Characteristics of Extreme Wind Pressure on the Open Prefabricated Spatial Grid Structure of Evergrande Stadium
Abstract
1. Introduction
2. Numerical Simulation Methods
2.1. Large-Eddy Simulation (LES)
2.2. Cyclic Pre-Simulation Method
2.3. UDF Interface for Loading Inflow Information
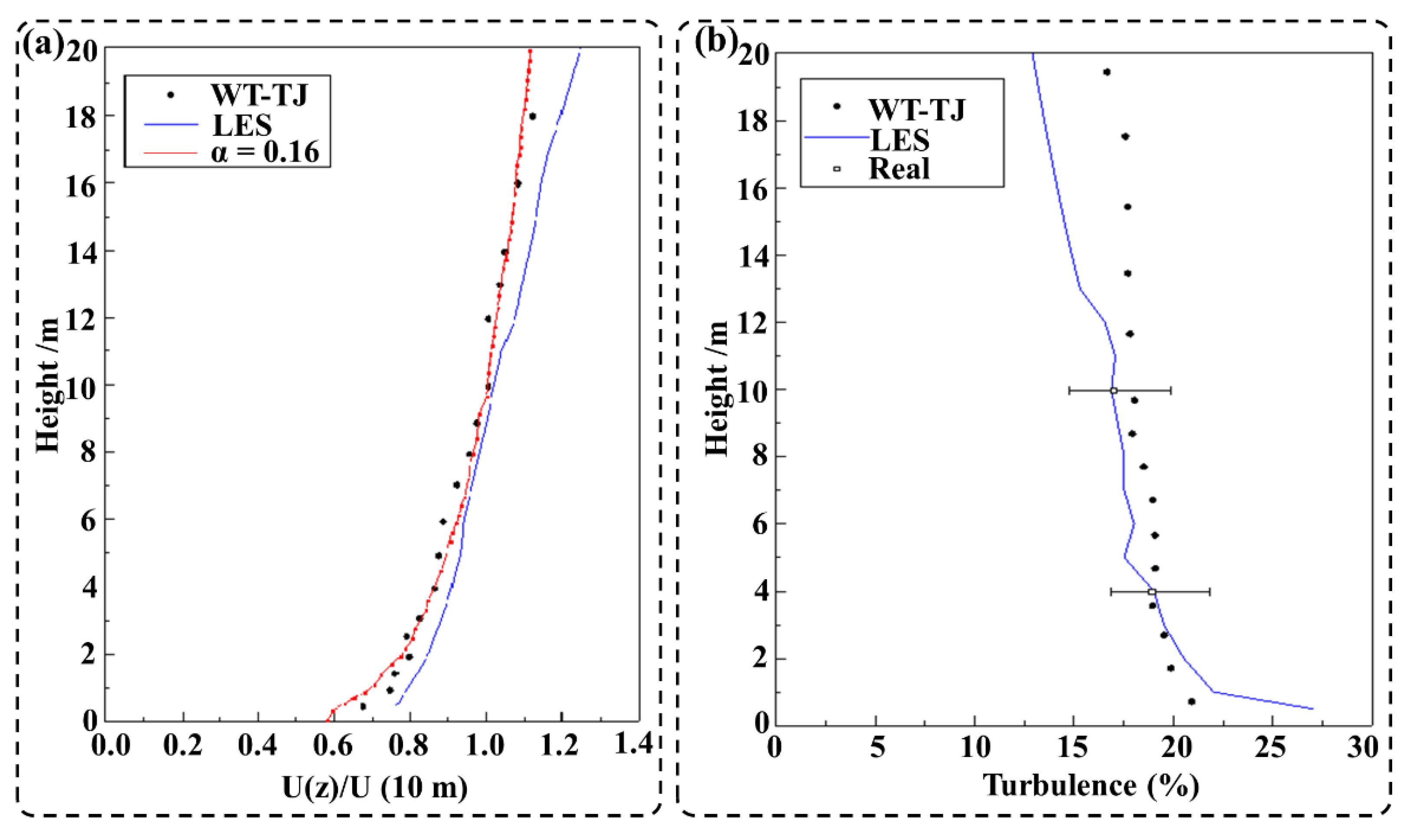
2.4. Validation of Numerical Simulation Methods
2.4.1. Simulation of TTU Standard Model
2.4.2. Setting of Solution Method and Boundary Conditions
2.4.3. Post-Processing Process
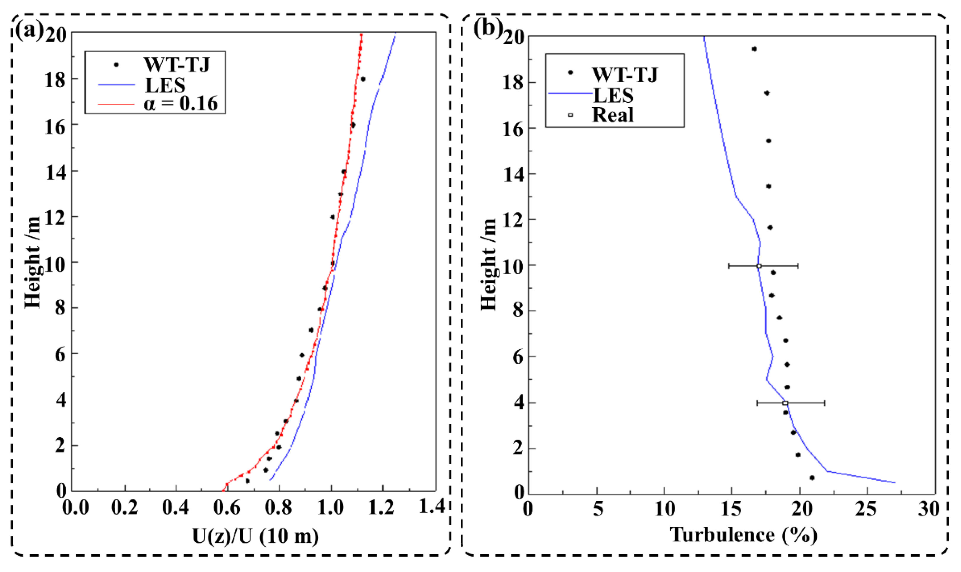
2.4.4. Analysis of Calculation Results
Wind Fields
Flow Field
Wind Pressure Coefficient
3. Characteristics of Extreme Wind Pressure Distribution of the Large-Span Open Prefabricated Spatial Grid Structure
3.1. Introduction of LES for Evergrande Stadium
3.2. Distribution Characteristics of Wind Pressure Probability Density
3.2.1. Introduction of Standard Fitting Functions
- (1)
- Gaussian distribution
- (2)
- Weibull distribution
- (3)
- 3P-gamma distribution
- (4)
- GEV distribution
- (5)
- Lognormal distribution
3.2.2. Fitting Results of the Probability Distribution of Representative Measurement Points
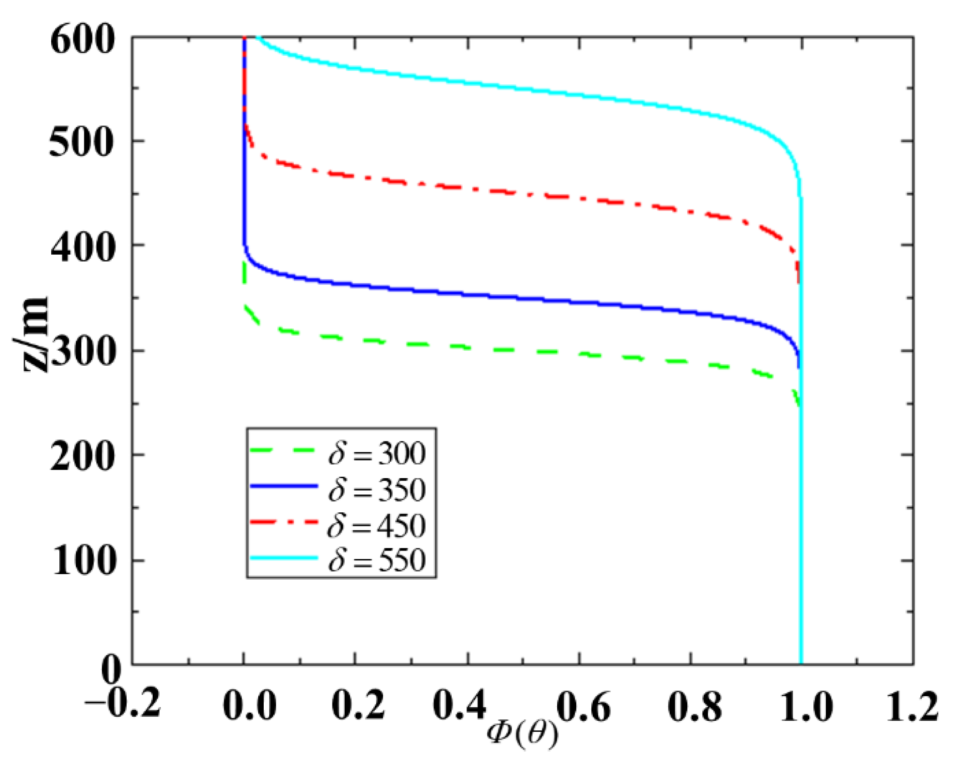
3.2.3. Gaussian and Non-Gaussian Region Division
3.3. Comparative Analysis of Extreme Wind Pressure Calculation Methods
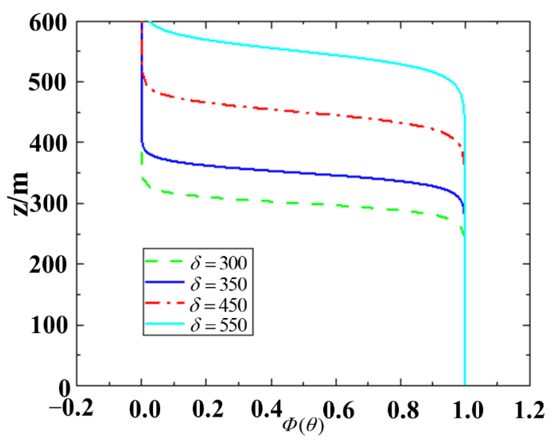
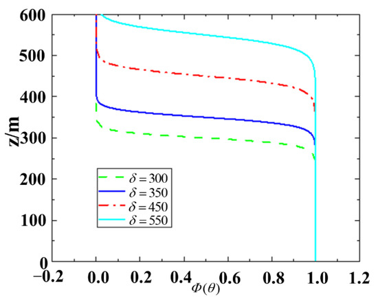
3.4. Effect of Surface Roughness on the Extreme Wind Pressure Distribution
3.4.1. Extreme Wind Pressure Distribution
3.4.2. Analysis of the Effect of Roughness on Extreme Wind Pressure Distribution
4. Conclusions
- (1)
- Since the wind pressure time series at most measurement points on the surface of the open prefabricated spatial grid structure does not conform to the Gaussian assumption, the Gaussian distribution is poorly fitted. The GEV distribution and the 3P-gamma distribution perform better. For different measurement points in different regions, the fitting effectiveness of the five common distributions varies. It is necessary to select a suitable distribution function for fitting according to the probability density distribution of wind pressure coefficients at representative measurement points.
- (2)
- The skewness and kurtosis are the criteria for dividing the Gaussian and non-Gaussian regions of this open prefabricated spatial grid structure. The measurement points meeting this criterion are classified in the non-Gaussian region, while the rest belong to the Gaussian region. The delineation results reveal that the Gaussian area on the upper surface of the roof is the largest at a 30° wind angle, and the lower surface is at 60°. Moreover, the Gaussian regions under each wind angle are less than half of the total area of the roof.
- (3)
- The extreme values of wind pressure coefficients obtained by the peak factor method will be underestimated because the probability distribution of wind pressure at numerous measurement points does not conform to the Gaussian distribution. Moreover, the improved peak factor method introduces a non-Gaussian correction term, correcting the accuracy, but its results are still small. The absolute error rates for both range from 17–35%. The modified Hermite method fully considers the non-Gaussian characteristics of the probability distribution of wind pressure, making the average error rate controlled within 13%, with high estimation accuracy.
- (4)
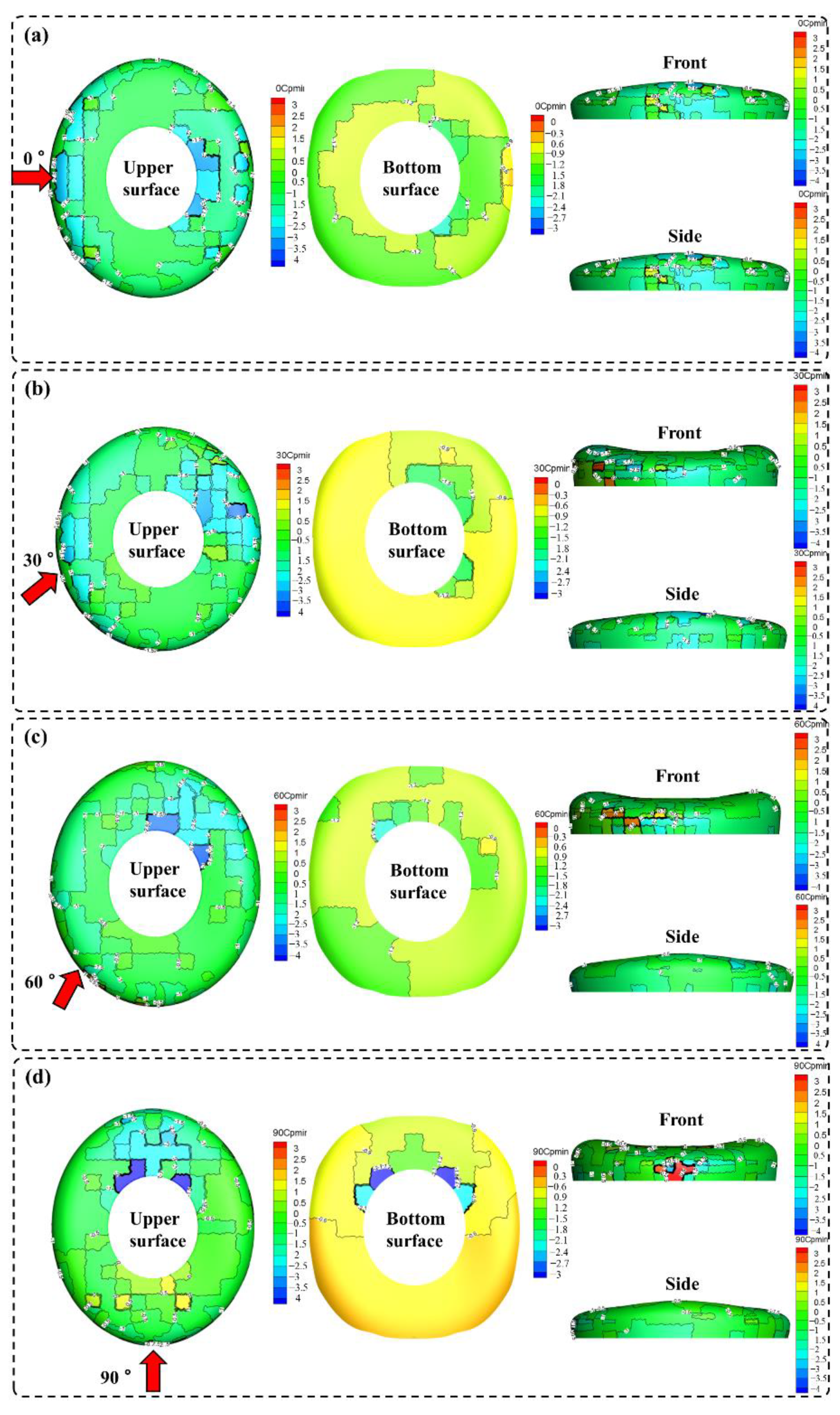
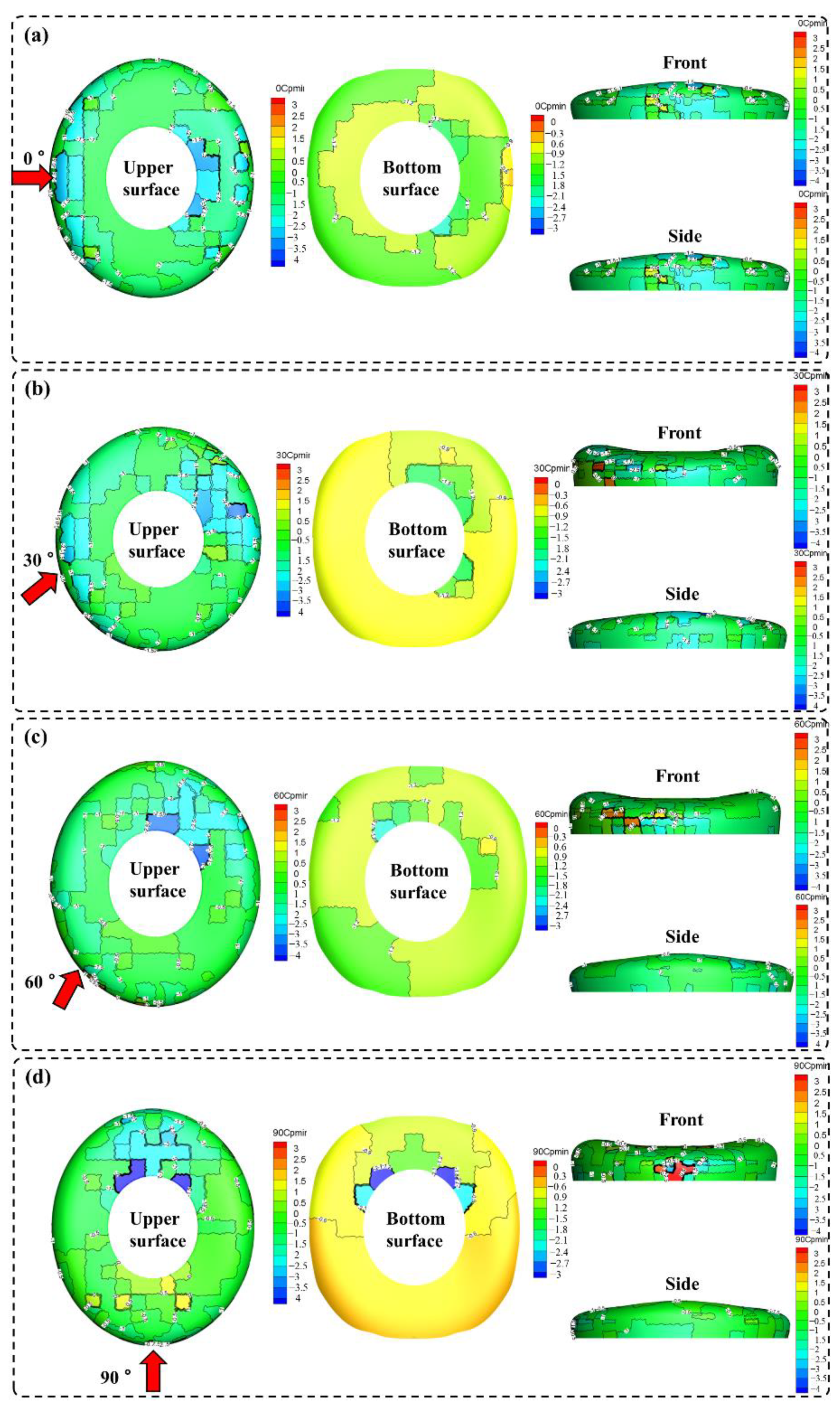
- At a wind angle of 0°, the airflow will be strongly separated at the highest part of the roof in the windward area, resulting in a significant wind suction force due to the saddle-like shape of the roof. In contrast, the phenomenon is not apparent at 90°. After crossing the openings, the airflow separates again on the upper surface of the roof away from the edge of the windward area, so the maximum and minimum value of wind pressure coefficient here at 0° and 90° is small, respectively.
- (5)
- The surface roughness of the roof can influence the extreme-value distribution of the wind pressure coefficient in the open prefabricated spatial grid structure in the local region. Specifically, this factor will decrease the maximum value of the wind pressure coefficient while it has a negligible effect on the distribution of the minimum value.
Author Contributions
Funding
Institutional Review Board Statement
Informed Consent Statement
Acknowledgments
Conflicts of Interest
References
- General Administration of Quality Supervision; Inspection and Quarantine of P.R.C; Ministry of Housing and Urban-Rural Development of P.R.C. Load Code for the Design of Building Structures (GB 50009-2012); China Construction Industry Press: Beijing, China, 2012. [Google Scholar]
- Nakamura, O.; Tamura, Y.; Miyashita, K.; Itoh, M. A case study of wind pressure and wind-induced vibration of a large span open-type roof. J. Wind Eng. Ind. Aerodyn. 1994, 52, 237–248. [Google Scholar] [CrossRef]
- Wu, P.; Chen, G.; Feng, R.; He, F. Research on wind load characteristics on the surface of a towering precast television tower with a grid structure based on large eddy simulation. Buildings 2022, 12, 1428. [Google Scholar] [CrossRef]
- Huang, Y.; Yang, J.; Feng, R.; Chen, H. Resistance of cold-formed sorbite stainless steel circular tubes under uniaxial compression. Thin-Walled Struct. 2022, 179, 109739. [Google Scholar] [CrossRef]
- Huang, Y.; Yang, J.; Zhong, C. Flexural performance of assembly integral floor structure voided with steel mesh boxes. J. Build. Eng. 2022, 54, 104693. [Google Scholar] [CrossRef]
- Sun, S.; Niu, Z.; Wang, D.; Zhang, X.; Duo, L.L. Bond behavior of coral aggregate concrete and corroded Cr alloy steel bar. J. Build. Eng. 2022, 61, 105294. [Google Scholar] [CrossRef]
- Jeong, J.; Hussain, F. On the identification of a vortex. J. Fluid Mech. 1995, 285, 69–94. [Google Scholar] [CrossRef]
- Galletti, C.; Mariotti, A.; Siconolfi, L.; Mauri, R.; Brunazzi, E. Numerical investigation of flow regimes in T-shaped micromixers: Benchmark between finite volume and spectral element methods. Can. J. Chem. Eng. 2019, 97, 528–541. [Google Scholar] [CrossRef]
- Dhamankar, N.S.; Blaisdell, G.A.; Lyrintzis, A.S. Overview of turbulent inflow boundary conditions for large-eddy simulations. AIAA J. 2018, 56, 55528. [Google Scholar] [CrossRef]
- Tabor, G.R.; Baba-Ahmadi, M.H. Inlet conditions for large eddy simulation: A review. Comput. Fluids 2010, 39, 553–567. [Google Scholar] [CrossRef]
- Spalart, P.R. Direct simulation of a turbulent boundary layer up to Rθ = 1410. J. Fluid Mech. 1988, 187, 61–98. [Google Scholar] [CrossRef]
- Lund, T.S.; Wu, X.; Squires, K.D. Generation of Turbulent Inflow Data for Spatially-Developing Boundary Layer Simulations. J. Comput. Phys. 1998, 140, 233–258. [Google Scholar] [CrossRef]
- Ferrante, A.; Elghobashi, S.E. A robust method for generating inflow conditions for direct simulations of spatially-developing turbulent boundary layers. J. Comput. Phys. 2004, 198, 372–387. [Google Scholar] [CrossRef]
- Morgan, B.; Larsson, J.; Kawai, S.; Lele, S.K. Improving low-frequency characteristics of recycling/rescaling inflow turbulence generation. AIAA J. 2011, 49, 582–597. [Google Scholar] [CrossRef]
- Wang, T. Large Eddy Simulation of Atmospheric Boundary Layer Flow Based on FLUENT. Ph.D. Thesis, Beijing Jiaotong University, Beijing, China, 2011. [Google Scholar]
- Davenport, A.G. Gust Loading Factors. J. Struct. Div. 1967, 93, 11–34. [Google Scholar] [CrossRef]
- Peterka, J.A.; Cermak, J.E. Wind pressures on buildings—Probability densities. ASCE J. Struct. Div. 1975, 101, 1255–1267. [Google Scholar] [CrossRef]
- Kareem, A.; Zhao, J. Analysis of non-gaussian surge response of tension leg platforms under wind loads. J. Offshore Mech. Arct. Eng. 1994, 116, 137–144. [Google Scholar] [CrossRef]
- Suresh Kumar, K.; Stathopoulos, T. Synthesis of non-Gaussian wind pressure time series on low building roofs. Eng. Struct. 1999, 21, 1086–1100. [Google Scholar] [CrossRef]
- Sadek, F.; Simiu, E. Peak Non-Gaussian Wind Effects for Database-Assisted Low-Rise Building Design. J. Eng. Mech. 2002, 128, 530–539. [Google Scholar] [CrossRef]
- Rice, S.O. Mathematical Analysis of Random Noise. Bell. Syst. Tech. J. 1945, 24, 46–156. [Google Scholar] [CrossRef]
- Grigoriu, M. Crossings of Non-Gaussian Translation Processes. J. Eng. Mech. 1984, 110, 610–620. [Google Scholar] [CrossRef]
- Kasperski, M. Specification of the design wind load-A critical review of code concepts. J. Wind Eng. Ind. Aerodyn. 2009, 97, 335–357. [Google Scholar] [CrossRef]
- Holmes, J.D. Non-gaussian characteristics of wind pressure fluctuations. J. Wind Eng. Ind. Aerodyn. 1981, 7, 103–108. [Google Scholar] [CrossRef]
- Nozawa, K.; Tamura, T. Large eddy simulation of the flow around a low-rise building immersed in a rough-wall turbulent boundary layer. J. Wind Eng. Ind. Aerodyn. 2002, 90, 1151–1162. [Google Scholar] [CrossRef]
- Lettau, H. Note on Aerodynamic Roughness-Parameter Estimation on the Basis of Roughness-Element Description. J. Appl. Meteorol. 1969, 8, 828–832. [Google Scholar] [CrossRef]
- Wooding, R.A.; Bradley, E.F.; Marshall, J.K. Drag due to regular arrays of roughness elements of varying geometry. Bound.-Layer Meteorol. 1973, 5, 285–308. [Google Scholar] [CrossRef]
- Liu, G.; Xuan, J.; Park, S.U. A new method to calculate wind profile parameters of the wind tunnel boundary layer. J. Wind Eng. Ind. Aerodyn. 2003, 91, 1155–1162. [Google Scholar] [CrossRef]
- Yu, Y.; Yang, Y.; Xie, Z. A new inflow turbulence generator for large eddy simulation evaluation of wind effects on a standard high-rise building. Build. Environ. 2018, 138, 300–313. [Google Scholar] [CrossRef]
- Feng, C.; Gu, M.; Zheng, D. Numerical simulation of wind effects on super high-rise buildings considering wind veering with height based on CFD. J. Fluids Struct. 2019, 91, 102715. [Google Scholar] [CrossRef]
- Zhou, L.; Hu, G.; Tse, K.T.; He, X. Twisted-wind effect on the flow field of tall building. J. Wind Eng. Ind. Aerodyn. 2021, 218, 104778. [Google Scholar] [CrossRef]
- Papp, B.; Kristóf, G.; Gromke, C. Application and assessment of a GPU-based LES method for predicting dynamic wind loads on buildings. J. Wind Eng. Ind. Aerodyn. 2021, 217, 104739. [Google Scholar] [CrossRef]
- Yan, B.W.; Li, Q.S. Detached-eddy and large-eddy simulations of wind effects on a high-rise structure. Comput. Fluids 2017, 150, 74–83. [Google Scholar] [CrossRef]
- van Hooff, T.; Blocken, B.; Tominaga, Y. On the accuracy of CFD simulations of cross-ventilation flows for a generic isolated building: Comparison of RANS, LES and experiments. Build. Environ. 2017, 114, 148–165. [Google Scholar] [CrossRef]
- Zhou, X.; Zu, G.; Gu, M. Comparative study of TTU standard model surface wind pressure large eddy simulation and wind tunnel test. Eng. Mech. 2016, 33, 104–110. [Google Scholar]
- Levitan, M.L.; Mehta, K.C. Texas tech field experiments for wind loads part II: Meteorological instrumentation and terrain parameters. J. Wind Eng. Ind. Aerodyn. 1992, 43, 1577–1588. [Google Scholar] [CrossRef]
- Surry, D. Pressure measurements on the Texas tech building: Wind tunnel measurements and comparisons with full scale. J. Wind Eng. Ind. Aerodyn. 1991, 38, 235–247. [Google Scholar] [CrossRef]
- Stathopoulos, T. PDF of wind pressures on low-rise buildings. ASCE J. Struct. Div. 1980, 106, 973–990. [Google Scholar] [CrossRef]
- Pasqualetto, E.; Lunghi, G.; Rocchio, B.; Mariotti, A.; Salvetti, M.V. Experimental characterization of the lateral and near-wake flow for the BARC configuration. Wind Struct. Int. J. 2022, 34, 101–113. [Google Scholar] [CrossRef]
- Perna, R.; Abela, M.; Mameli, M.; Mariotti, A.; Pietrasanta, L.; Marengo, M.; Filippeschi, S. Flow characterization of a pulsating heat pipe through the wavelet analysis of pressure signals. Appl. Therm. Eng. 2020, 171, 115128. [Google Scholar] [CrossRef]
- Li, Z.; Li, C. Non-Gaussian non-stationary wind pressure forecasting based on the improved empirical wavelet transform. J. Wind Eng. Ind. Aerodyn. 2018, 179, 541–557. [Google Scholar] [CrossRef]
- Wickersham, A.J.; Li, X.; Ma, L. Comparison of Fourier, principal component and wavelet analyses for high speed flame measurements. Comput. Phys. Commun. 2014, 185, 1237–1245. [Google Scholar] [CrossRef]
- Sun, Y. Research on Wind Load Characteristics of Large Span Roof Structure. Ph.D. Thesis, Harbin Institute of Technology, Harbin, China, 2007. [Google Scholar]




















| Parameter | Definition |
|---|---|
| Inflow surface | Velocity-inlet (Equation (10)) |
| Circulation surface | Interior boundaries |
| Outflow surface | Free development outflow |
| Calculation domain top surface | Periodic boundary conditions |
| Computational domain side | Periodic boundary conditions |
| TTU standard model surface | No-slip wall |
| Calculation domain bottom surface | No-slip wall |
| Rough element surface | No-slip wall |
| Measurement Point | Sequence | 0° | 30° | 60° | 90° |
|---|---|---|---|---|---|
| Case 1 /Case 2 | Case 1 /Case 2 | Case 1 /Case 2 | Case 1 /Case 2 | ||
| P326 | 1 | 0.98 | 1.00 | 1.32 | 1.02 |
| P327 | 2 | 0.94 | 0.95 | 1.46 | 1.03 |
| P328 | 3 | 1.04 | 1.00 | 2.88 | 1.04 |
| P329 | 4 | 1.06 | 1.13 | 5.25 | 1.25 |
| P330 | 5 | 1.05 | 1.03 | 7.00 | 1.04 |
| P331 | 6 | 1.06 | 1.03 | 4.17 | 1.55 |
| P332 | 7 | 1.04 | 1.03 | 3.71 | 1.78 |
| P333 | 8 | 1.03 | 1.15 | −5.67 | 0.86 |
| P334 | 9 | 1.01 | 1.04 | 0.00 | 1.91 |
| P342 | 10 | 1.02 | 0.98 | 0.93 | 1.05 |
| P349 | 11 | 1.19 | 1.50 | 0.97 | 0.65 |
| P355 | 12 | 1.13 | −0.88 | 1.36 | 0.55 |
| P361 | 13 | 1.23 | −5.14 | 0.81 | 0.19 |
| P367 | 14 | 0.87 | 1.29 | 1.82 | 0.19 |
| P375 | 15 | −2.90 | −1.69 | 0.33 | 0.23 |
| P384 | 16 | 0.29 | 0.12 | 0.11 | 0.85 |
| P395 | 17 | 3.17 | 0.22 | −3.00 | 1.36 |
| P394 | 18 | −0.68 | 0.68 | 0.96 | 0.14 |
| P393 | 19 | −0.54 | 0.80 | 24.00 | 1.39 |
| P392 | 20 | 0.60 | 0.00 | 2.31 | 1.52 |
| P391 | 21 | 0.35 | 1.80 | 1.22 | 1.06 |
| P390 | 22 | 0.91 | 1.00 | 1.00 | 0.00 |
| P389 | 23 | −19.00 | 3.58 | 0.97 | 1.00 |
| P388 | 24 | −0.43 | 1.00 | 1.00 | 1.43 |
| P387 | 25 | 1.16 | 1.17 | 1.00 | 2.00 |
| P379 | 26 | 0.62 | 1.17 | 1.06 | 1.75 |
| P372 | 27 | −2.30 | 1.10 | 1.00 | 1.06 |
| P366 | 28 | 0.71 | 1.00 | 1.00 | 0.58 |
| P360 | 29 | 1.04 | 0.88 | 0.96 | 0.23 |
| P354 | 30 | 0.90 | 1.00 | 0.64 | 0.88 |
| P346 | 31 | 0.91 | 1.26 | −0.30 | 1.06 |
| P337 | 32 | 1.00 | 0.98 | 2.23 | 1.04 |
| Measurement Point | Sequence | 0° | 30° | 60° | 90° |
|---|---|---|---|---|---|
| Case 1 /Case 2 | Case 1 /Case 2 | Case 1 /Case 2 | Case 1 /Case 2 | ||
| P326 | 1 | 0.99 | 1.00 | 1.14 | 1.69 |
| P327 | 2 | 0.96 | 0.96 | 1.15 | 1.28 |
| P328 | 3 | 1.00 | 1.02 | 1.20 | 1.47 |
| P329 | 4 | 1.01 | 1.05 | 1.20 | 2.06 |
| P330 | 5 | 1.01 | 1.04 | 1.21 | 1.18 |
| P331 | 6 | 1.01 | 1.03 | 1.20 | 1.80 |
| P332 | 7 | 1.01 | 1.01 | 1.23 | 1.68 |
| P333 | 8 | 1.00 | 1.02 | 1.42 | 3.29 |
| P334 | 9 | 1.00 | 1.01 | 1.31 | 1.27 |
| P342 | 10 | 1.00 | 1.00 | 1.37 | 0.73 |
| P349 | 11 | 1.10 | 1.02 | 1.02 | 1.24 |
| P355 | 12 | 1.00 | 0.75 | 0.97 | 1.01 |
| P361 | 13 | 1.03 | 0.67 | 1.00 | 1.05 |
| P367 | 14 | 0.97 | 0.99 | 1.00 | 6.63 |
| P375 | 15 | 0.63 | 0.90 | 1.01 | 1.04 |
| P384 | 16 | 0.83 | 1.28 | 0.98 | 1.48 |
| P395 | 17 | 1.11 | 1.06 | 1.01 | 1.59 |
| P394 | 18 | 1.19 | 1.01 | 1.02 | 13.17 |
| P393 | 19 | 0.83 | 1.00 | 1.26 | 2.59 |
| P392 | 20 | 1.01 | 1.02 | 1.11 | 2.21 |
| P391 | 21 | 1.03 | 0.99 | 0.91 | 1.57 |
| P390 | 22 | 1.00 | 1.00 | 1.02 | 31.00 |
| P389 | 23 | 0.91 | 0.54 | 1.10 | 2.55 |
| P388 | 24 | 1.28 | 0.97 | 1.04 | 2.07 |
| P387 | 25 | 1.00 | 1.09 | 1.03 | 2.65 |
| P379 | 26 | 0.98 | 1.01 | 1.01 | 2.41 |
| P372 | 27 | 0.63 | 1.01 | 1.03 | 1.38 |
| P366 | 28 | 0.90 | 1.00 | 1.03 | −0.40 |
| P360 | 29 | 1.00 | 0.99 | 1.09 | −4.00 |
| P354 | 30 | 0.99 | 0.98 | 5.20 | 0.21 |
| P346 | 31 | 0.99 | 1.09 | 1.20 | 1.37 |
| P337 | 32 | 1.00 | 1.00 | 1.19 | 1.17 |
Disclaimer/Publisher’s Note: The statements, opinions and data contained in all publications are solely those of the individual author(s) and contributor(s) and not of MDPI and/or the editor(s). MDPI and/or the editor(s) disclaim responsibility for any injury to people or property resulting from any ideas, methods, instructions or products referred to in the content. |
© 2022 by the authors. Licensee MDPI, Basel, Switzerland. This article is an open access article distributed under the terms and conditions of the Creative Commons Attribution (CC BY) license (https://creativecommons.org/licenses/by/4.0/).
Share and Cite
Chen, G.; Huang, Y.; Wu, P.; Feng, R.; Zhou, F. Characteristics of Extreme Wind Pressure on the Open Prefabricated Spatial Grid Structure of Evergrande Stadium. Buildings 2023, 13, 25. https://doi.org/10.3390/buildings13010025
Chen G, Huang Y, Wu P, Feng R, Zhou F. Characteristics of Extreme Wind Pressure on the Open Prefabricated Spatial Grid Structure of Evergrande Stadium. Buildings. 2023; 13(1):25. https://doi.org/10.3390/buildings13010025
Chicago/Turabian StyleChen, Gang, Yongqi Huang, Peng Wu, Ruoqiang Feng, and Fangyuan Zhou. 2023. "Characteristics of Extreme Wind Pressure on the Open Prefabricated Spatial Grid Structure of Evergrande Stadium" Buildings 13, no. 1: 25. https://doi.org/10.3390/buildings13010025
APA StyleChen, G., Huang, Y., Wu, P., Feng, R., & Zhou, F. (2023). Characteristics of Extreme Wind Pressure on the Open Prefabricated Spatial Grid Structure of Evergrande Stadium. Buildings, 13(1), 25. https://doi.org/10.3390/buildings13010025
