Examination of Mixing Proportion in Self-Compacting Gangue-Based Pavement Concrete
Abstract
:1. Introduction
2. Materials and Experiments
2.1. Materials
2.2. Specimen Preparation
2.3. Testing Method
2.3.1. Industrial Analysis of Coarse Aggregate
2.3.2. Slump-Expansion Test
2.3.3. Mechanical-Property Experiment
2.3.4. Abrasion-Resistance Test
2.3.5. Experiment of ITZ Structure Observation
3. Results and Discussion
3.1. Aggregate Industry Analysis
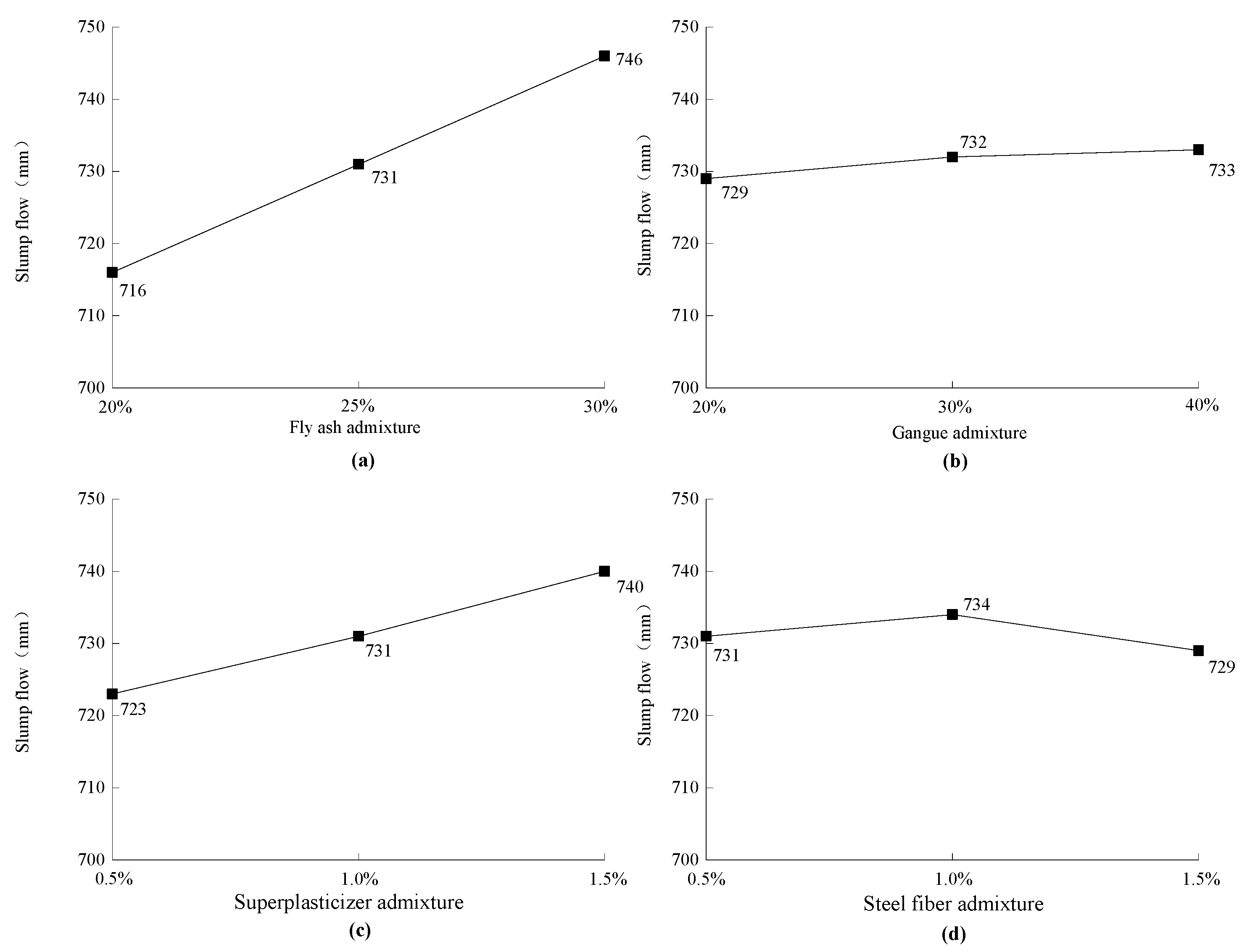
3.2. Slump Flow
3.3. Compressive Strength
3.4. Splitting Strength
3.5. Experimental Results of Abrasion Resistance
4. Field-Application Effect
5. Conclusions
- (1)
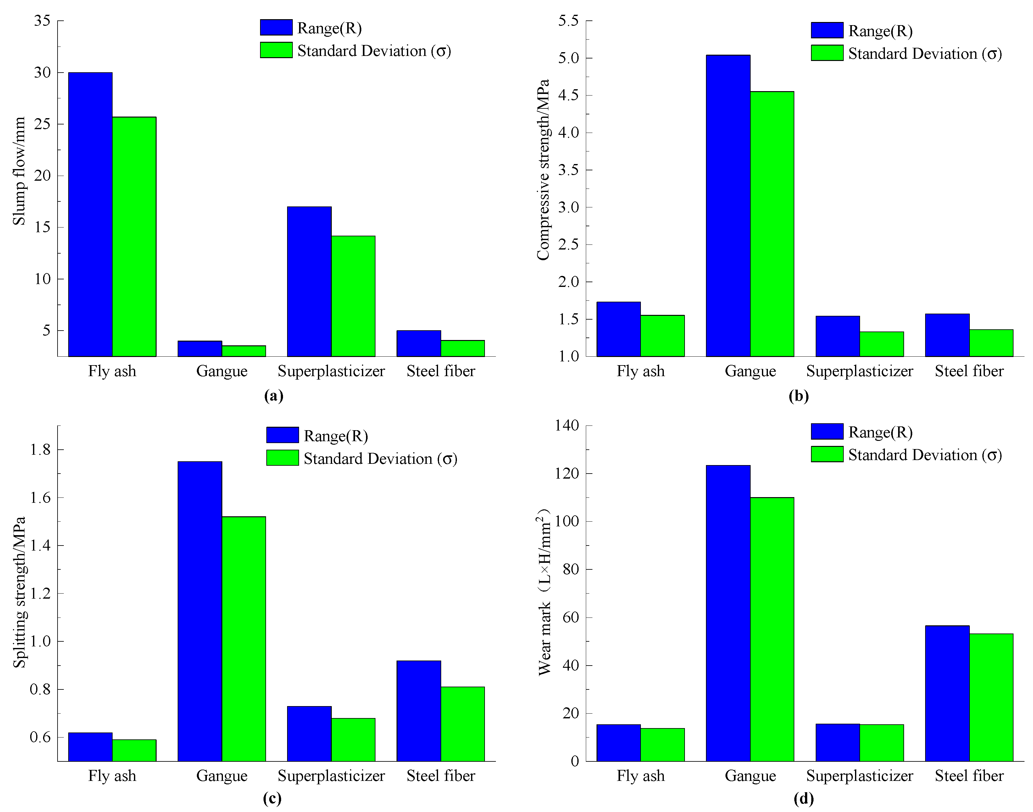
- In the proportion range studied in this paper, the effect of fly ash and polycarboxylate superplasticizer on the slump expansion of SCC was higher than that of steel fiber and gangue. Concrete slump expansion was positively correlated with fly-ash- and polycarboxylate-superplasticizer-admixture rate. As steel-fiber dosage increased from 1% to 1.5%, the slump expansion of concrete exhibited an obvious downward trend, while gangue had almost no effect on the concrete slump expansion.
- (2)
- In the proportion range studied in this paper, the effect of gangue and steel fiber on the compressive and splitting strength of self-compacting gangue concrete was higher than that of fly ash and polycarboxylate superplasticizer. With the increase in the amount of gangue and steel fibers, both the compressive and splitting strength of concrete increased first and then decreased. The optimum mixing rate was about 30% and 1%, respectively. With the increase in fly-ash dosing, both the compressive strength and the splitting strength of concrete increased and the optimum mixing rate was about 30%, respectively. With the increase in polycarboxylate-superplasticizer dosing, both the compressive strength and the splitting strength of concrete decreased and the optimum mixing rate was about 0.5%, respectively.
- (3)
- In the proportion range studied in this paper, the effect of gangue and steel fiber on the abrasion resistance of self-compacting gangue concrete was higher than that of fly ash and polycarboxylate superplasticizer. The abrasion resistance of concrete was negatively correlated with the content of gangue and polycarboxylate superplasticizer, and positively correlated with the content of steel fiber and fly ash. The proportion of gangue significantly decreased in the range of 30–40%, but when the proportion was 30%, the concrete still had good wear resistance.
- (4)
- Through SEM, EDS, XRD and other experiments, it was found that more AFT crystals were generated in the ITZ (gangue), while the numbers of AFT were less in the ITZ (limestone). As the gangue is mainly composed of quartz (41%), illite (30%) and kaolinite (17%), the content of Al is rich, which is conducive to the formation of AFT and AFM crystals in ITZ, which is more favorable to the development of concrete strength in the first and middle term.
Author Contributions
Funding
Institutional Review Board Statement
Informed Consent Statement
Data Availability Statement
Acknowledgments
Conflicts of Interest
References
- Xi, Y.; Zhang, D. Construction of “Internet + Recycling” Mode of Renewable Resources. Res. Sci. Technol. Manag. 2018, 38, 260–267. [Google Scholar]
- Quan, Z.; Chen, Y.; Ma, R.; Liu, R. Experimental study on preparation of autoclaved aerated concrete blocks from lithium tailings sand. New Build. Mater. 2022, 49, 120–123. [Google Scholar]
- Yang, Q.; Lü, M.; Luo, Y. Effects of surface-activated coal gangue aggregates on properties of cement-based materials. J. Wuhan Univ. Technol.-Mater. 2013, 28, 1118–1121. [Google Scholar] [CrossRef]
- Ma, H.; Zhu, H.; Wu, C.; Chen, H.; Sun, J.; Liu, J. Study on compressive strength and durability of alkali-activated coal gangue-slag concrete and its mechanism. Powder Technol. 2020, 368, 112–124. [Google Scholar] [CrossRef]
- Moghadam, M.J.; Ajalloeian, R.; Hajiannia, A. Preparation and application of alkali-activated materials based on waste glass and coal gangue: A review. Constr. Build. Mater. 2019, 221, 84–98. [Google Scholar] [CrossRef]
- Ashfaq, M.; Lal, M.H.; Moghal, A.A.B.; Murthy, V.R. Carbon Footprint analysis of Coal Gangue Applications in Geotechnical Engineering. Indian Geotech. J. 2020, 50, 646–654. [Google Scholar] [CrossRef]
- Ashfaq, M.; Heeralal, M.; Moghal, A. Utilization of Coal Gangue for Earthworks: Sustainability Perspective. 2021. Available online: https://www.researchgate.net/publication/349039269_Utilization_of_Coal_Gangue_for_Earthworks_Sustainability_Perspective (accessed on 4 February 2021).
- Zhou, M.; Dou, Y.; Zhang, Y.; Zhang, Y.; Zhang, B. Effects of the variety and content of coal gangue coarse aggregate on the mechanical properties of concrete. Constr. Build. Mater. 2019, 220, 386–395. [Google Scholar] [CrossRef]
- Xiao, M.; Ju, F.; He, Z.-Q. Research on shotcrete in mine using non-activated waste coal gangue aggregate. J. Clean. Prod. 2020, 259, 120810. [Google Scholar] [CrossRef]
- Su, X. Experimental Research on Basic Mechanical Properties of Coal Gangue Concrete. Xi’an Univ. Archit. Technol. 2021. [Google Scholar] [CrossRef]
- Bai, G.; Su, Y.; Liu, H. Experimental study on the complete stress-strain curve of gangue aggregate concrete. Ournal. Phys. Conf. Ser. 2021, 1904, 012004. [Google Scholar] [CrossRef]
- Kavitha, O.R.; Shanthi, V.M.; Prince Arulraj, G.; Sivakumar, V.R. Microstructural studies on eco-friendly and durable Self-compacting concrete blended with metakaolin. Appl. Clay Sci. 2016, 124–125, 143–149. [Google Scholar] [CrossRef]
- Revilla-Cuesta, V.; Skaf, M.; Serrano-López, R.; Ortega-López, V. Models for compressive strength estimation through non-destructive testing of highly self-compacting concrete containing recycled concrete aggregate and slag-based binder. Constr. Build. Mater. 2021, 280, 122454. [Google Scholar] [CrossRef]
- Choudhary, R.; Gupta, R.; Nagar, R.; Jain, A. Mechanical and abrasion resistance performance of silica fume, marble slurry powder, and fly ash amalgamated high strength self-consolidating concrete. Constr. Build. Mater. 2021, 269, 121282. [Google Scholar] [CrossRef]
- Han, J.; Yan, P. Influence of segregation on the permeability of self-consolidating concrete. Constr. Build. Mater. 2021, 269, 121277. [Google Scholar] [CrossRef]
- Xie, T.; Ali, M.S.M.; Elchalakani, M.; Visintin, P. Modelling fresh and hardened properties of self-compacting concrete containing supplementary cementitious materials using reactive moduli. Constr. Build. Mater. 2021, 272, 121954. [Google Scholar] [CrossRef]
- Zhu, W.; Wei, J.; Li, F.; Zhang, T.; Chen, Y.; Hu, J.; Yu, Q. Understanding restraint effect of coarse aggregate on the drying shrinkage of self-compacting concrete. Constr. Build. Mater. 2016, 114, 458–463. [Google Scholar] [CrossRef]
- Shi, X.X.; Liu, Y.X.; Pu, Q.; Tian, Y.; Chen, J.J. Effect of highly efficient water-reducing agent and fly ash on the performance of self-compacting concrete. Concr. Cem. Prod. 2017, 12, 14–18. [Google Scholar]
- Qiu, J.; Zhou, Y.; Guan, X.; Zhu, M. The influence of fly ash content on ITZ microstructure of coal gangue concrete. Constr. Build. Mater. 2021, 298, 123562. [Google Scholar] [CrossRef]
- Qiu, J.; Zhu, M.; Zhou, Y.; Guan, X. Effect and mechanism of coal gangue concrete modification by fly ash. Constr. Build. Mater. 2021, 294, 123563. [Google Scholar] [CrossRef]
- Shcherban’, E.M.; Stel’makh, S.A.; Beskopylny, A.; Mailyan, L.R.; Meskhi, B.; Varavka, V. Nanomodification of Lightweight Fiber Reinforced Concrete with Micro Silica and Its Influence on the Constructive Quality Coefficient. Materials 2021, 14, 7347. [Google Scholar] [CrossRef]
- Rao, B.K.; Ravindra, V. Steel fiber reinforced self compacting concrete incorporating class F fly ash. Int. J. Eng. Sci. Technol. 2010, 2, 4936–4943. [Google Scholar]
- Ghasemi, M.; Ghasemi, M.R.; Mousavi, S.R. Investigating the effects of maximum aggregate size on self-compacting steel fiber reinforced concrete fracture parameters. Constr. Build. Mater. 2018, 162, 674–682. [Google Scholar] [CrossRef]
- Ding, X.; Zhao, M.; Zhou, S.; Fu, Y.; Li, C. Statistical Analysis and Preliminary Study on the Mix Proportion Design of Self-Compacting Steel Fiber Reinforced Concrete. Materials 2019, 12, 637. [Google Scholar] [CrossRef] [PubMed] [Green Version]
- Wang, C. Analysis of the Influence of Fiber on the Working Performance and Mechanical Properties of Self-Compacting Concrete. Master’s Thesis, Heilongjiang University, Harbin, China, 2021. [Google Scholar]
- Horňáková, M.; Lehner, P. Analysis of Measured Parameters in Relation to the Amount of Fibre in Lightweight Red Ceramic Waste Aggregate Concrete. Mathematics 2022, 10, 229. [Google Scholar] [CrossRef]
- Zhao, Q.; Xu, G.; Li, Z.; Liu, F.; He, T.; Shen, W. Research on the performance of self-compacting concrete with high-volume fly ash. J. Wuhan Univ. Technol. 2020, 42, 1–5. [Google Scholar]
- Wang, Z.; Zhao, N. Properties of Steel Fiber Reinforced Coal Gangue Coarse Aggregate Concrete. Wuhan Univ. J. Nat. Sci. 2014, 19, 262–268. [Google Scholar] [CrossRef]
- GB/T 50080-2016; Standard for Test Method of Performance on Ordinary Fresh Concrete. China Construction Industry Press: Beijing, China, 2016.
- JGJ/T 283-2012; Technical Regulations for the Application of Self-Compacting Concrete. China Construction Industry Press: Beijing, China, 2012.
- GB/T 212-2008; Proximate Analysis of Coal. China National Standardization Administration Committee: Beijing, China, 2008.
- GB/T 50081-2002; Standard for Test Method of Mechanical Properties on Ordinary Concrete. Ministry of Construction of the People’s Republic of China: Beijing, China, 2003.
- Cao, Y.; Li, Y.; Zhang, J.; Cao, Z.; Sun, C. Effects of fineness and calcination temperature on the activity and microstructure of coal gangue pozzolan. J. Silic. 2017, 45, 1153–1158. [Google Scholar]
- Wang, X.; Li, J.; Xue, Z. Study on the activity and grain size of calcined lime under high temperature rapid heating. Bull. Silic. 2016, 35. [Google Scholar] [CrossRef]
- Wei, J. Study on the Preparation and Performance of Low-Air-Entraining Polycarboxylate Superplasticizer; Shandong University: Jinan, China, 2018. [Google Scholar]
- Vejmelková, E.; Keppert, M.; Grzeszczyk, S.; Skalinski, B.; Cerny, R. Properties of self-compacting concrete mixtures containing metakaolin and blast furnace slag. Constr. Build. Mater. 2011, 25, 1325–1331. [Google Scholar] [CrossRef]
- Demie, S.; Nuruddin, M.F.; Shafiq, N. Effects of micro-structure characteristics of interfacial transition zone on the compressive strength of self-compacting geopolymer concrete. Constr. Build. Mater. 2013, 41, 91–98. [Google Scholar] [CrossRef]
- Lu, Y.; Wu, H.; Li, J.; Jiang, Y.; Li, F. Operation law of bubbles in concrete and its prevention measures. Railw. Constr. Technol. 2021, 9, 29–32+47. [Google Scholar]
- Xu, Z.; Wu, J.; Zhao, M.; Bai, Z.; Wang, K.; Miao, J.; Tan, Z. Mechanic-al and microscopic properties of fiber-reinforced coal gangue-based geopolymer concrete. Nanotechnol. Rev. 2022, 11, 526–543. [Google Scholar] [CrossRef]






















| Raw Materials | SiO2 | Al2O3 | Fe2O3 | CaO | MgO | K20 | Na2O | TiO2 | SO3 |
|---|---|---|---|---|---|---|---|---|---|
| OPC | 20.43 | 3.99 | 4.53 | 62.37 | 2.23 | 1.11 | 0.19 | 0.37 | 4.28 |
| FA | 56.24 | 29.81 | 5.15 | 3.12 | 0.74 | 1.37 | 0.41 | 1.72 | 0.56 |
| Raw Materials | Apparent Density (kg/m3) | Bulk Density (kg/m3) | Sediment Percentage (%) | Cl− Content (%) |
|---|---|---|---|---|
| Fine aggregeat | 2600 | 1400 | 2.5 | ≤0.02 |
| Strength/MPa | Apparent Density (kg/m3) | Total Content of Needle and Flake Particles (%) | Crushing Indicators (%) | Water Absorption (%) |
|---|---|---|---|---|
| 75 | 2850 | ≤3 | 12.4 | 0.7 |
| 53 | 2360 | ≤7 | 16.5 | 5.2 |
| Element | Content (%) |
|---|---|
| Montmorillonite | - |
| quartz | 41 |
| Potash feldspar | - |
| Plagioclase | 4 |
| Siderite | 4 |
| Kaolinite | 17 |
| Illite | 30 |
| Pyrite | 2 |
| other | 2 |
| Factors | Water | Cement | Fly Ash | Fine Aggregeat | Gravel | Gangue | Superplasticizer | Steel Fiber |
|---|---|---|---|---|---|---|---|---|
| 1 | 181 | 352 | 88 | 704 | 176 | 2.20 | 11.5 | |
| 2 | 178 | 335 | 112 | 704 | 176 | 4.47 | 23 | |
| 3 | 175 | 315 | 135 | 704 | 176 | 6.75 | 34.5 | |
| 4 | 181 | 352 | 88 | 616 | 264 | 4.40 | 34.5 | |
| 5 | 178 | 335 | 112 | 616 | 264 | 6.71 | 11.5 | |
| 6 | 175 | 315 | 135 | 616 | 264 | 2.25 | 23.0 | |
| 7 | 181 | 352 | 88 | 528 | 352 | 6.60 | 23.0 | |
| 8 | 178 | 335 | 112 | 528 | 352 | 2.20 | 34.5 | |
| 9 | 175 | 315 | 135 | 528 | 352 | 4.50 | 11.5 | |
| 10 | 200 | 445 | 0 | 880 | 0 | 0 | 0 |
| Group | Cement/g | Fly Ash/g | Superplasticizer/g | |
|---|---|---|---|---|
| Gangue formation | 1 | 100 | 0 | 0 |
| 2 | 70 | 30 | 0 | |
| 3 | 70 | 30 | 1 | |
| Gravel formation | 4 | 100 | 0 | 0 |
| 5 | 70 | 30 | 0 | |
| 6 | 70 | 30 | 1 |
| Moisture Content % | Volatile Content % | Ash Content % | Fixed Carbon Content % | |
|---|---|---|---|---|
| Gangue | 0.57 | 8.63 | 90.80 | 3.59 |
| Gravel | 0.41 | 1.58 | 98.01 | 0 |
| Groups | Slump Flow/mm | Compressive Strength/MPa | Splitting Strength/MPa | Wear Mark | ||
|---|---|---|---|---|---|---|
| L/mm | H/mm | L × H/mm2 | ||||
| 1 | 706 | 28.14 | 4.02 | 25 | 4.1 | 102.5 |
| 2 | 731 | 28.73 | 4.98 | 22 | 2.9 | 63.8 |
| 3 | 750 | 27.73 | 4.55 | 21 | 2.2 | 46.2 |
| 4 | 714 | 31.74 | 6.47 | 25 | 3.9 | 97.5 |
| 5 | 740 | 32.12 | 5.09 | 30 | 5.0 | 150 |
| 6 | 741 | 35.87 | 7.25 | 24 | 3.1 | 74.4 |
| 7 | 729 | 28.81 | 5.19 | 35 | 5.5 | 192.5 |
| 8 | 723 | 29.25 | 5.42 | 33 | 5.0 | 165 |
| 9 | 747 | 30.27 | 5.55 | 37 | 6.1 | 225.7 |
| 10 | / | 33.58 | 5.26 | 23 | 3.3 | 75.9 |
| Factors | Slump Flow/mm | Compressive Strength/MPa | Splitting Strength/MPa | Wear Mark (L × H/mm2) | |
|---|---|---|---|---|---|
| Fly ash | 716 | 29.56 | 5.23 | 130.83 | |
| 731 | 30.03 | 5.16 | 126.27 | ||
| 746 | 31.29 | 5.78 | 115.43 | ||
| R | 30 | 1.73 | 0.62 | 15.40 | |
| σ | 25.69 | 1.55 | 0.59 | 13.70 | |
| Gangue | 729 | 28.20 | 4.52 | 70.83 | |
| 732 | 33.24 | 6.27 | 107.30 | ||
| 733 | 29.44 | 5.39 | 194.23 | ||
| R | 4 | 5.04 | 1.75 | 123.40 | |
| σ | 3.53 | 4.55 | 1.52 | 109.97 | |
| Superplasticizer | 723 | 31.09 | 5.56 | 113.97 | |
| 731 | 30.25 | 5.67 | 129.00 | ||
| 740 | 29.55 | 4.94 | 129.57 | ||
| R | 17 | 1.54 | 0.73 | 15.60 | |
| σ | 14.17 | 1.33 | 0.68 | 15.33 | |
| Steel fiber | 731 | 30.18 | 4.89 | 159.40 | |
| 734 | 31.14 | 5.81 | 110.23 | ||
| 729 | 29.57 | 5.48 | 102.90 | ||
| R | 5 | 1.57 | 0.92 | 56.5 | |
| σ | 4.06 | 1.36 | 0.81 | 53.21 |
| Quality | O | Ca | C | Si | Al |
|---|---|---|---|---|---|
| Group 3 | 42.41 | 25.02 | 11.92 | 9.27 | 6.11 |
| Group 6 | 44.03 | 28.57 | 12.81 | 6.58 | 2.60 |
| Concrete Type | Compressive Strength/MPa | Splitting Strength/MPa | ||
|---|---|---|---|---|
| 7 d | 28 d | 7 d | 28 d | |
| Self-compacting gangue concrete | 21.78 | 32.25 | 4.43 | 6.58 |
| Traditional concrete | 18.93 | 30.67 | 3.17 | 5.12 |
Publisher’s Note: MDPI stays neutral with regard to jurisdictional claims in published maps and institutional affiliations. |
© 2022 by the authors. Licensee MDPI, Basel, Switzerland. This article is an open access article distributed under the terms and conditions of the Creative Commons Attribution (CC BY) license (https://creativecommons.org/licenses/by/4.0/).
Share and Cite
Chen, L.; Guo, N.; Liu, G.; Guo, X.; Zhao, J.; Liu, Z. Examination of Mixing Proportion in Self-Compacting Gangue-Based Pavement Concrete. Buildings 2022, 12, 591. https://doi.org/10.3390/buildings12050591
Chen L, Guo N, Liu G, Guo X, Zhao J, Liu Z. Examination of Mixing Proportion in Self-Compacting Gangue-Based Pavement Concrete. Buildings. 2022; 12(5):591. https://doi.org/10.3390/buildings12050591
Chicago/Turabian StyleChen, Lianjun, Nan Guo, Guoming Liu, Xiaohan Guo, Jipeng Zhao, and Zhaoxia Liu. 2022. "Examination of Mixing Proportion in Self-Compacting Gangue-Based Pavement Concrete" Buildings 12, no. 5: 591. https://doi.org/10.3390/buildings12050591
APA StyleChen, L., Guo, N., Liu, G., Guo, X., Zhao, J., & Liu, Z. (2022). Examination of Mixing Proportion in Self-Compacting Gangue-Based Pavement Concrete. Buildings, 12(5), 591. https://doi.org/10.3390/buildings12050591

