Subjective Impression of an Office with Biophilic Design and Blue Lighting: A Pilot Study
Abstract
1. Introduction
1.1. Influence of Interior Color on Impression, Emotion, and/or Cognitive Performance
1.2. Influence of Lighting Color on Impression, Emotion, and Behavior
2. Materials and Methods
2.1. Participants
2.2. Environmental Stimuli
2.3. Online Survey and Questionnaire Design
2.4. Data Analysis
3. Results
3.1. Demographics
3.2. Space Perception
3.3. Preference Ranking
4. Discussion
4.1. Comparison between the Two Biophilic Strategies
4.2. Blue Lighting
4.3. Limitations
5. Conclusions
Author Contributions
Funding
Conflicts of Interest
References
- Klepeis, N.E.; Nelson, W.C.; Ott, W.R.; Robinson, J.P.; Tsang, A.M.; Switzer, P.; Behar, J.V.; Hern, S.C.; Engelmann, W.H. The National Human Activity Pattern Survey (NHAPS): A resource for assessing exposure to environmental pollutants. J. Expo. Anal. Env. Epidemiol. 2001, 11, 231–252. [Google Scholar] [CrossRef] [PubMed]
- Samet, J.M.; Spengler, J.D. Indoor environments, and health: Moving into the 21st century. Am. J. Public Health 2003, 93, 1489–1493. [Google Scholar] [CrossRef]
- Franke, M.; Nadler, C. Towards a holistic approach for assessing the impact of IEQ on satisfaction, health, and productivity. Build Res. Inf. 2020, 49, 1–28. [Google Scholar] [CrossRef]
- Edward, O.; Wilson, S.R.K. The Biophilia Hypothesis; Island Press: Washington, DC, USA, 1993. [Google Scholar]
- Stephen, R.K.; Judith Heerwagen, M.M. Biophilic Design: The Theory, Science and Practice of Bringing Buildings to Life; John Wiley & Sons: Hoboken, NJ, USA, 2011. [Google Scholar]
- Huisman, E.R.C.M.; Morales, E.; Van Hoof, J.; Kort, H.S.M. Healing environment: A review of the impact of physical environmental factors on users. Build. Environ. 2012, 58, 70–80. [Google Scholar] [CrossRef]
- Boyce, P.; Hunter, C.; Howlett, O. The Benefits of Daylight through Windows; Rensselaer Polytechnic Institute: Troy, NY, USA, 2003. [Google Scholar]
- Al Horr, Y.; Arif, M.; Kaushik, A.; Mazroei, A.; Katafygiotou, M.; Elsarrag, E. Occupant productivity and office indoor environment quality: A review of the literature. Build. Environ. 2016, 105, 369–389. [Google Scholar] [CrossRef]
- Edwards, L.; Torcellini, P. A Literature Review of the Effects of Natural Light on Building Occupants; NREL/TP-550-30769; National Renewable Energy Lab: Golden, CO, USA, 2002. [Google Scholar]
- Aries, M.B.C.; Aarts, M.P.J.; Van Hoof, J. Daylight and health: A review of the evidence and consequences for the built environment. Light Res. Technol. 2015, 47, 6–27. [Google Scholar] [CrossRef]
- Ulrich, R.S. View through a window may influence recovery from surgery. Science 1984, 224, 420–421. [Google Scholar] [CrossRef]
- Joarder, A.R.; Price, A. Impact of daylight illumination on reducing patient length of stay in hospital after coronary artery bypass graft surgery. Light Res. Technol. 2013, 45, 435–449. [Google Scholar] [CrossRef]
- Choi, J.H.; Beltran, L.O.; Kim, H.S. Impacts of indoor daylight environments on patient average length of stay (ALOS) in a healthcare facility. Build. Environ. 2012, 50, 65–75. [Google Scholar] [CrossRef]
- Yin, J.; Arfaei, N.; MacNaughton, P.; Catalano, P.J.; Allen, J.G.; Spengler, J.D. Effects of biophilic interventions in office on stress reaction and cognitive function: A randomized crossover study in virtual reality. Indoor Air 2019, 29, 1028–1039. [Google Scholar] [CrossRef]
- Yin, J.; Yuan, J.; Arfaei, N.; Catalano, P.J.; Allen, J.G.; Spengler, J.D. Effects of biophilic indoor environment on stress and anxiety recovery: A between-subjects experiment in virtual reality. Environ. Int. 2020, 136, 105427. [Google Scholar] [CrossRef] [PubMed]
- Yin, J.; Zhu, S.; MacNaughton, P.; Allen, J.G.; Spengler, J.D. Physiological and cognitive performance of exposure to biophilic indoor environment. Build Environ. 2018, 132, 255–262. [Google Scholar] [CrossRef]
- Boubekri, M.; Lee, J.; Macnaughton, P.; Woo, M.; Schuyler, L.; Tinianov, B.; Satish, U. The impact of optimized daylight and views on the sleep duration and cognitive performance of office workers. Int. J. Environ. Res. Public Health 2020, 17, 3219. [Google Scholar] [CrossRef]
- Chamilothori, K.; Chinazzo, G.; Rodrigues, J.; Dan-Glauser, E.S.; Wienold, J.; Andersen, M. Subjective and physiological responses to façade and sunlight pattern geometry in virtual reality. Build. Environ. 2019, 150, 144–155. [Google Scholar] [CrossRef]
- Bringslimark, T.; Hartig, T.; Patil, G.G. The psychological benefits of indoor plants: A critical review of the experimental literature. J. Environ. Psychol. 2009, 29, 422–433. [Google Scholar] [CrossRef]
- Han, K.T.; Ruan, L.W. Effects of indoor plants on self-reported perceptions: A systemic review. Sustainability 2019, 11, 4506. [Google Scholar] [CrossRef]
- Aydogan, A.; Cerone, R. Review of the effects of plants on indoor environments. Indoor Built Environ. 2020, 30, 442–460. [Google Scholar] [CrossRef]
- Houser, K.W.; Esposito, T. Human-centric lighting: Foundational considerations and a five-step designprocess. Front Neurol. 2021, 12, 1–13. [Google Scholar] [CrossRef]
- Legates, T.A.; Fernandez, D.C.; Hattar, S. Light as a central modulator of circadian rhythms, sleep and affect. Nat. Rev. Neurosci. 2014, 15, 443–454. [Google Scholar] [CrossRef]
- Gordon, G. Interior Lighting for Designers; John Wiley & Sons: Hoboken, NJ, USA, 2015. [Google Scholar]
- Keis, O.; Helbig, H.; Streb, J.; Hille, K. Influence of blue-enriched classroom lighting on students’ cognitive performance. Trends Neurosci. Educ. 2014, 3, 86–92. [Google Scholar] [CrossRef]
- Viola, A.U.; James, L.M.; Schlangen, L.J.M.; Dijk, D.; Scandinavian, S. Blue-enriched white light in the workplace improves self-reported alertness, performance and sleep quality. Scand. J. Work Environ. Health 2008, 34, 297–306. [Google Scholar] [CrossRef] [PubMed]
- Kuijsters, A.; Redi, J.; De Ruyter, B.; Heynderickx, I. Lighting to make you feel better: Improving the mood of elderly people with affective ambiences. PLoS ONE 2015, 10, e0132732. [Google Scholar] [CrossRef]
- Kuijsters, A.; Redi, J.; De Ruyter, B.; Seuntiëns, P.; Heynderickx, I. Affective ambiences created with lighting for older people. Light Res. Technol. 2015, 47, 859–875. [Google Scholar] [CrossRef]
- Warman, V.L.; Dijk, D.J.; Warman, G.R.; Arendt, J.; Skene, D.J. Phase advancing human circadian rhythms with short wavelength light. Neurosci. Lett. 2003, 342, 37–40. [Google Scholar] [CrossRef]
- Thapan, K.; Arendt, J.; Skene, D.J. An action spectrum for melatonin suppression: Evidence for a novel non-rod, non-cone photoreceptor system in humans. J. Physiol. 2001, 535, 261–267. [Google Scholar] [CrossRef] [PubMed]
- Cajochen, C.; Münch, M.; Kobialka, S.; Kräuchi, K.; Steiner, R.; Oelhafen, P.; Orgül, S.; Wirz-Justice, A. High sensitivity of human melatonin, alertness, thermoregulation, and heart rate to short wavelength light. J. Clin. Endocrinol. Metab. 2005, 90, 1311–1316. [Google Scholar] [CrossRef] [PubMed]
- Boyce, P.; Barriball, E. Circadian rhythms and depression. Aust. Fam. Physician 2010, 39, 307–310. [Google Scholar] [PubMed]
- Bedrosian, T.A.; Nelson, R.J. Influence of the modern light environment on mood. Mol. Psychiatry 2013, 18, 751–757. [Google Scholar] [CrossRef]
- Vandewalle, G.; Gais, S.; Schabus, M.; Balteau, E.; Carrier, J.; Darsaud, A.; Sterpenich, V.; Albouy, G.; Dijk, D.J.; Maquet, P. Wavelength-dependent modulation of brain responses to a working memory task by daytime light exposure. Cereb. Cortex 2007, 17, 2788–2795. [Google Scholar] [CrossRef]
- Lockley, S.W.; Evans, E.E.; Scheer, F.A.; Brainard, G.C.; Czeisler, C.A.; Aeschbach, D. Short-wavelength sensitivity for the direct effects of light on alertness, vigilance, and the waking electroencephalogram in humans. Sleep 2005, 29, 161–168. [Google Scholar]
- Revell, V.L.; Arendt, J.; Fogg, L.F.; Skene, D.J. Alerting effects of light are sensitive to very short wavelengths. Neurosci. Lett. 2006, 399, 96–100. [Google Scholar] [CrossRef] [PubMed]
- Plitnick, B.; Figueiro, M.G.; Wood, B.; Rea, M.S. The effects of red and blue light on alertness and mood at night. Light Res. Technol. 2010, 42, 449–458. [Google Scholar] [CrossRef]
- Sahin, L.; Figueiro, M.G. Alerting effects of short-wavelength (blue) and long-wavelength (red) lights in the afternoon. Physiol. Behav. 2013, 116, 1–7. [Google Scholar] [CrossRef]
- Sahin, L.; Wood, B.M.; Plitnick, B.; Figueiro, M.G. Daytime light exposure: Effects on biomarkers, measures of alertness, and performance. Behav. Brain Res. 2014, 274, 176–185. [Google Scholar] [CrossRef]
- Browning, W.D.; Ryan, C.O.; Clancy, J.O. 14 Patterns of Biophilic Design; Terrapin Bright Green, LLC: New York, NY, USA, 2014. [Google Scholar]
- Dijkstra, K.; Pieterse, M.E.; Pruyn, A. Stress-reducing effects of indoor plants in the built healthcare environment: The mediating role of perceived attractiveness. Prev. Med. 2008, 47, 279–283. [Google Scholar] [CrossRef]
- Lohr, V. Interior plants may improve worker productivity and reduce stress in a windowless environment. J. Environ. 1996, 14, 97–100. [Google Scholar] [CrossRef]
- Yildirim, K.; Hidayetoglu, M.L.; Capanoglu, A. Effects of interior colors on mood and preference: Comparisons of two living rooms. Percept. Mot. Skills 2011, 112, 509–524. [Google Scholar] [CrossRef]
- Moscoso, C.; Matusiak, B. Aesthetic perception of a small office with different daylighting systems. Indoor Built. Environ. 2018, 27, 1187–1202. [Google Scholar] [CrossRef]
- Moscoso, C.; Matusiak, B.; Svensson, U.P.; Orleanski, K. Analysis of stereoscopic images as a new method for daylighting studies. ACM Trans. Appl. Percept. 2015, 11, 1–13. [Google Scholar] [CrossRef]
- Tantanatewin, W.; Inkarojrit, V. Effects of color and lighting on retail impression and identity. J. Environ. Psychol. 2016, 46, 197–205. [Google Scholar] [CrossRef]
- Schielke, T.; Leudesdorff, M. Impact of lighting design on brand image for fashion retail stores. Light Res. Technol. 2015, 47, 672–692. [Google Scholar] [CrossRef]
- Wardono, P.; Hibino, H.; Koyama, S. Effects of interior colors, lighting and decors on perceived sociability, emotion and behavior related to social dining. Procedia—Soc. Behav. Sci. 2012, 38, 362–372. [Google Scholar] [CrossRef]
- Hidayetoglu, M.L.; Yildirim, K.; Akalin, A. The effects of color and light on indoor wayfinding and the evaluation of the perceived environment. J. Environ. Psychol. 2012, 32, 50–58. [Google Scholar] [CrossRef]
- Engelke, U.; Stokkermans, M.G.M.; Murdoch, M.J. Visualizing lighting with images: Converging between the predictive value of renderings and photographs. In Proceedings of the Human Vision and Electronic Imaging XVIII, 86510L, Burlingame, CA, USA, 14 March 2013; pp. L1–L10. [Google Scholar]
- Witmer, B.G.; Bailey, J.H.; Knerr, B.W.; Parsons, K.C. Virtual spaces and real world places: Transfer of route knowledge. Int. J. Hum. Comput. Stud. 1996, 45, 413–428. [Google Scholar] [CrossRef]
- Eissa, H.; Mahdavi, A. On the potential of computationally rendered scenes for lighting quality evaluation. In Proceedings of the Seventh International IBPSA Conference, Rio de Janeiro, Brazil, 13–15 August 2001; pp. 797–804. [Google Scholar]
- Mahdavi, A.; Eissa, H. Subjective evaluation of architectural lighting via computationally rendered images. J. Illum. Eng. Soc. 2002, 31, 11–20. [Google Scholar] [CrossRef]
- Newsham, G.R.; Richardson, C.; Blanchet, C.; Veitch, J.A. Lighting quality research using rendered images of offices. Light Res. Technol. 2005, 37, 93–112. [Google Scholar] [CrossRef]
- Inanici, M.; Tai, N.-C. Lighting in real and pictorial space. In Proceedings of the 15th International Conference on Computer-Aided Architectural Design Research, Hong Kong, China, 7–10 April 2010; pp. 501–510. [Google Scholar]
- Acking, C.A.; Küller, H. The perception of an interior as a function of its colour. Ergonomics 1972, 15, 645–654. [Google Scholar] [CrossRef]
- Küller, R.; Ballal, S.; Laike, T.; Mikellides, B.; Tonello, G. The impact of light and colour on psychological mood: A cross-cultural study of indoor work environments. Ergonomics 2006, 49, 1496–1507. [Google Scholar] [CrossRef]
- Yildirim, K.; Akalin-Baskaya, A.; Hidayetoglu, M.L. Effects of indoor color on mood and cognitive performance. Build. Environ. 2007, 42, 3233–3240. [Google Scholar] [CrossRef]
- Yildirim, K.; Cagatay, K.; Ayalp, N. Effect of wall colour on the perception of classrooms. Indoor Built Environ. 2015, 24, 607–616. [Google Scholar] [CrossRef]
- Nelson, J.G.; Pelech, M.T.; Foster, S.F. Color preference and stimulation seeking. Percept. Mot. Skills. 1984, 59, 913–914. [Google Scholar] [CrossRef]
- Crowley, A.E. The two-dimensional impact of color on shopping. Mark. Lett. 1993, 4, 59–69. [Google Scholar] [CrossRef]
- Kwallek, N.; Lewis, C.M.; Lin-Hsiao, J.W.D.; Woodson, H. Effects of nine monochromatic office interior colors on clerical tasks and worker mood. Color. Res. Appl. 1996, 21, 448–458. [Google Scholar] [CrossRef]
- Kwallek, N. Office wall color: An assessment of spaciousness and preference. Percept. Mot. Skills. 1996, 85, 49–50. [Google Scholar] [CrossRef]
- Von Castell, C.; Stelzmann, D.; Oberfeld, D.; Welsch, R.; Hecht, H. Cognitive performance and emotion are indifferent to ambient color. Color. Res. Appl. 2018, 43, 65–74. [Google Scholar] [CrossRef]
- Bradley, M.; Lang, P.J. Measuring emotion: The self-assessment mannequin and the semantic differential. J. Behav. Ther. Exp. Psychiat. 1994, 25, 49–59. [Google Scholar] [CrossRef]
- Minguillon, J.; Lopez-Gordo, M.A.; Renedo-Criado, D.A.; Sanchez-Carrion, M.J.; Pelayo, F. Blue lighting accelerates post-stress relaxation: Results of a preliminary study. PLoS ONE 2017, 12, 1–16. [Google Scholar] [CrossRef]
- Wu, T.Y.; Wang, S.-G. Effects of LED color temperature and illuminance on customers’ emotional states and spatial impressions in a restaurant. Int. J. Affect. Eng. 2015, 14, 19–29. [Google Scholar] [CrossRef]
- Lee, H. Effects of Light-Emitting Diode (LED) Lighting Color on Human Emotion, Behavior, and Spatial Impression; Michigan State University: Michigan, MI, USA, 2019. [Google Scholar]
- Chinazzo, G.; Wienold, J.; Andersen, M. Effect of indoor temperature and glazing with saturated color on visual perception of daylight. LEUKOS—J. Illum. Eng. Soc. North Am. 2021, 17, 183–204. [Google Scholar] [CrossRef]
- Cicchetti, D.V.; Shoinralter, D.; Tyrer, P.J. The effect of number of rating scale categories on levels of interrater reliability: A monte carlo investigation. Appl. Psychol. Meas. 1985, 9, 31–36. [Google Scholar] [CrossRef]
- Park, S.H.; Mattson, R.H. Therapeutic influences of plants in hospital rooms on surgical recovery. Hort. Sci. 2009, 44, 102–105. [Google Scholar] [CrossRef]
- Sawyer, A.O.; Chamilothori, K. Influence of subjective impressions of a space on brightness satisfaction: An experimental study in virtual reality. In Proceedings of the Symposium on Simulation for Architecture and Urban Design, Atlanta, GA, USA, 7–9 April 2019; pp. 57–64. [Google Scholar]
- Wise, B.K.; Wise, J.A. The Human Factors of Color in Environmental Design: A Critical Review. NASA-CR-177498, NAS 1.26:177498. 1 August 1988. [Google Scholar]
- Villa, C.; Labayrade, R. Validation of an online protocol for assessing the luminous environment. Light Res. Technol. 2013, 45, 401–420. [Google Scholar] [CrossRef]
- Poynton, C. Digital Video and HD: Algorithms and Interfaces; Elsevier Science: Amsterdam, The Netherlands, 2003. [Google Scholar]
- Anderson, M.; Motta, R.; Chandrasekar, S.; Stokes, M. Proposal for a standard default color space for the Internet—sRGB. In Proceedings of the IS T/SID Color Imaging Conference, Scottsdale, AZ, USA, 5 November 1996; pp. 238–246. [Google Scholar]



| Independent Variable (IV) | Dependent Variables (DV) |
|---|---|
| IV1. Interior design variations (4 different scenes, (a)–(d) in Figure 1) | DV1. Lively |
| DV2. Calming | |
| DV3. Comfortable | |
| DV4. Interesting | |
| DV5. Spacious | |
| DV6. Appealing | |
| DV7. Cheerful | |
| DV8. Bright |
| Variable | Number (Percentage) |
|---|---|
| Gender | |
| Male | 122 (43.0%) |
| Female | 161 (56.7%) |
| Prefer not to answer | 1 (0.4%) |
| Age | |
| <=20 | 4 (1.4%) |
| 21–30 | 194 (68.3%) |
| 31–40 | 46 (16.2%) |
| >40 | 40 (14.1%) |
| Educational background (years of formal education in architecture, landscape architecture, urban design/planning, interior design, or lighting design) | |
| 0 years | 162 (57.0%) |
| 1–5 years | 62 (21.8%) |
| >=6 years | 60 (21.1%) |
| Work experience (years of working experience in a professional architectural setting) | |
| 0 years | 191 (67.3%) |
| 1–3 years | 47 (16.5%) |
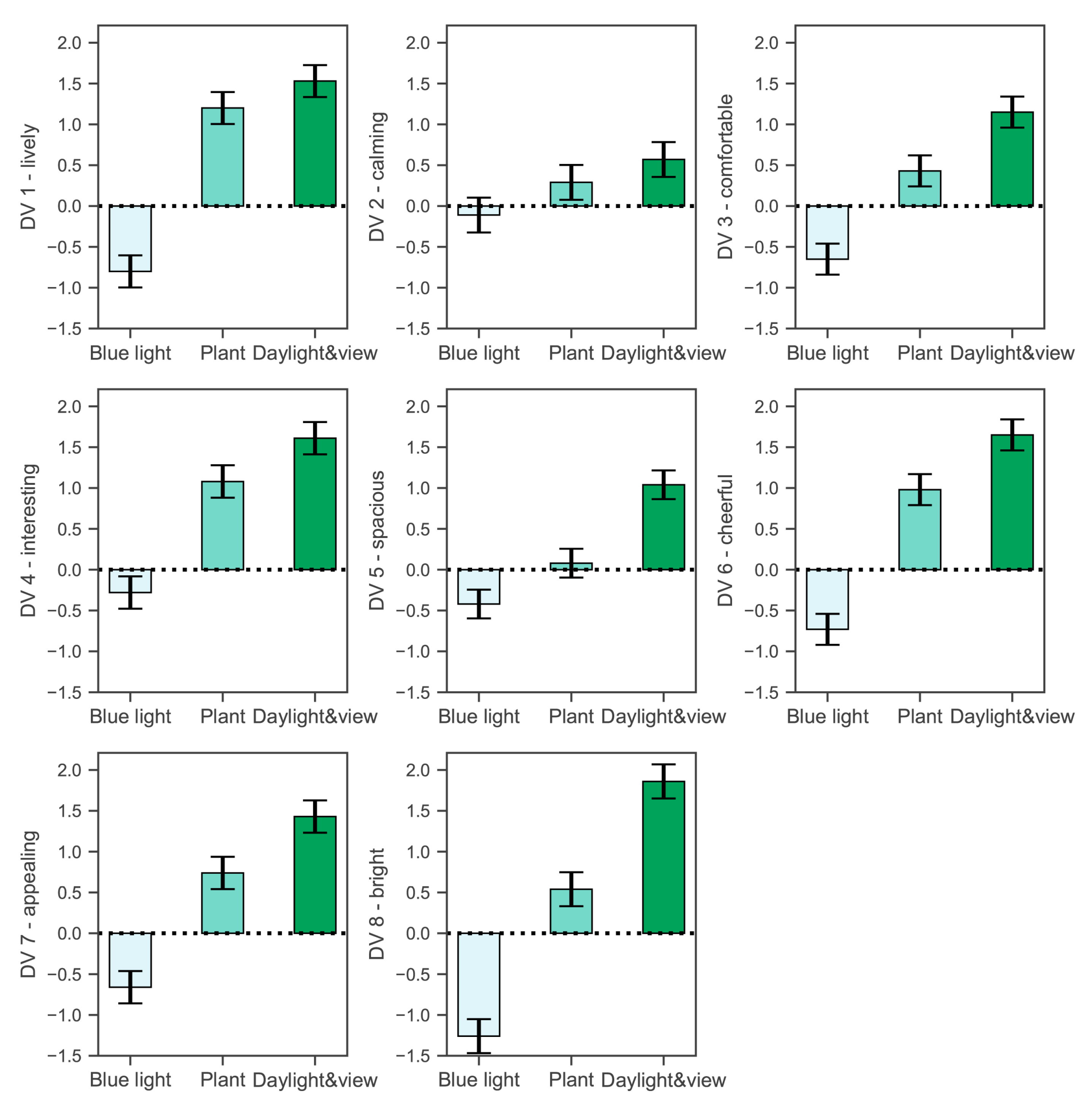
| Dependent Variable | Pairwise Comparison | Mean Difference | Std. Error | t Value | p-Value |
|---|---|---|---|---|---|
| Lively | Blue lighting-Baseline | −0.80 | 0.10 | −7.95 | p < 0.001 * |
| Plant-Baseline | 1.19 | 0.10 | 11.97 | p < 0.001 * | |
| Daylight and view- Baseline | 1.53 | 0.10 | 15.29 | p < 0.001 * | |
| Calming | Blue lighting-Baseline | −0.11 | 0.11 | −1.04 | 0.298 |
| Plant-Baseline | 0.29 | 0.11 | 2.63 | 0.008 * | |
| Daylight and view- Baseline | 0.57 | 0.11 | 5.24 | p < 0.001 * | |
| Comfortable | Blue lighting-Baseline | −0.65 | 0.10 | −6.66 | p < 0.001 * |
| Plant-Baseline | 0.43 | 0.10 | 4.48 | p < 0.001 * | |
| Daylight and view- Baseline | 1.15 | 0.10 | 11.83 | p < 0.001 * | |
| Interesting | Blue lighting-Baseline | −0.28 | 0.10 | −2.80 | 0.005 * |
| Plant-Baseline | 1.08 | 0.10 | 10.74 | p < 0.001 * | |
| Daylight and view- Baseline | 1.61 | 0.10 | 15.96 | p < 0.001 * | |
| Spacious | Blue lighting-Baseline | −0.42 | 0.09 | −4.68 | p < 0.001 * |
| Plant-Baseline | 0.08 | 0.09 | 0.90 | 0.366 | |
| Daylight and view- Baseline | 1.04 | 0.09 | 11.55 | p < 0.001 * | |
| Cheerful | Blue lighting-Baseline | −0.73 | 0.10 | −7.51 | 0.005 * |
| Plant-Baseline | 0.98 | 0.10 | 10.07 | p < 0.001 * | |
| Daylight and view- Baseline | 1.65 | 0.10 | 16.99 | p < 0.001 * | |
| Appealing | Blue lighting-Baseline | −0.66 | 0.10 | −6.55 | p < 0.001 * |
| Plant-Baseline | 0.74 | 0.10 | 7.36 | p < 0.001 * | |
| Daylight and view- Baseline | 1.43 | 0.10 | 14.15 | p < 0.001 * | |
| Bright | Blue lighting-Baseline | −1.26 | 0.11 | −11.82 | p < 0.001 * |
| Plant-Baseline | 0.54 | 0.11 | 5.11 | p < 0.001 * | |
| Daylight and view- Baseline | 1.86 | 0.11 | 17.43 | p < 0.001 * | |
| Daylight and view- Baseline | 1.04 | 0.09 | 11.55 | p < 0.001 * |
| Image of Simulated Office | Average Relative Luminance |
|---|---|
| Baseline | 31.0 |
| Blue lighting | 25.3 |
| Plant | 28.6 |
| Daylight and view | 30.5 |
Disclaimer/Publisher’s Note: The statements, opinions and data contained in all publications are solely those of the individual author(s) and contributor(s) and not of MDPI and/or the editor(s). MDPI and/or the editor(s) disclaim responsibility for any injury to people or property resulting from any ideas, methods, instructions or products referred to in the content. |
© 2022 by the authors. Licensee MDPI, Basel, Switzerland. This article is an open access article distributed under the terms and conditions of the Creative Commons Attribution (CC BY) license (https://creativecommons.org/licenses/by/4.0/).
Share and Cite
Xie, J.; Sawyer, A.O.; Ge, S.; Li, T. Subjective Impression of an Office with Biophilic Design and Blue Lighting: A Pilot Study. Buildings 2023, 13, 42. https://doi.org/10.3390/buildings13010042
Xie J, Sawyer AO, Ge S, Li T. Subjective Impression of an Office with Biophilic Design and Blue Lighting: A Pilot Study. Buildings. 2023; 13(1):42. https://doi.org/10.3390/buildings13010042
Chicago/Turabian StyleXie, Jiarong, Azadeh Omidfar Sawyer, Siqing Ge, and Tian Li. 2023. "Subjective Impression of an Office with Biophilic Design and Blue Lighting: A Pilot Study" Buildings 13, no. 1: 42. https://doi.org/10.3390/buildings13010042
APA StyleXie, J., Sawyer, A. O., Ge, S., & Li, T. (2023). Subjective Impression of an Office with Biophilic Design and Blue Lighting: A Pilot Study. Buildings, 13(1), 42. https://doi.org/10.3390/buildings13010042

