-level scale did not distinguish the subjective feelings of the subjects well, so the original 4-level score was changed to a 5-level score, ranging from “very good → better → average → worse → no rest at all” (the score is 0 → 4, the higher the value is, the more serious the symptoms are). The assessment of health and comfort comes in part from previous research results on CO2 concentration. The contents of the survey mainly include headache, dry mouth and throat, dyspnea, dry and itchy skin, difficulty falling asleep/waking up, listlessness, runny nose, congested nose, and bad air smell. The higher the score is, the worse the subjective experience is, that is, “no obvious feeling → very serious” (0 → 4) [23].
2.5. Sleep Quality Testing with PSG
The objective test result is used to interpret the sleep data of the subjects in stages, generate a PSG sleep report, and record the total experiment time, total sleep time, awake time after falling asleep, sleep efficiency, sleep incubation period, REM incubation period, awakening index, the number of changes in body position and movement, and the duration and proportion of each stage (N1, N2, N3, and REM period).
Test data were extracted from the duration and proportion of each stage (N1, N2, N3, and REM) under different working conditions from the PSG sleep report. Because the subjects sleep and wake up naturally, the total recording time of each test person is inconsistent, and the reference value of duration data is not ideal, so the proportion of each sleep stage is selected.
2.6. Experimental Flow
A pre-experiment was conducted to guide the subjects through the experimental process, fill out subjective questionnaires, and familiarize themselves with the feeling of sleeping with PSG. The working conditions (CO2 concentration, temperature, and humidity) were set before the formal experiment began, and the investigator helped the subjects wear relevant equipment and record current environmental measurements. In order to avoid disturbing the sleep of the subjects as much as possible, the subjects completed the indoor thermal environment and environmental quality assessment questionnaire after waking up naturally the next day.
In the last two days of testing, only the CO2 concentration in the environment was changed. It is worth noting that, due to “gender differences in body temperature”, men and women had inconsistent thermal feelings. Considering the subjective experience of the subjects, the comfortable sleeping temperature under current clothing conditions was determined: the temperature of male subjects during sleep was controlled at 26 ± 0.5 °C, while that of female subjects during sleep was controlled at 27 ± 0.5 °C. The polysomnography (PSG) was also used to measure the sleep quality of the subjects. PSG can measure signals, including brain waves, eye movement, muscle bioelectricity (EOG, ECG), leg movement, body movement, and blood oxygen saturation. It is primarily used in sleep and dream research and is internationally recognized as a “gold standard” for sleep quality assessment [24,25]. The sleep data of the subjects during the previous night were interpreted in stages to form PSG sleep reports, of which the indexes are recorded, including total recording time, total sleep time, time awake after falling asleep, sleep efficiency, sleep incubation period, REM incubation period, awakening index, number of changes in body position and movement, and duration and proportion of each stage (N1, N2, N3, and REM period).
3. Results
3.1. Environmental Parameters during the Test
The monitoring values of temperature and humidity parameters under the various working conditions in the experiment are shown in Figure 3. The median temperature control value of male subjects during sleep was about 26.6 °C. The median temperature control of the women during sleep was about 27.7 °C. The median value of indoor humidity is 35.8%, and the overall difference in relative humidity during the experimental test is not greater than 10%. The environmental parameters for the actual working conditions were close to the designed working conditions, and the indoor environment was controlled well.
Figure 3.
Temperature and humidity control during sleep of the subjects.
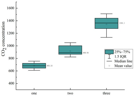
The values of the CO2 concentration under the three working conditions in the experiment are shown in Figure 4. The median sleep emission concentration (IQR) of the simulated three people at night was about 1360 ppm, with a maximum of 1510 ppm and a minimum of 1140 ppm. The median emission concentration was about 680 ppm when only one person slept at night, with a maximum of 760 ppm and a minimum of 610 ppm. There is no intersection of CO2 concentration among the three working conditions, indicating that it is well controlled.
Figure 4.
Control of CO2 concentration in night sleep test.
3.2. Subjective Assessment Result of Sleep Quality
The results of the subjective assessment of the sleep quality of subjects during night sleep under different CO2 concentrations are shown in Figure 5.
Figure 5.
Subjective sensory assessment of sleep quality.
There are many factors that affect the quality of sleep, and environmental factors are only one of them. Due to the small sample size, the regularity of the results of this subjective test is not very strong, but each evaluation index can still reflect the changes in the subjective assessment of sleep quality with the increase in carbon dioxide concentration, which has certain significance. According to the average subjective score of users in the index of “calm degree of sleep last night”, the average subjective score of one person was 1.8, and that of three persons was 3.5. In the results of the index “satisfaction with the quality of sleep last night”, one person scored 3.7, and three scored 3.3. It reflects, to some extent, that the subjective comfort of the subjects and sleep satisfaction in the overall environment decreases as the CO2 concentration increases.
Under different CO2 concentrations, the results of the subjective assessment of air quality discomfort and the health and comfort assessment during the previous day’s sleep are shown in Figure 6. It can be seen from the data in the following figure that along with an increase in CO2 concentration, the subjects have more phenomena such as “dry mouth and throat”, “dry and itchy skin”, “difficulty falling asleep and waking up”, “congested nose”, and “bad air smell”. Most indicators of physical discomfort increase with increasing CO2 levels; although the results are not very consistent, the results of subjective tests can reflect the increase in CO2 levels and human discomfort.
Figure 6.
Subjective assessment of air quality, health, and comfort.
3.3. Objective Test Results Using PSG
We studied the impact of the CO2 concentration conditions of one person, two persons, and three persons on the N3 period proportion with parallel box plots; the plot is provided in Figure 7. There is a good separation of groups based on the median of the N3 period proportion. With the increase in CO2 concentration, the proportion of the N3 period decreases. With the increase in CO2 concentration, the proportion of the N3 period decreased from 20.85% to 14.8%.
Figure 7.
Box plots of the proportion of the N3 period versus CO2 concentration conditions.
4. Discussion and Analysis
4.1. Statistical Analysis of Test Results
The one-way ANOVA is used to judge whether there is a significant difference in the proportion of the N3 period under the three kinds of CO2 concentration conditions. Firstly, the Shapiro–Wilk normality test and Bartlett variance homogeneity test are performed for the proportion of the N3 period, and the results are shown in Table 2. As a pilot study, a small sample is used to carry out the experiment, so it is appropriate to choose 0.1 as the significance level. The proportion of the N3 period follows the normal distribution under three kinds of CO2 concentration conditions (p-value > 0.1). And, the p-value (0.518) of Bartlett’s test is greater than 0.1, so it can be considered that the proportion of the N3 period under each carbon dioxide emission is variance homogeneous.
Table 2.
Results of the normality test and the variance homogeneity test.
The analysis of the variance table is shown in Table 3. From the p-value (0.086 < 0.1), it can be seen that there are significant differences in the proportion of the N3 period under three kinds of CO2 concentration conditions; that is, CO2 concentration has a significant impact on the proportion of the N3 period.
Table 3.
The analysis of the variance table.
There are significant differences in the proportion of the N3 period under the three kinds of CO2 concentration conditions, but whether there are differences among all groups requires multiple comparisons. According to the group of CO2 concentration conditions, the mean of the N3 period proportion under the conditions of one person, two persons, and three persons is 20.4%, 17.3%, and 14.4%, respectively.
Multiple comparisons were made using multiple t-tests, and the adjusted p-value of Bonferroni is shown in Table 4. There is a significant difference in the proportion of N3 with a one-person condition and a three-person condition (p-value < 0.1), but there is no significant difference in the proportion of N3 with a one-person condition and a two-person condition, and the proportion of N3 with a two-person condition and three-person condition (p-value> 0.1).
Table 4.
The p-value of multiple t-tests.
There are many indicators that can reflect sleep quality. As N3 is a deep sleep stage, also called slow-wave sleep, which is of great significance for sleep, it is reasonable to choose the proportion of the N3 stage as the representation of sleep quality in this paper. According to the above statistical analysis results, CO2 concentration has an impact on sleep quality, and the higher the CO2 concentration, the more obvious the impact on sleep quality.
4.2. Analysis and Discussion of Deep Sleep
According to the theory of sleep staging, both N1 and N2 sleep belong to a light sleep period. Here, N1 and N2 are combined and calculated as a comprehensive light sleep period, and the results are shown in Figure 8. From the results, it can be seen that along with the increase in CO2 concentration, light sleep gradually increases, the gap between non-release and simulated release reaches 3%, and the proportion of deep sleep time is 3% lower than that of the other two working conditions. It can be seen that with the increase in CO2 concentration in the sleep environment of the subjects, the proportion of the light sleep period gradually increases, and the proportion of deep sleep decreases, overall indicating that the subjects’ sleep quality decreases.
Figure 8.
Proportion of deep sleep and light sleep under various working conditions.
According to sleep theory, the N3 stage of NERM is slow-wave sleep, which plays an important role in memory and nerves. In addition, deep sleep also determines the sleep quality [26]. Evaluating sleep quality lies not only in the total length of sleep but also in whether the length of deep sleep is appropriate. For cases where the sleep duration is the same, the longer the deep sleep duration is, the higher the sleep quality will be. On the contrary, the longer the light sleep duration is, the poorer the sleep quality will be.
The results of sleep medicine research show that the proportion of the N3 stage in normal sleep is about 20%, and the results are also consistent with this test. However, the increase in CO2 concentration reduced the N3 proportion to about 16%, which is a significant decline; that is, the human body lost nearly a quarter of the deep sleep period, and its impact is also significant.
Therefore, it can be considered that the sleep quality of the subjects is relatively poor when they sleep under conditions with a high CO2 concentration.
4.3. Arousal Index and Body Movement
Normal sleep in which good rest and energy recovery can be obtained is continuous. The emergence of awakening brings individuals from deep sleep to light sleep or an awakened state. An increase in awakening suggests that the continuity of sleep and the quality of sleep become worse. It can be seen from the Figure 9 that the arousal index is 46.2, 48.1, and 49.4, respectively, which shows that the awakening rate is relatively low upon no-release sleep conditions, indicating overall better sleep continuity. It can also be noted from the total number of turns throughout the night while the 10 subjects slept under three CO2 concentrations. The number of turns under the different CO2 concentrations is 1.2, 1.5, and 1.7, respectively, which shows that the subjects under the simulated condition with three-person CO2 content did not sleep soundly enough and turned over the most frequently during sleep. In cases without any CO2 release, the subjects slept stably and turned over less.
Figure 9.
Turning over and arousal index.
The arousal index and body movement are two of the indicators of sleep quality evaluation. Although poor sleep quality does not lead to the arousal index or body movement becoming higher, if the arousal index and body movement are high, it can certainly indicate poor sleep quality. Therefore, in the small sample test in this paper, it can be concluded that somebody had the lowest frequency of turning over and lower arousal index with low CO2 concentration.
The limitations of this research are mainly shown in the following aspects:
- The number of subjects is not very sufficient, and the data of individual subjects has a certain impact on the final result;
- Under the same working conditions, there are fluctuations in the carbon dioxide concentration of each subject during the testing process;
- Due to ethical considerations, the range of three carbon dioxide concentration conditions is relatively small.
5. Conclusions
In order to investigate whether higher carbon dioxide levels at night, due to a lack of indoor ventilation, have an impact on sleep quality, the study of human sleep quality under three different carbon dioxide concentrations was conducted; the following conclusions were obtained using a questionnaire and a PSG objective test:
(1) According to the research and test results, when 1, 2, and 3 people sleep in a room with an air leakage coefficient of 0.484, the average carbon dioxide concentration is about 800, 1300, and 2200 ppm;
(2) Subjects’ sleep quietness, satisfaction, and duration gradually decreased as the CO2 concentration increased. The strongest subjective discomfort includes mouth and throat difficulty, dyspnea, dry and itchy skin, difficulty falling asleep, difficulty waking up, congested nose, and unpleasant air smell;
(3) According to the group of CO2 concentration conditions, the mean of the N3 period proportion under the conditions of one person, two persons, and three persons is 20.4%, 17.3%, and 14.4%, respectively. There is a statistically significant difference in the proportion of the N3 period with a one-person condition and a three-person condition;
(4) The subjects both turn over and wake up more throughout the night in high CO2 conditions. Under the three carbon dioxide concentrations, the number of body movements increased by about 50%, and the awakening time increased by about 3 min. Thus, it can be seen that sleep quality is worse under conditions with a high CO2 concentration.
Author Contributions
Conceptualization, Writing—review & editing, R.W.; Data curation, Writing—original draft, W.L.; Investigation, Software, J.G.; Methodology, Resources, C.Z.; Validation, J.Z. and X.C.; Supervision, Project administration, Q.B. and M.Z. All authors have read and agreed to the published version of the manuscript.
Funding
This research was funded by the “Special funds for the basic R&D undertakings by welfare research institutions” (522022Y-9404) and the “Science and Technology Program of the National Administration for Market Regulation” (2022MK190).
Data Availability Statement
Data will be made available upon request.
Conflicts of Interest
The authors declare no conflict of interest. The funders had no role in the design of the study; in the collection, analyses, or interpretation of data; in the writing of the manuscript; or in the decision to publish the results.
References
- Liao, C.; Delghust, M.; Laverge, J. Association between Indoor Air Quality and Sleep Quality. Sleep 2019, 42 (Suppl. S1), A74. [Google Scholar] [CrossRef]
- Jiang, J.; Wang, D.; Liu, Y. Experimental Research on the Effect of Indoor Carbon Dioxide Concentration on Learning Efficiency. Build. Sci. 2020, 36, 81–87. [Google Scholar]
- Liu, S.; Yuan, J. Regulation of Concentration of Indoor Carbon Dioxide. Chin. J. Chem. Educ. 2021, 42, 1–7. [Google Scholar]
- Seppänen, O.A.; Fisk, W.J.; Mendell, M.J. Association of Ventilation Rates and CO2 Concentrations with Health and Other Responses in Commercial and Institutional Buildings. Indoor Air 1999, 9, 226–252. [Google Scholar] [CrossRef] [PubMed]
- Luo, G.; Zhang, X.; Xie, J.; Li, D. Associations of Indoor CO2 Concentration with Sleep Quality and Other Human Responses. In Proceedings of the 11th International Symposium on Heating, Ventilation and Air Conditioning (ISHVAC 2019), Harbin, China, 12–15 July 2019; pp. 963–969. [Google Scholar]
- GB/T 18883-2002; Indoor Air Quality Standard. General Administration of Quality Supervision: Beijing, China, 2002; Standards Pree of China. (In Chinese)
- GB/T 17094-1997; Hygienic Standard for Carbon Dioxide in Indoor Air. State Administration of Technical Supervision: Beijing, China, 1997; Standards Pree of China. (In Chinese)
- Xu, H.; Pan, H. Excessive closure of the room will lead to excessive concentrations of carbon dioxide and radon in the indoor air. City House 2009, 12, 111. [Google Scholar]
- Zhang, X.; Luo, G.; Xie, J.; Li, J. Associations of bedroom air temperature and CO2 concentration with subjective perceptions and sleep quality during transition seasons. Indoor Air 2021, 31, 1004–1017. [Google Scholar] [CrossRef]
- Strm-Tejsen, P.; Zukowska, D.; Wargocki, P.; Wyon, D.P. The effects of bedroom air quality on sleep and next-day performance. Indoor Air 2016, 26, 679–686. [Google Scholar] [CrossRef] [PubMed]
- Fang, X.; Liu, J. Human CO2 production rate calculation based on field measurement of CO2 concentration in a naturally ventilated room. Proc. Indoor Air 2016, 2016, 223. [Google Scholar]
- Kapalo, P.; Mečiarová, Ľ.; Vilčeková, S.; Burdová, E.K.; Domnita, F.; Bacotiu, C.; Péterfi, K.-E. Investigation of CO2 production depending on physical activity of students. Int. J. Environ. Health Res. 2019, 29, 31–44. [Google Scholar] [CrossRef] [PubMed]
- Qi, M.W.; Li, X.F.; Weschler, L.B.; Sundell, J. CO2 production rate in Chinese people. Indoor Air 2014, 24, 559–566. [Google Scholar] [CrossRef] [PubMed]
- Xu, X.; Lian, Z.; Shen, J.; Cao, T.; Zhu, J.; Lin, X.; Qing, K.; Zhang, W.; Zhang, T. Experimental study on sleep quality affected by carbon dioxide concentration. Indoor Air 2021, 31, 440–453. [Google Scholar] [CrossRef] [PubMed]
- Sekhar, S.C.; Goh, S.E. Thermal comfort and IAQ characteristics of naturally/ mechanically ventilated and air-conditioned bedrooms in a hot and humid climate. Build. Environ. 2011, 46, 1905–1916. [Google Scholar] [CrossRef]
- Xu, X.; Lian, Z.; Shen, J.; Lan, L.; Sun, Y. Environmental factors affecting sleep quality in summer: A ffeld study in Shanghai, China. J. Therm. Biol. 2021, 99, 102977. [Google Scholar] [CrossRef] [PubMed]
- Zhang, X.J.; Wargocki, P.; Lian, Z.W. Physiological responses during exposure to carbon dioxide and bioeffluents at levels typically occurring indoors. Indoor Air 2017, 27, 65–77. [Google Scholar] [CrossRef] [PubMed]
- Zhang, X.; Zhang, T.; Luo, G.; Sun, J.; Zhao, C.; Xie, J.; Liu, J.; Zhang, N. Effects of exposure to carbon dioxide and human bioefffuents on sleep quality and physiological responses. Build. Environ. 2023, 238, 110382. [Google Scholar] [CrossRef]
- Sekhar, C.; Akimoto, M.; Fan, X.; Bivolarova, M.; Liao, C.; Lan, L.; Wargocki, P. Bedroom ventilation: Review of existing evidence and current standards. Build. Environ. 2020, 184, 107229. [Google Scholar] [CrossRef]
- GB/T18204.1-2013; Examination Methods for Public Places—Physical Parameters. General Administration of Quality Supervision, Inspection and Quarantine of the People’s Republic of China: Beijing, China, 2013. (In Chinese)
- ISO 8996-2021; Ergonomics of the Thermal Environment—Determination of Metabolic Rate. International Organization for Standardization: Geneva, Switzerland, 2021; International Standard.
- Lee, J.E.; Yoo, S.K. Electroen cephalography Analysis Using Neural Network and Support Vector Machine during Sleep. Engineering 2013, 5, 88–92. [Google Scholar] [CrossRef]
- Wang, W. Research of Sleep Monitoring Based on EEG Signal Analysis; Jilin University: Changchun, China, 2017. [Google Scholar]
- Liu, X. Deep sleep determines the sleep quality. CPCC Tianjin Munic. Comm. J. 2013, 62. [Google Scholar]
- Fontvieille, A.M.; Rising, R.; Spraul, M.; Larson, D.E.; Ravussin, E. Relationship between sleep stages and metabolic rate in humans. Am. J. Physiol. Endocrinol. Metab. 1994, 267, E732–E737. [Google Scholar] [CrossRef] [PubMed]
- CONRAD IBER. The AASM Manual for the Scoring of Sleep and Associated Events: Rules, Terminology and Technical Specifications; Version 2.3; American Academy of Sleep Medicine: Westchester, IL, USA, 2016. [Google Scholar]
Disclaimer/Publisher’s Note: The statements, opinions and data contained in all publications are solely those of the individual author(s) and contributor(s) and not of MDPI and/or the editor(s). MDPI and/or the editor(s) disclaim responsibility for any injury to people or property resulting from any ideas, methods, instructions or products referred to in the content. |
© 2023 by the authors. Licensee MDPI, Basel, Switzerland. This article is an open access article distributed under the terms and conditions of the Creative Commons Attribution (CC BY) license (https://creativecommons.org/licenses/by/4.0/).








