Abstract
Influenced by educational policies and newly emerging educational philosophies, the proportion of public space is expanding in primary and secondary schools in China. Consequently, the atrium in school design is increasingly drawing attention due to the consideration of space efficiency and its accommodability for diverse activities. Although many studies have already explored the daylighting performance of atriums, the particularities of primary and secondary schools are rarely noticed, which leads to the lack of a reliable basis for a quick judgment in the early design stage. This study used the annual daylight metrics of Spatial Daylight Autonomy (sDA300,50%) and Annual Sunlight Exposure (ASE1000,250 h) as the indicators, built a parametric model in Grasshopper, conducted the simulation using the Ladybug–Honeybee plug-in, and separately performed the linear regression analysis on the three groups of data from the different types of atriums. The results show that in Nanjing’s climate, the north and east sides of atriums are the most suitable orientations for classrooms, and a corridor width of 3 m ensures high-quality daylight for the bottom floors. The optimal design equations for atrium width and length are provided for the three types of atriums, respectively, hopefully, to ensure that classrooms surrounding the atrium can reach the requirement of sDA300,50% ≥ 0.75, and the design recommendations are offered based on the results.
1. Introduction
The school design patterns in China are changing from “single corridor with fixed classrooms” to “multiple public spaces connecting class groups” [1]. Previously, the “long and single corridors” characterized the spatial paradigm of most schools in China due to the efficiency-first belief [2]. However, the long traffic path and simple space create difficulties for teaching efficiency and teaching method adjustment [1,2]. With the implementation of “Quality Education” [3] and “Class Selection System” [4] policies, and the influence of new educational methods such as the “STEAM” method [5], Multi-age Classroom [6] and Informal Learning [7], compounding and diverse variations have appeared in school designs in recent years [8]; public spaces with high flexibility and adaptability which draw public attention are increasingly used in China [1,9].
The atrium is an important component in teaching spaces [1,8,10]. On the one hand, an atrium could promote physical activity and social interaction [10,11], shape cultural scenes and enhance the sense of space [12,13]. On the other hand, an atrium brings daylight into the center of the building and connects adjacent spaces to the outside world [14,15], which is significant because daylight from the atrium can replace or reduce artificial lighting, as well as lower energy consumption [16].
Daylight is considered a prime factor in school design because of its comprehensive effects on students [17,18,19,20]. Research has shown that natural daylight has both physiological and psychological effects on students’ visual capabilities, productivity and comfort [21,22]. Good daylight is linked to better emotions and higher motivation, and can enhance the immune system, lower eyestrain and even improve achievements [23,24]. Additionally, daylight is beneficial in regulating students’ circadian rhythms, as well as minimizing the physiological, cognitive, and health effects of circadian disruption caused by an electrical lighting environment [25].
Many studies have explored the daylighting of atriums and revealed that the daylighting performance of an atrium largely depends on its geometric characteristics [26,27,28,29,30,31,32,33,34,35,36] (Table 1). The main characteristics can be categorized into three types: (1) the skylight system (skylight height, shape, scale); (2) the atrium form (atrium height, shapes, scale); (3) the surrounding interface (corridors, windows, etc.).
Table 1.
Review of the atrium daylight studies about the building types and parameter targets.
These studies greatly contribute to our understanding of atriums. However, few studies particularly focused on the atrium design for the classrooms of primary and secondary schools. The design of school buildings is different from that of other buildings, often due to the requirements of national standards. For example, the Code for Design of School GB50099-2011 issued in China [37] specifies the design modules and the number of floors for primary and secondary schools, which can cause the specificity of the classroom daylight and the inapplicability of the geometric indicators of the WI index and SAR; the vacations of primary and secondary schools also specify the occupancy profile for simulation.
Therefore, this study aims to evaluate the impact of atrium parameters on the daylighting environment of surrounding classrooms in primary and secondary schools. Specifically, this study:
(1) Analyzed the relationship between Spatial Daylight Autonomy (sDA300,50%), Annual Sunlight Exposure (ASE1000,250 h) and the parameters (orientation, floor and scale) of the atrium;
(2) Obtained design equations and provided suggestions for atrium design to optimize daylighting performance.
The final conclusions are expected to provide a reference for the designers, enable them to control daylighting performance in the early design stage through a convenient process, and hopefully improve the daylight environment of projects in the context of fast-paced construction in China.
2. Research Methodology
2.1. Research Process
The research process mainly consisted of four steps: (1) parametric simulation, (2) descriptive analysis, (3) regression analysis of the simulation results, and (4) derivation of design equations and suggestions (Figure 1).
Figure 1.
Research flow chart.
2.2. Model Configurations
The atrium-based teaching space was divided into three areas: classrooms and supporting areas on the outside, corridors and traffic spaces in the middle, and the atrium light box in the center. The classroom is the most important teaching space where students spend the most time, therefore the classroom units were set in four orientations as the simulation objects, and the surrounding spaces’ design indexes (i.e., the atrium length L, atrium width W and corridor width x) were set as the parameters. Based on design conventions and the national standard [37], the setting of the classroom unit was defined, the interior and exterior windows were set to 2.1 m height, 2.4 m wide with 1.0 m of sill height and 0.9 m of shade depth, and the entire model was set to 4 floors with 3.9 m floor height; the skylight was set to flat form. The final model configurations are shown in Figure 2.

Figure 2.
The model configurations.
2.3. Atrium Types and Parameters
Based on practical experience, the main atrium forms of a school building in China can be categorized into 4 types: retreat type, group type, corridor type and complex type [38]. Among them, the retreat type reflecting health concerns is usually for the classrooms which always receive enough daylight because of the 1-floor daylight depth. The group type is mainly for mixed-age teaching and inter-class communication. The corridor type is always for informal learning spaces and the complex type of atrium is generally used for the STEAM center. The general scales of the 4 types are summarized in Figure 3.
Figure 3.
Atrium types and scales.
Accordingly, a parametric model was built with Grasshopper and the parameter ranges were set up; the atrium lengths and widths were set in a range from 9 m to 54 m (as shown in Table 2, the adjacent two columns or rows are distanced by 9, as 9 m is the conventional length of the classroom), and the corridor widths were set to 3 m, 4.5 m and 6 m. Therefore, the following 36 atriums under the 3 different corridor widths were modeled for simulation.
Table 2.
Parameters (m) of simulation models.
2.4. Simulation Settings
2.4.1. Software and Metrics
This study adopted the parametric simulation method. Taking advantage of the easy parametric control in Grasshopper, the simulation was conducted using the Ladybug–Honeybee plug-in, which uses Radiance as its calculation core, and whose accuracy was proven by quite a number of studies [31,34,39,40]. The simulation results were imported into SPSS for regression analysis [41,42].
The central daylight standard adopted in China [43] uses Daylight Factor (DF) as the evaluation indicator. However, DF lacks the concern of orientation and local climate and was gradually replaced by annual daylight factors such as Useful Daylight Illuminance (UDI) and Daylight Autonomy (DA) internationally. Spatial Daylight Autonomy (sDA300,50%) and Annual Sunlight Exposure (ASE1000,250 h), which were published by IESNA (Illuminating Engineering Society of North America) as the daylight evaluation methods in 2012 [44], were adopted by the latest LEED and WELL standards [45,46] as primary evaluation methods and used in quite a few studies [27,47]. Therefore, sDA300,50% and ASE1000,250 h were used as the major metrics for the simulation in this study.
2.4.2. Climate Data
The weather file of Nanjing (118.8° E, 31.0° N) from EnergyPlus [48] was adopted. Nanjing has a subtropical monsoon climate with distinct seasons and is assigned to the Ⅳ daylight zone in China (based on the annual average illuminance calculated with the climate data collected in 30 years) [43], which is an important zone that covers most of the southeast coast of China (Figure 4).
Figure 4.
Geographic information on Nanjing. (a) Daylight Zone of China 1. (b) Solar path of Nanjing. 1 the map is based on the standard map with the review number GS(2019)1673 downloaded from the National Platform for Common Geospatial Information Services of China [49], and the base map is not modified.
2.4.3. Occupancy Profile
The simulation was scheduled from 01 March to 30 June and from 01 September to 31 January, 8:00 am to 18:00 pm on weekdays, as the time from July to August, generally, is the summer vacation and February is the winter vacation in China.
2.4.4. Material Attributes
Based on the reflectance range described by the standard [37] in China, the reflectance of floor, ceiling and walls was set to 0.4, 0.8 and 0.8, respectively. Single-layer glass was used for interior windows with a visible transmittance of 0.8, while double-layer glass was used for exterior windows and skylights with a light transmittance of 0.6. The simulation platform was set to a desk height of 0.75 m.
2.4.5. Blinds System
A dynamic shading system that consisted of interior blinds with a diffuse visible transmittance of 20% and diffuse visible reflectance of 80% was taken into consideration for the classrooms to avoid sun glare. According to the requirement of IES [44], the blinds were set to be pulled down whenever more than 2% of the analysis points received direct sunlight.
3. Results
3.1. Descriptive Analysis
3.1.1. Metric Analysis
From the simulation results of a fixed size model (atrium scale 27 m ∗ 27 m, corridor width 3 m, the top floor), the initial presentation of the metrics and their comparison were derived (Figure 5).
Figure 5.
Simulation results of the metrics in a fixed-size model.
The value of ADF did not meet the requirement of 3.0, while the sDA300,50% values of the northward and eastward classrooms both exceeded the minimum requirement of 0.55. Simultaneously, the classrooms were protected from the risk of sun glare, which was proven to exist by the exceeded ASE1000,250 h. The consideration of sun glare, orientation and annual climate, which was not available in the overcast condition of DF, was proven to be significant in atrium-based classrooms of Nanjing by the comparison.
Specifically, classrooms of the four orientations presented various daylighting performances in an order of northward > eastward > southward > westward. Among them, the classrooms of the last two orientations were equipped with long-term blinds because of an ASE1000,250 h higher than 0.10.
In addition, regardless of the orientations, the atrium scale showed a slight influence on ASE1000,250 h and a stronger influence on sDA300,50%.
3.1.2. Orientation Analysis
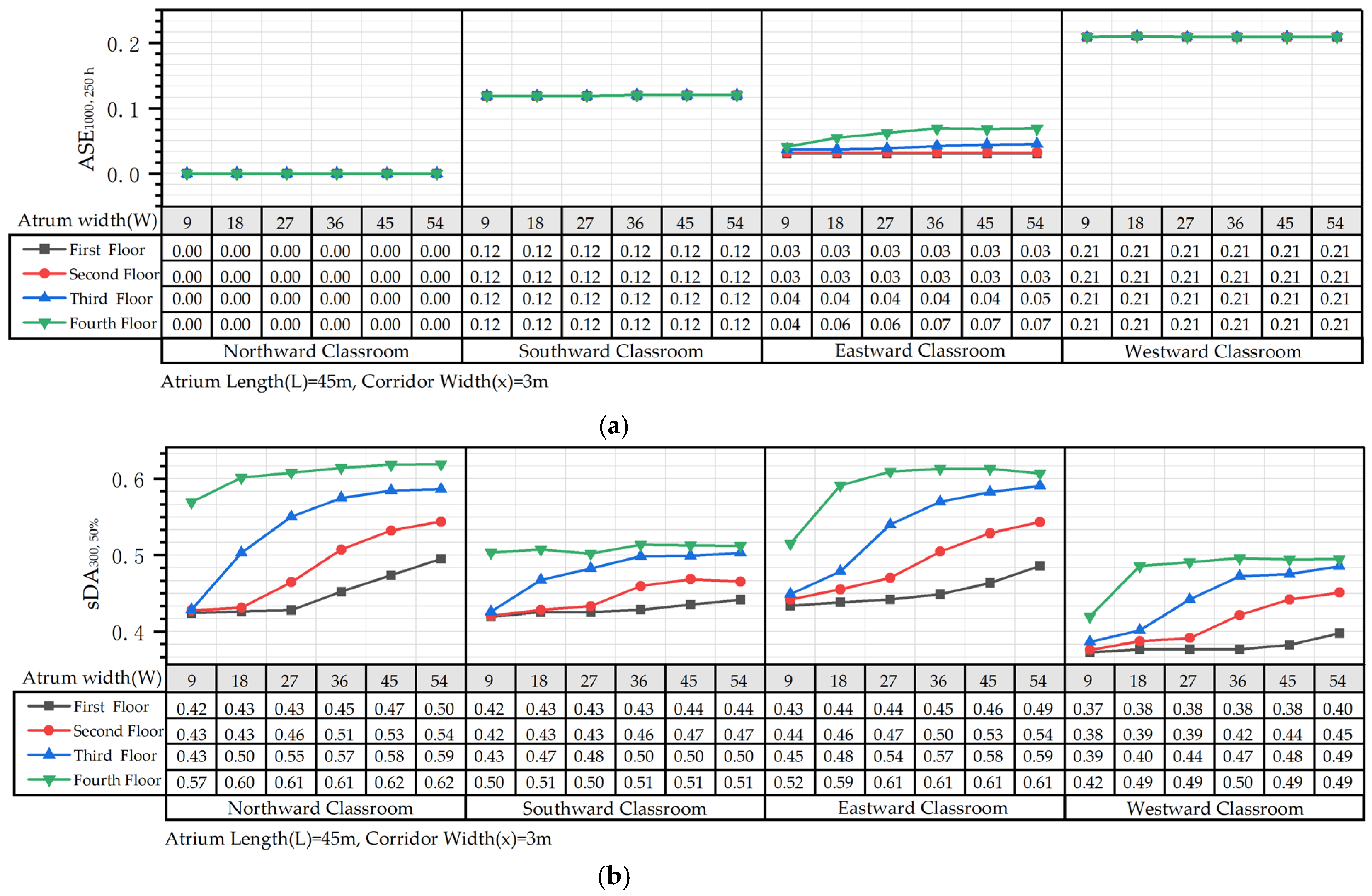
Since it is unnecessary to analyze 108 models covering all four orientations and four floors, to select one orientation as the representative for subsequent analysis, the ASE1000,250 h and sDA300,50% results of the four orientations are gathered from a series of scaled models (Figure 6).
Figure 6.
Simulation results of the models in 4 orientations. (a) Annual Sunlight Exposure (ASE1000,250 h) results. (b) Spatial Daylight Autonomy (sDA300,50%) results.
It was proved that the ASE1000,250 h remained stable with a variation in atrium scales and floors, except for the eastward classrooms in which ASE1000,250 h varied slightly. Therefore, the sDA300,50% was the only metric considered in the following analysis.
With the dynamic blinds and exterior shades equipped, the sDA300,50% of the four classroom orientations presented the order of northward ≈ eastward > southward > westward. This means that on account of daylight quality, the north and east sides of the atrium are the best orientations for a classroom.
To reduce the effect of the flexibility of the blind setting, the north orientation was selected for subsequent analysis because the northward classrooms rarely received glare and the blinds therefore rarely used. The shade depth was adjusted from 0.9 m to a structural thickness of 0.3 m because of the minor ASE1000,250 h to fit the actual design.
3.1.3. Design Parameter Analysis
With the north orientation selected, the 108 models with varied parameters were simulated and the results of sDA300,50% were compiled (Figure 7).
Figure 7.
sDA300,50% results under various atrium widths, atrium lengths and floors. (a) Results of 3 m corridor width. (b) Results of 4.5 m corridor width. (c) Results of 6 m corridor width.
It can be concluded that:
(1) Under different atrium scales, the changing trends of sDA300,50% varied significantly; the variation was gentle in the atrium width range of about 9–18 m and steep in the atrium width range of about 27–54 m;
(2) As the corridor width increased, the value of sDA300,50% significantly decreased, especially using a corridor width of 6 m, and remained at a low level of less than 0.65.
To clarify the results of the complex charts with multiple variables, the complex relationship between the parameters and sDA300,50% was simplified using the method of quantitative analysis. The data were imported into SPSS to conduct multivariable linear analysis and the relationship between sDA300,50% and the design parameters were converted to equations, which thus provided clear and explicit guidance for atrium design.
3.2. Regression Analysis
The parameters for quantitative analysis were reclassified into the three atrium scales and some new scales were added to ensure consistency in the amount of data for each type. Large corridor widths were excluded to ensure the accuracy of the results (Table 3).
Table 3.
Parameters of atrium scale for linear regression analysis.
3.2.1. Group-Type Atriums
With the atrium scale of group type, the atrium length (L) and width (W) ranged from 9 to 18 m; daylight depth was normally two or three floors. The simulation results are as follows: (Table 4).
Table 4.
Simulation results (sDA300,50%) of group-type atriums.
The data of each floor were separately imported into SPSS and the multiple linear regression analysis was performed with the dependent variable of sDA300,50% and the independent variables of atrium length and width. The results are as follows: (Table 5).
Table 5.
Results of linear regression analysis.
The results (F = 21.401, ρ = 0.000 < 0.05, R² = 0.767) indicated the validity of the regression equations. The significance of atrium length is 0.064 (>0.05), indicating no significant change in sDA300,50% due to variation in the atrium length. The significance of atrium width is 0.000 (<0.05), indicating that there is a significant change in sDA300,50% due to a variation in the atrium width.
Similarly, the regression equations for the floors are as follows:
sDA300,50% (the bottom floor) = 0.586 + 0.0002 L + 0.0005 W
sDA300,50% (the second floor) = 0.375 + 0.007 L + 0.013 W
sDA300,50% (the third floor) = 0.751 + 0.006 L + 0.001 W
As for the bottom floor, both the atrium length and width had a slight influence on the sDA300,50% of the bottom floor, which was maintained at about 0.59 with small variations but meant that the minimum requirement of 0.55 can be reached.
As for the second floor, the sDA300,50% was affected by the atrium scales and the related parameters were ranked as atrium width (coefficient of 0.013) > atrium length (coefficient of 0.007). By deforming the equation, the condition that sDA300,50% can meet the requirement of 0.75 on the second floor was L + 2 W ≥ 54 m.
And the sDA300,50% of the third floor can reach 0.75 no matter how the parameter changed.
In conclusion, on account of the small lighting box, the daylight performance of the bottom classrooms in the group-type atrium was at a low level but the minimum requirement of sDA ≥ 0.55 can be reached. When the daylight depth was two floors and the combination of the atrium length and width meet L + 2 W ≥ 54 m, the sDA300,50% of the bottom classrooms can reach the higher requirement of 0.75.
3.2.2. Corridor-Type Atriums
With the atrium scale of corridor type, the range of atrium width (W) was 9–18 m, while the range of atrium length (L) was 27–54 m; the daylight depth was normally three or four floors. The simulation results are as follows: (Table 6).
Table 6.
Simulation results (sDA300,50%) of corridor-type atriums.
The linear regression results showed that the inputs all passed the F-test (the bottom floor: F = 28.365, ρ = 0.000 < 0.05, the second floor: F = 14.475, ρ = 0.000 < 0.05, the third floor: F = 23.267, ρ = 0.000 < 0.05, the fourth floor: F = 48.841, ρ = 0.000 < 0.05), and the values of R² for the four floors were 0.778, 0.743, 0.967 and 0.883, respectively. The regression equations are as follows:
sDA300,50% (the bottom floor) = 0.585 + 0.00004 L + 0.0005 W
sDA300,50% (the second floor) = 0.554 + 0.0002 L + 0.003 W
sDA300,50% (the third floor) = 0.349 + 0.001 L + 0.024 W
sDA300,50% (the fourth floor) = 0.860 + 0.0001 L + 0.001 W
It was found that, except for the top floor, the effect of the atrium scale increases significantly with the number of floors (the coefficient ratio of 1:6:48), and the influence of the atrium width was obviously stronger than that of the atrium length with the average coefficient ratio of 1:16, which means that the increase in atrium width could be much more helpful to enhance the daylight in the bottom classrooms, compared with atrium length.
Similar to the group type, the sDA300,50% of the bottom classrooms was basically not affected by atrium scales, which was maintained at about 0.59 with small variations and could reach the minimum requirement of 0.55.
As for the second floor, the sDA300,50% could also not meet the higher requirement of 0.75 within the scale (0.625 at the maximum scale).
As for the third floor, when the scale satisfied the condition of L + 24 W ≥ 400 m, or more intuitively when the atrium width reached 15 m with a large atrium length of 36–54 m, the sDA300,50% can reach 0.75.
As for the fourth floor, the sDA300,50% was also above 0.75, no matter how the parameters changed.
In a word, the corridor-type atriums always had a narrow lighting box, thus resulting in poor daylight situation in the bottom classrooms. The increased atrium length performed poorly with an increase in daylight. Meanwhile, the daylight depths of corridor-type atriums may increase to four floors. On this condition, it was difficult for the classrooms on the bottom two floors to reach the sDA300,50% of 0.75. On the higher floor, when the atrium scale met L ≥ 36 m and W ≥ 15 m, the values of classrooms’ sDA300,50% could meet the requirement.
3.2.3. Complex-Type Atriums
With the atrium scale of the complex type, the atrium lengths (L) and widths (W) all ranged from 27 to 54 m and the daylight depth was normally four floors. The simulation results are as follows: (Table 7).
Table 7.
Simulation results (sDA300,50%) of complex-type atriums.
The linear regression results in SPSS showed that the input data all passed the F-test (the bottom floor: F = 127.559, ρ = 0.000 < 0.05, the second floor: F = 49.863, ρ = 0.000 < 0.05, the third floor: F = 38.754, ρ = 0.000 < 0.05, the fourth floor: F = 13.545, ρ = 0.000 < 0.05), and the values of R² of the four floors were 0.952, 0.885, 0.856 and 0.676, respectively. The regression equations were as follows:
sDA300,50% (the bottom floor) = 0.388 + 0.002 L + 0.006 W
sDA300,50% (the second floor) = 0.594 + 0.002 L + 0.003 W
sDA300,50% (the third floor) = 0.786 + 0.001 L + 0.0005 W
sDA300,50% (the fourth floor) = 0.878 + 0.0001 L + 0.0001 W
It can be inferred that the atrium scales of the complex type had an obvious influence on the bottom classrooms compared with those of the other types, and the impact decreased as the number of floors increased (the ratio of atrium width coefficients as 2:1). The degrees of influence of the parameters differed as atrium width > atrium length, but the average coefficient ratio of 2:1 was much more balanced than that of the other types, indicating that both the length and the width of the atrium could effectively enhance the daylight performance of the atrium.
Deformation of the equations showed that the value of sDA300,50% in the bottom classrooms can reach 0.75 when L + 3 W ≥ 180 m, or L = W ≥ 45 m. On the second floor, the condition changed to 2 L + 3 W ≥ 150 m, or L = W ≥ 30 m.
The classrooms on both the third and fourth floors can reach the sDA300,50% of 0.75.
In short, complex-type atriums were large in scale and thus had better daylight performance. The classrooms on the top two floors can reach the sDA300,50% requirement of 0.75 and the classrooms on lower floors can also easily reach the requirement under uncritical scale conditions. Therefore, it is possible to moderately increase the corridor width, construct informal learning spaces or add other space details in these atrium designs.
4. Design Recommendation
Accordingly, the recommendations for primary and secondary school design are summarized as follows:
(1) Classrooms are best placed on the north and east sides of the atrium and should not be placed on the west side;
(2) The atrium width can be maximized to efficiently improve natural daylighting;
(3) Corridor width should be kept to a minimum such as 3 m for the high-quality daylighting of the lower floor;
(4) It is better to use the bottom rooms as an office or for activities instead of classrooms, for a daylight depth of two floors is the best in the atrium scales of the group type and the corridor type;
(5) Considering the atrium scale of the complex type, it is possible to construct, in the atrium, both a high-quality daylighting environment and unconventional teaching spaces such as a learning corner, especially on the top two floors.
If the project requirements deviate from these recommendations, for example, an increase in corridor width or a deep daylight depth for conducting various teaching activities, the artificial lighting in classrooms should be qualified, and thus the increase in energy consumption should be taken into consideration.
5. Discussion
This study examined the daylighting performance for atrium-based classrooms in primary and secondary schools, connecting the two research topics of daylighting in the atrium and innovative school design; using the operable dimensions of the atrium as parameters, the study provided convenient optimization methods of a series of equations and related design suggestions for innovative school design.
Unlike the studies that focused on the space within the atrium or the surrounding open space [26,27,28,29,30,31,32,33,34], this study took the customized unit of the classroom as the object, and the variations of sDA300,50% with the atrium scale were similarly regular as the previous studies [30,34]. Furthermore, previous studies generally used ADF as the only metric [27,28]. Compared to the smooth and ordered variation of ADF, sDA300,50% requires more qualification and classification to make the variation clear and readable but was proved to be necessary on account of the consideration of local climate, orientation and glare control.
Nevertheless, the adoption of the annual daylighting metric also caused limitations. The simulation results may change with each of the input items, such as the site, boundary settings, occupancy schedule and blinds, which makes it difficult to apply the results in sites that have different climates or latitudes from Nanjing. Additionally, for the same reason, it is difficult to compare the results with the studies that have different settings, especially when the setting is not standard, for example, the specific occupancy of the school in this study. Therefore, the results are merely applicable to a quick judgment in the early design stage or serve as a reference, not for professional evaluation and detailed design.
Furthermore, daylighting is only one aspect of Indoor Environmental Quality (IEQ) that should be taken into account in the design process of a school [50]. Similarly, the atrium layout is also just one of the forms that the school buildings are developing [51]. Therefore, extended research on thermal comfort, indoor air quality and acoustic comfort in the atriums and the expansion of design features are planned to be gradually fulfilled in further work.
6. Conclusions
In this study, the model configurations of atrium-based teaching spaces were extracted, four types of atrium scales were summarized, and afterward, the investigation focused on the daylight performances of group-type, corridor-type and complex-type atriums; 132 operating conditions were arranged, through variations in atrium length, atrium width and corridor width, and were applied to classrooms on four floors in four orientations. The simulation was conducted using Ladybug–Honeybee tools with the weather file of Nanjing, and the traditional evaluation metric of DF was replaced by annual daylight metrics sDA300,50% and ASE1000,250 h. Finally, practical suggestions on the atrium design for primary and secondary schools were derived.
(1) On account of the daylight and glare, classroom orientations to the atrium can be ordered as: northward, eastward, southward and westward, represented by the ratio of about 9:9:8:7 (ratio of the mean values of sDA300,50% in four orientations) and the last southward and westward classrooms should be equipped with shading measures;
(2) The parameters affecting the daylight performance of the atrium can be arranged in descending order as corridor width, atrium width and atrium length (coefficient ratios of width and length vary from 16:1 to 2:1 as scales up);
(3) The design equations for the various atrium types had the common structure of sDA300,50%_floor = a + b ∗ L + c ∗ W (Table 8). In group-type atriums with three floors of daylight depth, the sDA300,50% can reach 0.55 in the bottom floor classrooms and 0.75 in the second or higher floors classrooms when L + 2 W ≥ 54 m. In corridor-type atriums with four floors of daylight depth, the sDA could still achieve 0.55 in the bottom two floors’ classrooms and 0.75 in the third or higher floor classrooms when L + 24 W ≥ 400 m. In complex-type atriums with four floors of daylight depth, the sDA300,50% of the bottom classrooms can reach 0.75 when L + 3 W ≥ 180 m, and 2 L + 3 W ≥ 150 m in the second and higher floor classrooms.
Table 8.
Aggregation of Equation coefficients.
Author Contributions
Conceptualization, J.M. and Q.Y.; methodology, J.M. and Q.Y.; software, Q.Y.; validation, J.M. and Q.Y.; formal analysis, Q.Y.; investigation, Q.Y.; resources, J.M.; data curation, Q.Y.; writing—original draft preparation, Q.Y.; writing—review and editing, J.M.; visualization, Q.Y. All authors have read and agreed to the published version of the manuscript.
Funding
This research received no external funding.
Institutional Review Board Statement
Not applicable.
Informed Consent Statement
Not applicable.
Data Availability Statement
The data presented in this study are available on request from the authors.
Conflicts of Interest
The authors declare no conflict of interest.
References
- Zhou, K.; Li, S.; Lin, Q.; Fang, K.; Wang, F.; Xu, J. Research on Secondary School Teaching Space Mode under the Teaching Organization Form of “Class Selection System”. Archit. J. 2022, S1, 109–116. [Google Scholar]
- Li, S.; Li, Z.; Zhou, K.; Zhang, J. Research on the spatial pattern of primary and secondary school buildings adapted to the development of quality education. Archit. J. 2008, 8, 76–80. [Google Scholar]
- Dello-Iacovo, B. Curriculum Reform and ‘Quality Education’ in China: An Overview. Int. J. Educ. Dev. 2009, 29, 241–249. [Google Scholar] [CrossRef]
- Ministry of Education of the People’s Republic of China. Opinions of the Ministry of Education on the Implementation of the General High School Academic Level Examination. 10 December 2014. Available online: http://www.moe.gov.cn/srcsite/A06/s3732/201808/t20180807_344610.html (accessed on 16 October 2022).
- Boy, G.A. From STEM to STEAM: Toward a Human-Centred Education, Creativity & Learning Thinking. In Proceedings of the Proceedings of the 31st European Conference on Cognitive Ergonomics, Toulouse, France, 26–28 August; Association for Computing Machinery: New York, NY, USA, 2013; pp. 1–7. [Google Scholar]
- Montessori, M.; Hunt, J.M.; Valsiner, J. The Montessori Method; Routledge: New York, NY, USA, 2017; ISBN 9781315133225. [Google Scholar]
- Anderson, D.; Lucas, K.B.; Ginns, I.S. Theoretical Perspectives on Learning in an Informal Setting. J. Res. Sci. Teach. 2003, 40, 177–199. [Google Scholar] [CrossRef]
- Ding, J.; Zheng, S.; Huang, Y. Discussion on the Design of Adaptive Learning Space under the Demand of Contemporary Education in China: Take Graphic Analysis of Cases in Recent 10 Years as an Example. Archit. J. 2021, S1, 151–157. [Google Scholar]
- Ding, J.; Zheng, S.; Huang, Y. Research on the Learning Space Design of Primary and Middle Schools in the New Era under the Concept of Flexibility. New Archit. 2022, 1, 77–83. [Google Scholar]
- Wu, X.; Oldfield, P.; Heath, T. Spatial Openness and Student Activities in an Atrium: A Parametric Evaluation of a Social Informal Learning Environment. Build. Environ. 2020, 182, 107141. [Google Scholar] [CrossRef]
- Weaver, M. Exploring Conceptions of Learning and Teaching Through the Creation of Flexible Learning Spaces: The Learning Gateway—A Case Study. New Rev. Acad. Librariansh. 2006, 12, 109–125. [Google Scholar] [CrossRef]
- Kazemzadeh, M.; Asadi, F.S. The New Attention to Atrium for Creating Sustainable Townscape. J. Civil Eng. Urban 2014, 4, 98–102. [Google Scholar]
- Adams, A.; Theodore, D.; Goldenberg, E.; McLaren, C.; McKeever, P. Kids in the Atrium: Comparing Architectural Intentions and Children’s Experiences in a Pediatric Hospital Lobby. Soc. Sci. Med. 2010, 70, 658–667. [Google Scholar] [CrossRef]
- Calcagni, B.; Paroncini, M. Daylight Factor Prediction in Atria Building Designs. Sol. Energy 2004, 76, 669–682. [Google Scholar] [CrossRef]
- Ghasemi, M.; Noroozi, M.; Kazemzadeh, M.; Roshan, M. The Influence of Well Geometry on the Daylight Performance of Atrium Adjoining Spaces: A Parametric Study. J. Build. Eng. 2015, 3, 39–47. [Google Scholar] [CrossRef]
- Sharples, S.; Lash, D. Daylight in Atrium Buildings: A Critical Review. Archit. Sci. Rev. 2007, 50, 301–312. [Google Scholar] [CrossRef]
- Küller, R.; Lindsten, C. Health and Behavior of Children in Classrooms with and without Windows. J. Environ. Psychol. 1992, 12, 305–317. [Google Scholar] [CrossRef]
- Hathaway, W.E. Effects of School Lighting on Physical Development and School Performance. J. Educ. Res. 1995, 88, 228–242. [Google Scholar] [CrossRef]
- Schneider, M. Do School Facilities Affect Academic Outcomes? 2002. Available online: https://eric.ed.gov/?id=ED470979 (accessed on 28 November 2022).
- Kong, Z.; Utzinger, D.M.; Freihoefer, K.; Steege, T. The Impact of Interior Design on Visual Discomfort Reduction: A Field Study Integrating Lighting Environments with POE Survey. Build. Environ. 2018, 138, 135–148. [Google Scholar] [CrossRef]
- Boyce, P.R. Human Factors in Lighting, 2nd ed.; CRC Press: London, UK, 2003; ISBN 9780429221132. [Google Scholar]
- Kong, Z.; Zhang, R.; Ni, J.; Ning, P.; Kong, X.; Wang, J. Towards an Integration of Visual Comfort and Lighting Impression: A Field Study within Higher Educational Buildings. Build. Environ. 2022, 216, 108989. [Google Scholar] [CrossRef]
- Edwards, L.; Torcellini, P.; Laboratory, N.R.E. A Literature Review of the Effects of Natural Light on Building Occupants; U.S. Department of Energy: Washington, DC, USA, 2002; p. 58.
- Kong, Z.; Liu, Q.; Li, X.; Hou, K.; Xing, Q. Indoor Lighting Effects on Subjective Impressions and Mood States: A Critical Review. Build. Environ. 2022, 224, 109591. [Google Scholar] [CrossRef]
- Wright, K.P.; McHill, A.W.; Birks, B.R.; Griffin, B.R.; Rusterholz, T.; Chinoy, E.D. Entrainment of the Human Circadian Clock to the Natural Light-Dark Cycle. Curr. Biol. 2013, 23, 1554–1558. [Google Scholar] [CrossRef]
- Du, J.; Sharples, S. The Assessment of Vertical Daylight Factors across the Walls of Atrium Buildings, Part 2: Rectangular Atria. Light. Res. Technol. 2012, 44, 124–138. [Google Scholar] [CrossRef]
- Mohsenin, M.; Hu, J. Assessing Daylight Performance in Atrium Buildings by Using Climate Based Daylight Modeling. Sol. Energy 2015, 119, 553–560. [Google Scholar] [CrossRef]
- Ghasemi, M.; Kandar, M.Z.; Noroozi, M. Investigating the Effect of Well Geometry on the Daylight Performance in the Adjoining Spaces of Vertical Top-Lit Atrium Buildings. Indoor Built Environ. 2016, 25, 934–948. [Google Scholar] [CrossRef]
- Sudan, M.; Mistrick, R.G.; Tiwari, G.N. Climate-Based Daylight Modeling (CBDM) for an Atrium: An Experimentally Validated Novel Daylight Performance. Sol. Energy 2017, 158, 559–571. [Google Scholar] [CrossRef]
- Li, J.; Ban, Q.; Chen, X.; Yao, J. Glazing Sizing in Large Atrium Buildings: A Perspective of Balancing Daylight Quantity and Visual Comfort. Energies 2019, 12, 701. [Google Scholar] [CrossRef]
- Rastegari, M.; Pournaseri, S.; Sanaieian, H. Daylight Optimization through Architectural Aspects in an Office Building Atrium in Tehran. J. Build. Eng. 2021, 33, 101718. [Google Scholar] [CrossRef]
- Wu, P.; Zhou, J.; Li, N. Influences of Atrium Geometry on the Lighting and Thermal Environments in Summer: CFD Simulation Based on-Site Measurements for Validation. Build. Environ. 2021, 197, 107853. [Google Scholar] [CrossRef]
- Dong, L.; He, Y.; Qi, Q.; Wang, W. Optimization of Daylight in Atrium in Underground Commercial Spaces: A Case Study in Chongqing, China. Energy Build. 2022, 256, 111739. [Google Scholar] [CrossRef]
- Xue, Y.; Liu, W. A Study on Parametric Design Method for Optimization of Daylight in Commercial Building’s Atrium in Cold Regions. Sustainability 2022, 14, 7667. [Google Scholar] [CrossRef]
- Ibrahim, I.; Al Badri, N.; Mushtaha, E.; Omar, O. Evaluating the Impacts of Courtyards on Educational Buildings, Case Study in the University of Sharjah. Sustainability 2022, 14, 141. [Google Scholar] [CrossRef]
- Piraei, F.; Matusiak, B.; Lo Verso, V.R.M. Evaluation and Optimization of Daylighting in Heritage Buildings: A Case-Study at High Latitudes. Buildings 2022, 12, 2045. [Google Scholar] [CrossRef]
- GB 50099-2011; Code for Design of School. Ministry of Housing and Urban-Rural Development (PRC): Beijing, China, 2012.
- Fan, Q. Organization of Teaching Space in Primary and Secondary School based on Educational Sociality. Master’s Thesis, Southeast University, Nanjing, China, 2021. [Google Scholar]
- Kharvari, F. An Empirical Validation of Daylighting Tools: Assessing Radiance Parameters and Simulation Settings in Ladybug and Honeybee against Field Measurements. Sol. Energy 2020, 207, 1021–1036. [Google Scholar] [CrossRef]
- Qingsong, M.; Fukuda, H. Parametric Office Building for Daylight and Energy Analysis in the Early Design Stages. Procedia Soc. Behav. Sci. 2016, 216, 818–828. [Google Scholar] [CrossRef]
- Lo Verso, V.R.M.; Mihaylov, G.; Pellegrino, A.; Pellerey, F. Estimation of the Daylight Amount and the Energy Demand for Lighting for the Early Design Stages: Definition of a Set of Mathematical Models. Energy Build. 2017, 155, 151–165. [Google Scholar] [CrossRef]
- Sepúlveda, A.; De Luca, F.; Kurnitski, J. Daylight and Overheating Prediction Formulas for Building Design in a Cold Climate. J. Build. Eng. 2022, 45, 103532. [Google Scholar] [CrossRef]
- GB 50033-2013; Standard for Daylighting Design of Buildings. Ministry of Housing and Urban-Rural Development (PRC): Beijing, China, 2013.
- IES LM-83-12; Approved Method: IES Spatial Daylight Autonomy (SDA) and Annual Sunlight Exposure (ASE). Illuminating Engineering Society (IES): New York, NY, USA, 2012.
- The Well Building Standard, V2; International Well Building Institute (IWBI): New York, NY, USA, 2020.
- LEED v4.1 Building Design and Construction; U.S. Green Building Council (GBC): Washington, DC, USA, 2019.
- Kong, Z.; Jakubiec, J.A. Evaluations of Long-Term Lighting Qualities for Computer Labs in Singapore. Build. Environ. 2021, 194, 107689. [Google Scholar] [CrossRef]
- EnergyPlus. Available online: https://energyplus.net/weather (accessed on 28 November 2022).
- National Platform for Common Geospatial Information Services. Available online: https://www.tianditu.gov.cn/ (accessed on 28 November 2022).
- Korsavi, S.S.; Montazami, A.; Mumovic, D. The Impact of Indoor Environment Quality (IEQ) on School Children’s Overall Comfort in the UK; a Regression Approach. Build. Environ. 2020, 185, 107309. [Google Scholar] [CrossRef]
- Gislason, N. Architectural Design and the Learning Environment: A Framework for School Design Research. Learn. Environ. Res. 2010, 13, 127–145. [Google Scholar] [CrossRef]
Disclaimer/Publisher’s Note: The statements, opinions and data contained in all publications are solely those of the individual author(s) and contributor(s) and not of MDPI and/or the editor(s). MDPI and/or the editor(s) disclaim responsibility for any injury to people or property resulting from any ideas, methods, instructions or products referred to in the content. |
© 2022 by the authors. Licensee MDPI, Basel, Switzerland. This article is an open access article distributed under the terms and conditions of the Creative Commons Attribution (CC BY) license (https://creativecommons.org/licenses/by/4.0/).







