Effect of Fractionation Process and Addition of Composite Crumb Rubber-Modified Asphalt on Road Performance Variability of Recycled Asphalt Mixtures with High Reclaimed Asphalt Pavement (RAP) Content
Abstract
:1. Introduction
2. Materials and Methods
2.1. Materials
2.1.1. RAP Characterization
2.1.2. Properties of Virgin Binders
2.1.3. Design and Preparation of RAP Mixtures
2.2. Experimental Design
2.2.1. Rutting Test
2.2.2. Indirect Tensile Test
2.2.3. Semi-Circular Bending Test
3. Results
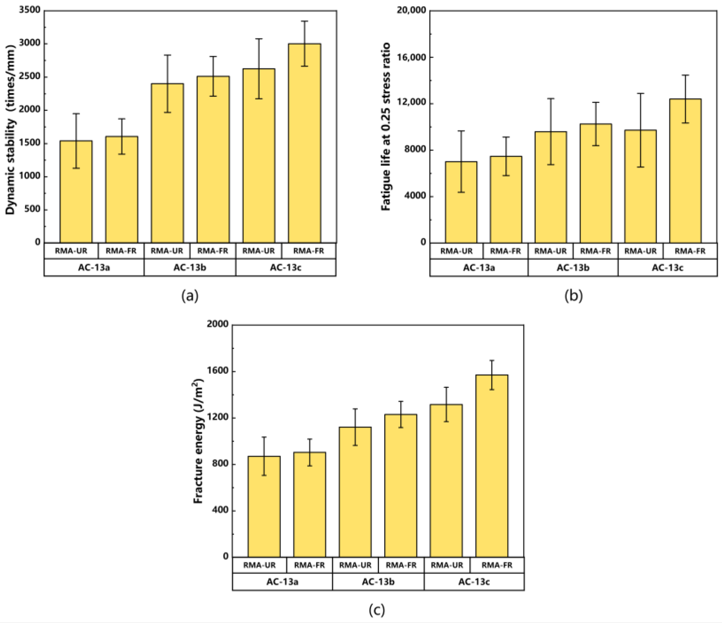
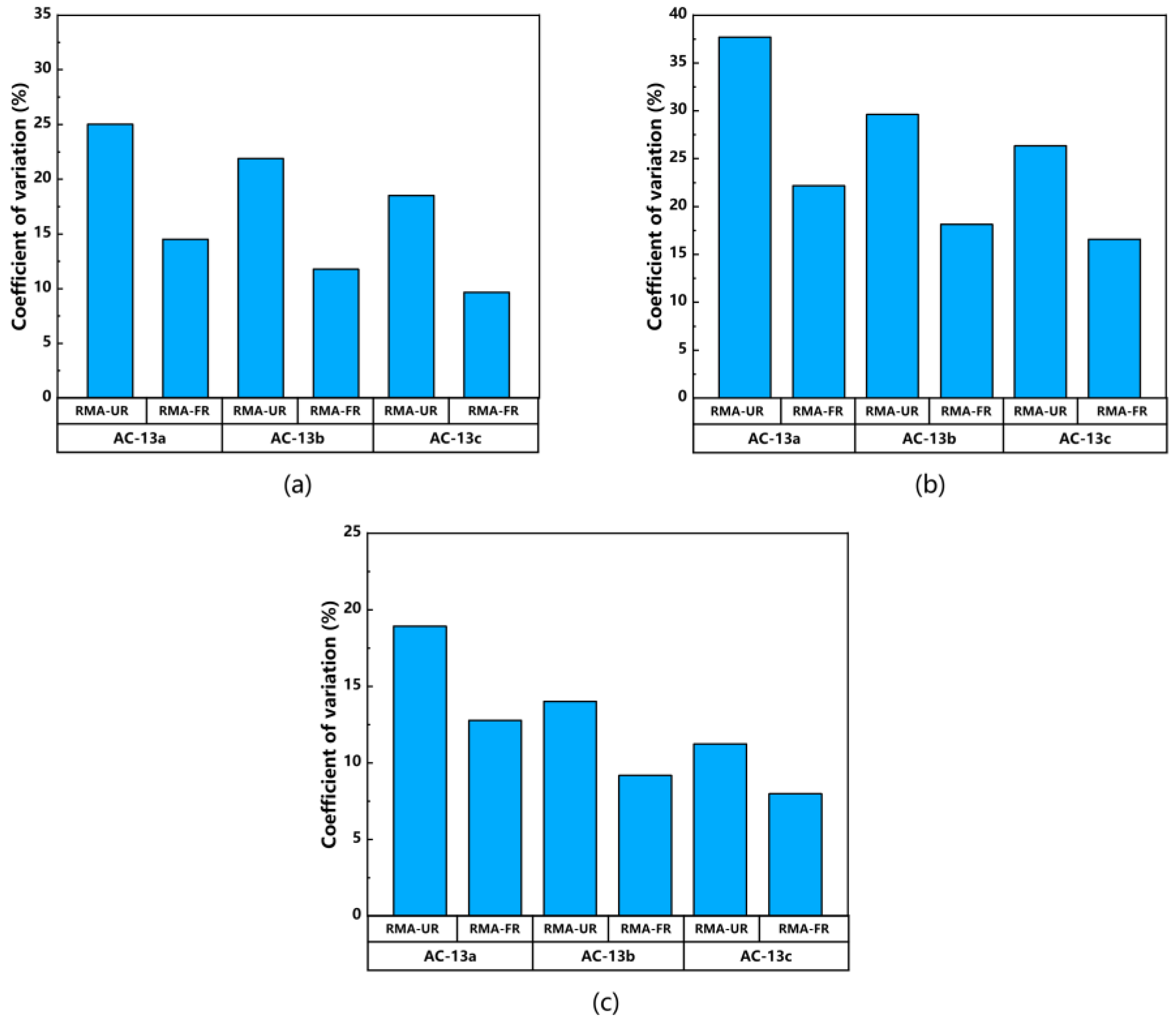
3.1. Analysis of the Variability in Road Properties for Recycled Asphalt Mixtures with High RAP Content
3.2. Reliability Calculation Based on Variability Control for Recycled Asphalt Mixtures with High RAP Content
3.3. Proportional Design of Recycled Asphalt Mixtures with High RAP Content
3.3.1. Determination of Gradation and Volumetric Parameters for RAM with High RAP Content
3.3.2. Evaluation of High-Temperature Stability Performance for Recycled Asphalt Mixtures with High RAP Content
3.3.3. Evaluation of Low-Temperature Crack Resistance for RAM with High RAP Content
4. Conclusions
- (1)
- All the performance indicators of the RAM exhibited significant adherence to the normal distribution at the 0.05 level, i.e., all the data obeyed the normal distribution with 95% confidence. The coefficients of variation in the road performance indicators for the RAM-UR were larger than those of the RAM-FR, indicating that the fractionation process reduces the variability of the road performance for the RAM containing high RAP content.
- (2)
- The variability in the road performance for the RAM gradually increased with the increase in RAP content, but the reliability of the RAM-FR containing 70% RAP was 37.7%, which is greater than the reliability of the RAM-UR containing 50% RAP and meets the variability requirement.
- (3)
- The high-temperature and low-temperature cracking resistance of the CRAM containing 50% RAP were both better than those of the NAM. Although the dispersion of its performance indicators was higher than that of the NAM, the CRAM met the requirements of the corresponding variability in both the fracture energy index and the dynamic stability index.
5. Limitations and Recommendations
Author Contributions
Funding
Institutional Review Board Statement
Informed Consent Statement
Data Availability Statement
Conflicts of Interest
Nomenclature
| CCRMA | composite crumb rubber-modified asphalt |
| CRAM | recycled asphalt mixture prepared using composite crumb rubber-modified asphalt |
| DS | dynamic stability |
| Gf | fracture energy |
| IDT | indirect tensile test |
| NAM | asphalt mixture prepared using base asphalt |
| RAM | recycled asphalt mixture |
| RAM-FR | recycled asphalt mixture with fractionated reclaimed asphalt pavement materials |
| RAM-UR | recycled asphalt mixture with unfractionated reclaimed asphalt pavement materials |
| RAP | reclaimed asphalt pavement |
| RD | rutting depth |
| SCB | semi-circular bending |
| SGC | Superpave gyratory compactor |
References
- Dos Santos, S.; Partl, M.N.; Poulikakos, L.D. From Virgin to Recycled Bitumen: A Microstructural View. Compos. Part B Eng. 2015, 80, 177–185. [Google Scholar] [CrossRef]
- Gulzar, S.; Fried, A.; Preciado, J.; Castorena, C.; Underwood, S.; Habbouche, J.; Boz, I. Towards Sustainable Roads: A State-of-the-Art Review on the Use of Recycling Agents in Recycled Asphalt Mixtures. J. Clean. Prod. 2023, 406, 136994. [Google Scholar] [CrossRef]
- Liu, Z.; Sun, L.; Gu, X.; Wang, X.; Dong, Q.; Zhou, Z.; Tang, J. Characteristics, Mechanisms, and Environmental LCA of WMA Containing Sasobit: An Analysis Perspective Combing Viscosity-Temperature Regression and Interface Bonding Strength. J. Clean. Prod. 2023, 391, 136255. [Google Scholar] [CrossRef]
- Xie, Z.; Rizvi, H.; Purdy, C.; Ali, A.; Mehta, Y. Effect of Rejuvenator Types and Mixing Procedures on Volumetric Properties of Asphalt Mixtures with 50% RAP. Constr. Build. Mater. 2019, 218, 457–464. [Google Scholar] [CrossRef]
- Antunes, V.; Freire, A.; Neves, J. A Review on the Effect of RAP Recycling on Bituminous Mixtures Properties and the Viability of Multi-Recycling. Constr. Build. Mater. 2019, 211, 453–469. [Google Scholar] [CrossRef]
- Liu, X.; Li, Z.; Chen, S.; Zhou, Y. Fatigue Performance Enhancement and High-Temperature Performance Evaluation of Asphalt Treated Base Mixture. Constr. Build. Mater. 2021, 305, 124146. [Google Scholar] [CrossRef]
- Yang, Q.; Liu, Z.; Sun, L.; Li, Z. Analysis of the Viscosity and Self-Healing Performance of Warm-Mix Recycled Asphalt: A Method Combining Molecular Dynamics Simulations and Laboratory Tests. Case Stud. Constr. Mater. 2023, 19, e02593. [Google Scholar] [CrossRef]
- Ziari, H.; Aliha, M.R.M.; Moniri, A.; Saghafi, Y. Crack Resistance of Hot Mix Asphalt Containing Different Percentages of Reclaimed Asphalt Pavement and Glass Fiber. Constr. Build. Mater. 2020, 230, 117015. [Google Scholar] [CrossRef]
- Ai, X.; Cao, J.; Feng, D.; Gao, L.; Hu, W.; Yi, J. Performance Evaluation of Recycled Asphalt Mixtures with Various Percentages of RAP from the Rotary Decomposition Process. Constr. Build. Mater. 2022, 321, 126406. [Google Scholar] [CrossRef]
- Zhang, R.; Sias, J.E.; Dave, E.V. Comparison and Correlation of Asphalt Binder and Mixture Cracking Parameters Incorporating the Aging Effect. Constr. Build. Mater. 2021, 301, 124075. [Google Scholar] [CrossRef]
- Barros, L.; Garcia, V.M.; Garibay, J.; Abdallah, I.; Nazarian, S. Implications of Including Reclaimed Asphalt Pavement Materials to Performance of Balanced Asphalt Concrete Mixes. Transp. Res. Rec. 2019, 2673, 670–678. [Google Scholar] [CrossRef]
- JTG E20-2011; Standard Test Methods of Bitumen and Bituminous Mixtures for Highway Engineering. China Communications Press: Beijing, China, 2011.
- FHWA-ICT-07-001; Reclaimed Asphalt Pavement—A Literature Review. Illinois Center of Transportation: Rantoul, IL, USA, 2007.
- Colbert, B.; You, Z. The Determination of Mechanical Performance of Laboratory Produced Hot Mix Asphalt Mixtures Using Controlled RAP and Virgin Aggregate Size Fractions. Constr. Build. Mater. 2012, 26, 655–662. [Google Scholar] [CrossRef]
- Zaumanis, M.; Mallick, R.B. Review of Very High-Content Reclaimed Asphalt Use in Plant-Produced Pavements: State of the Art. Int. J. Pavement Eng. 2015, 16, 39–55. [Google Scholar] [CrossRef]
- Pan, Y.; Li, J.; Yang, T.; Liu, G.; Zhou, J.; Guo, P.; Zhao, Y. Optimization of Gradation Design of Recycled Asphalt Mixtures Based on Fractal and Mohr-Coulomb Theories. Constr. Build. Mater. 2020, 248, 118649. [Google Scholar] [CrossRef]
- Feng, D.; Cao, J.; Gao, L.; Yi, J. Recent Developments in Asphalt-Aggregate Separation Technology for Reclaimed Asphalt Pavement. J. Road Eng. 2022, 2, 332–347. [Google Scholar] [CrossRef]
- Wang, L.; Shen, A.; Mou, G.; Guo, Y.; Meiquan, Y. Effect of RAP Gradation Subdivision and Addition of a Rejuvenator on Recycled Asphalt Mixture Engineering Performance. Case Stud. Constr. Mater. 2023, 18, e02136. [Google Scholar] [CrossRef]
- Jin-zhi, X.; Pei-wen, H.; Xiao-gang, G.; Hong-xiang, L.; Bin-jun, Z.; Chen, L. Review of Mix Design Method of Hot In-Plant Recycled Asphalt Mixture. China J. Highw. Transp. 2021, 34, 72. [Google Scholar]
- Hu, D.; Gu, X.; Dong, Q.; Lyu, L.; Cui, B.; Pei, J. Investigating the Bio-Rejuvenator Effects on Aged Asphalt through Exploring Molecular Evolution and Chemical Transformation of Asphalt Components during Oxidative Aging and Regeneration. J. Clean. Prod. 2021, 329, 129711. [Google Scholar] [CrossRef]
- Yan, S.; Zhou, C.; Ouyang, J. Rejuvenation Effect of Waste Cooking Oil on the Adhesion Characteristics of Aged Asphalt to Aggregates. Constr. Build. Mater. 2022, 327, 126907. [Google Scholar] [CrossRef]
- Liu, Z.; Gu, X.; Dong, X.; Cui, B.; Hu, D. Mechanism and Performance of Graphene Modified Asphalt: An Experimental Approach Combined with Molecular Dynamic Simulations. Case Stud. Constr. Mater. 2023, 18, e01749. [Google Scholar] [CrossRef]
- Wang, D.; Riccardi, C.; Jafari, B.; Cannone Falchetto, A.; Wistuba, M.P. Investigation on the Effect of High Amount of Re-Recycled RAP with Warm Mix Asphalt (WMA) Technology. Constr. Build. Mater. 2021, 312, 125395. [Google Scholar] [CrossRef]
- Yousefi, A.A.; Sobhi, S.; Aliha, M.R.M.; Pirmohammad, S.; Haghshenas, H.F. Cracking Properties of Warm Mix Asphalts Containing Reclaimed Asphalt Pavement and Recycling Agents under Different Loading Modes. Constr. Build. Mater. 2021, 300, 124130. [Google Scholar] [CrossRef]
- Xiao, F.; Amirkhanian, S.N.; Shen, J.; Putman, B. Influences of Crumb Rubber Size and Type on Reclaimed Asphalt Pavement (RAP) Mixtures. Constr. Build. Mater. 2009, 23, 1028–1034. [Google Scholar] [CrossRef]
- Ding, X.; Chen, L.; Ma, T.; Ma, H.; Gu, L.; Chen, T.; Ma, Y. Laboratory Investigation of the Recycled Asphalt Concrete with Stable Crumb Rubber Asphalt Binder. Constr. Build. Mater. 2019, 203, 552–557. [Google Scholar] [CrossRef]
- Liu, Z.; Zhou, Z.; Gu, X.; Sun, L.; Wang, C. Laboratory Evaluation of the Performance of Reclaimed Asphalt Mixed with Composite Crumb Rubber-Modified Asphalt: Reconciling Relatively High Content of RAP and Virgin Asphalt. Int. J. Pavement Eng. 2023, 24, 2217320. [Google Scholar] [CrossRef]
- Chen, T.; Ma, T.; Huang, X.; Guan, Y.; Zhang, Z.; Tang, F. The Performance of Hot-Recycling Asphalt Binder Containing Crumb Rubber Modified Asphalt Based on Physiochemical and Rheological Measurements. Constr. Build. Mater. 2019, 226, 83–93. [Google Scholar] [CrossRef]
- Gudipudi, P.P. Investigation and Improvement in Reliability of Asphalt Concrete Fatigue Modeling Using Fine Aggregate Matrix Phase; Arizona State University: Tempe, AZ, USA, 2016; ISBN 1-339-51195-9. [Google Scholar]
- Sun, L.; Gu, X.; Wen, Y.; Dong, Q.; Hu, D. Investigation of Oxygen Diffusion Behavior in Asphalt Mixtures Using Molecular Dynamics Simulations and Laboratory Test. J. Mater. Civ. Eng. 2023, 35, 04023300. [Google Scholar] [CrossRef]
- Yin, P.; Pan, B. Effect of RAP Content on Fatigue Performance of Hot-Mixed Recycled Asphalt Mixture. Constr. Build. Mater. 2022, 328, 127077. [Google Scholar] [CrossRef]
- Song, W.; Huang, B.; Shu, X. Influence of Warm-Mix Asphalt Technology and Rejuvenator on Performance of Asphalt Mixtures Containing 50% Reclaimed Asphalt Pavement. J. Clean. Prod. 2018, 192, 191–198. [Google Scholar] [CrossRef]
- Hugener, M.; Wang, D.; Cannone Falchetto, A.; Porot, L.; Kara De Maeijer, P.; Orešković, M.; Sa-da-Costa, M.; Tabatabaee, H.; Bocci, E.; Kawakami, A. Recommendation of RILEM TC 264 RAP on the Evaluation of Asphalt Recycling Agents for Hot Mix Asphalt. Mater. Struct. 2022, 55, 31. [Google Scholar] [CrossRef]
- Zhou, Z.; Gu, X.; Jiang, J.; Ni, F.; Jiang, Y. Fatigue Cracking Performance Evaluation of Laboratory-Produced Polymer Modified Asphalt Mixture Containing Reclaimed Asphalt Pavement Material. Constr. Build. Mater. 2019, 216, 379–389. [Google Scholar] [CrossRef]
- Liu, Q.; Han, B.; Wang, S.; Falchetto, A.C.; Wang, D.; Yu, B.; Zhang, J. Evaluation and Molecular Interaction of Asphalt Modified by Rubber Particles and Used Engine Oil. J. Clean. Prod. 2022, 375, 134222. [Google Scholar] [CrossRef]
- Nguyen, H.V. Effects of Mixing Procedures and Rap Sizes on Stiffness Distribution of Hot Recycled Asphalt Mixtures. Constr. Build. Mater. 2013, 47, 728–742. [Google Scholar] [CrossRef]
- Guo, R.; Nian, T. Indices Relation and Statistical Probability Analysis of Physical and Mechanical Performance of Asphalt Mixtures. Case Stud. Constr. Mater. 2022, 16, e01091. [Google Scholar] [CrossRef]
- Yu, X.; Tang, W.; Li, N.; Jiang, M.; Huang, J.; Wang, D. Refined Decomposition: A New Separation Method for RAP Materials and Its Effect on Aggregate Properties. Constr. Build. Mater. 2022, 358, 129452. [Google Scholar] [CrossRef]
- Hu, D.; Gu, X.; Cui, B.; Pei, J.; Zhang, Q. Modeling the Oxidative Aging Kinetics and Pathways of Asphalt: A ReaxFF Molecular Dynamics Study. Energy Fuels 2020, 34, 3601–3613. [Google Scholar] [CrossRef]
- Manke, N.D.; Williams, R.C.; Sotoodeh-Nia, Z.; Cochran, E.W.; Porot, L.; Chailleux, E.; Pouget, S.; Olard, F.; Barco Carrion, A.J.D.; Planche, J.-P. Performance of a Sustainable Asphalt Mix Incorporating High RAP Content and Novel Bio-Derived Binder. Road Mater. Pavement Des. 2021, 22, 812–834. [Google Scholar] [CrossRef]
- Ishaq, M.A.; Giustozzi, F. Rejuvenator Effectiveness in Reducing Moisture and Freeze/Thaw Damage on Long-Term Performance of 20% RAP Asphalt Mixes: An Australian Case Study. Case Stud. Constr. Mater. 2020, 13, e00454. [Google Scholar] [CrossRef]
- Cui, B.; Wang, H. Molecular Modeling of Asphalt-Aggregate Debonding Potential under Moisture Environment and Interface Defect. Appl. Surf. Sci. 2022, 606, 154858. [Google Scholar] [CrossRef]
- Ma, X.; Wang, J.; Xu, Y. Investigation on the Effects of RAP Proportions on the Pavement Performance of Recycled Asphalt Mixtures. Front. Mater. 2022, 8, 842809. [Google Scholar] [CrossRef]
- Xu, W.; Wei, J.; Chen, Z.; Wang, F.; Zhao, J. Evaluation of the Effects of Filler Fineness on the Properties of an Epoxy Asphalt Mixture. Materials 2021, 14, 2003. [Google Scholar] [CrossRef] [PubMed]
- Oliveira, T.C.F.; Dezen, B.G.S.; Possan, E. Use of Concrete Fine Fraction Waste as a Replacement of Portland Cement. J. Clean. Prod. 2020, 273, 123126. [Google Scholar] [CrossRef]
- Hossiney, N.; Sepuri, H.K.; Mohan, M.K.; Arjun, H.R.; Govindaraju, S.; Chyne, J. Alkali-Activated Concrete Paver Blocks Made with Recycled Asphalt Pavement (RAP) Aggregates. Case Stud. Constr. Mater. 2020, 12, e00322. [Google Scholar] [CrossRef]
- Tarsi, G.; Tataranni, P.; Sangiorgi, C. The Challenges of Using Reclaimed Asphalt Pavement for New Asphalt Mixtures: A Review. Materials 2020, 13, 4052. [Google Scholar] [CrossRef] [PubMed]
- Yang, C.; Zhang, J.; Yang, F.; Cheng, M.; Wang, Y.; Amirkhanian, S.; Wu, S.; Wei, M.; Xie, J. Multi-Scale Performance Evaluation and Correlation Analysis of Blended Asphalt and Recycled Asphalt Mixtures Incorporating High RAP Content. J. Clean. Prod. 2021, 317, 128278. [Google Scholar] [CrossRef]
- Zhou, Z.; Gu, X.; Ni, F.; Li, Q.; Ma, X. Cracking Resistance Characterization of Asphalt Concrete Containing Reclaimed Asphalt Pavement at Intermediate Temperatures. Transp. Res. Rec. 2017, 2633, 46–57. [Google Scholar] [CrossRef]
- Liu, Q.; Liu, J.; Yu, B.; Zhang, J.; Pei, J. Evaluation and Optimization of Asphalt Binder and Mixture Modified with High Activated Crumb Rubber Content. Constr. Build. Mater. 2022, 314, 125676. [Google Scholar] [CrossRef]
- Cui, B.; Wang, H.; Gu, X.; Hu, D. Study of the Inter-Diffusion Characteristics and Cracking Resistance of Virgin-Aged Asphalt Binders Using Molecular Dynamics Simulation. Constr. Build. Mater. 2022, 351, 128968. [Google Scholar] [CrossRef]
- Cui, B.; Wang, H. Oxidative Aging Mechanism of Asphalt Binder Using Experiment-Derived Average Molecular Model and ReaxFF Molecular Dynamics Simulation. Fuel 2023, 345, 128192. [Google Scholar] [CrossRef]
- Cui, S.; Guo, N.; Wang, L.; You, Z.; Tan, Y.; Guo, Z.; Luo, X.; Chen, Z. Effect of Freeze–Thaw Cycles on the Pavement Performance of SBS Modified and Composite Crumb Rubber Modified Asphalt Mixtures. Constr. Build. Mater. 2022, 342, 127799. [Google Scholar] [CrossRef]
- Guo, Z.; Wang, L.; Feng, L.; Guo, Y. Research on Fatigue Performance of Composite Crumb Rubber Modified Asphalt Mixture under Freeze Thaw Cycles. Constr. Build. Mater. 2022, 323, 126603. [Google Scholar] [CrossRef]
- Cui, B.; Wang, H. Molecular Interaction of Asphalt-Aggregate Interface Modified by Silane Coupling Agents at Dry and Wet Conditions. Appl. Surf. Sci. 2022, 572, 151365. [Google Scholar] [CrossRef]
- Sun, L.; Wen, Y.; Liu, Q.; Li, D.; Lyu, L.; Pei, J.; Zhang, J.; Li, R. A Laboratory Investigation into the Effect of Waste Non-Tire Rubber Particles on the Performance Properties of Terminal Blend Rubberized Asphalt Binders. Constr. Build. Mater. 2021, 313, 125409. [Google Scholar] [CrossRef]











| Technical Indicators | Base Asphalt | CCRMA | Test Method | |
|---|---|---|---|---|
| Penetration (25 °C, 5 s, 100 g) (0.1 mm) | 70 | 83 | T0604-2011 | |
| Ductility (5 °C, 5 cm/min) (cm) | - | 59 | T0605-2011 | |
| Ductility (10 °C, 5 cm/min) (cm) | 25 | - | T0605-2011 | |
| Softening point (°C) | 48.5 | 87 | T0606-2011 | |
| G*/sinδ@64 °C | Virgin asphalt | 1.24 | - | T0628-2011 |
| RTFOT aged asphalt | 3.01 | - | T0628-2011 | |
| G*/sinδ@70 °C | Virgin asphalt | 0.63 | - | T0628-2011 |
| RTFOT aged asphalt | 2.94 | - | T0628-2011 | |
| G*/sinδ@94 °C | Virgin asphalt | - | 1.35 | T0628-2011 |
| RTFOT aged asphalt | - | 2.26 | T0628-2011 | |
| G*/sinδ@100 °C | Virgin asphalt | - | 0.83 | T0628-2011 |
| RTFOT aged asphalt | - | 1.54 | T0628-2011 |
| Technical Specifications | Unit | Coarse Aggregate | Fine Aggregate | Fillers | Test Method |
|---|---|---|---|---|---|
| Apparent relative density | g/cm3 | 2.78 | 2.66 | 2.61 | T0328-2005 |
| Crushing value | % | 11.4 | - | - | T0316-2005 |
| Los Angeles abrasion loss | % | 18.2 | - | - | T0317-2005 |
| Needle flake particle content | % | 11.7 | - | - | T0312-2005 |
| Water absorption rate | % | 1.3 | - | - | T0307-2005 |
| Firmness | % | 10.4 | - | - | T0314-2000 |
| Sand equivalent | % | - | 86 | - | T0334-2005 |
| Angularity | % | - | 51 | - | T0345-2005 |
| Hydrophilic coefficient | - | - | - | 0.4 | T0353-2000 |
| Plasticity coefficient | - | - | - | 3.1 | T0354-2000 |
| Gradation | Material | Statistics | p-Value | μ | σ |
|---|---|---|---|---|---|
| AC-13a | RAM-UR | 0.903 | 0.267 | 1539 | 410.61 |
| AC-13a | RAM-FR | 0.874 | 0.136 | 1606 | 265.69 |
| AC-13b | RAM-UR | 0.886 | 0.181 | 2400 | 431.19 |
| AC-13b | RAM-FR | 0.952 | 0.709 | 2512 | 298.37 |
| AC-13c | RAM-UR | 0.897 | 0.232 | 2626 | 452.15 |
| AC-13c | RAM-FR | 0.966 | 0.859 | 3003 | 339.27 |
| Gradation | Material | Statistics | p-Value | μ | σ |
|---|---|---|---|---|---|
| AC-13a | RAM-UR | 0.947 | 0.679 | 7017 | 2646.00 |
| AC-13a | RAM-FR | 0.912 | 0.368 | 7471 | 1657.91 |
| AC-13b | RAM-UR | 0.919 | 0.425 | 9591 | 2839.83 |
| AC-13b | RAM-FR | 0.868 | 0.145 | 10,250 | 1858.70 |
| AC-13c | RAM-UR | 0.939 | 0.602 | 9715 | 3166.34 |
| AC-13c | RAM-FR | 0.930 | 0.512 | 12,402 | 2057.89 |
| Gradation | Material | Statistics | p-Value | μ | σ |
|---|---|---|---|---|---|
| AC-13a | RAM-UR | 0.868 | 0.117 | 871 | 164.77 |
| AC-13a | RAM-FR | 0.948 | 0.667 | 903 | 115.46 |
| AC-13b | RAM-UR | 0.979 | 0.961 | 1121 | 156.97 |
| AC-13b | RAM-FR | 0.935 | 0.527 | 1230 | 112.88 |
| AC-13c | RAM-UR | 0.950 | 0.688 | 1316 | 147.76 |
| AC-13c | RAM-FR | 0.921 | 0.400 | 1570 | 125.40 |
| Gradation | Fineness Modulus |
|---|---|
| AC-13a | 5.61 |
| AC-13b | 5.83 |
| AC-13c | 6.05 |
| Material | Reliability Intervals | Reliability (%) |
|---|---|---|
| RAM-UR | - | 0 |
| RAM-FR | 5.81–6.05 | 50 |
| RAP Content (%) | Total Interval | Reliability Intervals | Reliability (%) |
|---|---|---|---|
| 30 | 5.64–6.09 | 5.81–6.09 | 62.2 |
| 40 | 5.62–6.07 | 5.81–6.07 | 57.8 |
| 50 | 5.61–6.05 | 5.81–6.05 | 54.5 |
| 60 | 5.55–6.03 | 5.81–6.03 | 45.8 |
| 70 | 5.48–6.01 | 5.81–6.01 | 37.7 |
| Indicators | CRAM Containing 50% RAP | |||||||||
|---|---|---|---|---|---|---|---|---|---|---|
| Sieve size (mm) | 16 | 13.2 | 9.5 | 4.75 | 2.36 | 1.18 | 0.6 | 0.3 | 0.15 | 0.075 |
| Passing (%) | 100 | 95.7 | 77.6 | 47.8 | 38.9 | 30.3 | 19 | 13 | 10.5 | 7.3 |
| RAP content (%) (>4.75 mm) | 35.0% | |||||||||
| RAP content (%) (<4.75 mm) | 15.0% | |||||||||
| Indicators | NAM |
|---|---|
| Asphalt content (%) | 5.0 |
| Addition of new asphalt (%) | 2.39 |
| Gross volume relative density (g/cm3) | 2.494 |
| Maximum theoretical relative density (g/cm3) | 2.598 |
| Air void (%) | 4.0 |
| Specimen Number | Dynamic Stability (times/mm) | |
|---|---|---|
| NAM | CRAM | |
| 1 | 1845.77 | 10,597.34 |
| 2 | 1960.68 | 7146.88 |
| 3 | 2124.66 | 8576.70 |
| 4 | 2021.06 | 7011.87 |
| 5 | 1737.42 | 9455.69 |
| 6 | 2207.10 | 10,171.49 |
| 7 | 1948.30 | 8642.65 |
| 8 | 1615.13 | 8785.95 |
| Gradation | Material | Statistics | p-Value | μ | σ |
|---|---|---|---|---|---|
| NAM | 0.980 | 0.963 | 1932 | 182.87 | NAM |
| CRAM | 0.936 | 0.576 | 8978 | 1201.37 | CRAM |
| Gradation | Dynamic Stability (times/mm) | Total Deformation (mm) | Coefficient of Variation |
|---|---|---|---|
| NAM | 1933 | 1.158 | 9.46 |
| CRAM | 8798 | 0.286 | 13.65 |
| Test Number | Fracture Energy (J/m2) | |
|---|---|---|
| NAM | CRAM | |
| 1 | 1345.67 | 1816.20 |
| 2 | 1238.02 | 2154.22 |
| 3 | 1233.29 | 2088.92 |
| 4 | 1387.16 | 1924.66 |
| 5 | 1435.83 | 2056.35 |
| 6 | 1235.98 | 1742.26 |
| 7 | 1132.89 | 1553.70 |
| 8 | 1201.34 | 1844.34 |
| Gradation | Statistics | p-Value | μ | σ |
|---|---|---|---|---|
| NAM | 0.931 | 0.523 | 1276.33 | 95.97 |
| CRAM | 0.963 | 0.841 | 1892.50 | 187.17 |
| Gradation | Peak Force Load (kN) | Disruption Displacement (mm) | Fracture Energy (J/m2) | |||
|---|---|---|---|---|---|---|
| Average | Coefficient of Variation | Average | Coefficient of Variation | Average | Coefficient of Variation | |
| NAM | 10.85 | 7.64 | 1.37 | 4.23 | 1276.53 | 7.52 |
| CRAM | 13.37 | 9.43 | 1.39 | 6.91 | 1892.50 | 9.86 |
Disclaimer/Publisher’s Note: The statements, opinions and data contained in all publications are solely those of the individual author(s) and contributor(s) and not of MDPI and/or the editor(s). MDPI and/or the editor(s) disclaim responsibility for any injury to people or property resulting from any ideas, methods, instructions or products referred to in the content. |
© 2023 by the authors. Licensee MDPI, Basel, Switzerland. This article is an open access article distributed under the terms and conditions of the Creative Commons Attribution (CC BY) license (https://creativecommons.org/licenses/by/4.0/).
Share and Cite
Wei, W.; Ji, C.; Song, H.; Li, Z.; Liu, Z.; Sun, L.; Zhou, Z. Effect of Fractionation Process and Addition of Composite Crumb Rubber-Modified Asphalt on Road Performance Variability of Recycled Asphalt Mixtures with High Reclaimed Asphalt Pavement (RAP) Content. Buildings 2023, 13, 2729. https://doi.org/10.3390/buildings13112729
Wei W, Ji C, Song H, Li Z, Liu Z, Sun L, Zhou Z. Effect of Fractionation Process and Addition of Composite Crumb Rubber-Modified Asphalt on Road Performance Variability of Recycled Asphalt Mixtures with High Reclaimed Asphalt Pavement (RAP) Content. Buildings. 2023; 13(11):2729. https://doi.org/10.3390/buildings13112729
Chicago/Turabian StyleWei, Wenwu, Chao Ji, Honggang Song, Zhigang Li, Zhen Liu, Lijun Sun, and Zhou Zhou. 2023. "Effect of Fractionation Process and Addition of Composite Crumb Rubber-Modified Asphalt on Road Performance Variability of Recycled Asphalt Mixtures with High Reclaimed Asphalt Pavement (RAP) Content" Buildings 13, no. 11: 2729. https://doi.org/10.3390/buildings13112729
APA StyleWei, W., Ji, C., Song, H., Li, Z., Liu, Z., Sun, L., & Zhou, Z. (2023). Effect of Fractionation Process and Addition of Composite Crumb Rubber-Modified Asphalt on Road Performance Variability of Recycled Asphalt Mixtures with High Reclaimed Asphalt Pavement (RAP) Content. Buildings, 13(11), 2729. https://doi.org/10.3390/buildings13112729

