Next Article in Journal
Towards Automated Structural Stability Design of Buildings—A BIM-Based Solution
Next Article in Special Issue
Vibration Serviceability Assessment of a Historic Suspension Footbridge
Previous Article in Journal
Implementation of BIM Energy Analysis and Monte Carlo Simulation for Estimating Building Energy Performance Based on Regression Approach: A Case Study
Previous Article in Special Issue
Dynamic Reliability Analysis of Large-Span Structures under Crowd Bouncing Excitation
 
 
Font Type:
Arial Georgia Verdana
Font Size:
Aa Aa Aa
Line Spacing:
Column Width:
Background:
Article

Equivalent Dynamic Load Factor of Different Non-Exceedance Probability for Crowd Jumping Loads

1
School of Civil Engineering, Zhengzhou University, Zhengzhou 450001, China
2
Henan Urban Planning Institute and Corporation, Zhengzhou 450044, China
*
Author to whom correspondence should be addressed.
Buildings 2022, 12(4), 450; https://doi.org/10.3390/buildings12040450
Submission received: 16 February 2022 / Revised: 17 March 2022 / Accepted: 31 March 2022 / Published: 6 April 2022
(This article belongs to the Special Issue Structural Vibration Serviceability and Human Comfort)

Abstract

:
Existing dynamic load factors (DLF) for crowd jumping loads are modeled by identifying the peaks and energies from the corresponding Fourier amplitude spectrum, which may underestimate and overestimate structural responses, respectively. Based on the principle of equal structural responses, this study herein develops an equivalent DLF, using the frequency response function to weight and integrate the power spectral density (PSD) matrix of crowd jumping loads. Firstly, massive PSD matrices of different crowd sizes and different metronome frequencies are simulated using a random field model of crowd jumping loads. Thereafter, the equivalent DLF of different structural damping ratios, crowd sizes, metronome frequencies, and non-exceedance probabilities are investigated, and a model of the equivalent DLF is established accordingly. It is believed that this model could provide an efficient and accurate way to conduct reliability design for structures subjected to crowd jumping loads.

1. Introduction

Currently, the modern assembly structures (e.g., large-span floor slabs, footbridges, grandstands, etc.), gradually exhibit the characteristics of low natural frequencies and low damping ratios, due to the extensive use of lightweight, high-strength building materials [1,2,3,4,5]. Accordingly, structural vibration serviceability issues [6,7] as well as safety risks [8,9] caused by crowd activities have been increasingly emerging, which may further lead to huge economic losses and even heavy casualties in extreme cases. One typical example of this was the London Millennium Bridge in 2000, in which severe lateral vibrations of the bridge were induced by pedestrian use [10]. The bridge was therefore closed to traffic for three days after the grand opening, and it cost GBP 5 million to solve the vibration problem. Additionally, at a sports concert given in Vigo, Spain in 2018, the wooden stands collapsed due to the audience’s rhythmic activities, with over 300 people injured [11]. Jumping is usually considered to generate the most significant vertical loads in contrast to other common activities [12,13], in particular when the crowd is coordinated by an external beat. This will be the focus of this research.
Load models are necessary, both in the design stage and the as-built stage to evaluate the vibration performance of structures subjected to crowd jumping activities [14]. Considering that jumping activities are approximate periodic, Fourier series models are mostly used to represent jumping loads [13,15,16,17,18,19], where the dynamic load factor (DLF) is the key parameter to characterize the load magnitude and crowd synchronization. When crowds jump to an external beat, it is unlikely to achieve perfect synchronization because of both inter- and intra-subject variability [20], and the crowd behave differently to the beat of different dominant frequencies [17]. Therefore, the DLF is a stochastic variable and related to the crowd size and guidance frequency, where the guidance frequency denotes the dominant frequency of the metronome or music that guides the crowd to jump. Massive investigations on jumping loads have been conducted [13,14,15,16,17,18,19], and DLF models have been established accordingly. The DLF of these models is identified by the peaks [16] or energies [17] from the corresponding Fourier amplitude spectrum. The intra-subject variability of a jumping activity caused the load energy to spread around the jumping frequency and its multiplier [21], where the jumping frequency denotes the dominant frequency of a person’s jumping load time history. When a crowd jumps at a given guidance frequency, most people can follow the beat, and their jumping frequency is equal to the guidance frequency. As for a few people who cannot follow the beat, their jumping frequency is unequal to the guidance frequency. The DLF obtained by identifying the peaks can underestimate structural responses because it overlooks the energy near the jumping frequency and its multiplier [22]. The DLF obtained by identifying the energy can overestimate structural responses because it assumes that the energy is all concentrated at the jumping frequency and its multiplier. When using the resonance assumption to calculate structural responses, the energy at the jumping frequency and its multiplier contributes more to structural responses than the energy around them. Moreover, most of the DLF models lack the data support of large crowd jumping tests. For one thing, the DLF model is developed based on the individual jumping load records aligned by the time instant of the beat [17,19], in which the influence of human–human interaction is not involved. For another, the DLF is modeled through crowd jumping loads identified by structural responses [15], in which the jumping load of each person could not be recorded. Moreover, owing to the limitation of test conditions, the model ignores the change of the DLF with the guidance frequency. In addition, only the mean value or a certain quantile value of the DLF is provided, which is not applicable for the structural design of different reliabilities.
The accurate calculation of structural responses is the main purpose of load modeling. Hence, the modeling parameters could be obtained based on the principle of equal structural responses. This idea has been applied to the modeling of crowd walking loads, in which the number of equivalent synchronized pedestrians is obtained using this principle [23,24]. Similarly, the DLF can be identified with the equal structural response, hereafter termed as the equivalent DLF. This is the main highlight of this study. It can overcome the shortcomings of the existing DLF modeled by identifying the peaks or energies from the corresponding Fourier amplitude spectrum. Moreover, structural response could be calculated in the form of Fourier series using the equivalent DLF, which is further more convenient for application to structural design and evaluation than other complicated stochastic models of jumping loads [12,25,26,27,28,29]. In addition, to further apply the model to structural reliability design, the equivalent DLF of different non-exceedance probability is established. This is another main highlight of this study. It can overcome the shortcomings of the existing DLF, which only provides its mean value or a certain quantile value. The paper begins with the formula of the equivalent DLF calculation, which adopts the frequency response function (FRF) to weight and integrate the power spectral density (PSD) matrix of crowd jumping loads. This approach makes the root mean square value of structural acceleration responses equal. The formula of simulating PSD matrices of crowd jumping loads is then provided. This is followed by the modeling of the equivalent DLF with four parameters, i.e., structural damping ratio, guidance frequency, crowd size, and non-exceedance probabilities. The Engineering application of the equivalent DLF is followed. Afterwards, discussions on this work are provided.

2. Formula of the Equivalent Dynamic Load Factor

The Fourier series-based model for crowd jumping loads, F(t), is usually expressed as [15]:
F ( t ) = W [ 1 + j = 1 n h r j sin ( 2 π j f gu t + φ j ) ]
where W is the total body weight of the jumping crowd, rj and φj are the DLF and phase angle of the jth harmonic, fgu is the guidance frequency, and nh is the number of load harmonics considered.
The values of rj for jumping loads are commonly determined by two methods. In the first method, hereafter termed as the peak method, the maximum value of the jth harmonic region in the Fourier amplitude spectrum is adopted as rj, as depicted in Figure 1, and the values are listed in Table 1 for further comparison. In the above, the jth harmonic region is ((j − 0.5)fgu, (j + 0.5)fgu). As for the second method, hereafter termed as the energy method, the total energy of the jth harmonic region in the Fourier amplitude spectrum is adopted as rj, as calculated by:
r j = h = 1 n s A j h 2
where Ajh is the amplitude of the hth sinusoid in the jth harmonic region and ns is the number of the sinusoids. The values of rj calculated by the energy method for the Fourier amplitude spectrum in Figure 1 are provided in Table 1. The peak method only considers the energy at the jumping frequency and its multiplier, and the energy in between is ignored, which can underestimate structural responses. The energy method assumes that all the energy of a jumping load is concentrated at the jumping frequency and its multiplier, which overestimates structural responses when the resonance assumption is made.
A novel DLF calculating method that can accurately estimate the root mean square value of structural acceleration responses is therefore proposed. Considering a single degree-of-freedom system with a unit mass subjected to crowd jumping loads, as shown in Figure 2, the equation of motion of the system is expressed as:
u ¨ s ( t ) + 2 ζ s ω s u ˙ s ( t ) + ω s 2 u s ( t ) = l = 1 n p W l x l ( t )
where ζs, ωs, and us(t) are the damping ratio, circular frequency, and displacement of the system, respectively, Wl is the body weight of the lth jumping person, and xl(t) is the ground reaction force time history of the lth jumping person divided by Wl, which is dimensionless. Therefore, xl(t) reflects the change of center when an individual jumps, and it is the most direct variable to reflect the jumping pattern. The FRF H(f; fs, ζs) related to the input, l = 1 n p W l x l ( t ) , and output, u ¨ s ( t ) , is deduced from Equation (3):
H ( f ; f s , ζ s ) = f 2 ( f 2 + f s 2 + 2 ζ s i f f s )
where fs = 2πωs is the cyclic frequency of the structure and i is the imaginary unit. Then, the auto-PSD [21] G(f) of u ¨ s ( t ) can be obtained by the stochastic vibration theory [30]:
G ( f ) = | H ( f ; f s , ζ s ) | 2 l = 1 n p k = 1 n p W l W k G l k ( f )
where Glk(f) is the lth row and kth column element of the PSD matrix of crowd jumping loads. If lk, Glk(f) is the cross-PSD of xl(t) and xk(t). If l = k, Gll(f) is the auto-PSD of xl(t). Integrating G(f) within the frequency range yields the root mean square value arms of u ¨ s ( t ) :
a rms 2 = 0 G ( f ) d f = 0 | H ( f ; f s , ζ s ) | 2 l = 1 n p k = 1 n p W l W k G l k ( f ) d f
If the crowd jumping load, i.e., the right term of Equation (3), is modeled by the Fourier series, as expressed by Equation (1), the auto-PSD GF(f) of F ( t ) is:
G F ( f ) = W 2 [ δ ( f ) + j = 1 n h r j 2 δ ( f j f gu ) ]
where δ ( ) is the Dirac delta function. Then, as the derivation procedure of Equations (3)–(5), arms of u ¨ s ( t ) can be calculated by:
a rms 2 = 0 G ( f ) d f = 0 | H ( f ; f s , ζ s ) | 2 W 2 [ δ ( f ) + j = 1 n h r j 2 δ ( f j f gu ) ] d f = W 2 [ | H ( 0 ; f s , ζ s ) | 2 + j = 1 n h r j 2 | H ( j f gu ; f s , ζ s ) | 2 ] = W 2 j = 1 n h r j 2 | H ( j f gu ; f s , ζ s ) | 2
The resonance scenario is commonly assumed for structural response estimation to consider the severest case [31], where structural frequency is assumed to be equal to the guidance frequency or its multiplier. Consequently, structural responses induced by the jth harmonic of jumping load is much larger than the rest of the harmonics:
a rms 2 = W 2 j = 1 n h r j 2 | H ( j f gu ; f s , ζ s ) | 2 W 2 r j 2 | H ( j f gu ; j f gu , ζ s ) | 2
Making arms calculated by Equations (6) and (9) equal and assuming a resonance scenario in Equation (6) yields:
W 2 r j 2 | H ( j f gu ; j f gu , ζ s ) | 2 = 0 | H ( f ; j f gu , ζ s ) | 2 l = 1 n p k = 1 n p W l W k G l k ( f ) d f
If the weight of every jumping person is assumed to be equal, Equation (10) will be further simplified as:
r j = 0 | H ( f ; j f gu , ζ s ) | 2 l = 1 n p k = 1 n p G l k ( f ) d f | H ( j f gu ; j f gu , ζ s ) |
In the above, H(jfgu; jfgu, ζs) is the maximum of H(f; jfgu, ζs), so it is indicated that the equivalent DLF for crowd jumping loads can be identified using the FRF to weight and integrate the PSD matrix of crowd jumping loads, hereafter termed as the FRF-weighting method. The equivalent DLF is related to the structural damping ratio because Equation (11) is derived from the principle of equal structural responses. Then, the equivalent DLF of the Fourier amplitude spectrum in Figure 1 calculated by Equation (11) is provided in Table 1. It is observed from Table 1 that the DLF obtained by the peak method and energy method are quite different, especially for high-order harmonics, because the degree of energy diffusion increases as the harmonic order increases [21]. The maximum-normalized FRF is adopted in the FRF-weighting method to weight the contribution of different sinusoids to structural responses, and the equivalent DLF obtained by this method is between the DLF obtained by the peak method and the DLF obtained by the energy method. Moreover, the equivalent DLF obtained by the FRF-weighting method is strongly related to structural damping ratio. When the structural damping ratio is small, the bandwidth of the FRF is narrow, so the energy around the jumping frequency and its multiplier contributes less to structural responses. Therefore, the equivalent DLF is small and close to the DLF obtained by the peak method. When the structural damping ratio is large, the bandwidth of the FRF is wide and the energy around the jumping frequency and its multiplier contributes more to structural responses. Therefore, the equivalent DLF is large and close to the DLF obtained by the energy method.

3. Simulation of the Equivalent Dynamic Load Factor

The PSD matrix for crowd jumping loads is fundamental to calculating the equivalent DLF according to Equation (11). In this section, a random field model for crowd jumping loads proposed by the authors [32] is adopted for the simulation of the PSD matrix.

3.1. Random Field Model for Crowd Jumping Loads

The auto-PSD of individual jumping loads, i.e., the diagonal element of the random field model, is established according to the individual jumping load records collected by force plates. The cross-PSD of crowd jumping load, i.e., the off-diagonal element of the random field model, is established according to the crowd jumping records collected by three-dimensional motion capture technology. It is proved by spectral analysis that the energy after the second harmonic of the load is weak, and the test error is large for high-frequency components due to the high-frequency trembling of the skin when three-dimensional motion capture technology is used. Therefore, the first two harmonics of crowd jumping loads are considered in the random field model. Spectral analysis of the individual load records demonstrates that the energy of the jumping load is mainly distributed around the fundamental jumping frequency and its multiple integers (harmonics), and the energy in between is almost equal to zero. Therefore, the auto-PSD can be modeled separately for each harmonic. The auto-PSD sample is then normalized by the jumping frequency and the harmonic order, and a two-term Gaussian function is used to model the shape of the normalized auto-PSD. Finally, the lth diagonal element of the PSD matrix, i.e., the auto-PSD Gll(f) of the lth person’s jumping load, is modeled by:
G l l ( f ; f ju ) = j = 1 2 G l l , j ( f ; f ju ) = j = 1 2 ρ ( f ju ) s j ( f ju ) G no ( f / j f ju ) j f ju f [ 0.9 j f ju , 1.1 j f ju ] G l l ( f ; f ju ) = 0 otherwise
where Gll,j(f; fju) is the jth harmonic of the auto-PSD and sj(fju) is the energy for the jth harmonic, which can be calculated by Equation (13); the coefficients identified by the test records are listed in Table 2. ρ(fju) is used to reflect the energy truncation effect and can be calculated by Equation (14). Gno(f/jfju) is used to describe the shape of the normalized-PSD, which can be calculated by Equation (15), and the coefficients are provided in Table 2.
s j ( f ju ) ( s T ( f ju ) ) = p 1 f ju 3 + p 2 f ju 2 + p 3 f ju + p 4        
ρ ( f ju ) = s T ( f ju ) j = 1 2 s j ( f ju )
G no ( f / j f ju ) = p 5 exp [ ( f / j f ju 1 p 6 ) 2 ] + p 7 exp [ ( f / j f ju 1 p 8 ) 2 ]
The coherence function is the key to the modeling of the cross-PSD, because the auto-PSD has been well modeled by Equation (12). First, the coherence function is modeled by filtering the records with a dominant frequency equal to the metronome frequency. The magnitude of the coherence function is then simplified as an energy scaling factor, because the real part and imaginary part of cross-PSD have the same curve shape, as auto-PSD. The phase angle of the coherence function is simplified as a set of time lag shifts, because different load records have the same dominant frequency. Finally, the off-diagonal element of the PSD matrix, i.e., the cross-PSD Glk(f) of the lth person’s jumping load and kth person’s jumping load is modeled by:
G l k ( f ; f ju , l , f ju , k ) = exp [ i 2 π f ( Δ t k ( f ju , k ) Δ t l ( f ju , l ) ) ] × [ j = 1 2 | γ l k ( j ; f ju , l ) | | γ l k ( j ; f ju , k ) | G l l , j ( f ; f ju , l ) G k k , j ( f ; f ju , k ) ] f [ 0.9 j f ju , 1.1 j f ju ] G l k ( f ; f ju , l , f ju , k ) = 0 otherwise
where fju,l is the lth person’s jumping frequency, Gll,j(f; fju,l) is defined by Equation (12), and |γlk(j; fju,l)| is the magnitude of the coherence function at the jth harmonic, as provided in Table 3. Δtl(fju,l) denotes the time lag shift, which follows a normal distribution N(0, σ2) [s], and the value of σ is provided in Table 3. When a crowd jumps at a given guidance frequency, some people can follow the beat while others cannot. Therefore, the jumping frequency of each person, i.e., fju,l, is modelled as a random variable, and Table 4 in the literature [32] shows its probability distribution.

3.2. Simulation Procedure

Because the first two harmonics of crowd jumping loads are considered in the random field model, the equivalent DLF for the first two harmonics is simulated in this section. As detailed in Table 1, the equivalent DLF is relevant to the structural damping ratio, and the structural damping ratio of common structures subjected to crowd jumping loads, such as gymnasia, grandstands, and concert halls, is in the range of 0.005–0.05 [31,33]. Therefore, the structural damping ratio is taken from 0.005 to 0.05 with an interval of 0.005. Moreover, a crowd reacts differently to different guidance frequencies, so it is crucial to investigate the relationship between the equivalent DLF and the guidance frequency. The guidance frequency is taken from 1.5 to 3.5 Hz, with an interval of 0.1 Hz, because it is hard for a crowd to keep jumping outside this range [32]. The DLF and crowd size exhibit a nonlinear relationship because of the inter-subject variability. In addition, crowd coordination tends to be a constant when the crowd size exceeds fifty [15,18], so the crowd size is taken from 1 to 50 with an interval of 1. To further apply the model to structural reliability design, 1000 Monte Carlo simulations are performed for each working condition; to investigate the equivalent DLF of different non-exceedance probability, the adequacy of the number of Monte Carlo simulations will be discussed in Section 4.4. Details of the simulation algorithm can be seen in Algorithm 1.
Algorithm 1: Algorithm for the equivalent DLF simulation
fori1 = 1.5, 1.6, …, 3.5 do# Set the loop range of the guidance frequency
fgu i1.
fori2 = 1, 2, …, 50 do# Set the loop range of the crowd size
  np i2.
  fori3 = 1, 2, …, 1000 do# Set the number of the Monte Carlo simulations
   Calculate Glk(f) (l = k) using Equation (12).# Simulate the PSD matrix of crowd jumping loads
   Calculate Glk(f) (l ≠ k) using Equation (16).
   fori4 = 0.005, 0.005, …, 0.05 do# Set the loop range of the structural damping ratio
    ζs i4.
    Calculate rj using Equation (11).# Calculate the equivalent DLF
   end for
  end for
 end for
end for
returnrj

4. Modeling of the Equivalent Dynamic Load Factor

The equivalent DLF is related to the structural damping ratio, guidance frequency, crowd size, and non-exceedance probability, so the modeling of the equivalent DLF is a multivariable regression problem. The working condition, where the crowd size is equal to 50, the structural damping ratio is equal to 0.005, and the non-exceedance probability is equal to 0.5, is defined as the standard working condition. First, the equivalent DLF model of the standard working condition is built. Afterwards, the conversion models for other crowd size, structural damping ratio, and non-exceedance probability are established.

4.1. Modeling of the Equivalent DLF for the Standard Working Condition

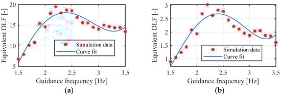
According to the definition of the standard working condition, the median of 1000 simulation data with a structural damping ratio equal to 0.005 and crowd size equal to 50 are adopted to build the model. The crowd reacts differently to different beats. This is also proven by the probability distribution of the jumping frequency, the probability distribution of the time lag shift, and the values of the coherency function magnitude, all of which are related to the guidance frequency. Therefore, the equivalent DLF of the standard working condition is related to the guidance frequency, as depicted in Figure 3, from which it is observed that the equivalent DLF increases first and then decreases with the guidance frequency. This is because it is hard for a crowd to keep up with the beat, and the jumping activity is exhausted when the guidance frequency is high or low. Particularly, the equivalent DLF at the low guidance frequency is only about one-third of the maximum value at the moderate guidance frequency. A fourth-order polynomial is used to model the equivalent DLF for the standard working condition, as depicted in Figure 3, in which Equation (17) is used for the first harmonic and Equation (18) is used for the second harmonic.
r sta , 1 ( f gu ) = 3.673 f gu 4 29.4 f gu 3 + 71.42 f gu 2 38.31 f gu 16.83
r sta , 2 ( f gu ) = 0.934 f gu 4 8.258 f gu 3 + 24.62 f gu 2 27.12 f gu + 9.135

4.2. Conversion Model for Structural Damping Ratio

According to Equation (11), the structural damping ratio affects the equivalent DLF by changing the magnitude of the FRF. The bandwidth of the FRF increases as the structural damping ratio increases, so the contribution for the energy between different harmonics to structural responses increases. As a result, the equivalent DLF will increase with the structural damping ratio. Moreover, the influence degree of the structural damping ratio on the equivalent DLF is related to the PSD matrix. In particular, the impact degree increases as the bandwidth of the sum of the PSD matrix’s elements increases, because more energies are distributed between the jumping frequency and its multiplier, and these energies are weighted by the FRF to contribute for structural responses. First, the bandwidth increases as the jumping frequency increases, which is illustrated by the expression of the normalized PSD, i.e., Equation (15). Moreover, this bandwidth increases as the dispersion degree of the jumping frequency increases according to Equation (16). The dispersion degree of the jumping frequency is large at the low guidance frequency [32], because many people cannot keep up with the beat. Consequently, the influence degree of the structural damping ratio on the equivalent DLF for different guidance frequencies is complicated. To further yield the influence degree, the median of the 1000 simulations with a crowd size equal to 50 is used to plot Figure 4, where the equivalent DLF is normalized by the equivalent DLF with a structural damping ration equal to 0.005.
It is observed from Figure 4 that the influence of the structural damping ratio on the equivalent DLF is not greatly affected by the guidance frequency in general. Only at the low guidance frequency, such as 1.5 and 1.6 Hz, the influence is different and is slightly greater than the other guidance frequencies. Therefore, the influence of the guidance frequency is overlooked in the conversion model of Equations (19) and (20) for the structural damping ratio. In addition, the crowd size and non-exceedance probability are also overlooked in the conversion model of Equations (19) and (20), because these two variables are not related to the influence of the structural damping ratio on the equivalent DLF according to Equation (11). Then, by fitting the average curve of different guidance frequencies in Figure 4, power functions, as depicted in Figure 5, are adopted to establish the conversion model, as shown in Equations (19) and (20).
c 1 ( ζ s ) = 0.5241 ζ s 0.2253 + 2.728
c 2 ( ζ s ) = 5.702 ζ s 0.0483 + 8.367
where c1s) is the conversion model for the first harmonic and c2s) is the conversion model for the second c 1 ( ζ s ) = 0.5241 ζ s 0.2253 + 2.728 harmonic.

4.3. Conversion Model for Crowd Size

Owing to the inter-subject variability, the equivalent DLF is not proportional to the crowd size. In existing models, the crowd DLF divided by the crowd size is defined as the coordination factor to quantify the crowd synchronization [15], because the coordination factor tends to be a constant as the crowd size increases, which makes the modeling of the crowd DLF easy. Learning from this idea, the coordination factor, coi, in this section is defined as:
c o j ( n p ) = c j ( n p ) n p = r j ( n p ) n p r j ( 50 )
where the subscript j denotes the harmonic order, cj is the conversion model for the crowd size, and rj(np) is the equivalent DLF with crowd size np. To further investigate the law of the coordination factor, the median of the 1000 simulations with structural damping ratio equal to 0.005 is used to plot Figure 6, where the ordinate is obtained by Equation (21).
It is observed from Figure 6 that the influence of the crowd size on the coordination factor is affected by the guidance frequency when the crowd size is small. Nevertheless, as the crowd size increases, the relationships between the coordination factor and crowd size for different guidance frequencies tend to coincide, and practical structures are commonly subjected to jumping loads with large crowd. Therefore, the influence of the guidance frequency is overlooked in the modeling of the coordination factor. In addition, the structural damping ratio and non-exceedance probability are also overlooked in the coordination factor model, because these two variables are not related to crowd synchronization. Then, by fitting the average curve of different guidance frequencies in Figure 6, power functions, as depicted in Figure 7, are adopted to establish the model of coordination factor:
c o 1 ( n p ) = 0.01993 n p 1.033 + 0.01973
c o 2 ( n p ) = 0.1012 n p - 0.6797 + 0.01308
According to Equation (21), the conversion model for the crowd size can be obtained by:
c 1 ( n p ) = 0.01993 n p −0.033 + 0.01973 n p
c 2 ( n p ) = 0 . 1012 n p 0 . 3203 + 0 . 01308 n p

4.4. Conversion Model for Non-Exceedance Probability

Due to the randomness of crowd jumping loads, the equivalent DLF is a random variable. Therefore, the probability distribution of the equivalent DLF is the key to building the conversion model for non-exceedance probability. Some histograms with crowd size equal to 50 and structural damping ratio equal to 0.005 are provided in Figure 8 and Figure 9. It is observed that the equivalent DLF for both the first harmonic and second harmonic follows a normal distribution, and similar histograms are found for other crowd sizes and structural damping ratios.
The equivalent DLF rj of a certain non-exceedance probability p can be deduced by:
F 1 ( p ) = r j r ¯ j r ¯ j c v j
where F−1( ) is the inverse function of the cumulative distribution function for the standard normal distribution, r ¯ j is the average of the equivalent DLF, and cvj is the coefficient of variation of the equivalent DLF. According to Equations (17)–(20) and Equations (24) and (25), the average of the equivalent DLF can be calculated by:
r ¯ j = r sta , j ( f gu ) c j ( ζ s ) c j ( n p )
Introducing Equation (27) into Equation 26) and reorganizing the equation yields:
r j = r sta , j ( f gu ) c j ( ζ s ) c j ( n p ) [ 1 + F 1 ( p ) c v j ]
Therefore, the coefficient of variation of the equivalent DLF is the key to building the conversion model for the non-exceedance probability. First, the simulations with crowd size equal to 50 and structural damping ratio equal to 0.005 are taken to investigate the cvj of different guidance frequencies. To further determine the number of Monte Carlo simulations, the value of cvj of a different number of Monte Carlo simulations is calculated, as shown in Table 4 and Table 5. It can be observed that when the number of Monte Carlo simulations exceeds 600, cvj tends to be stabilized. Therefore, 1000 is adopted as the number of Monte Carlo simulation in Section 3.2, and the simulated results are depicted in Figure 10. It is observed from Figure 10a that the trend of the coefficient of variation for the first harmonic is inverse to the trend in Figure 3a, because the randomness of the crowd jumping load is weak when the crowd synchronization is good. A fourth-order polynomial is then used to fit the coefficient of variation for the first harmonic of different guidance frequencies:
c v 1 ( f gu ) = 0.00884 f gu 4 + 0.01899 f gu 3 + 0.2506 f gu 2 1.028 f gu + 1.132
As for the second harmonic in Figure 10b, the difference of the coefficient of variation for different guidance frequency is small, so the average of the coefficient of variation for different guidance frequency is adopted:
c v 2 ( f gu ) = 0.214
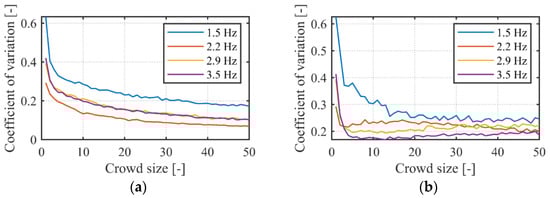
Simulations with a structural damping ratio equal to 0.005 are taken to investigate the relationship between the coefficient of variation and crowd size, and the relationships of some guidance frequencies are illustrated in Figure 11. It is observed from Figure 11 that the coefficient of variation tends to be a constant as the crowd size increases. Because practical structures are commonly subjected to large crowd jumping loads, the influence of the crowd size on the coefficient of variation is overlooked. Then, the simulations with a crowd size equal to 50 are taken to investigate the relationship between coefficient of variation and structural damping ratio, and the relationships of some guidance frequencies are illustrated in Figure 12. It is observed from Figure 12 that the coefficient of variation is only slightly affected by the structural damping ratio, so the influence of the structural damping ratio on the coefficient of variation is ignored.

4.5. Model of the Equivalent DLF

To date, the model of the equivalent DLF for the standard working condition (Equations (17) and (18)) and the conversion model for structural damping ratio (Equations (19) and (20)), crowd size (Equations (24) and (25)), and non-exceedance probability (Equations (28)–(30)) have been established. Consequently, the equivalent DLF can be calculated by:
r 1 = r sta , 1 ( f gu ) c 1 ( ζ s ) c 1 ( n p ) [ 1 + F 1 ( p ) c v 1 ] = ( 3.673 f gu 4 29.4 f gu 3 + 71.42 f gu 2 38.31 f gu 16.83 ) × ( 0.5241 ζ s 0.2253 + 2.728 ) × ( 0.01993 n p 0.033 + 0.01973 n p ) × [ 1 + F 1 ( p ) × ( 0.00884 f gu 4 + 0.01899 f gu 3 + 0.2506 f gu 2 1.028 f gu + 1.132 ) ]
r 2 = r sta , 2 ( f gu ) c 2 ( ζ s ) c 2 ( n p ) [ 1 + F 1 ( p ) c v 2 ] = ( 0.934 f gu 4 8.258 f gu 3 + 24.62 f gu 2 27.12 f gu + 9.135 ) × ( 5.702 ζ s 0.0483 + 8.367 ) × ( 0.1012 n p 0.3203 + 0.01308 n p ) × [ 1 + F 1 ( p ) × 0.214 ]

5. Engineering Application of the Equivalent DLF

The obtained equivalent DLF rj can be used to estimate structural responses under crowd jumping activities in the design stage or as-built stage. First, structural dynamic properties can be obtained by dynamic tests or finite element models. Normally, structural responses are controlled by the resonant mode, where it is assumed the sth vibration mode is resonant, i.e., fs = jfgu. The crowd size, np, can be determined by structural functional requirements, and the non-exceedance probability, p, can be determined by structural reliability requirements. Then, introducing the values of j, fgu, np, and p and the damping ratio ζs, rj can be calculated by Equations (31) and (32). The root mean square value of structural acceleration arms can then be calculated by:
a rms = W r j 2 M s ζ s
where Ms is the modal mass of the resonant mode, normalized by the maximum modal coordinate.

6. Discussions

The principal contribution of this paper is to develop an equivalent DLF model for crowd jumping loads. The FRF is applied to weight and integrate the PSD matrix to calculate the equivalent DLF. The structural damping ratio is introduced as an independent variable in the model, so that the root mean square of the structural responses can be accurately calculated, which overcomes the shortcomings of the existing DLF [13,15,16,17,18,19] overestimating or underestimating structural responses. Moreover, the Fourier series model based on the developed equivalent DLF is more convenient and efficient to calculate structural responses than complicated stochastic models [12,25,26,27,28,29]. In addition, by introducing the non-exceedance probability as an independent variable, a normal distribution-based model is built to obtain the equivalent DLF of different reliabilities, which could avoid using massive Monte Carlo simulations for structural reliability assessment and design. However, to better predict structural responses in real scenes, some limitations and extensions can be described as follows:
(1) Practical engineering structures, such as concert halls and grandstands, are commonly occupied by crowds of a large size. A crowd that is in constant contact with the structure, such as a standing crowd or a sitting crowd, can influence structural dynamic properties [34,35,36], causing an increase of the structural damping ratio in particular. Therefore, when Equations (31) and (32) are adopted to obtain the equivalent DLF, the influence of crowd on the structural damping ratio should be considered.
(2) Crowd jumping loads are multi-point excitations, because different people are at different positions in the structure. The Fourier series model based on the developed equivalent DLF simplifies multi-point excitation to single-point excitation, which cannot consider the modal value of each person. As a result, the modal value of each jumping person is assumed to be 1 to predict structural responses, as shown in Equation (33), which indicates that every jumping person is located at the maximum vibration mode, and it can overestimate structural responses. To reduce the errors in structural response calculation, a representative value to characterize each jumping person’s modal value needs to be further investigated.

7. Conclusions

This study builds on an equivalent DLF model for crowd jumping loads based on the massive simulated PSD matrices using a random field model. The equivalent DLF is identified from the principle of equaling the root mean square of structural responses. Four independent variables, the structural damping ratio, guidance frequency, crowd size, and non-exceedance probability, are introduced in the equivalent DLF model. A fourth-order polynomial is used to fit the equivalent DLF of different guidance frequencies. Power functions are used to convert the equivalent DLF of different damping ratios and crowd sizes. A normal distribution-based model is used to convert the equivalent DLF of different non-exceedance probabilities.

Author Contributions

Conceptualization, J.X.; methodology, J.X. and Z.P.; software, J.X.; validation, S.D.; writing—original draft preparation, J.X.; writing—review and editing, S.D.; supervision, H.Q.; funding acquisition, J.X. and S.D. All authors have read and agreed to the published version of the manuscript.

Funding

This work was supported by the National Natural Science Foundation of China (Grant numbers: 52008376 and 51909241), the Postdoctoral Research Foundation of China (Grant number: 2020M682350 and 2021M701111), and Zhengzhou University Youth Enterprise Cooperation Innovation Team (Grant number: 32320405).

Informed Consent Statement

Informed consent was obtained from all subjects involved in the study.

Data Availability Statement

New data were created or analyzed in this research. Data will be shared upon request and the consideration of the authors.

Conflicts of Interest

The authors declare no conflict of interest.

References

  1. Wang, H.; Zhang, Z.; Chen, J. Prediction of structural responses induced by single-person jumping through a physical principle based on transfer functions. Adv. Struct. Eng. 2022, 25, 146–157. [Google Scholar] [CrossRef]
  2. van Nimmen, K.; Lombaert, G.; de Roeck, G.; van den Broeck, P. The impact of vertical human-structure interaction on the response of footbridges to pedestrian excitation. J. Sound Vib. 2017, 402, 104–121. [Google Scholar] [CrossRef] [Green Version]
  3. Chen, J.; Wang, P.; Wang, H. Pedestrian-induced load identification from structural responses using genetic algorithm with numerical and experimental validation. J. Bridge Eng. 2021, 26, 4021001. [Google Scholar] [CrossRef]
  4. Živanović, S.; Pavic, A.; Reynolds, P. Vibration serviceability of footbridges under human-induced excitation: A literature review. J. Sound Vib. 2005, 279, 1–74. [Google Scholar] [CrossRef] [Green Version]
  5. Xiong, J.; Chen, J. Open access and updated human-induced load data set. J. Struct. Eng. 2021, 147, 4720003. [Google Scholar] [CrossRef]
  6. Wang, J.; Chen, J.; Yokoyama, Y.; Xiong, J. Spectral model for crowd walking load. J. Struct. Eng. 2020, 146, 04019220. [Google Scholar] [CrossRef]
  7. Lee, S.H.; Lee, K.K.; Woo, S.S.; Cho, S.H. Global vertical mode vibrations due to human group rhythmic movement in a 39 story building structure. Eng. Struct. 2013, 57, 296–305. [Google Scholar] [CrossRef]
  8. Wolmuth, B.; Surtees, J. Crowd-related failure of bridges. Proc. ICE Civ. Eng. 2003, 156, 116–123. [Google Scholar] [CrossRef]
  9. de Brito, V.L.; Pimentel, R.L. Cases of collapse of demountable grandstands. J. Perform. Constr. Facil. 2009, 23, 151–159. [Google Scholar] [CrossRef]
  10. Dallard, P.; Flint, A.; le Bourva, S.; Low, A.; Smith, R.M.R.; Willford, M. The London Millenium Footbridge. Struct. Eng. 2001, 79, 17–35. [Google Scholar] [CrossRef]
  11. Sky News. UK. 13 August 2018. Available online: https://news.sky.com/story/300-injured-as-wooden-pier-collapses-at-o-marisquino-music-festival-in-spain-11471557 (accessed on 5 December 2021).
  12. Sim, J.; Blakeborough, A.; Williams, M.S.; Parkhouse, G. Statistical model of crowd jumping loads. J. Struct. Eng. 2008, 134, 1852–1861. [Google Scholar] [CrossRef]
  13. Ji, T.; Ellis, B.R. Floor vibration induced by dance-type loads: Theory. Struct. Eng. 1994, 72, 37–44. [Google Scholar]
  14. Jones, C.A.; Reynolds, P.; Pavic, A. Vibration serviceability of stadia structures subjected to dynamic crowd loads: A literature review. J. Sound Vib. 2011, 330, 1531–1566. [Google Scholar] [CrossRef]
  15. Ellis, B.R.; Ji, T. Loads generated by jumping crowds: Numerical modelling. Struct. Eng. 2004, 82, 35–40. [Google Scholar]
  16. Li, G.; Ji, T.; Chen, J. Determination of the dynamic load factors for crowd jumping using motion capture technique. Eng. Struct. 2018, 174, 1–9. [Google Scholar] [CrossRef]
  17. Parkhouse, J.G.; Ewins, D.J. Crowd-induced rhythmic loading. Struct. Build. 2006, 159, 247–259. [Google Scholar] [CrossRef]
  18. International Organization for Standardization. Bases for Design of Structures—Serviceability of Buildings and Walkways against Vibration; ISO: Geneva, Switzerland, 2007. [Google Scholar]
  19. Kasperski, M.; Agu, E. Prediction of crowd-induced vibrations via simulation. In Proceedings of the 23rd International Modal Analysis Conference, Orlando, FL, USA, 31 January–3 February 2005. [Google Scholar]
  20. Živanović, S.; Pavić, A.; Reynolds, P. Probability-based prediction of multi-mode vibration response to walking excitation. Eng. Struct. 2007, 29, 942–954. [Google Scholar] [CrossRef]
  21. Xiong, J.; Chen, J. Power spectral density function for individual jumping load. Int. J. Struct. Stab. Dyn. 2018, 18, 1850023. [Google Scholar] [CrossRef]
  22. Brownjohn, J.M.W.; Pavic, A.; Omenzetter, P. A spectral density approach for modelling continuous vertical forces on pedestrian structures due to walking. Can. J. Civ. Eng. 2004, 31, 65–77. [Google Scholar] [CrossRef] [Green Version]
  23. Ingólfsson, E.T.; Georgakis, C.T.; Ricciardelli, F.; Jönsson, J. Experimental identification of pedestrian-induced lateral forces on footbridges. J. Sound Vib. 2011, 330, 1265–1284. [Google Scholar] [CrossRef]
  24. Sétra, Assessment of vibrational behaviour of footbridges under pedestrian loading. In Technical Guide; French Association of Civil Engineering: Paris, France, 2006.
  25. Racic, V.; Pavic, A. Stochastic approach to modelling of near-periodic jumping loads. Mech. Syst. Signal Process. 2010, 24, 3037–3059. [Google Scholar] [CrossRef]
  26. Martínez, J.F.; Hermanns, L.; de Lerma, A.F.; Álvarez, E.A. Jumping load models applied on a gymnasium floor. Eng. Struct. 2016, 125, 26–38. [Google Scholar] [CrossRef]
  27. Xiong, J.; Chen, J. A generative adversarial network model for simulating various types of human-induced loads. Int. J. Struct. Stab. Dyn. 2019, 19, 1950092. [Google Scholar] [CrossRef]
  28. Duan, S.; Xiong, J.; Qian, H. Generative adversarial networks-based stochastic approach to the modeling of individual jumping loads. Int. J. Struct. Stab. Dyn. 2021, 21, 2150047. [Google Scholar] [CrossRef]
  29. Chen, J.; Li, G.; Racic, V. A data-driven wavelet-based approach for generating jumping loads. Mech. Syst. Signal Process. 2018, 106, 49–61. [Google Scholar] [CrossRef]
  30. Wirsching, P.H.; Paez, T.L.; Ortiz, K. Random Vibrations: Theory and Practice; Courier Corporation: New York, NY, USA, 2006. [Google Scholar]
  31. Chen, J.; Li, G.; Racic, V. Acceleration response spectrum for predicting floor vibration due to occupants jumping. Eng. Struct. 2016, 112, 71–80. [Google Scholar] [CrossRef]
  32. Xiong, J.; Chen, J. Random field model for crowd jumping loads. Struct. Saf. 2019, 76, 197–209. [Google Scholar] [CrossRef]
  33. Chen, J.; Wang, L.; Racic, V.; Lou, J. Acceleration response spectrum for prediction of structural vibration due to individual bouncing. Mech. Syst. Signal Process. 2016, 76, 394–408. [Google Scholar] [CrossRef]
  34. Xiong, J.; Chen, J.; Caprani, C. Spectral analysis of human-structure interaction during crowd jumping. Appl. Math. Model. 2021, 89, 610–626. [Google Scholar] [CrossRef]
  35. Tubino, F. Probabilistic assessment of the dynamic interaction between multiple pedestrians and vertical vibrations of footbridges. J. Sound Vib. 2018, 417, 80–96. [Google Scholar] [CrossRef]
  36. Caprani, C.C.; Ahmadi, E. Formulation of human–structure interaction system models for vertical vibration. J. Sound Vib. 2016, 377, 346–367. [Google Scholar] [CrossRef]
Figure 1. Fourier amplitude spectrum of a 2.0 Hz individual jumping load.
Figure 1. Fourier amplitude spectrum of a 2.0 Hz individual jumping load.
Buildings 12 00450 g001
Figure 2. Model of single degree-of-freedom system subjected crowd jumping loads.
Figure 2. Model of single degree-of-freedom system subjected crowd jumping loads.
Buildings 12 00450 g002
Figure 3. Modeling of the equivalent DLF for the standard working condition. (a) Equivalent DLF for the first harmonic, (b) Equivalent DLF for the second harmonic.
Figure 3. Modeling of the equivalent DLF for the standard working condition. (a) Equivalent DLF for the first harmonic, (b) Equivalent DLF for the second harmonic.
Buildings 12 00450 g003
Figure 4. Relationship between structural damping ratio and normalized equivalent DLF. (a) Relationship for the first harmonic, (b) Relationship for the second harmonic.
Figure 4. Relationship between structural damping ratio and normalized equivalent DLF. (a) Relationship for the first harmonic, (b) Relationship for the second harmonic.
Buildings 12 00450 g004
Figure 5. Conversion model for structural damping ratio. (a) Model for the first harmonic, (b) Model for the second harmonic.
Figure 5. Conversion model for structural damping ratio. (a) Model for the first harmonic, (b) Model for the second harmonic.
Buildings 12 00450 g005
Figure 6. Relationship between coordination factor and crowd size. (a) Relationship for the first harmonic, (b) Relationship for the second harmonic.
Figure 6. Relationship between coordination factor and crowd size. (a) Relationship for the first harmonic, (b) Relationship for the second harmonic.
Buildings 12 00450 g006
Figure 7. Conversion model for the coordination factor. (a) Model for the first harmonic, (b) Model for the second harmonic.
Figure 7. Conversion model for the coordination factor. (a) Model for the first harmonic, (b) Model for the second harmonic.
Buildings 12 00450 g007
Figure 8. Equivalent DLF histogram of the first harmonic. (a) 1.5 Hz guidance frequency, (b) 2.5 Hz guidance frequency, (c) 3.5 Hz guidance frequency.
Figure 8. Equivalent DLF histogram of the first harmonic. (a) 1.5 Hz guidance frequency, (b) 2.5 Hz guidance frequency, (c) 3.5 Hz guidance frequency.
Buildings 12 00450 g008
Figure 9. Equivalent DLF histogram of the second harmonic. (a) 1.5 Hz guidance frequency, (b) 2.5 Hz guidance frequency, (c) 3.5 Hz guidance frequency.
Figure 9. Equivalent DLF histogram of the second harmonic. (a) 1.5 Hz guidance frequency, (b) 2.5 Hz guidance frequency, (c) 3.5 Hz guidance frequency.
Buildings 12 00450 g009
Figure 10. Modeling of the coefficient of variation of different guidance frequencies. (a) Modeling for the first harmonic, (b) Modeling for the second harmonic.
Figure 10. Modeling of the coefficient of variation of different guidance frequencies. (a) Modeling for the first harmonic, (b) Modeling for the second harmonic.
Buildings 12 00450 g010
Figure 11. Relationship between coefficient of variation and crowd size. (a) Relationship for the first harmonic, (b) Relationship for the second harmonic.
Figure 11. Relationship between coefficient of variation and crowd size. (a) Relationship for the first harmonic, (b) Relationship for the second harmonic.
Buildings 12 00450 g011
Figure 12. Relationship between coefficient of variation and structural damping ratio. (a) Relationship for the first harmonic, (b) Relationship for the second harmonic.
Figure 12. Relationship between coefficient of variation and structural damping ratio. (a) Relationship for the first harmonic, (b) Relationship for the second harmonic.
Buildings 12 00450 g012
Table 1. Values of the DLF obtained by different methods.
Table 1. Values of the DLF obtained by different methods.
Harmonic
Order
Peak
Method
Energy
Method
FRF-Weighting Method
ζs = 0.005ζs = 0.05
r11.1061.3131.1131.248
r20.1400.2760.1520.236
r30.0400.1260.0470.090
Table 2. Model coefficients for the auto-PSD.
Table 2. Model coefficients for the auto-PSD.
Parameterp1 [s]p2 [s]p3 [s]p4 [s]p5 [-]p6 [-]p7 [-]p8 [-]
sT(fju)0.210−1.9195.621−3.958////
s1(fju)0.211−1.8425.231−3.769////
s2(fju)0.035−0.3631.166−0.993////
Gno(f/jfju)////2.8040.07929.270.012
Table 3. Model coefficients for the cross-PSD.
Table 3. Model coefficients for the cross-PSD.
fju [Hz]σ [-]|γlk(1)| [-]|γlk(2)| [-]
1.50.1310.6280.301
1.60.0840.6200.242
1.70.0980.7020.325
1.80.0840.6320.311
1.90.0690.7250.381
2.00.0710.7620.405
2.10.0590.7850.442
2.20.0540.7980.463
2.30.0570.7850.449
2.40.0530.7950.452
2.50.0420.8090.509
2.60.0530.7330.407
2.70.0540.7220.401
2.80.0530.7180.377
2.90.0470.7270.369
3.00.0490.7430.389
3.10.0450.7220.368
3.20.0420.7600.417
3.30.0420.6910.345
3.40.0370.7050.342
3.50.0410.6650.296
Table 4. The coefficient of variation for the first harmonic of different numbers of MC simulations.
Table 4. The coefficient of variation for the first harmonic of different numbers of MC simulations.
Guidance Frequency [Hz]1.51.71.92.12.32.52.72.93.13.33.5
1000 MC simulation0.1340.1160.0770.0720.0740.0560.0900.0960.0920.0880.092
800 MC simulation0.1350.1170.0770.0720.0750.0560.0900.0970.0920.0890.091
600 MC simulation0.1330.1160.0770.0720.0750.0560.0900.0960.0910.0880.091
400 MC simulation0.1250.1120.0730.0700.0730.0550.0930.0900.0930.0840.091
200 MC simulation0.1420.1100.0780.0750.0730.0530.0890.0880.0940.0790.094
Table 5. The coefficient of variation for the second harmonic of different numbers of MC simulations.
Table 5. The coefficient of variation for the second harmonic of different numbers of MC simulations.
Guidance Frequency [Hz]1.51.71.92.12.32.52.72.93.13.33.5
1000 MC simulation0.1750.1530.1930.2010.2120.1790.2110.2010.1980.1930.165
800 MC simulation0.1760.1540.1930.2020.2130.1800.2110.2020.2000.1950.164
600 MC simulation0.1740.1540.1930.2020.2140.1800.2110.1990.1990.1940.166
400 MC simulation0.1670.1500.1900.1970.2100.1750.2110.1890.1980.1880.163
200 MC simulation0.1940.1470.1920.2050.2120.1670.2150.1840.2040.1730.170
Publisher’s Note: MDPI stays neutral with regard to jurisdictional claims in published maps and institutional affiliations.

Share and Cite

MDPI and ACS Style

Xiong, J.; Duan, S.; Qian, H.; Pan, Z. Equivalent Dynamic Load Factor of Different Non-Exceedance Probability for Crowd Jumping Loads. Buildings 2022, 12, 450. https://doi.org/10.3390/buildings12040450

AMA Style

Xiong J, Duan S, Qian H, Pan Z. Equivalent Dynamic Load Factor of Different Non-Exceedance Probability for Crowd Jumping Loads. Buildings. 2022; 12(4):450. https://doi.org/10.3390/buildings12040450

Chicago/Turabian Style

Xiong, Jiecheng, Shuqian Duan, Hui Qian, and Ziye Pan. 2022. "Equivalent Dynamic Load Factor of Different Non-Exceedance Probability for Crowd Jumping Loads" Buildings 12, no. 4: 450. https://doi.org/10.3390/buildings12040450

APA Style

Xiong, J., Duan, S., Qian, H., & Pan, Z. (2022). Equivalent Dynamic Load Factor of Different Non-Exceedance Probability for Crowd Jumping Loads. Buildings, 12(4), 450. https://doi.org/10.3390/buildings12040450

Note that from the first issue of 2016, this journal uses article numbers instead of page numbers. See further details here.

Article Metrics

Back to TopTop