Numerical Analysis of Concrete Deep Beams Reinforced with Glass Fiber-Reinforced Polymer Bars
Abstract
:1. Introduction
2. Research Objectives
- Develop a three-dimensional (3D) numerical simulation model for a large-scale deep beam internally reinforced with GFRP bars.
- Verify the prediction of the numerical model through a comparative analysis with published experimental data.
- Conduct a parametric study to examine the effects of key parameters on the shear behavior of concrete deep beams internally reinforced with GFRP bars.
- Introduce a refined simplified analytical formula that can predict the shear capacity of concrete deep beams reinforced with GFRP bars.
3. Model Development
3.1. Geometry and Properties of Materials
3.2. Material Constitutive Laws


| Parameter | Description | Equation | Value | Unit |
|---|---|---|---|---|
| f’c | Compressive strength | N/A | 37.00 | MPa |
| Ec | Elastic modulus | 33,254 | MPa | |
| Μ | Poisson’s ratio | Default value | 0.2 | N/A |
| ft | Tensile strength | 2.83 | MPa | |
| Gf | Specific fracture energy | 70.75 | N/m | |
| εcp* | Plastic concrete strain at compressive strength | 0.0011 | N/A | |
| f’co | Onset of non-linear behavior in compression | 2.1 ft | 5.94 | MPa |
| wd | Critical compressive displacement | N/A | 0.50 | mm |
3.3. Element Types and Boundary Conditions
4. Model Verification
4.1. Load–Deflection Response
4.2. Crack Pattern and Failure Mode
4.3. GFRP Strains
4.4. GFRP Stresses
5. Parametric Study
5.1. Deep Beam Models without Web Reinforcement
5.1.1. Load–Deflection Response
5.1.2. Crack Pattern and Failure Mechanism
5.1.3. GFRP Stresses
5.2. Deep Beam Models with Web Reinforcement
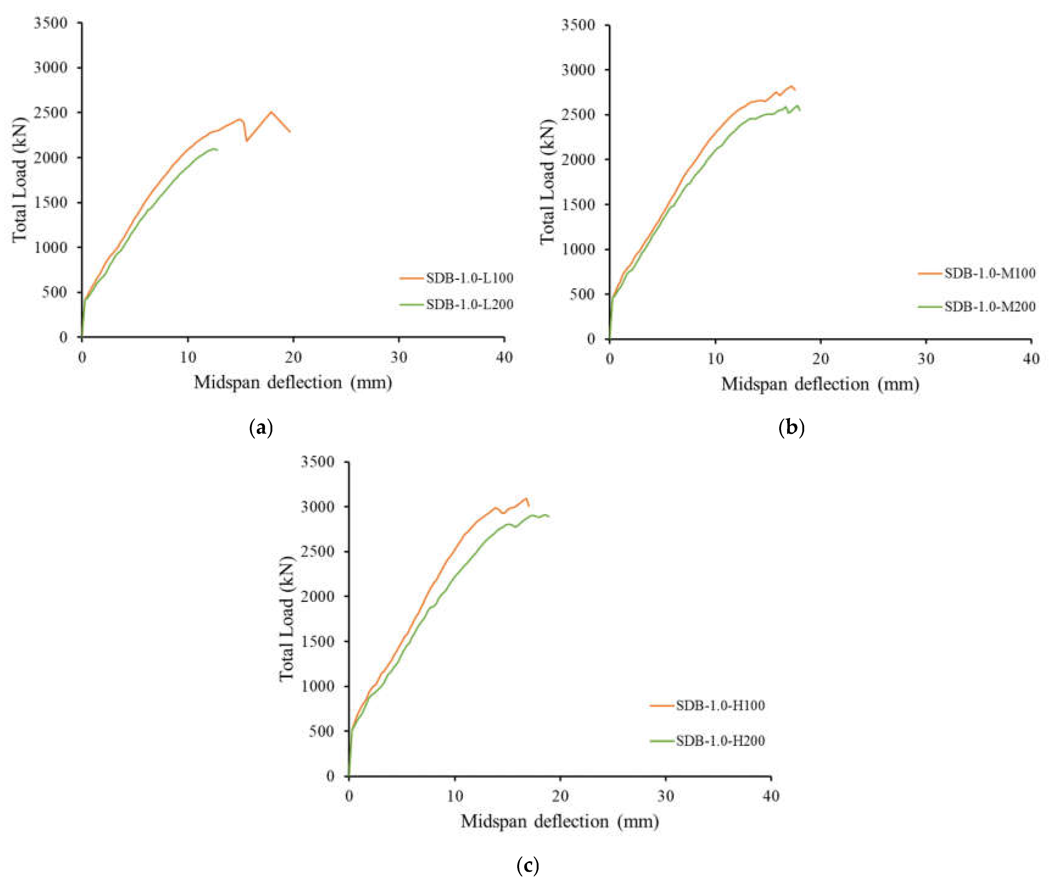
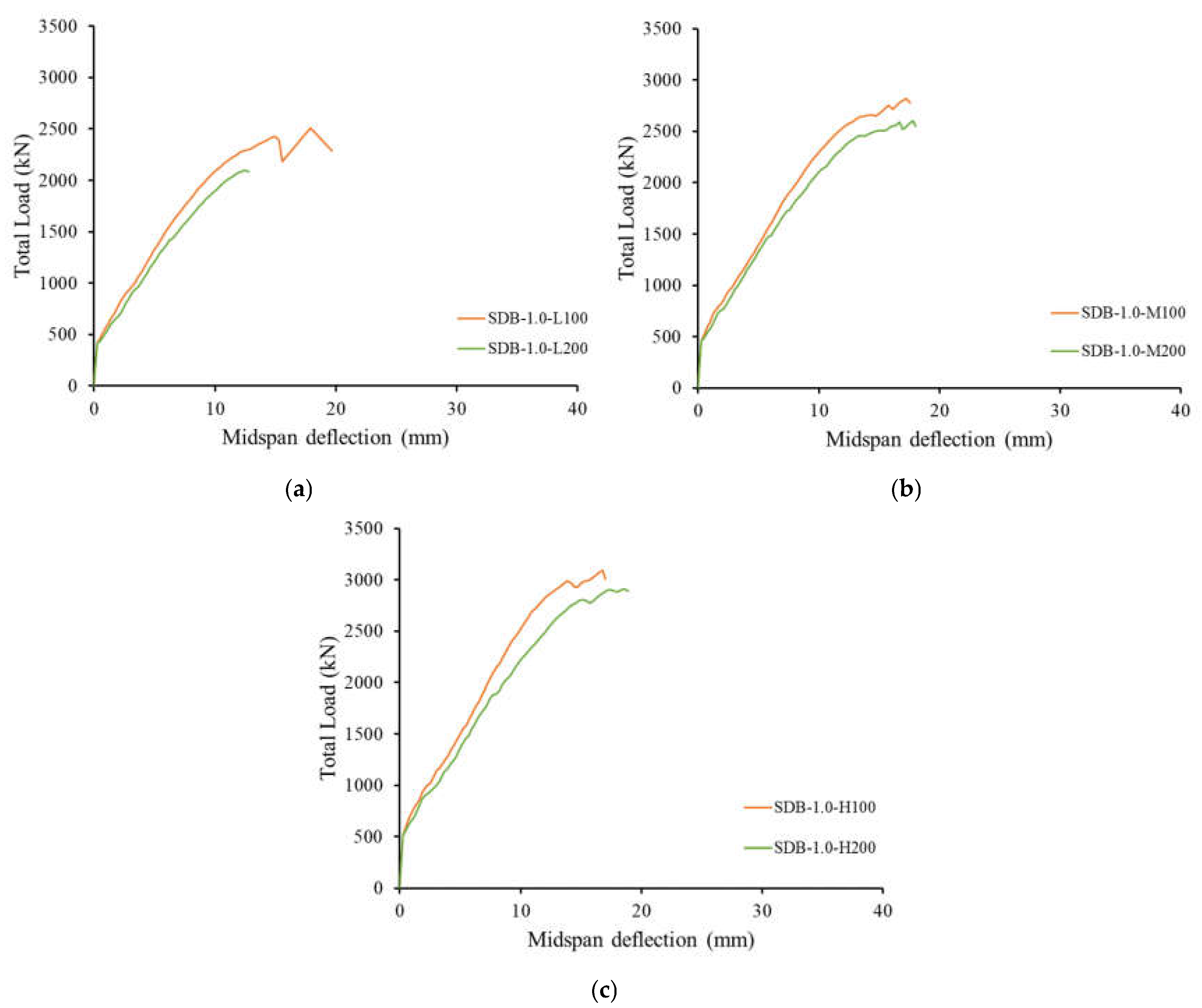
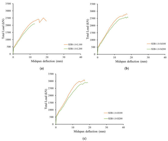
5.2.1. Load–Deflection Response
5.2.2. Crack Pattern and Failure Mechanism
5.2.3. GFRP Stresses
6. Simplified Analytical Formulas
| Model | Total Ultimate Load (kN) | ||||
|---|---|---|---|---|---|
| Numerical | Kong et al. [30] (Equation (1)) | Modified Formula (Equation (2)) | |||
| Prediction | Error (%) * | Prediction | Error (%) * | ||
| SDB-1.0-L | 1865 | 2819 | +51 | 1678 | −10 |
| SDB-1.0-M | 2064 | 3253 | +58 | 2030 | −2 |
| SDB-1.0-H | 2661 | 3805 | +43 | 2478 | −7 |
| SDB-1.5-L | 1101 | 1998 | +81 | 1013 | −8 |
| SDB-1.5-M | 1284 | 2332 | +82 | 1221 | −5 |
| SDB-1.5-H | 1644 | 2756 | +68 | 1487 | −10 |
| SDB-1.0-L100 | 2510 | 3700 | +47 | 2559 | 2 |
| SDB-1.0-L200 | 2100 | 3214 | +53 | 2072 | −1 |
| SDB-1.0-M100 | 2821 | 4134 | +47 | 2911 | 3 |
| SDB-1.0-M200 | 2601 | 3647 | +40 | 2424 | −7 |
| SDB-1.0-H100 | 3094 | 4686 | +51 | 3358 | +9 |
| SDB-1.0-H200 | 2909 | 4200 | +44 | 2872 | −1 |
| SDB-1.5-L100 | 1885 | 3082 | +63 | 2097 | +11 |
| SDB-1.5-L200 | 1411 | 2546 | +80 | 1560 | +11 |
| SDB-1.5-M100 | 2199 | 3416 | +55 | 2306 | 5 |
| SDB-1.5-M200 | 1797 | 2879 | +60 | 1769 | −2 |
| SDB-1.5-H100 | 2464 | 3840 | +56 | 2571 | 4 |
| SDB-1.5-H200 | 2149 | 3304 | +54 | 2034 | −5 |

7. Conclusions
- The shear strength of the deep beam models increased almost linearly with an increase in f’c and a decrease in the spacing between the web reinforcement, irrespective of the value of a/h.
- In the absence of web GFRP reinforcement, varying the concrete compressive strength had almost no effect on the percent strength reduction caused by increasing the value of a/h from 1.0 to 1.5.
- For the deep beam models with web GFRP reinforcement, the strength reduction caused by increasing the value of a/h tended to decrease with an increase in the concrete compressive strength and the spacing between the web GFRP reinforcement.
- The strength gain caused by decreasing the spacing between the web GFRP reinforcements was more pronounced for the beam models with lower f’c and greater a/h of 1.5.
- The refined analytical expression introduced in the present study provided reasonable predictions for the shear strength of GFRP-reinforced concrete deep beams.
Author Contributions
Funding
Institutional Review Board Statement
Informed Consent Statement
Data Availability Statement
Conflicts of Interest
References
- American Concrete Institute ACI. Building Code Requirements for Structural Concrete and Commentary on Building Code Requirements for Structural Concrete (ACI 318R-19); American Concrete Institute (ACI): Farmington Hills, MI, USA, 2014. [Google Scholar]
- MacGregor, J.; Wight, J. Reinforced Concrete Mechanics and Design, 4th ed.; Prentice Hall: Singapore, 2005. [Google Scholar]
- Kong, F. Reinforced Concrete Deep Beams; Blackie and Son Ltd.: London, UK, 1999. [Google Scholar]
- Mansour, M.; Tan, K.-H. Concrete Beams with Openings Analysis and Design; CRC Press: New York, NY, USA, 1999. [Google Scholar]
- ACI Committee 440. Guide for the Design and Construction of Structural Concrete Reinforced with Fiber-Reinforced Polymer (FRP) Bars (ACI 440.1R-15); American Concrete Institute (ACI): Farmington Hills, MI, USA, 2019. [Google Scholar]
- Bakis, C.; Bank, L.; Brown, V.; Cosenza, E.; Davalos, J.; Lesko, J.; Machida, A.; Rizkalla, S.; Triantafillou, T. Fiber-reinforced polymer composites for construction-state-of-the-art review. J. Compos. Constr. 2002, 6, 73–87. [Google Scholar] [CrossRef]
- Bank, L. Composites for Construction: Structural Design with FRP Materials; John Wiley & Sons: Hoboken, NJ, USA, 2006. [Google Scholar]
- Gangarao, H.; Taly, N.; Vijay, P. Reinforced Concrete Design with FRP Composites; CRC Press: New York, NY, USA, 2006. [Google Scholar]
- Nanni, A.; De Luca, A.; Zadeh, H. Reinforced Concrete with FRP Bars: Mechanics and Design; CRC Press: New York, NY, USA, 2014. [Google Scholar]
- Omeman, Z.; Nehdi, M.; El-Chabib, H. Experimental study on shear behavior of carbon fiber-reinforced polymer reinforced concrete short beams without web reinforcement. Can. J. Civ. Eng. 2008, 35, 1–10. [Google Scholar] [CrossRef]
- Abed, F.; El-Chabib, H.; Alhamaydeh, M. Shear characteristics of GFRP reinforced polymer reinforced concrete deep beams without web reinforcement. J. Reinf. Plast. Compos. 2012, 31, 1063–1073. [Google Scholar] [CrossRef]
- Farghaly, A.S.; Benmokrane, B. Shear Behavior of FRP-Reinforced Concrete Deep Beams without Web Reinforcement. J. Compos. Constr. 2013, 17, 04013015. [Google Scholar] [CrossRef]
- Andermatt, M.F.; Lubell, A.S. Behavior of Concrete Deep Beams Reinforced with Internal Fiber-Reinforced Polymer—Experimental Study. ACI Struct. J. 2013, 110, 47. [Google Scholar]
- Kim, D.; Lee, J.; Lee, Y.H. Effectiveness factor of strut-and-tie model for concrete deep beams reinforced with FRP rebars. Compos. Part B 2014, 56, 117–125. [Google Scholar] [CrossRef]
- Liu, H.; Yang, J.; Wang, X.; Han, D. Experimental Study on Shear Behavior of BFRP-reinforced Recycled Aggregate Concrete Deep Beams Without Stirrups. KSCE J. Civ. Eng. 2017, 21, 2289–2299. [Google Scholar] [CrossRef]
- Alhamad, S.; Al-Banna, Y.; Al-Osman, A.; Mouthassseeb, J.; Abdalla, S.; Abed, F. Effect of shear span-to-depth ratio on the shear behavior of BFRP-RC deep beams. MATEC 2017, 120, 01012. [Google Scholar] [CrossRef]
- Abed, F.; El-Refai, A.; Abdalla, S. Experimental and finite element investigation of the shear performance of BFRP-RC short beams. Structures 2019, 20, 689–701. [Google Scholar] [CrossRef]
- Abu-Obaida, A.; El-Ariss, B.; El-Maaddawy, T. Behavior of Short-Span Concrete Members Internally Reinforced with Glass Fiber–Reinforced Polymer Bars. J. Compos. Constr. 2018, 22, 04018038. [Google Scholar] [CrossRef]
- Mohamed, K.; Farghaly, A.S.; Benmokrane, B. Effect of Vertical and Horizontal Web Reinforcement on the Strength and Deformation of Concrete Deep Beams Reinforced with GFRP Bars. J. Struct. Eng. 2017, 143, 04017079. [Google Scholar] [CrossRef]
- Frappier, J.; Mohamed, K.; Farghaly, A.; Benmokrane, B. Behavior and strength of glass fiber-reinforced polymer reinforced concrete deep beams with web openings. ACI Struct. J. 2019, 116, 275–285. [Google Scholar] [CrossRef]
- El-Hassan, H.; El-Maaddawy, T.; Al-Sallamin, A.; Al-Saidy, A. Durability of glass fiber-reinforced polymer bars conditioned in moist seawater-contaminated concrete under sustained load. Constr. Build. Mater. 2018, 175, 1–13. [Google Scholar] [CrossRef]
- El-Hassan, H.; El-Maaddawy, T.; Al-Sallamin, A.; Al-Saidy, A. Performance evaluation and microstructural characterization of GFRP bars in seawater-contaminated concrete. Constr. Build. Mater. 2017, 147, 66–78. [Google Scholar] [CrossRef]
- Rosa, C.I.; Firmo, J.; Correia, J.; Mazzuca, P. Influence of elevated temperatures on the bond behaviour of ribbed GFRP bars in concrete. Cem. Concr. Compos. 2021, 122, 104119. [Google Scholar] [CrossRef]
- CSA S806-12; Design and Construction of Building Structures with Fiber-Reinforced Polymers. Canadian Standards Association: Mississauga, ON, Canada, 2012.
- Mansour, M.; El-Maaddawy, T. Testing and modeling of deep beams strengthened with NSM-CFRP reinforcement around cutouts. Case Stud. Constr. Mater. 2021, 15, e00670. [Google Scholar] [CrossRef]
- Arabasi, S.; El-Maaddawy, T. Reinforcing of discontinuity regions in concrete deep beams with GFRP composite bars. Compos. Part C Open Access 2020, 3, 100064. [Google Scholar] [CrossRef]
- ATENA Computer Software, Cervenka Consulting s.r.o.: Prague, Czech Republic. Available online: https://www.cervenka.cz/ (accessed on 25 March 2022).
- Gooranorimi, O.; Claure, G.; Suaris, W.; Nanni, A. Bond-slip effect in flexural behavior of GFRP RC slabs. Compos. Struct. 2018, 193, 80–86. [Google Scholar] [CrossRef]
- Hognestad, E.; Hanson, N.; McHenry, D. Concrete Stress Distribution in Ultimate Strength Design. ACI Struct. J. 1955, 52, 455–479. [Google Scholar]
- Kong, F.; Robins, P.; Singh, A.; Sharp, G. Shear analysis and design of reinforced concrete deep beams. Struct. Eng. 1972, 50, 405–409. [Google Scholar]


































| a/h | f’c (MPa) | Model Designation |
|---|---|---|
| 1.0 (a = 1250 mm) | 28 | SDB-1.0-L |
| 37 | SDB-1.0-M | |
| 50 | SDB-1.0-H | |
| 1.5 (a = 1800 mm) | 28 | SDB-1.5-L |
| 37 | SDB-1.5-M | |
| 50 | SDB-1.5-H |
| Model Designation | a/h | f’c (MPa) | Ultimate Load (kN) | Deflection at Ultimate (mm) |
|---|---|---|---|---|
| SDB-1.0-L | 1.0 | 28 | 1865 | 11.3 |
| SDB-1.0-M | 1.0 | 37 | 2064 | 12.1 |
| SDB-1.0-H | 1.0 | 50 | 2661 | 13.5 |
| SDB-1.5-L | 1.5 | 28 | 1101 | 18.8 |
| SDB-1.5-M | 1.5 | 37 | 1284 | 18.3 |
| SDB-1.5-H | 1.5 | 50 | 1644 | 21.9 |
| a/h | f’c (MPa) | Spacing between Web GFRP Bars (s) (mm) | Model Designation |
|---|---|---|---|
| 1.0 (a = 1250 mm) | 28 | 100 | SDB-1.0-L100 |
| 200 | SDB-1.0-L200 | ||
| 37 | 100 | SDB-1.0-M100 | |
| 200 | SDB-1.0-M200 | ||
| 50 | 100 | SDB-1.0-H100 | |
| 200 | SDB-1.0-H200 | ||
| 1.5 (a = 1800 mm) | 28 | 100 | SDB-1.5-L100 |
| 200 | SDB-1.5-L200 | ||
| 37 | 100 | SDB-1.5-M100 | |
| 200 | SDB-1.5-M200 | ||
| 50 | 100 | SDB-1.5-H100 | |
| 200 | SDB-1.5-H200 |
| Model Designation | a/h | f’c (MPa) | Spacing between Web GFRP Bars (s) (mm) | Ultimate Load (kN) | Deflection at Ultimate (mm) |
|---|---|---|---|---|---|
| SDB-1.0-L100 | 1.0 | 28 | 100 | 2510 | 17.9 |
| SDB-1.0-L200 | 1.0 | 200 | 2100 | 12.5 | |
| SDB-1.0-M100 | 1.0 | 37 | 100 | 2821 | 17.3 |
| SDB-1.0-M200 | 1.0 | 200 | 2601 | 17.8 | |
| SDB-1.0-H100 | 1.0 | 50 | 100 | 3094 | 16.8 |
| SDB-1.0-H200 | 1.0 | 200 | 2909 | 18.7 | |
| SDB-1.5-L100 | 1.5 | 28 | 100 | 1885 | 25.2 |
| SDB-1.5-L200 | 1.5 | 200 | 1411 | 18.5 | |
| SDB-1.5-M100 | 1.5 | 37 | 100 | 2199 | 28.5 |
| SDB-1.5-M200 | 1.5 | 200 | 1797 | 24.9 | |
| SDB-1.5-H100 | 1.5 | 50 | 100 | 2464 | 30.0 |
| SDB-1.5-H200 | 1.5 | 200 | 2149 | 30.5 |
Disclaimer/Publisher’s Note: The statements, opinions and data contained in all publications are solely those of the individual author(s) and contributor(s) and not of MDPI and/or the editor(s). MDPI and/or the editor(s) disclaim responsibility for any injury to people or property resulting from any ideas, methods, instructions or products referred to in the content. |
© 2023 by the authors. Licensee MDPI, Basel, Switzerland. This article is an open access article distributed under the terms and conditions of the Creative Commons Attribution (CC BY) license (https://creativecommons.org/licenses/by/4.0/).
Share and Cite
Sheikh-Sobeh, A.; Kachouh, N.; El-Maaddawy, T. Numerical Analysis of Concrete Deep Beams Reinforced with Glass Fiber-Reinforced Polymer Bars. Buildings 2023, 13, 2767. https://doi.org/10.3390/buildings13112767
Sheikh-Sobeh A, Kachouh N, El-Maaddawy T. Numerical Analysis of Concrete Deep Beams Reinforced with Glass Fiber-Reinforced Polymer Bars. Buildings. 2023; 13(11):2767. https://doi.org/10.3390/buildings13112767
Chicago/Turabian StyleSheikh-Sobeh, Amena, Nancy Kachouh, and Tamer El-Maaddawy. 2023. "Numerical Analysis of Concrete Deep Beams Reinforced with Glass Fiber-Reinforced Polymer Bars" Buildings 13, no. 11: 2767. https://doi.org/10.3390/buildings13112767
APA StyleSheikh-Sobeh, A., Kachouh, N., & El-Maaddawy, T. (2023). Numerical Analysis of Concrete Deep Beams Reinforced with Glass Fiber-Reinforced Polymer Bars. Buildings, 13(11), 2767. https://doi.org/10.3390/buildings13112767

