Effects of Carbon Thin Film on Low-Heat Cement Hydration, Temperature and Strength of the Wudongde Dam Concrete
Abstract
:1. Introduction
2. Site Geological Investigation on Aggregate Field
2.1. The WDD Aggregate Field
2.2. Composition of the CTF
2.3. Main Problem of Aggregate
3. Experimental Program
3.1. Materials and Mixture Proportions
3.2. Experimental System
3.3. Analysis Cases and Test Processes
4. Results and Discussion
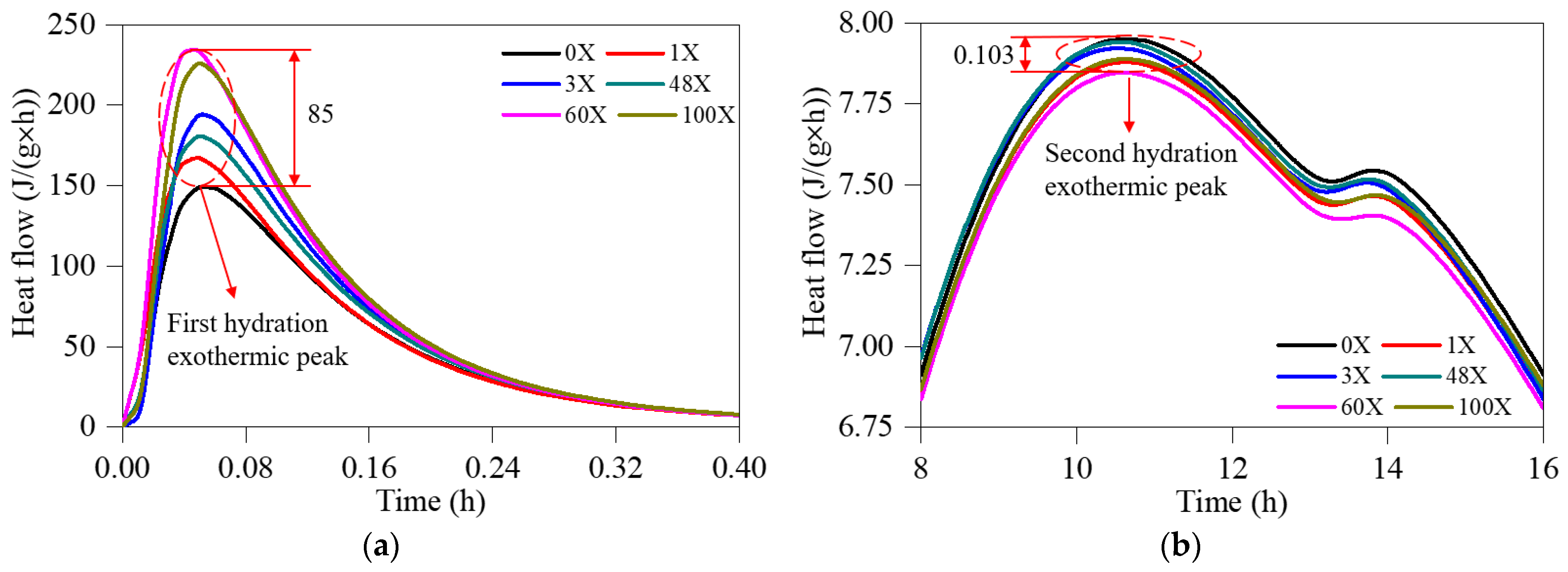
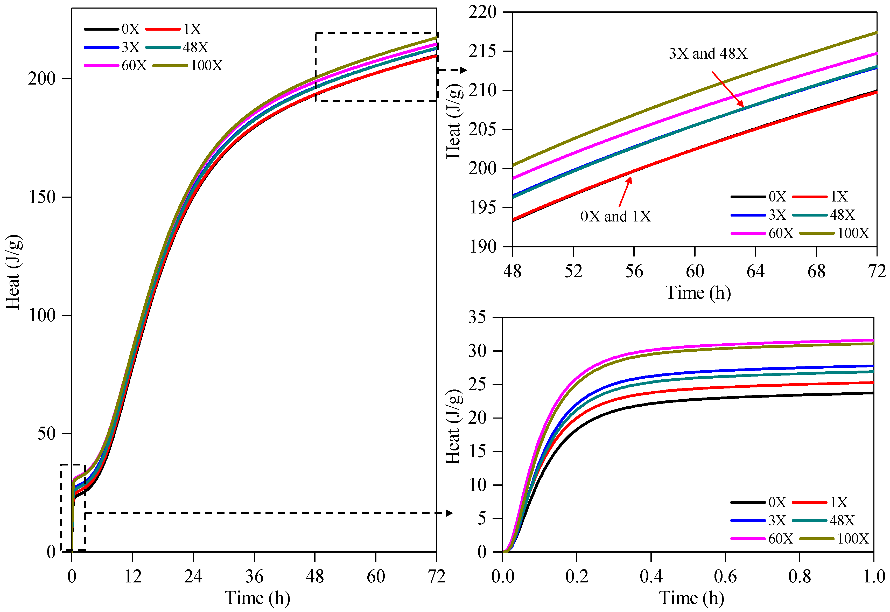
4.1. Effects of the CTF on Hydration Rate and Heat
- (1)
- Effects of the CTF on hydration rate
- (2)
- Effects of the CTF on hydration heat
- (3)
- Evolution process of the CTF in low-heat cement hydration
4.2. Effect of the CTF on the Dam Concrete Temperature
4.3. Effect of the CTF on the Concrete Compressive Strength
- (1)
- the compressive strengths of 0X, 1X and 60X concrete specimens were 24.9 MPa, 26.9 MPa and 31.3 MPa, respectively. The CTF content was proportional to the compressive strength of concrete specimens, mainly because the CTF promotes the cement hydration reaction, resulting in adequate cement hydration, so the concrete strength increases accordingly. When the CTF content was 1X and 60X, the concrete strength was increased by 2 MPa and 6.4 MPa, respectively, compared with the specimens without CTF. The percentage increases were 8.0% and 25.7%;
- (2)
- the variation range of the compressive strength of four-grade concrete specimens with the CTF content (maximum variation 25.7%) was greater than that of the three-grade concrete specimens (maximum variation 3.6%). However, the compressive strength of both grade concrete specimens increased with the CTF contents;
- (3)
- the compressive strength of the four-grade concrete specimens without CTF was consistent with the experimental results of the dam concrete core samples, with the maximum relative error of only 2.8%. The results indicate that the CTF in the WDD dam would have little effect on the concrete strength, which is close to the condition without CTF.
5. Conclusions
- (1)
- The CTF has the same chemical composition as the limestone component, except for the low-crystalline graphite (less than 10%), based on observations of hand specimens, rock slice identifications and XRF analyses.
- (2)
- The CTF can promote an increase in the first exothermic peak of cement hydration of up to 56.7% (at 60X content) but exerts a lowering effect on the second exothermic peak of cement hydration by up to −1.3% (at 60X content). The greater the CTF content, the greater the hydration heat release. A maximum heat release increase of 3.6% was observed at 72 h (at 100X content).
- (3)
- The highest temperature of the concrete blocks containing more CTF content (2017) was generally higher than that of the concrete blocks containing less CTF content (2019) by about 1.71 °C (July and August) and 2.73 °C (November and December), which demonstrates that the CTF could promote the increased release of heat from cement hydration.
- (4)
- The compressive strength of concrete specimens was proportional to the CTF content; the concrete strengths of 1X and 60X CTF content were 8% and 25.7% higher, respectively, than that of 0X. In addition, the results suggest that the CTF in the WDD dam would have little effect on the concrete strength, which is close to the condition without CTF.
- (5)
- Considering the influence of the CTF on cement hydration heat and concrete compressive strength, it is suggested that the CTF content of concrete should be controlled within 1X in practical engineering.
Author Contributions
Funding
Institutional Review Board Statement
Informed Consent Statement
Data Availability Statement
Acknowledgments
Conflicts of Interest
References
- Lin, P.; Liu, H.; Li, Q.; Hu, H. Effects of Outlets on Cracking Risk and Integral Stability of Super-High Arch Dams. Sci. World J. 2014, 2014, 312827. [Google Scholar] [CrossRef] [PubMed]
- Lin, P.; Zhou, W.; Liu, H. Experimental Study on Cracking, Reinforcement, and Overall Stability of the Xiaowan Super-High Arch Dam. Rock Mech. Rock Eng. 2015, 48, 819–841. [Google Scholar] [CrossRef]
- Duffaut, P. The traps behind the failure of Malpasset arch dam, France, in 1959. J. Rock Mech. Geotech. Eng. 2013, 5, 335–341. [Google Scholar] [CrossRef] [Green Version]
- Lin, P.; Ma, T.; Liang, Z.; Tang, C.A.; Wang, R. Failure and overall stability analysis on high arch dam based on DFPA code. Eng. Fail Anal. 2014, 45, 164–184. [Google Scholar] [CrossRef]
- Adams, M.P.; Ideker, J.H. Influence of aggregate type on conversion and strength in calcium aluminate cement concrete. Cement Concrete Res. 2017, 100, 284–296. [Google Scholar] [CrossRef]
- Vishalakshi, K.P.; Revathi, V.; Sivamurthy Reddy, S. Effect of type of coarse aggregate on the strength properties and fracture energy of normal and high strength concrete. Eng. Fract. Mech. 2018, 194, 52–60. [Google Scholar] [CrossRef]
- Gautam, B.P.; Panesar, D.K.; Sheikh, S.A.; Vecchio, F.J. Effect of coarse aggregate grading on the ASR expansion and damage of concrete. Cement Concrete Res. 2017, 95, 75–83. [Google Scholar] [CrossRef]
- Elices, M.; Rocco, C.G. Effect of aggregate size on the fracture and mechanical properties of a simple concrete. Eng. Fract. Mech. 2008, 75, 3839–3851. [Google Scholar] [CrossRef]
- Rocco, C.G.; Elices, M. Effect of aggregate shape on the mechanical properties of a simple concrete. Eng. Fract. Mech. 2009, 76, 286–298. [Google Scholar] [CrossRef]
- Zhou, C.; Shu, X.; Huang, B. Predicting concrete coefficient of thermal expansion with an improved micromechanical model. Constr. Build. Mater. 2014, 68, 10–16. [Google Scholar] [CrossRef]
- Piotrowska, E.; Forquin, P.; Malecot, Y. Experimental study of static and dynamic behavior of concrete under high confinement: Effect of coarse aggregate strength. Mech. Mater. 2016, 92, 164–174. [Google Scholar] [CrossRef]
- Castro, N.; Wigum, B.J. Assessment of the potential alkali-reactivity of aggregates for concrete by image analysis petrography. Cement Concrete Res. 2012, 42, 1635–1644. [Google Scholar] [CrossRef]
- Sanchez, L.F.M.; Fournier, B.; Jolin, M.; Mitchell, D.; Bastien, J. Overall assessment of Alkali-Aggregate Reaction (AAR) in concretes presenting different strengths and incorporating a wide range of reactive aggregate types and natures. Cement Concrete Res. 2017, 93, 17–31. [Google Scholar] [CrossRef]
- Rößler, C.; Möser, B.; Giebson, C.; Ludwig, H.M. Application of Electron Backscatter Diffraction to evaluate the ASR risk of concrete aggregates. Cement Concrete Res. 2017, 95, 47–55. [Google Scholar] [CrossRef]
- Iskhakov, T.; Timothy, J.J.; Meschke, G. Expansion and deterioration of concrete due to ASR: Micromechanical modeling and analysis. Cement Concrete Res. 2019, 115, 507–518. [Google Scholar] [CrossRef]
- Ye, G.; Liu, X.; De Schutter, G.; Poppe, A.M.; Taerwe, L. Influence of limestone powder used as filler in SCC on hydration and microstructure of cement pastes. Cem. Concr. Compos. 2007, 29, 94–102. [Google Scholar] [CrossRef]
- Lothenbach, B.; Le Saout, G.; Gallucci, E.; Scrivener, K. Influence of limestone on the hydration of Portland cements. Cement Concrete Res. 2008, 38, 848–860. [Google Scholar] [CrossRef]
- Fediuk, R.; Timokhin, R.; Mochalov, A.; Otsokov, K.; Lashina, I. Performance Properties of High-Density Impermeable Cementitious Paste. J. Mater. Civil. Eng. 2019, 31, 4019013. [Google Scholar] [CrossRef]
- Zhang, D.; Cai, X.; Hu, L. Effect of Curing Temperature on Hydration of Calcium Aluminate Cement-Calcium Sulfate-Limestone System. J. Mater. Civil. Eng. 2018, 30, 6018011. [Google Scholar] [CrossRef]
- Thongsanitgarn, P.; Wongkeo, W.; Chaipanich, A.; Poon, C.S. Heat of hydration of Portland high-calcium fly ash cement incorporating limestone powder: Effect of limestone particle size. Constr. Build. Mater. 2014, 66, 410–417. [Google Scholar] [CrossRef]
- Vance, K.; Aguayo, M.; Oey, T.; Sant, G.; Neithalath, N. Hydration and strength development in ternary portland cement blends containing limestone and fly ash or metakaolin. Cem. Concr. Compos. 2013, 39, 93–103. [Google Scholar] [CrossRef]
- Angulski Da Luz, C.; Hooton, R.D. Influence of Supersulfated Cement Composition on Hydration Process. J. Mater. Civil Eng. 2019, 31, 04019090. [Google Scholar] [CrossRef]
- Wang, S.; Chen, C.; Lu, L.; Cheng, X. Effects of slag and limestone powder on the hydration and hardening process of alite-barium calcium sulphoaluminate cement. Constr. Build. Mater. 2012, 35, 227–231. [Google Scholar] [CrossRef]
- Wu, Q.; Wang, S.; Yang, T.; Zhu, H.; Li, S. Effect of High-Magnesium Nickel Slag on Hydration Characteristics of Portland Cement. J. Mater. Civil Eng. 2019, 31, 04019051. [Google Scholar] [CrossRef]
- Tang, J.; Deng, M.; Wang, A.; Xie, L. Influence of the Cement Fineness on Strengths of Cement Pastes Containing High Phosphorus Slag. J. Mater. Civil Eng. 2015, 27, 04015047. [Google Scholar] [CrossRef]
- Klemczak, B.; Batog, M. Heat of hydration of low-clinker cements. J. Therm. Anal. Calorim. 2016, 123, 1351–1360. [Google Scholar] [CrossRef] [Green Version]
- Kumar, M.; Singh, S.K.; Singh, N.P. Heat evolution during the hydration of Portland cement in the presence of fly ash, calcium hydroxide and super plasticizer. Thermochim. Acta 2012, 548, 27–32. [Google Scholar] [CrossRef]
- Singh, N.B.; Kalra, M.; Kumar, M.; Rai, S. Hydration of ternary cementitious system: Portland cement, fly ash and silica fume. J. Therm. Anal. Calorim. 2015, 119, 381–389. [Google Scholar] [CrossRef]
- Sakai, E.; Miyahara, S.; Ohsawa, S.; Lee, S.; Daimon, M. Hydration of fly ash cement. Cement Concrete Res. 2005, 35, 1135–1140. [Google Scholar] [CrossRef]
- Thongsanitgarn, P.; Wongkeo, W.; Chaipanich, A. Hydration and Compressive Strength of Blended Cement Containing Fly Ash and Limestone as Cement Replacement. J. Mater. Civil. Eng. 2014, 26, 04014088. [Google Scholar] [CrossRef]
- Bentz, D.P.; Ferraris, C.F.; Jones, S.Z.; Lootens, D.; Zunino, F. Limestone and silica powder replacements for cement: Early-age performance. Cem. Concr. Compos. 2017, 78, 43–56. [Google Scholar] [CrossRef] [PubMed] [Green Version]
- Siler, P.; Kratky, J.; De Belie, N. Isothermal and solution calorimetry to assess the effect of superplasticizers and mineral admixtures on cement hydration. J. Therm. Anal. Calorim. 2012, 107, 313–320. [Google Scholar] [CrossRef]
- Li, W.; Li, X.; Chen, S.J.; Liu, Y.M.; Duan, W.H.; Shah, S.P. Effects of graphene oxide on early-age hydration and electrical resistivity of Portland cement paste. Constr. Build. Mater. 2017, 136, 506–514. [Google Scholar] [CrossRef]
- Lu, Z.; Li, X.; Hanif, A.; Chen, B.; Parthasarathy, P.; Yu, J.; Li, Z. Early-age interaction mechanism between the graphene oxide and cement hydrates. Constr. Build. Mater. 2017, 152, 232–239. [Google Scholar] [CrossRef]
- Hu, J.; Wu, Y.; Li, G.; Liu, S.; Peng, H.; Wan, L.; Lu, Y.; Wang, C. Influence of carbonaceous thin film in limestone aggregate on concrete performance. Yangtze River 2021, 52, 214–219. [Google Scholar] [CrossRef]
- Peng, S.; Yang, X.; Niu, Y.; Yang, B.; Li, J. Influence of Artificial Aggregate on Concrete Gas Content in Shuibuya Hydropower Station. Yangtze River 2007, 38, 99–100. [Google Scholar] [CrossRef]
- Xiang, J.S. Review on Difficulties in Construction and Operation of Sand and Stone Processing System in Liyang Pumped Storage Power Station. Hunan Hydro Power 2018, 1, 68–70. [Google Scholar]
- Wang, F.; Gong, A.; Peng, Y.; Zhao, D. Application Study on Durability of Silica Fume Concrete in Fengweihe Hydropower Station. J. Yunnan Agric. Univ. 2011, 26, 105–109. [Google Scholar] [CrossRef]
- Han, F.; Liu, R.; Wang, D.; Yan, P. Characteristics of the hydration heat evolution of composite binder at different hydrating temperature. Thermochim Acta. 2014, 586, 52–57. [Google Scholar] [CrossRef]
- Taylor, H.F.W. Cement Chemistry; Academic Press: Cambridge, MA, USA, 1997. [Google Scholar]
- Hou, D.; Lu, Z.; Li, X.; Ma, H.; Li, Z. Reactive molecular dynamics and experimental study of graphene-cement composites: Structure, dynamics and reinforcement mechanisms. Carbon 2017, 115, 188–208. [Google Scholar] [CrossRef]
- Oey, T.; Kumar, A.; Bullard, J.W.; Neithalath, N.; Sant, G. The Filler Effect: The Influence of Filler Content and Surface Area on Cementitious Reaction Rates. J. Am. Ceram. Soc. 2013, 96, 1978–1990. [Google Scholar] [CrossRef]
- Tikkanen, J.; Cwirzen, A.; Penttala, V. Effects of mineral powders on hydration process and hydration products in normal strength concrete. Constr. Build. Mater. 2014, 72, 7–14. [Google Scholar] [CrossRef]
- Kakali, G.; Tsivilis, S.; Aggeli, E.; Bati, M. Hydration products of C3A, C3S and Portland cement in the presence of CaCO3. Cement Concrete Res. 2000, 30, 1073–1077. [Google Scholar] [CrossRef]













| Component | MgO | Al2O3 | SiO2 | P2O5 | S | K2O | CaO | Ti | Mn | Fe |
|---|---|---|---|---|---|---|---|---|---|---|
| Content (%) | 3.90 | 13.60 | 28.13 | 0.28 | 1.94 | 5.69 | 10.15 | 1.77 | 0.02 | 1.86 |
| Component | SiO2 | Al2O3 | Fe2O3 | CaO | MgO | SO3 | Loss | K2O |
|---|---|---|---|---|---|---|---|---|
| Content (%) | 23.06 | 3.674 | 5.164 | 59.76 | 4.55 | 2.012 | 0.778 | — |
| Material | Low-heat Cement | Fly Ash | Sand | Stone | Admixtures | Water | ||||
|---|---|---|---|---|---|---|---|---|---|---|
| Small | Medium | Large | Extra Large | JM-Ⅱ 0.6% | GYQ 0.025% | |||||
| Mixing amount Kg/m3 | 108 | 58 | 574 | 348 | 348 | 522 | 522 | 0.996 | 0.042 | 83 |
| Name | Number | Water (g) | Cement (g) | CTF (mg) | Remarks |
|---|---|---|---|---|---|
| WDD-JJ12 | 2 | 2.89 | 5.78 | 0 | Plain cement |
| WDD-JJB3-4 | 2 | 2.89 | 5.78 | 0.2312 | 1X CTF |
| WDD-JJB5-6 | 2 | 2.89 | 5.78 | 0.6936 | 3X CTF |
| WDD-JJB7-8 | 2 | 2.89 | 5.78 | 11.0976 | 48X CTF |
| WDD-JJB9-10 | 2 | 2.89 | 5.78 | 13.872 | 60X CTF |
| WDD-JJB11-12 | 2 | 2.89 | 5.78 | 23.12 | 100X CTF |
| Name | Size mm3 | Number | CTF | Age d | |
|---|---|---|---|---|---|
| Times | Mass (g) | ||||
| WDD-C1~3 | 4503 | 3 | 0X | 0 | 28 |
| WDD-C4~6 | 3 | 1X | 2.00854 | ||
| WDD-C7~9 | 3 | 60X | 120.51245 | ||
| Time | The Highest Temperature | |||
|---|---|---|---|---|
| Age (d) | Max. (°C) | Min. (°C) | Average (°C) | |
| July and August 2017 | 15.5 (8.2) | 27.3 | 25.7 | 26.55 |
| July and August 2019 | 15.3 (7.9) | 27.3 | 21.3 | 24.84 |
| November and December 2017 | 23.6 (25.1) | 26.6 | 25 | 26.09 |
| November and December 2019 | 9.3 (8.0) | 26.76 | 20.24 | 23.36 |
Publisher’s Note: MDPI stays neutral with regard to jurisdictional claims in published maps and institutional affiliations. |
© 2022 by the authors. Licensee MDPI, Basel, Switzerland. This article is an open access article distributed under the terms and conditions of the Creative Commons Attribution (CC BY) license (https://creativecommons.org/licenses/by/4.0/).
Share and Cite
Peng, H.; Lin, P.; Xiang, Y.; Hu, J.; Yang, Z. Effects of Carbon Thin Film on Low-Heat Cement Hydration, Temperature and Strength of the Wudongde Dam Concrete. Buildings 2022, 12, 717. https://doi.org/10.3390/buildings12060717
Peng H, Lin P, Xiang Y, Hu J, Yang Z. Effects of Carbon Thin Film on Low-Heat Cement Hydration, Temperature and Strength of the Wudongde Dam Concrete. Buildings. 2022; 12(6):717. https://doi.org/10.3390/buildings12060717
Chicago/Turabian StylePeng, Haoyang, Peng Lin, Yunfei Xiang, Jinwu Hu, and Zongli Yang. 2022. "Effects of Carbon Thin Film on Low-Heat Cement Hydration, Temperature and Strength of the Wudongde Dam Concrete" Buildings 12, no. 6: 717. https://doi.org/10.3390/buildings12060717
APA StylePeng, H., Lin, P., Xiang, Y., Hu, J., & Yang, Z. (2022). Effects of Carbon Thin Film on Low-Heat Cement Hydration, Temperature and Strength of the Wudongde Dam Concrete. Buildings, 12(6), 717. https://doi.org/10.3390/buildings12060717
