Physical Properties and Environmental Impact of Sound Barrier Materials Based on Fly Ash Cenosphere
Abstract
:1. Introduction
2. Materials and Method
2.1. Experimental Materials
2.2. Test Methods
2.2.1. Open Pore Ratio Test
2.2.2. Compressive Strength Test
2.2.3. Sound Absorption Property Test
2.2.4. Sound Insulation Property Test
2.3. Preparation Process
- (1)
- Preparation of the sound insulation layer: The cenosphere particles and the waste glass fiber were premixed for 30 s so as to mix them evenly. Then, approximately 50% water was added into the mixed aggregate and stirred for 30 s. Next, the weighed silica fume and cement were added, and stirring continued for 30 s evenly. The water-reducing agent and the remaining water were evenly stirred together and then added to the mixture and stirred for 90 s. Finally, the stirred mixture was poured into the test mold. The dimensions of the mechanical mold were 100 mm × 100 mm × 150 mm, and those of the acoustic specimen mold were φ99 mm × 150 mm and φ28.5 mm × 130 mm. Finally, the molds were pre-pressed by the press.
- (2)
- Preparation of the sound absorption layer: The cenosphere particles and approximately 50% test water were evenly premixed for 30 s. Then, the weighed cement was added into the aggregate and stirred for 30 s so that the cement could wrap around the cenosphere particles fully. Next, the water-reducing agent and the remaining water were stirred together evenly and then added into the mixture and continuously stirred for 60 s. Finally, the stirred stock was poured into the mold quickly and then pressed to form the two layers of materials.
- (3)
- Maintenance of the specimen: The mold was immediately wrapped after the specimen had been formed. Then, the mold was removed after maintenance for 24 h indoors, and water was sprayed on the specimen, which was then maintained to test the age. All tests in this study were repeated 3 times.
2.4. Design of the Fly Ash Cenosphere Cement-Based Property Test
2.4.1. Design of the Sound Absorption Layer Test
2.4.2. Design of the Sound Insulation Layer
2.4.3. Design of the Composite Layer Test
2.5. Environmental Impact Assessment
3. Results and Discussions
3.1. Properties of the Sound Absorption Layer
3.1.1. Effect of the Formation Pressure on the Properties of the Sound Absorption Layer
3.1.2. Effects of the Aggregate-to-Binder Ratio on the Properties of the Sound Absorption Layer
3.2. Properties of the Sound Insulation Layer
3.2.1. Effects of the Fiber Admixture on the Properties of the Sound Insulation Layer
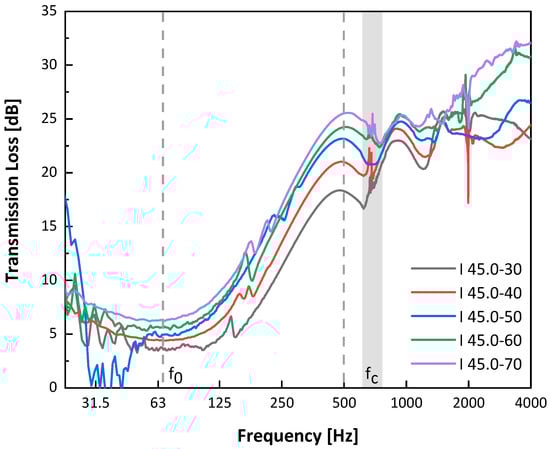
3.2.2. Effects of the Specimen’s Thickness on the Properties of the Sound Insulation Layer
3.3. Properties of the Composite Layer
3.4. Environmental Impact Assessment
4. Conclusions
- (1)
- The sound absorption layer obtained the best performance when the forming pressure was 0.4 MPa and the aggregate-to-binder ratio was 1.0, while the compressive strength of the sound insulation layer was as high as 29.0 MPa when the fiber content was 45%.
- (2)
- When the thickness ratio of the sound absorption and insulation layers was 60:40, the sound transmission loss of the composite reached the highest level of 38 dB.
- (3)
- The compressive strength of the composite material was 6.7−53.6% higher than that of other porous materials. Its NRC was up to 0.45, which was 11.1−44.4% higher than those of other materials.
- (4)
- The embodied carbon and embodied energy of the fly ash cenosphere cement-based composite sound barrier across the whole life cycle were 4.8−52.9% and 53.2−82.3% lower than the others, respectively, suggesting high values in energy saving and environmental protection.
Author Contributions
Funding
Institutional Review Board Statement
Informed Consent Statement
Data Availability Statement
Conflicts of Interest
References
- Vianna, K.M.D.; Cardoso, M.R.A.; Rodrigues, R.M.C. Noise pollution and annoyance: An urban soundscapes study. Noise Health 2015, 17, 125–133. [Google Scholar] [CrossRef]
- Morano, P.; Tajani, F.; Di Liddo, F.; Daro, M. Economic Evaluation of the Indoor Environmental Quality of Buildings: The Noise Pollution Effects on Housing Prices in the City of Bari (Italy). Buildings 2021, 11, 213. [Google Scholar] [CrossRef]
- Ministry of Ecology and Environment of the People’s Republic of China. Annual Report on China Environmental Noise Pervention and Control; Ministry of Ecology and Environment of the People’s Republic of China: Bejing, China, 2021.
- Ndrepepa, A.; Twardella, D. Relationship between noise annoyance from road traffic noise and cardiovascular diseases: A meta-analysis. Noise Health 2011, 13, 251–259. [Google Scholar] [CrossRef] [PubMed]
- Beutel, M.E.; Brahler, E.; Ernst, M.; Klein, E.; Reiner, I.; Wiltink, J.; Michal, M.; Wild, P.S.; Schulz, A.; Munzel, T.; et al. Noise annoyance predicts symptoms of depression, anxiety and sleep disturbance 5 years later. Findings from the Gutenberg Health Study. Eur. J. Public Health 2020, 30, 516–521. [Google Scholar] [CrossRef] [PubMed]
- Ruiz-Padillo, A.; Ruiz, D.P.; Torija, A.J.; Ramos-Ridao, Á. Selection of suitable alternatives to reduce the environmental impact of road traffic noise using a fuzzy multi-criteria decision model. Environ. Impact Assess. Rev. 2016, 61, 8–18. [Google Scholar] [CrossRef] [Green Version]
- Sandberg, U.; Ejsmont, J.A. Tyre/Road Noise Reference Book; INFORMEX: Kisa, Sweden, 2002; ISBN 9789163126109; ISBN 9163126109. [Google Scholar]
- Bianco, F.; Fredianelli, L.; Lo Castro, F.; Gagliardi, P.; Fidecaro, F.; Licitra, G. Stabilization of a pu sensor mounted on a vehicle for measuring the acoustic impedance of road surfaces. Sensors 2020, 20, 1239. [Google Scholar] [CrossRef] [Green Version]
- Praticò, F.G.; Fedele, R.; Pellicano, G. Monitoring Road Acoustic and Mechanical Performance. In European Workshop on Structural Health Monitoring; Rizzo, P., Milazzo, A., Eds.; Springer: Cham, Switzerland, 2020; Volume 127, pp. 594–602. [Google Scholar]
- Licitra, G.; Teti, L.; Cerchiai, M.; Bianco, F. The influence of tyres on the use of the CPX method for evaluating the effectiveness of a noise mitigation action based on low-noise road surfaces. Transp. Res. Part D Transp. Environ. 2017, 55, 217–226. [Google Scholar] [CrossRef]
- Teti, L.; de León, G.; Del Pizzo, A.; Moro, A.; Bianco, F.; Fredianelli, L.; Licitra, G. Modelling the acoustic performance of newly laid low-noise pavements. Constr. Build. Mater. 2020, 247, 118509. [Google Scholar] [CrossRef]
- Del Pizzo, A.; Teti, L.; Moro, A.; Bianco, F.; Fredianelli, L.; Licitra, G. Influence of texture on tyre road noise spectra in rubberized pavements. Appl. Acoust. 2020, 159, 107080. [Google Scholar] [CrossRef]
- Praticò, F.G. On the dependence of acoustic performance on pavement characteristics. Transp. Res. Part D Transp. Environ. 2014, 29, 79–87. [Google Scholar] [CrossRef]
- Praticò, F.G.; Anfosso-Lédée, F. Trends and issues in mitigating traffic noise through quiet pavements. Procedia-Soc. Behav. Sci. 2012, 53, 203–212. [Google Scholar] [CrossRef]
- de León, G.; Del Pizzo, A.; Teti, L.; Moro, A.; Bianco, F.; Fredianelli, L.; Licitra, G. Evaluation of tyre/road noise and texture interaction on rubberised and conventional pavements using CPX and profiling measurements. Road Mater. Pavement Des. 2020, 21, S91–S102. [Google Scholar] [CrossRef] [Green Version]
- Ishizuka, T.; Fujiwara, K. Performance of noise barriers with various edge shapes and acoustical conditions. Appl. Acoust. 2004, 65, 125–141. [Google Scholar] [CrossRef]
- Keller, T.; Riebel, F.; Vallee, T. GFRP posts for railway noise barriers–Experimental validation of load-carrying performance and durability. Compos. Struct. 2008, 85, 116–125. [Google Scholar] [CrossRef]
- Li, K.M.; Law, M.K.; Kwok, M.P. Absorbent parallel noise barriers in urban environments. J. Sound Vibr. 2008, 315, 239–257. [Google Scholar] [CrossRef]
- Al Jumaily, H.M. The Effect of Design Efficiency of the Wall Barrier (Screen) On Traffic Noise Attenuation. IJISET 2016, 3, 242–259. [Google Scholar]
- Li, L.; Wang, Y.; Li, L.; Fan, X.; Li, H.; Fan, S.; Zou, Z.; Ma, C. Design and application of sound barrier for substation noise control. In Proceedings of the Journal of Physics: Conference Series, Kuala Lumpur, Malaysia, 12–13 June 2021; p. 012185. [Google Scholar]
- Fang, B.; Chen, L.C.; Xu, H.; Cai, J.; Li, D. Research on Urban Road Traffic Noise Control. IOP Conference Series: Earth and Environmental Science. In Proceedings of the 2020 4th International Conference on Traffic Engineering and Transportation System, Dalian, China, 21–23 August 2020; p. 012110. [Google Scholar]
- Cianfrini, C.; Corcione, M.; Fontana, L. Experimental verification of the acoustic performance of diffusive roadside noise barriers. Appl. Acoust. 2007, 68, 1357–1372. [Google Scholar] [CrossRef]
- Radosz, J. Acoustic performance of noise barrier based on sonic crystals with resonant elements. Appl. Acoust. 2019, 155, 492–499. [Google Scholar] [CrossRef]
- Peiró-Torres, M.d.P.; Redondo, J.; Bravo, J.; Pérez, J.S. Open noise barriers based on sonic crystals. Advances in noise control in transport infrastructures. Transp. Res. Procedia 2016, 18, 392–398. [Google Scholar] [CrossRef]
- Fredianelli, L.; Del Pizzo, A.; Licitra, G. Recent developments in sonic crystals as barriers for road traffic noise mitigation. Environments 2019, 6, 14. [Google Scholar] [CrossRef] [Green Version]
- Kotzen, B.; English, C. Environmental Noise Barriers: A Guide to Their Acoustic and Visual Design; CRC Press: Boca Raton, FL, USA, 2014. [Google Scholar]
- Heutschi, K.; Bühlmann, E.; Oertli, J. Options for reducing noise from roads and railway lines. Transp. Res. Part A Policy Pract. 2016, 94, 308–322. [Google Scholar] [CrossRef]
- Klingner, R.E.; McNerney, M.T.; Busch-Vishniac, I.J. Design Guide for Highway Noise Barriers; Research Report 0-1471-4; Center for Transportation Research, The University of Texas at Austin: Austin, TX, USA, 2003. [Google Scholar]
- Morgan, P.A.; Hothersall, D.C.; Chandler-Wilde, S.N. Influence of shape and absorbing surface—A numerical study of railway noise barriers. J. Sound Vibr. 1998, 217, 405–417. [Google Scholar] [CrossRef]
- Tie, T.S.; Mo, K.H.; Putra, A.; Loo, S.C.; Alengaram, U.J.; Ling, T.C. Sound absorption performance of modified concrete: A review. J. Build. Eng. 2020, 30, 10. [Google Scholar] [CrossRef]
- Tiwari, V.; Shukla, A.; Bose, A. Acoustic properties of cenosphere reinforced cement and asphalt concrete. Appl. Acoust. 2004, 65, 263–275. [Google Scholar] [CrossRef]
- Boucedra, A.; Bederina, M.; Ghernouti, Y. Study of the acoustical and thermo-mechanical properties of dune and river sand concretes containing recycled plastic aggregates. Constr. Build. Mater. 2020, 256, 11. [Google Scholar] [CrossRef]
- Holmes, N.; Browne, A.; Montague, C. Acoustic properties of concrete panels with crumb rubber as a fine aggregate replacement. Constr. Build. Mater. 2014, 73, 195–204. [Google Scholar] [CrossRef] [Green Version]
- Arenas, C.; Luna-Galiano, Y.; Leiva, C.; Vilches, L.F.; Arroyo, F.; Villegas, R.; Fernandez-Pereira, C. Development of a fly ash-based geopolymeric concrete with construction and demolition wastes as aggregates in acoustic barriers. Constr. Build. Mater. 2017, 134, 433–442. [Google Scholar] [CrossRef]
- Cavalline, T.L.; Gallegos, J.; Castrodale, R.W.; Freeman, C.; Liner, J.; Wall, J. Influence of Lightweight Aggregate Concrete Materials on Building Energy Performance. Buildings 2021, 11, 94. [Google Scholar] [CrossRef]
- Xie, H.; Liu, J.; Hou, S. Experimental Study on Sound Absorption Performance of Alkali Activated Slag Cement Foam Concrete. Bull. Chin. Ceram. Soc. 2017, 36, 2775–2780. [Google Scholar]
- Arenas, J.P.; Crocker, M.J. Recent Trends in Porous Sound-Absorbing Materials. Sound Vib. 2010, 44, 12–17. [Google Scholar]
- Siqueira, F.; Cosse, R.L.; Pinto, F.; Mareze, P.H.; Silva, C.F.E.; Nunes, L.C.C. Characterization of Buriti (Mauritia flexuosa) Foam for Thermal Insulation and Sound Absorption Applications in Buildings. Buildings 2021, 11, 292. [Google Scholar] [CrossRef]
- Jones, M.R.; McCarthy, A. Preliminary views on the potential of foamed concrete as a structural material. Mag. Concr. Res. 2005, 57, 21–31. [Google Scholar] [CrossRef]
- Zheng, D.; Song, W.; Fu, J.; Xue, G.; Li, J.; Cao, S. Research on mechanical characteristics, fractal dimension and internal structure of fiber reinforced concrete under uniaxial compression. Constr. Build. Mater. 2020, 258, 120351. [Google Scholar] [CrossRef]
- Lei, B.; Li, W.; Liu, H.; Tang, Z.; Tam, V.W. Synergistic effects of polypropylene and glass fiber on mechanical properties and durability of recycled aggregate concrete. Int. J. Concr. Struct. Mater. 2020, 14, 1–14. [Google Scholar] [CrossRef]
- Huang, X.Y.; Ranade, R.; Zhang, Q.; Ni, W.; Li, V.C. Mechanical and thermal properties of green lightweight engineered cementitious composites. Constr. Build. Mater. 2013, 48, 954–960. [Google Scholar] [CrossRef]
- Danish, A.; Mosaberpanah, M.A. Formation mechanism and applications of cenospheres: A review. J. Mater. Sci. 2020, 55, 4539–4557. [Google Scholar] [CrossRef]
- Agrawal, U.; Wanjari, S. Physiochemical and engineering characteristics of cenosphere and its application as a lightweight construction material-A review. Mater. Today Proc. 2017, 4, 9797–9802. [Google Scholar] [CrossRef]
- Montes, F.; Valavala, S.; Haselbach, L.M. A new test method for porosity measurements of Portland cement pervious concrete. J. ASTM Int. 2005, 2, 1–13. [Google Scholar]
- Hunce, S.Y.; Soyer, E.; Akgiray, O. Characterization of Granular Materials with Internal Pores for Hydraulic Calculations Involving Fixed and Fluidized Beds. Ind. Eng. Chem. Res. 2016, 55, 8636–8651. [Google Scholar] [CrossRef]
- ISO 10534-2; Acoustics-Determination of Sound Absorption Coefficient and Impedance in Impedance Tubes—Part 2: Transfer-Function Method. Available online: https://www.iso.org/standard/22851.html (accessed on 15 October 2021).
- Cao, L.T.; Fu, Q.X.; Si, Y.; Ding, B.; Yu, J.Y. Porous materials for sound absorption. Compos. Commun. 2018, 10, 25–35. [Google Scholar] [CrossRef]
- Ahmad, M.R.; Chen, B.; Shah, S.F.A. Investigate the influence of expanded clay aggregate and silica fume on the properties of lightweight concrete. Constr. Build. Mater. 2019, 220, 253–266. [Google Scholar] [CrossRef]
- Ghafari, E.; Ghahari, S.A.; Costa, H.; Julio, E.; Portugal, A.; Duraes, L. Effect of supplementary cementitious materials on autogenous shrinkage of ultra-high performance concrete. Constr. Build. Mater. 2016, 127, 43–48. [Google Scholar] [CrossRef]
- Keoleian, G.A.; Kendall, A.M.; Lepech, M.D.; Li, V.C. Guiding the design and application of new materials for enhancing sustainability performance: Framework and infrastructure application. In Proceedings of the Symposium on Life-Cycle Analysis Tools for Green Materials and Process Selection held at the 2005 MRS Fall Meeting, Boston, MA, USA, 28–30 November 2005; Volume 895. [Google Scholar]
- Jones, C.; Hammond, G. Embodied Carbon—The ICE Database. 2019. Available online: https://circularecology.com/embodied-carbon-footprint-database.html (accessed on 27 January 2022).
- Hammond, G.; Jones, C. Inventory of Carbon & Energy: ICE; Sustainable Energy Research Team, Department of Mechanical Engineering: Bath, UK, 2011. [Google Scholar]
- Mohebbi, G.; Bahadori-Jahromi, A.; Ferri, M.; Mylona, A. The role of embodied carbon databases in the accuracy of life cycle assessment (LCA) calculations for the embodied carbon of buildings. Sustainability 2021, 13, 7988. [Google Scholar] [CrossRef]
- Kim, H.-K.; Lee, H.-K. Influence of cement flow and aggregate type on the mechanical and acoustic characteristics of porous concrete. Appl. Acoust. 2010, 71, 607–615. [Google Scholar] [CrossRef]
- Mastali, M.; Kinnunen, P.; Isomoisio, H.; Karhu, M.; Illikainen, M. Mechanical and acoustic properties of fiber-reinforced alkali-activated slag foam concretes containing lightweight structural aggregates. Constr. Build. Mater. 2018, 187, 371–381. [Google Scholar] [CrossRef]
- Luna-Galiano, Y.; Leiva, C.; Arenas, C.; Fernández-Pereira, C. Fly ash based geopolymeric foams using silica fume as pore generation agent. Physical, mechanical and acoustic properties. J. Non-Cryst. Solids 2018, 500, 196–204. [Google Scholar] [CrossRef]
- Chen, W.H.; Qi, Z.F.; Zhang, L.; Huang, Z.Y. Effects of cenosphere on the mechanical properties of cement-based composites. Constr. Build. Mater. 2020, 261, 13. [Google Scholar] [CrossRef]
- Jones, M.R.; Ozlutas, K.; Zheng, L. High-volume, ultra-low-density fly ash foamed concrete. Mag. Concr. Res. 2017, 69, 1146–1156. [Google Scholar] [CrossRef] [Green Version]









| Test Group | Forming Pressure (MPa) | Aggregate-to-Binder Ratio (-) |
|---|---|---|
| A 0.0-50-0.9 | 0.0 | 0.9 |
| A 0.2-50-0.9 | 0.2 | |
| A 0.4-50-0.9 | 0.4 | |
| A 0.6-50-0.9 | 0.6 | |
| A 0.8-50-0.9 | 0.8 | |
| A 1.0-50-0.9 | 1.0 | |
| A X1-50-0.7 | X1 | 0.7 |
| A X1-50-0.8 | 0.8 | |
| A X1-50-1.0 | 1.0 | |
| A X1-50-1.1 | 1.1 |
| Test Group | Fiber Admixture (wt%) | Thickness (mm) |
|---|---|---|
| I 30.0-50 | 30.0 | 50 |
| I 37.5-50 | 37.5 | |
| I 45.0-50 | 45.0 | |
| I 52.5-50 | 52.5 | |
| I 60.0-50 | 60.0 | |
| I X2-30 | X2 | 30 |
| I X2-40 | 40 | |
| I X2-60 | 60 | |
| I X2-70 | 70 |
| Forming Pressure (MPa) | Apparent Density (kg/m3) | Open Pore Ratio (%) | Compressive Strength (MPa) | Average Sound Absorption Coefficient (-) | Noise Reduction Coefficient (-) |
|---|---|---|---|---|---|
| 0.0 | 698.84 | 25.18 | 2.31 | 0.36 | 0.40 |
| 0.2 | 768.43 | 23.84 | 3.24 | 0.34 | 0.40 |
| 0.4 | 884.72 | 19.93 | 5.78 | 0.26 | 0.30 |
| 0.6 | 983.85 | 16.47 | 9.85 | 0.22 | 0.25 |
| 0.8 | 1042.87 | 10.70 | 11.88 | 0.20 | 0.20 |
| 1.0 | 1057.68 | 9.29 | 11.29 | 0.17 | 0.20 |
| Ratios of Aggregate (-) | Apparent Density (kg/m3) | Open Pore Ratio (%) | Compressive Strength (MPa) | Average Sound Absorption Coefficient (-) | Noise Reduction Coefficient (-) |
|---|---|---|---|---|---|
| 0.7 | 1068.92 | 13.36 | 8.17 | 0.27 | 0.35 |
| 0.8 | 894.44 | 22.27 | 4.63 | 0.28 | 0.35 |
| 0.9 | 768.43 | 23.84 | 3.24 | 0.34 | 0.40 |
| 1.0 | 765.30 | 24.51 | 3.76 | 0.35 | 0.35 |
| 1.1 | 683.52 | 28.63 | 2.80 | 0.38 | 0.45 |
| Ratios of Aggregate (-) | Apparent Density (kg/m3) | Open Pore Ratio (%) | Compressive Strength (MPa) | Average Sound Absorption Coefficient (-) | Noise Reduction Coefficient (-) |
|---|---|---|---|---|---|
| 0.7 | 1038.13 | 9.37 | 9.71 | 0.19 | 0.20 |
| 0.8 | 941.98 | 16.05 | 7.27 | 0.28 | 0.30 |
| 0.9 | 884.72 | 19.93 | 5.78 | 0.26 | 0.30 |
| 1.0 | 825.63 | 23.13 | 5.10 | 0.33 | 0.35 |
| 1.1 | 807.30 | 25.72 | 3.75 | 0.36 | 0.40 |
| Glass Fiber Admixture (wt%) | Apparent Density (kg/m3) | Compressive Strength (MPa) | Single-Number Quantity (dB) |
|---|---|---|---|
| 30.0 | 1396.66 | 26.20 | 22 |
| 37.5 | 1432.51 | 27.22 | 22 |
| 45.0 | 1450.55 | 29.00 | 23 |
| 52.5 | 1504.82 | 23.24 | 23 |
| 60.0 | 1553.65 | 16.95 | 23 |
| Thickness (mm) | Single-Number Quantity (dB) |
|---|---|
| 30 | 20 |
| 40 | 21 |
| 50 | 23 |
| 60 | 24 |
| 70 | 26 |
| Thickness Ratios A:I | Apparent Density (kg/m3) | Compressive Strength (MPa) | Average Sound Absorption Coefficient (-) | Noise Reduction Coefficient (-) | Single-Number Quantity (dB) |
|---|---|---|---|---|---|
| 70:30 | 1103.26 | 11.37 | 0.40 | 0.45 | 30 |
| 60:40 | 1158.66 | 13.46 | 0.40 | 0.45 | 38 |
| 50:50 | 1202.87 | 15.21 | 0.39 | 0.45 | 35 |
| 40:60 | 1301.69 | 19.21 | 0.35 | 0.40 | 35 |
| 30:70 | 1340.46 | 20.30 | 0.35 | 0.40 | 30 |
| Materials | Acoustic Properties | Compressive Strength |
|---|---|---|
| Concrete with fly ash cenosphere | The maximum sound absorption coefficient frequency range: around 500 Hz The average sound absorption coefficient: 0.35–0.40 NRC: 0.40–0.45 | 11.37–20.30 MPa With A:I = 60:40 (optimal ratio), the compressive strength can reach 19.21 MPa |
| Porous concrete with expanded shale [55] | The maximum sound absorption coefficient frequency range: 500–900 Hz | 1.45–15.02 MPa |
| Dune and river sand concretes containing recycled plastic aggregates [32] | NRC: 0.30–0.40 | 16.00–18.00 MPa |
| Fiber-reinforced alkali-activated slag foam concretes [56] | The maximum sound absorption coefficient frequency range: 1600–2500 Hz The average sound absorption coefficient: 0.50 in the medium-to-high frequency regions | 2.50–13.00 MPa |
| Porous geopolymeric foam using silica fume as the pore generation agent [57] | NRC: 0.10–0.25 | 2.00–12.50 MPa |
| Material | EE (MJ/kg) | EC (kgCO2e/kg) | Notes |
|---|---|---|---|
| Cement | 5.50 | 0.912 | Reference to ordinary portland cement |
| Fly ash cenosphere | 0.10 | 0.008 | Reference to fly ash |
| Glass fiber | 28.00 | 1.53 | - |
| Water-reducing agent | - | - | No relevant data |
| Material | EE (MJ/kg) | EC (kgCO2e/kg) | Notes |
|---|---|---|---|
| Galvanized steel | 22.60 | 3.03 | Reference to electrogalvanized steel |
| Aluminum plate | 155.00 | 6.67 | Reference to general aluminum |
| Acrylic board | 90.67 | - | No relevant data |
| Tempered glass | 23.50 | 1.67 | Reference to toughened glass |
| Mineral wool | 16.60 | 1.20 | - |
| Wood | 16.00 | 0.815 | Reference to hardboard |
| Concrete | 0.82 | 0.115 | Reference to ordinary concrete, cement:sand:aggregate = 1:2:4 |
| Sound Barrier Type | Main Material | Mass (kg) | Proportion of Materials (%) | EE (MJ/kg) | EC (kgCO2e/kg) | Energy Consumption (MJ) | Carbon Emissions (kgCO2e) |
|---|---|---|---|---|---|---|---|
| Fly ash cenosphere cement-based composite sound barrier board | Cement | 120 | 53.54 | 5.50 | 0.912 | 477.08 | 57.57 |
| Fly ash cenosphere | 30.52 | 0.10 | 0.008 | ||||
| Glass fiber | 15.93 | 28.00 | 1.53 | ||||
| Metal frame | 4.275 | 100 | 155.00 | 6.67 | |||
| Acrylic sound barrier | 1-mm aluminum frame | 3.335 | - | 155.00 | 6.67 | 2693.01 | 22.24 |
| 6-mm acrylic broad | 24 | - | 90.67 | - | |||
| Metal composite sound barrier board | 0.8-mm galvanized steel | 12.56 | - | 22.60 | 3.03 | 1842.48 | 115.53 |
| Glass wool | 32 | - | 28.00 | 1.53 | |||
| 1-mm aluminum frame | 4.275 | - | 155.00 | 6.67 | |||
| Wooden sound barrier | Wood | 150 | - | 16.00 | 0.815 | 2400.00 | 122.25 |
| Concrete sound barrier (with cavity) | Concrete | 150 | - | 0.82 | 0.115 | 1019.00 | 60.45 |
| Glass fiber | 32 | - | 28.00 | 1.35 |
Publisher’s Note: MDPI stays neutral with regard to jurisdictional claims in published maps and institutional affiliations. |
© 2022 by the authors. Licensee MDPI, Basel, Switzerland. This article is an open access article distributed under the terms and conditions of the Creative Commons Attribution (CC BY) license (https://creativecommons.org/licenses/by/4.0/).
Share and Cite
Xie, H.; Li, Y.; Kahya, E.; Wang, B.; Ge, X.; Li, G. Physical Properties and Environmental Impact of Sound Barrier Materials Based on Fly Ash Cenosphere. Buildings 2022, 12, 322. https://doi.org/10.3390/buildings12030322
Xie H, Li Y, Kahya E, Wang B, Ge X, Li G. Physical Properties and Environmental Impact of Sound Barrier Materials Based on Fly Ash Cenosphere. Buildings. 2022; 12(3):322. https://doi.org/10.3390/buildings12030322
Chicago/Turabian StyleXie, Hui, Yajing Li, Ercan Kahya, Bo Wang, Xiyun Ge, and Guanda Li. 2022. "Physical Properties and Environmental Impact of Sound Barrier Materials Based on Fly Ash Cenosphere" Buildings 12, no. 3: 322. https://doi.org/10.3390/buildings12030322
APA StyleXie, H., Li, Y., Kahya, E., Wang, B., Ge, X., & Li, G. (2022). Physical Properties and Environmental Impact of Sound Barrier Materials Based on Fly Ash Cenosphere. Buildings, 12(3), 322. https://doi.org/10.3390/buildings12030322

