Effects of Tree Arrangement and Leaf Area Index on the Thermal Comfort of Outdoor Children’s Activity Space in Hot-Humid Areas
Abstract
1. Introduction
- (1)
- How does the combination of different tree species and planting number affect OTC?
- (2)
- How can OTC be improved through greater efficiency planting forms in CAS?
- (3)
- How can outdoor children’s activity equipment be arranged based on thermal comfort principles?
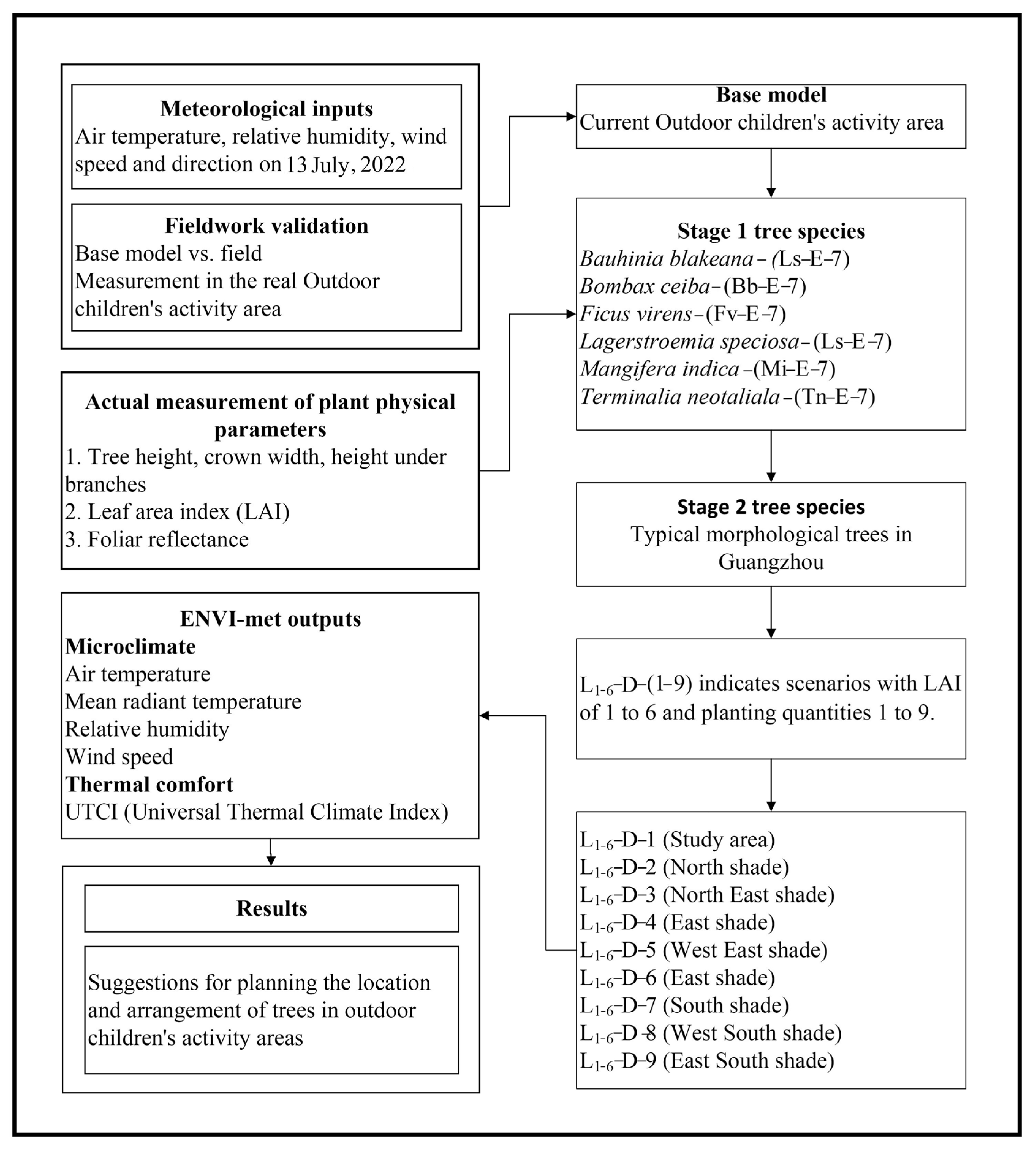
2. Methodology
2.1. Study Sites
2.2. Establishment of the ENVI-met Model
2.3. ENVI-met Validation
2.4. The OTC Evaluation Index
2.5. Case Studies Description
3. Results
3.1. ENVI-met Accuracy Analysis
3.2. Effects of Different Tree Species on OTC
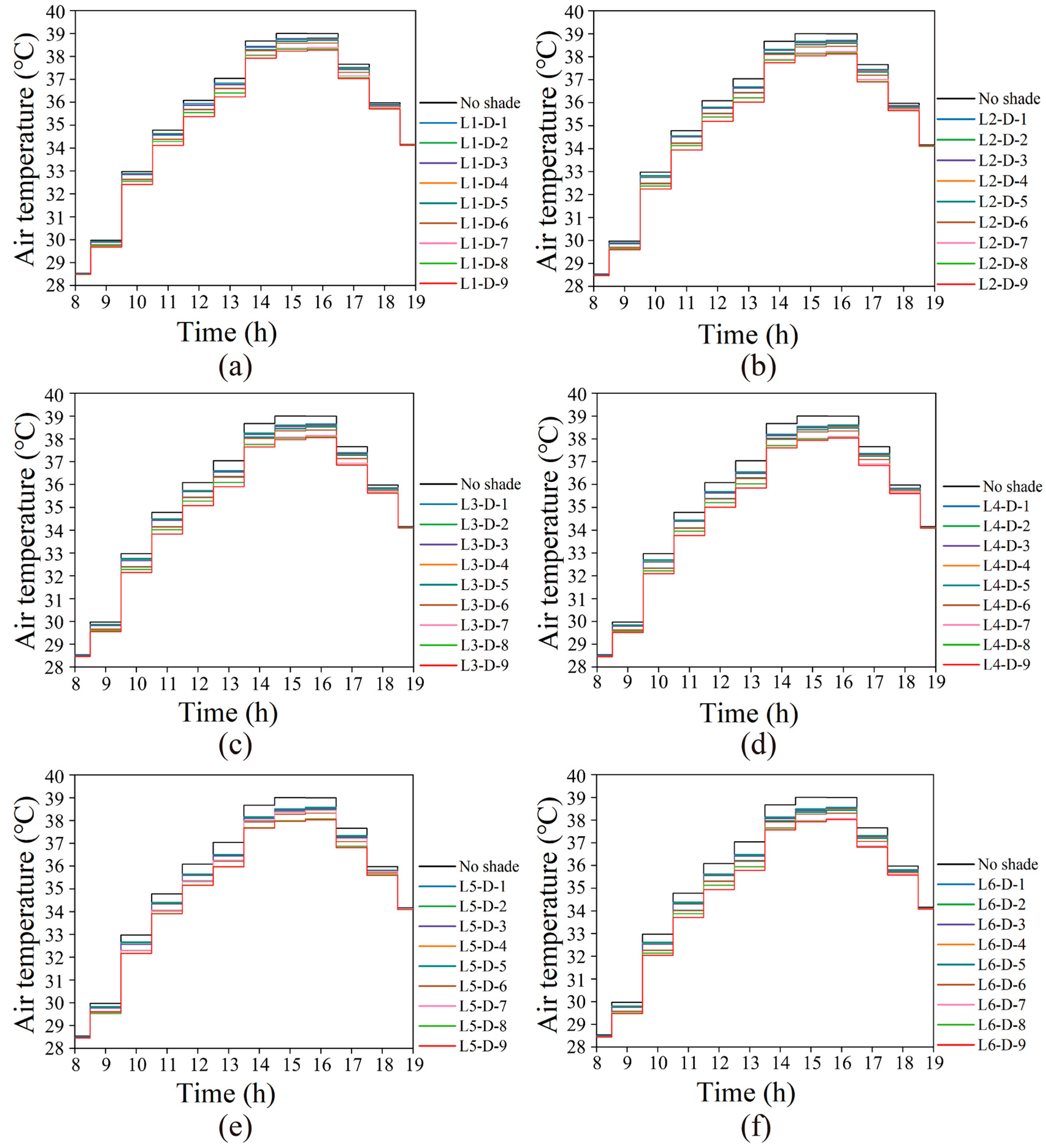
3.3. Effect of Number Planting and LAI on OTC
3.3.1. Air Temperature (Ta)
3.3.2. Mean Radiant Temperature (Tmrt)
3.3.3. Relative Humidity (RH)
3.3.4. Wind Speed (WS)
3.3.5. Universal Thermal Climate Index (UTCI)
4. Discussion
5. Conclusions
Author Contributions
Funding
Institutional Review Board Statement
Informed Consent Statement
Data Availability Statement
Conflicts of Interest
Nomenclature
| OTC | Outdoor thermal comfort |
| UHI | Urban heat island |
| CAS | Children’s activity space |
| LAI | Leaf area index |
| LAD | Leaf area density |
| RMSE | Root mean squared error |
| MAE | Mean absolute error |
| R2 | R-squared |
| Ta | Air temperature |
| Tmrt | Mean radiation temperature |
| RH | Relative humidity |
| WS | Wind speed |
| UTCI | Universal thermal climate index |
| P1–4 | Monitoring point 1–4 |
Appendix A
| Model and Related Properties of Current Trees in ENVI-met | |||||
|---|---|---|---|---|---|
![]() | Name | Cinnamomum camphora | ![]() | Name | Pterocarpus indicus |
| Tree height | 11.2 m | Tree height | 12.2 m | ||
| Canopy | 9.7 m | Canopy | 9.4 m | ||
| Under branch height | 2.1 m | Under branch height | 2.6 m | ||
| Foliage shortwave Albedo | 16% | Foliage shortwave Albedo | 18% | ||
| LAI | 3.5 m2/m2 | LAI | 2.7 m2/m2 | ||
![]() | Name | Ficus religiosa | ![]() | Name | Terminalia neotalial (Underage plant) |
| Tree height | 10.6 m | Tree height | 9.7 m | ||
| Canopy | 8.3 m | Canopy | 4.2 m | ||
| Under branch height | 2.4 m | Under branch height | 4.1 m | ||
| Foliage shortwave Albedo | 15% | Foliage shortwave Albedo | 13% | ||
| LAI | 1.2 m2/m2 | LAI | 1.4 m2/m2 | ||
![]() | Name | Alstonia scholaris | ![]() | Name | Antidesma bunius |
| Tree height | 9.2 m | Tree height | 7.4 m | ||
| Canopy | 8.4 m | Canopy | 7.9 m | ||
| Under branch height | 2.2 m | Under branch height | 2.3 m | ||
| Foliage shortwave Albedo | 16% | Foliage shortwave Albedo | 17% | ||
| LAI | 1.9 m2/m2 | LAI | 2.4 m2/m2 | ||
| 3D Model of Plants in ENVI-met Group and Its Related Properties | |||||
|---|---|---|---|---|---|
![]() | Name | Lagerstroemia speciosa | ![]() | Name | Mangifera indica |
| Tree height | 9.1 m | Tree height | 9.7 m | ||
| Canopy | 7.6 m | Canopy | 7.4 m | ||
| Under branch height | 2.1 m | Under branch height | 2.7 m | ||
| Foliage shortwave Albedo | 19% | Foliage shortwave Albedo | 27% | ||
| LAI | 4.4 m2/m2 | LAI | 2.5 m2/m2 | ||
![]() | Name | Bauhinia blakeana | ![]() | Name | Terminalia neotaliala |
| Tree height | 13.8 m | Tree height | 13.3 m | ||
| Canopy | 9.3 m | Canopy | 6.9 m | ||
| Under branch height | 2.8 m | Under branch height | 4.2 m | ||
| Foliage shortwave Albedo | 31% | Foliage shortwave Albedo | 13% | ||
| LAI | 6.1 m2/m2 | LAI | 6.4 m2/m2 | ||
![]() | Name | Bombax ceiba | ![]() | Name | Ficus virens |
| Tree height | 9.6 m | Tree height | 8.1 m | ||
| Canopy | 8.4 m | Canopy | 9.0 m | ||
| Under branch height | 3.9 m | Under branch height | 2.5 m | ||
| Foliage shortwave Albedo | 17% | Foliage shortwave Albedo | 23% | ||
| LAI | 2.2 m2/m2 | LAI | 3.1 m2/m2 | ||
| Type | Project | Lagerstroemia speciosa | Mangifera indica | Bauhinia blakeana | Terminalia neotaliala | Bombax ceiba | Ficus virens |
|---|---|---|---|---|---|---|---|
| Shape of tree−crown | Tree height (m) | 9.1 | 9.7 | 11.8 | 13.3 | 9.6 | 8.1 |
| Crown amplitude (m) | 7.6 | 7.4 | 9.3 | 6.9 | 8.4 | 9.0 | |
| Under branch height (m) | 2.1 | 2.7 | 2.8 | 4.2 | 3.9 | 2.5 | |
| Blade properties | Foliage short albedo | 0.19 | 0.27 | 0.31 | 0.13 | 0.17 | 0.23 |
| LAI (m2/m2) | 4.4 | 2.5 | 6.1 | 6.4 | 2.2 | 3.1 | |
| LAD (m2/m3) | |||||||
| 1 m | − | − | − | − | − | − | |
| 2 m | − | − | − | − | − | − | |
| 3 m | 0.61 | 0.35 | 0.72 | − | − | 0.52 | |
| 4 m | 0.65 | 0.35 | 0.73 | − | 0.32 | 0.57 | |
| 5 m | 0.68 | 0.36 | 0.76 | 0.66 | 0.35 | 0.68 | |
| 6 m | 0.76 | 0.39 | 0.83 | 0.69 | 0.41 | 0.96 | |
| 7 m | 0.94 | 0.46 | 0.96 | 0.74 | 0.54 | 1.20 | |
| 8 m | 0.78 | 0.60 | 1.20 | 0.83 | 0.87 | 0.69 | |
| 9 m | 0.63 | 0.44 | 1.70 | 0.98 | 0.46 | − | |
| 10 m | − | 0.34 | 1.10 | 1.25 | − | − | |
| 11 m | − | − | 0.84 | 0.97 | − | − | |
| 12 m | − | − | − | 0.74 | − | − | |
| 13 m | − | − | − | 0.21 | − | − | |
| 8:00 | 15:00 | ||||||
|---|---|---|---|---|---|---|---|
| Scene | Scenes | Mean Difference (°C) | Significance | Scene | Scenes | Mean Difference (°C) | Significance |
| L1−6−D−1 | L1−6−D−2 | −0.01161 | p = 0.974 | L1−6−D−1 | L1−6−D−2 | −0.04742 | p = 0.862 |
| L1−6−D−3 | 0.23735 | p = 0.501 | L1−6−D−3 | −0.04702 | p = 0.863 | ||
| L1−6−D−4 | 1.43709 ** | p = 0.000 | L1−6−D−4 | −0.03371 | p = 0.901 | ||
| L1−6−D−5 | 1.41117 ** | p = 0.000 | L1−6−D−5 | 0.26466 | p = 0.333 | ||
| L1−6−D−6 | 1.38812 ** | p = 0.000 | L1−6−D−6 | 1.52980 ** | p = 0.000 | ||
| L1−6−D−7 | 1.47803 ** | p = 0.000 | L1−6−D−7 | 1.69460 ** | p = 0.000 | ||
| L1−6−D−8 | 1.49673 ** | p = 0.000 | L1−6−D−8 | 1.72052 ** | p = 0.000 | ||
| L1−6−D−9 | 1.56238 ** | p = 0.000 | L1−6−D−9 | 1.74250 ** | p = 0.000 | ||
| L1−6−D−2 | L1−6−D−3 | 0.24896 | p = 0.480 | L1−6−D−2 | L1−6−D−3 | 0.00040 | p = 0.999 |
| L1−6−D−4 | 1.44871 ** | p = 0.000 | L1−6−D−4 | 0.01371 | p = 0.960 | ||
| L1−6−D−5 | 1.42278 ** | p = 0.000 | L1−6−D−5 | 0.31208 | p = 0.255 | ||
| L1−6−D−6 | 1.39973 ** | p = 0.000 | L1−6−D−6 | 1.57722 ** | p = 0.000 | ||
| L1−6−D−7 | 1.48965 ** | p = 0.000 | L1−6−D−7 | 1.74202 ** | p = 0.000 | ||
| L1−6−D−8 | 1.50834 ** | p = 0.000 | L1−6−D−8 | 1.76794 ** | p = 0.000 | ||
| L1−6−D−9 | 1.57399 ** | p = 0.000 | L1−6−D−9 | 1.78993 ** | p = 0.000 | ||
| L1−6−D−3 | L1−6−D−4 | 1.19975 ** | p = 0.001 | L1−6−D−3 | L1−6−D−4 | 0.01331 | p = 0.961 |
| L1−6−D−5 | 1.17382 ** | p = 0.002 | L1−6−D−5 | 0.31167 | p = 0.256 | ||
| L1−6−D−6 | 1.15077 ** | p = 0.002 | L1−6−D−6 | 1.57682 ** | p = 0.000 | ||
| L1−6−D−7 | 1.24069 ** | p = 0.001 | L1−6−D−7 | 1.74162 ** | p = 0.000 | ||
| L1−6−D−8 | 1.25938 ** | p = 0.001 | L1−6−D−8 | 1.76754 ** | p = 0.000 | ||
| L1−6−D−9 | 1.32503 ** | p = 0.000 | L1−6−D−9 | 1.78952 ** | p = 0.000 | ||
| L1−6−D−4 | L1−6−D−5 | −0.02592 | p = 0.941 | L1−6−D−4 | L1−6−D−5 | 0.29837 | p = 0.276 |
| L1−6−D−6 | −0.4897 | p = 0.889 | L1−6−D−6 | 1.56352 ** | p = 0.000 | ||
| L1−6−D−7 | 0.04094 | p = 0.907 | L1−6−D−7 | 1.72831 ** | p = 0.000 | ||
| L1−6−D−8 | 0.05964 | p = 0.865 | L1−6−D−8 | 1.75423 ** | p = 0.000 | ||
| L1−6−D−9 | 0.12529 | p = 0.722 | L1−6−D−9 | 1.77622 ** | p = 0.000 | ||
| L1−6−D−5 | L1−6−D−6 | −0.02305 | p = 0.876 | L1−6−D−5 | L1−6−D−6 | 1.26515 ** | p = 0.000 |
| L1−6−D−7 | 0.06686 | p = 0.849 | L1−6−D−7 | 1.42994 ** | p = 0.000 | ||
| L1−6−D−8 | 0.08556 | p = 0.808 | L1−6−D−8 | 1.45587 ** | p = 0.000 | ||
| L1−6−D−9 | 0.15121 | p = 0.668 | L1−6−D−9 | 1.47785 ** | p = 0.000 | ||
| L1−6−D−6 | L1−6−D−7 | 0.08991 | p = 0.798 | L1−6−D−6 | L1−6−D−7 | 0.16479 | p = 0.546 |
| L1−6−D−8 | 0.10861 | p = 0.758 | L1−6−D−8 | 0.19072 | p = 0.485 | ||
| L1−6−D−9 | 0.17426 | p = 0.621 | L1−6−D−9 | 0.213 | p = 0.436 | ||
| L1−6−D−7 | L1−6−D−8 | 0.01870 | p = 0.958 | L1−6−D−7 | L1−6−D−8 | 0.02592 | p = 0.924 |
| L1−6−D−9 | 0.08435 | p = 0.811 | L1−6−D−9 | 0.04791 | p = 0.860 | ||
| L1−6−D−8 | L1−6−D−9 | 0.06565 | p = 0.852 | L1−6−D−8 | L1−6−D−9 | 0.02198 | p = 0.936 |
| 8:00 | 15:00 | ||||||
|---|---|---|---|---|---|---|---|
| Scene | Scenes | Mean Difference (°C) | Significance | Scene | Scenes | Mean Difference (°C) | Significance |
| L1−D−(1−9) | L2−D−(1−9) | 0.56419 | p = 0.095 | L1−D−(1−9) | L2−D−(1−9) | 0.43027 | p = 0.303 |
| L3−D−(1−9) | 0.96461 ** | p = 0.005 | L3−D−(1−9) | 0.70856 | p = 0.093 | ||
| L4−D−(1−9) | 1.24602 ** | p = 0.000 | L4−D−(1−9) | 0.93895 * | p = 0.028 | ||
| L5−D−(1−9) | 1.46004 ** | p = 0.000 | L5−D−(1−9) | 1.13070 ** | p = 0.009 | ||
| L6−D−(1−9) | 1.59267 ** | p = 0.000 | L6−D−(1−9) | 1.23156 ** | p = 0.004 | ||
| L2−D−(1−9) | L3−D−(1−9) | 0.40042 | p = 0.233 | L2−D−(1−9) | L3−D−(1−9) | 0.27829 | p = 0.504 |
| L4−D−(1−9) | 0.68183 * | p = 0.045 | L4−D−(1−9) | 0.50868 | p = 0.224 | ||
| L5−D−(1−9) | 0.89585 ** | p = 0.009 | L5−D−(1−9) | 0.70043 | p = 0.096 | ||
| L6−D−(1−9) | 1.02848 ** | p = 0.003 | L6−D−(1−9) | 0.80129 | p = 0.058 | ||
| L3−D−(1−9) | L4−D−(1−9) | 0.28140 | p = 0.400 | L3−D−(1−9) | L4−D−(1−9) | 0.23039 | p = 0.580 |
| L5−D−(1−9) | 0.49543 | p = 0.141 | L5−D−(1−9) | 0.42214 | p = 0.312 | ||
| L6−D−(1−9) | 0.62806 | p = 0.064 | L6−D−(1−9) | 0.52300 | p = 0.212 | ||
| L4−D−(1−9) | L5−D−(1−9) | 0.21403 | p = 0.521 | L4−D−(1−9) | L5−D−(1−9) | 0.19175 | p = 0.645 |
| L6−D−(1−9) | 0.34665 | p = 0.300 | L6−D−(1−9) | 0.29261 | p = 0.482 | ||
| L5−D−(1−9) | L6−D−(1−9) | 0.13263 | p = 0.691 | L5−D−(1−9) | L6−D−(1−9) | 0.10086 | p = 0.808 |
References
- Oke, T.R. The energetic basis of the urban heat island. Q. J. R. Meteorol. Soc. 1982, 108, 1–24. [Google Scholar] [CrossRef]
- Bretschger, L.; Zhang, L. Carbon policy in a high-growth economy: The case of China. Resour. Energy Econ. 2017, 47, 1–19. [Google Scholar] [CrossRef]
- Fong, K.F.; Chow, T.T.; Lee, C.K.; Lin, Z.; Chan, L.S. Comparative study of different solar cooling systems for buildings in subtropical city. Sol. Energy 2010, 84, 227–244. [Google Scholar] [CrossRef]
- Ma, W.; Chen, R.; Kan, H. Temperature-related mortality in 17 large Chinese cities: How heat and cold affect mortality in China. Environ. Res. 2014, 134, 127–133. [Google Scholar] [CrossRef] [PubMed]
- Teli, D.; Jentsch, M.F.; James, P.A.B. Naturally ventilated classrooms: An assessment of existing comfort models for predicting the thermal sensation and preference of primary school children. Energy Build. 2012, 53, 166–182. [Google Scholar] [CrossRef]
- Cheng, W.; Brown, R.D. An energy budget model for estimating the thermal comfort of children. Int. J. Biometeorol. 2020, 64, 1355–1366. [Google Scholar] [CrossRef]
- Chen, Q.; Lin, C.; Guo, D.; Hou, Y.; Lai, D. Studies of outdoor thermal comfort in northern China. Build. Environ. 2014, 77, 110–118. [Google Scholar] [CrossRef]
- Nam, I.; Yang, J.; Lee, D.; Park, E.; Sohn, J.-R. A study on the thermal comfort and clothing insulation characteristics of preschool children in Korea. Build. Environ. 2015, 92, 724–733. [Google Scholar] [CrossRef]
- Lai, D.; Liu, J.; Wu, Z.; Pei, J.; Qi, Y.; Zhang, H.; Yoshino, H. Thermal comfort diversity in Chinese urban residential buildings across various climates. Energy Build. 2020, 231, 110632. [Google Scholar] [CrossRef]
- Laaksoharju, T.; Rappe, E. Trees as affordances for connectedness to place—A framework to facilitate children’s relationship with nature. Urban For. Urban Green. 2017, 28, 150–159. [Google Scholar] [CrossRef]
- Flouri, E.; Midouhas, E.; Joshi, H. The role of urban neighbourhood green space in children’s emotional and behavioural resilience. J. Environ. Psychol. 2014, 40, 179–186. [Google Scholar] [CrossRef]
- Vella-Brodrick, D.A.; Gilowska, K. Effects of Nature (Greenspace) on Cognitive Functioning in School Children and Adolescents: A Systematic Review. Educ. Psychol. Rev. 2022, 34, 1217–1254. [Google Scholar] [CrossRef]
- Vanos, J.K. Children’s health and vulnerability in outdoor microclimates: A comprehensive review. Environ. Int. 2015, 76, 1–15. [Google Scholar] [CrossRef]
- Aghamohammadi, N.; Fong, C.S.; Idrus, M.H.M.; Ramakreshnan, L.; Sulaiman, N.M. Environmental heat-related health symptoms among community in a tropical city. Sci. Total. Environ. 2021, 782, 146611. [Google Scholar] [CrossRef]
- Labosier, C.F.; Beckman, J.; Robinson, T.; Tennis, D. Preliminary findings of thermal safety in children’s outdoor playhouses. Int. J. Biometeorol. 2019, 63, 1303–1307. [Google Scholar] [CrossRef]
- Huang, H.; Yang, H.; Chen, Y.; Chen, T.; Bai, L.; Peng, Z.-R. Urban green space optimization based on a climate health risk appraisal—A case study of Beijing city, China. Urban For. Urban Green. 2021, 62, 127154. [Google Scholar] [CrossRef]
- Qi, J.; Wang, J.; Zhai, W.; Wang, J.; Jin, Z. Are There Differences in Thermal Comfort Perception of Children in Comparison to Their Caregivers’ Judgments? A Study on the Playgrounds of Parks in China’s Hot Summer and Cold Winter Region. Sustainability 2022, 14, 10926. [Google Scholar] [CrossRef]
- Bäcklin, O.; Lindberg, F.; Thorsson, S.; Rayner, D.; Wallenberg, N. Corrigendum to Outdoor heat stress at preschools during an extreme summer in Gothenburg, Sweden—Preschool teachers’ experiences contextualized by radiation modelling. Sustain. Cities Soc. 2022, 83, 103324. [Google Scholar] [CrossRef]
- Antoniadis, D.; Katsoulas, N.; Papanastasiou, D. Thermal Environment of Urban Schoolyards: Current and Future Design with Respect to Children’s Thermal Comfort. Atmosphere 2020, 11, 1144. [Google Scholar] [CrossRef]
- Cai, K.; Huang, W.; Lin, G. Bridging landscape preference and landscape design: A study on the preference and optimal combination of landscape elements based on conjoint analysis. Urban For. Urban Green. 2022, 73, 127615. [Google Scholar] [CrossRef]
- Morakinyo, T.E.; Kong, L.; Lau, K.K.-L.; Yuan, C.; Ng, E. A study on the impact of shadow-cast and tree species on in-canyon and neighborhood’s thermal comfort. Build. Environ. 2017, 115, 1–17. [Google Scholar] [CrossRef]
- Xu, M.; Hong, B.; Jiang, R.; An, L.; Zhang, T. Outdoor thermal comfort of shaded spaces in an urban park in the cold region of China. Build. Environ. 2019, 155, 408–420. [Google Scholar] [CrossRef]
- Rahman, M.A.; Moser, A.; Rötzer, T.; Pauleit, S. Within canopy temperature differences and cooling ability of Tilia cordata trees grown in urban conditions. Build. Environ. 2017, 114, 118–128. [Google Scholar] [CrossRef]
- Dan-Na, L.I.; Chu, Z.; Yao, X. A numerical method for the simulation of wind speed in laboratory. J. Dalian Univ. 2006, 27, 2. [Google Scholar]
- Brown, R.D.; Gillespie, T. Microclimatic Landscape Design: Creating Thermal Comfort and Energy Efficiency; Wiley: New York, NY, USA, 1995; Volume 1. [Google Scholar]
- Morakinyo, T.E.; Lam, Y.F. Simulation study on the impact of tree-configuration, planting pattern and wind condition on street-canyon’s micro-climate and thermal comfort. Build. Environ. 2016, 103, 262–275. [Google Scholar] [CrossRef]
- Shahidan, M.F.; Shariff, M.K.; Jones, P.; Salleh, E.; Abdullah, A.M. A comparison of Mesua ferrea L. and Hura crepitans L. for shade creation and radiation modification in improving thermal comfort. Landsc. Urban Plan. 2010, 97, 168–181. [Google Scholar] [CrossRef]
- Sanusi, R.; Johnstone, D.; May, P.; Livesley, S.J. Microclimate benefits that different street tree species provide to sidewalk pedestrians relate to differences in Plant Area Index. Landsc. Urban Plan. 2017, 157, 502–511. [Google Scholar] [CrossRef]
- McPherson, E.G.; Xiao, Q.; van Doorn, N.S.; Johnson, N.; Albers, S.; Peper, P.J. Shade factors for 149 taxa of in-leaf urban trees in the USA. Urban For. Urban Green. 2018, 31, 204–211. [Google Scholar] [CrossRef]
- Moser, A.; Rahman, M.A.; Pretzsch, H.; Pauleit, S.; Rötzer, T. Inter- and intra-annual growth patterns of urban small-leaved lime (Tilia cordata mill.) at two public squares with contrasting microclimatic conditions. Int. J. Biometeorol. 2016, 61, 1095–1107. [Google Scholar] [CrossRef]
- Stratópoulos, L.M.F.; Duthweiler, S.; Häberle, K.-H.; Pauleit, S. Effect of native habitat on the cooling ability of six nursery-grown tree species and cultivars for future roadside plantings. Urban For. Urban Green. 2018, 30, 37–45. [Google Scholar] [CrossRef]
- Shahidan, M.F.; Jones, P. 179: Plant canopy design in modifying urban thermal environment: Theory and guidelines. In Proceedings of the 25th Conference on Passive and Low Energy Architecture-PLEA, Dublin, Ireland, 22–24 October 2008. [Google Scholar]
- Hong, B.; Lin, B. Numerical studies of the outdoor wind environment and thermal comfort at pedestrian level in housing blocks with different building layout patterns and trees arrangement. Renew. Energy 2015, 73, 18–27. [Google Scholar] [CrossRef]
- Walker, T.D. Planting Design; John Wiley & Sons: New York, NY, USA, 1991. [Google Scholar]
- Zhao, D.; Lei, Q.; Shi, Y.; Wang, M.; Chen, S.; Shah, K.; Ji, W. Role of Species and Planting Configuration on Transpiration and Microclimate for Urban Trees. Forests 2020, 11, 825. [Google Scholar] [CrossRef]
- Ouyang, W.; Morakinyo, T.E.; Ren, C.; Ng, E. The cooling efficiency of variable greenery coverage ratios in different urban densities: A study in a subtropical climate. Build. Environ. 2020, 174, 106772. [Google Scholar] [CrossRef]
- Liu, H.; Lim, J.Y.; Thet, B.W.H.; Lai, P.-Y.; Koh, W.S. Evaluating the impact of tree morphologies and planting densities on outdoor thermal comfort in tropical residential precincts in Singapore. Build. Environ. 2022, 221, 109268. [Google Scholar] [CrossRef]
- Tan, Z.; Lau, K.K.-L.; Ng, E. Planning strategies for roadside tree planting and outdoor comfort enhancement in subtropical high-density urban areas. Build. Environ. 2017, 120, 93–109. [Google Scholar] [CrossRef]
- Shih, W.-M.; Lin, T.-P.; Tan, N.-X.; Liu, M.-H. Long-term perceptions of outdoor thermal environments in an elementary school in a hot-humid climate. Int. J. Biometeorol. 2017, 61, 1657–1666. [Google Scholar] [CrossRef] [PubMed]
- Fang, Z.; Xu, X.; Zhou, X.; Deng, S.; Wu, H.; Liu, J.; Lin, Z. Investigation into the thermal comfort of university students conducting outdoor training. Build. Environ. 2018, 149, 26–38. [Google Scholar] [CrossRef]
- Zhang, Y.; Lin, Z.; Fang, Z.; Zheng, Z. An improved algorithm of thermal index models based on ENVI-met. Urban Clim. 2022, 44, 101190. [Google Scholar] [CrossRef]
- Zhang, Q.; Huang, J. Chinese Typical Year Weather Data for Architectural Use; China Machine Press: Beijing, China, 2004. [Google Scholar]
- Yang, X.; Zhao, L.; Bruse, M.; Meng, Q. Evaluation of a microclimate model for predicting the thermal behavior of different ground surfaces. Build. Environ. 2013, 60, 93–104. [Google Scholar] [CrossRef]
- Bruse, M. ENVI-met 3.0: Updated Model Overview. University of Bochum. Available online: www.ENVI-met.com (accessed on 1 May 2021).
- Yang, J.; Zhao, Y.; Zou, Y.; Xia, D.; Lou, S.; Guo, T.; Zhong, Z. Improving the Thermal Comfort of an Open Space via Landscape Design: A Case Study in Hot and Humid Areas. Atmosphere 2022, 13, 1604. [Google Scholar] [CrossRef]
- Ouyang, W.; Sinsel, T.; Simon, H.; Morakinyo, T.E.; Liu, H.; Ng, E. Evaluating the thermal-radiative performance of ENVI-met model for green infrastructure typologies: Experience from a subtropical climate. Build. Environ. 2021, 207, 108427. [Google Scholar] [CrossRef]
- Simon, H. Modeling Urban Microclimate: Development, Implementation and Evaluation of New and Improved Calculation Methods for the Urban Microclimate Model ENVI-met. Ph.D. Thesis, Johannes Gutenberg-Universität Mainz, Mainz, Germany, 2016. [Google Scholar]
- Liu, Z.; Zheng, S.; Zhao, L. Evaluation of the ENVI-met Vegetation Model of Four Common Tree Species in a Subtropical Hot-humid Area. Atmosphere 2018, 9, 198. [Google Scholar] [CrossRef]
- Liu, Z.; Tan, G.; Zhao, L. Simplification Method for Building Tree Models in ENVI-met: A Case Study of Ficus microcarpa. Guangdong Landsc. Archit. 2018, 46, 83–87. [Google Scholar]
- Kain, J.S. The Kain-Fritsch Convective Parameterization: An Update. J. Appl. Meteor. 2004, 43, 170–181. [Google Scholar] [CrossRef]
- Salata, F.; Golasi, I.; de Lieto Vollaro, R.; de Lieto Vollaro, A. Urban microclimate and outdoor thermal comfort. A proper procedure to fit ENVI-met simulation outputs to experimental data. Sustain. Cities Soc. 2016, 26, 318–343. [Google Scholar] [CrossRef]
- Stewart, I.D.; Oke, T.R. Local Climate Zones for Urban Temperature Studies. Bull. Am. Meteorol. Soc. 2012, 93, 1879–1900. [Google Scholar] [CrossRef]
- Bruse, M.; Fleer, H. Simulating surface-plant-air interactions inside urban environments with a three dimensional numerical model. Environ. Model. Softw. 1998, 13, 373–384. [Google Scholar] [CrossRef]
- Blazejczyk, K.; Epstein, Y.; Jendritzky, G.; Staiger, H.; Tinz, B. Comparison of UTCI to selected thermal indices. Int. J. Biometeorol. 2011, 56, 515–535. [Google Scholar] [CrossRef]
- Błażejczyk, K.; Bröde, P.; Fiala, D.; Havenith, G.; Holmér, I.; Jendritzky, G.; Kampmann, B.; Kunert, A. Principles of the New Universal Thermal Climate Index (UTCI) and its Application to Bioclimatic Research in European Scale. Misc. Geogr.–Reg. Stud. Dev. 2010, 14, 91–102. [Google Scholar] [CrossRef]
- Huang, B.; Hong, B.; Tian, Y.; Yuan, T.; Su, M. Outdoor thermal benchmarks and thermal safety for children: A study in China’s cold region. Sci. Total. Environ. 2021, 787, 147603. [Google Scholar] [CrossRef]
- Broede, P.; Fiala, D.; Blazejczyk, K.; Holmér, I.; Jendritzky, G.; Kampmann, B.; Tinz, B.; Havenith, G. Deriving the operational procedure for the Universal Thermal Climate Index (UTCI). Int. J. Biometeorol. 2011, 56, 481–494. [Google Scholar] [CrossRef] [PubMed]
- Linfneg, W.; Xiujun, W.; Zhaohui, S.; Zhengchun, X. Investigation of Trees’ Species and Growth in Guangzhou’s Urban Green Spaces. J. Chin. Urban For. 2014, 12, 39–42. (In Chinese) [Google Scholar]
- Yang, J.; Zhao, Y.; Zou, Y.; Xia, D.; Lou, S.; Liu, W.; Ji, K. Effects of Tree Species and Layout on the Outdoor Thermal Environment of Squares in Hot-humid Areas of China. Buildings 2022, 12, 1867. [Google Scholar] [CrossRef]
- Wujeska-Klause, A.; Pfautsch, S. The Best Urban Trees for Daytime Cooling Leave Nights Slightly Warmer. Forests 2020, 11, 945. [Google Scholar] [CrossRef]
- Ali, S.B.; Patnaik, S. Thermal comfort in urban open spaces: Objective assessment and subjective perception study in tropical city of Bhopal, India. Urban Clim. 2018, 24, 954–967. [Google Scholar] [CrossRef]
- Djekic, J.; Mitkovic, P.; Dinic-Brankovic, M.; Igic, M.; Djekic, P.; Mitkovic, M. The study of effects of greenery on temperature reduction in urban areas. Therm. Sci. 2018, 22, 988–1000. [Google Scholar] [CrossRef]
- Liu, Y.; Wu, Z.; Huang, X.; Shen, H.; Bai, Y.; Qiao, K.; Meng, X.; Hu, W.; Tang, M.; He, L. Aerosol Phase State and Its Link to Chemical Composition and Liquid Water Content in a Subtropical Coastal Megacity. Environ. Sci. Technol. 2019, 53, 5027–5033. [Google Scholar] [CrossRef]
- Upreti, R.; Wang, Z.-H.; Yang, J. Radiative shading effect of urban trees on cooling the regional built environment. Urban For. Urban Green. 2017, 26, 18–24. [Google Scholar] [CrossRef]
- Hsieh, C.-M.; Jan, F.-C.; Zhang, L. A simplified assessment of how tree allocation, wind environment, and shading affect human comfort. Urban For. Urban Green. 2016, 18, 126–137. [Google Scholar] [CrossRef]
- Yu, Y.; Liu, J.; Chauhan, K.; de Dear, R.; Niu, J. Experimental study on convective heat transfer coefficients for the human body exposed to turbulent wind conditions. Build. Environ. 2019, 169, 106533. [Google Scholar] [CrossRef]
- Judd, M.J.; Raupach, M.R.; Finnigan, J.J. A wind tunnel study of turbulent flow around single and multiple windbreaks, part I: Velocity fields. Bound.–Layer Meteorol. 1996, 80, 127–165. [Google Scholar] [CrossRef]
- Leenders, J.K.; van Boxel, J.H.; Sterk, G. The effect of single vegetation elements on wind speed and sediment transport in the Sahelian zone of Burkina Faso. Earth Surf. Process. Landf. 2007, 32, 1454–1474. [Google Scholar] [CrossRef]
- Zhang, J.; Khoshbakht, M.; Liu, J.; Gou, Z.; Xiong, J.; Jiang, M. A clustering review of vegetation-indicating parameters in urban thermal environment studies towards various factors. J. Therm. Biol. 2022, 110, 103340. [Google Scholar] [CrossRef]
- Rahman, M.A.; Hartmann, C.; Moser-Reischl, A.; von Strachwitz, M.F.; Paeth, H.; Pretzsch, H.; Pauleit, S.; Rötzer, T. Tree cooling effects and human thermal comfort under contrasting species and sites. Agric. For. Meteorol. 2020, 287, 107947. [Google Scholar] [CrossRef]
- Brown, R.D.; Corry, R.C. Evidence-based landscape architecture: The maturing of a profession. Landsc. Urban Plan. 2011, 100, 327–329. [Google Scholar] [CrossRef]
















| Measured Instrument | Measured Parameters | Instrument Range | Instrument Accuracy | Record Time Interval | |
|---|---|---|---|---|---|
![]() | Kestrel5500 (USA) | Wind speed | 0~5 m/s | ±0.05 m/s | Machine records 5 min/time |
![]() | HOBO Pro (USA) | Air temperature | −40~70 °C | ±0.5 °C | Machine records 5 min/time |
| HOBO Pro (USA) | Relative humidity | 0~100% | ±2.5% | Machine records 5 min/time | |
![]() | TBQ-2 (China) | Solar radiation | 280~3000 nm | 10.436 µV/Wm2 | Note 2 min/times |
| Boundary Conditions of the Simulation Process by ENVI-met Model | |
|---|---|
| Guangzhou | 23°13′ N; 113°20′ E |
| Simulation date | On 13 July 2022 |
| Simulation time | From 8:00:00 to 19:00:00 |
| Model dimensions | X−Grids:86 Y-Grids:83 Z-Grids:35 |
| Grid cell | dx = 1 dy = 1 dz = 1 |
| Wind speed (10 m) | 0–1.7 m/s |
| Wind direction (N:0, S:180) | 135° |
| Cloud cover | 0 |
| Air temperature | 26.1–37.9 °C |
| Relative humidity | 38.76–74.6% |
| UTCI index calculation | Bio-met process |
| Results visualization | Leonardo visualization tool |
| Thermal Sensitivity | UTCI (°C): | Thermal Sensitivity | UTCI (°C): |
|---|---|---|---|
| Neutral | 26 | Slight cold stress | 0–9 |
| Moderate heat stress | 26–32 | Moderate cold stress | −13–0 |
| Strong heat stress | 32–38 | Strong cold stress | −27–(−13) |
| Very strong heat stress | 38–46 | Very strong cold stress | −27–(−40) |
| Extreme heat stress | >46 | Extreme cold stress | <−40 |
| Site Situation | Describe | ||||
|---|---|---|---|---|---|
| Serial number | Image | “A–B–C”: where “A” denotes tree species, “B” denotes site boundary conditions and “C” denotes the number of trees on the site. | |||
| Sp−E−7 | ![]() | “Sp” denotes existing trees on the site, “E” denotes the presence of arborvitae at the site boundary. In this scene, the accuracy of the ENVI-met model is verified. | |||
| The first stage | |||||
| Serial number | Image | Serial number | Image | Serial number | Image |
| Ls−E−7 | ![]() | Bb−E−7 | ![]() | Fv−E−7 | ![]() |
| Mi−E−7 | ![]() | Bc−E−7 | ![]() | Tn−E−7 | ![]() |
| “Ls” denotes Lagerstroemia speciosa, “Mi” denotes Mangifera indica, “Bb” denotes Bauhinia blakeana, “Tn” denotes Terminalia neotaliala, “Bc” denotes Bombax ceiba, and “Fv” denotes Ficus virens. | |||||
| The second stage | |||||
| Serial number | Image | The second stage of the study unfolded based on the results of R2 between Bb−D−7 and Bb−E−7, and Mi−D−7 and Mi−E−7. The specific planting forms for the second stage are shown below. Where “D” denotes no trees on the site boundary, L1 indicates a tree with an LAI of 1; L1−6 indicates trees with LAI of 1 to 6, respectively; L1−6−D−1 indicates scenes with LAI of 1 to 6 and planting quantities 1; L1−6−D−(1−9) indicates scenes with LAI of 1 to 6 and planting quantities 1 to 9. | |||
| Bb−D−7 | ![]() | ||||
| Mi−D−7 | ![]() | ||||
| Serial number | Image | Serial number | Image | Serial number | Image |
| L1−6−D−1 | ![]() | L1−6−D−2 | ![]() | L1−6−D−3 | ![]() |
| L1−6−D−4 | ![]() | L1−6−D−5 | ![]() | L1−6−D−6 | ![]() |
| L1−6−D−7 | ![]() | L1−6−D−8 | ![]() | L1−6−D−9 | ![]() |
| Meteorological Elements | Indicators | P1 | P2 | P3 | P4 |
|---|---|---|---|---|---|
| Air temperature | RMSE/°C | 0.69 °C | 1.22 °C | 0.61 °C | 0.58 °C |
| MAE/°C | 0.56 °C | 1.07 °C | 0.57 °C | 0.49 °C | |
| R2 | 0.94 | 0.85 | 0.98 | 0.90 | |
| Relative humidity | RMSE/% | 2.16% | 1.29% | 2.54% | 1.74% |
| MAE/% | 1.79% | 1.03% | 2.09% | 1.49% | |
| R2 | 0.93 | 0.96 | 0.92 | 0.95 |
Disclaimer/Publisher’s Note: The statements, opinions and data contained in all publications are solely those of the individual author(s) and contributor(s) and not of MDPI and/or the editor(s). MDPI and/or the editor(s) disclaim responsibility for any injury to people or property resulting from any ideas, methods, instructions or products referred to in the content. |
© 2023 by the authors. Licensee MDPI, Basel, Switzerland. This article is an open access article distributed under the terms and conditions of the Creative Commons Attribution (CC BY) license (https://creativecommons.org/licenses/by/4.0/).
Share and Cite
Guo, T.; Zhao, Y.; Yang, J.; Zhong, Z.; Ji, K.; Zhong, Z.; Luo, X. Effects of Tree Arrangement and Leaf Area Index on the Thermal Comfort of Outdoor Children’s Activity Space in Hot-Humid Areas. Buildings 2023, 13, 214. https://doi.org/10.3390/buildings13010214
Guo T, Zhao Y, Yang J, Zhong Z, Ji K, Zhong Z, Luo X. Effects of Tree Arrangement and Leaf Area Index on the Thermal Comfort of Outdoor Children’s Activity Space in Hot-Humid Areas. Buildings. 2023; 13(1):214. https://doi.org/10.3390/buildings13010214
Chicago/Turabian StyleGuo, Tongye, Yang Zhao, Jiahao Yang, Zhengnan Zhong, Kefu Ji, Ziyu Zhong, and Xinyi Luo. 2023. "Effects of Tree Arrangement and Leaf Area Index on the Thermal Comfort of Outdoor Children’s Activity Space in Hot-Humid Areas" Buildings 13, no. 1: 214. https://doi.org/10.3390/buildings13010214
APA StyleGuo, T., Zhao, Y., Yang, J., Zhong, Z., Ji, K., Zhong, Z., & Luo, X. (2023). Effects of Tree Arrangement and Leaf Area Index on the Thermal Comfort of Outdoor Children’s Activity Space in Hot-Humid Areas. Buildings, 13(1), 214. https://doi.org/10.3390/buildings13010214

































