Structural Identification of a 90 m High Minaret of a Landmark Structure under Ambient Vibrations
Abstract
:1. Introduction
2. Description of the Minaret
3. Ambient Vibration Monitoring and Modal Identification
3.1. Testing Arrangement and Data Collection
3.2. Modal Identification of the Minaret
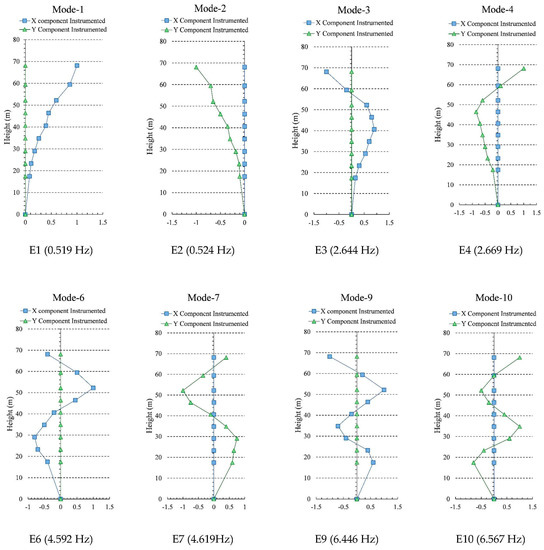
3.3. Mode Shape Correlation
4. Frequency Variation and Correlation with Ambient Temperature
5. Finite Element Modeling
6. Comparison between Experimental and FE Results
7. Finite Element Model Updating
8. Conclusions
- The modal frequencies identified from the three techniques: EFDD, data-driven SSI, and NExT-ERA provided close values, showing the relatability of the identification techniques. A total of ten modes were identified below 7 Hz with three-day average identified frequencies of 0.519 Hz, 0.524 Hz, 2.644 Hz, 2.669 Hz, 2.841 Hz, 4.592 Hz, 4.619 Hz, 5.564 Hz, 6.446 Hz, and 6.567 Hz, respectively. The first, second, third, fourth, sixth, seventh, ninth, and tenth experimental modes were bending-dominant, whereas the fifth and eighth were torsion-dominant.
- Since the structure was axis-symmetrical, the first few modes therefore appeared in pairs for both the lateral axes. The combined axis identification routines did not provide the separation of such modes. Hence, separate identification routines were performed for both the lateral axes for the axis-symmetric structure to capture identical very closely spaced modes.
- The initial MAC values between the same modes of each of test dataset varied from 0.72 to 0.99, which showed a reasonable to excellent match. The MAC matrix between different mode shapes showed values close to 0.1, depicting the modes not coupled. The MAC values between the numerical and experimental modes were higher for the bending modes and comparatively lower for the torsional modes, which indicated that more sensors are required to capture torsional behavior precisely.
- The variations of the modal frequencies with the ambient temperature were observed to be linearly dependent to a reasonable degree, with the R2 values varying from 0.51 to 0.661. The changes in the frequencies can be due to the changes in stiffness of the structure due to environmental effects, including temperature, humidity, etc. The value of R2 may have been better if a weather station has been installed on or very close to the minaret site. However, due to certain restrictions, this was not allowed.
- The first ten modes determined from the FE model, below 7 Hz, were taken for comparison with the experimentally identified modes. All the longitudinal bending modes appeared in pairs due to the symmetry about the two lateral axes of the minaret.
- The error between the numerical and experimental modal frequencies was minimized by manual updating of the Young’s modulus and weight of the nonstructural elements. The objective function error reduced to 0.85% in six trials, providing a sufficiently close match between the frequencies, along with significant improvement in the MAC values of the modes, particularly the bending-dominant modes.
Author Contributions
Funding
Institutional Review Board Statement
Informed Consent Statement
Data Availability Statement
Acknowledgments
Conflicts of Interest
References
- Jang, J.; Smyth, A. Bayesian model updating of a full-scale finite element model with sensitivity-based clustering. Struct. Control Health Monit. 2017, 24, 1–15. [Google Scholar] [CrossRef]
- Chen, C.-C.; Wu, W.-H.; Shih, F.; Wang, S.-W. Scour evaluation for foundation of a cable-stayed bridge based on ambient vibration measurements of superstructure. NDT E Int. 2014, 66, 16–27. [Google Scholar] [CrossRef]
- Ramos, L.F.; Marques, L.; Lourenço, P.B.; De Roeck, G.; Campos-Costa, A.; Roque, J. Monitoring historical masonry structures with operational modal analysis: Two case studies. Mech. Syst. Signal. Process. 2010, 24, 1291–1305. [Google Scholar] [CrossRef] [Green Version]
- Bayraktar, A.; Sevim, B.; Altunişik, A.C.; Türker, T. Analytical and operational modal analyses of Turkish style reinforced concrete minarets for structural identification. Exp. Tech. 2009, 33, 65–75. [Google Scholar] [CrossRef]
- Diaferio, M.; Foti, D.; Giannoccaro, N.I. Non-destructive characterization and identification of the modal parameters of an old masonry tower. In Proceedings of the 2014 IEEE Workshop on Environmental Energy and Structural Monitoring Systems (EESMS), Naples, Italy, 17–18 September 2014; IEEE: New York, NY, USA, 2014; pp. 1–6. [Google Scholar]
- Yousefianmoghadam, S.; Behmanesh, I.; Stavridis, A.; Moaveni, B.; Nozari, A.; Sacco, A. System identification and modeling of a dynamically tested and gradually damaged 10-story reinforced concrete building. Earthq. Eng. Struct. Dyn. 2018, 47, 25–47. [Google Scholar] [CrossRef]
- He, X.; Moaveni, B.; Conte, J.P.; Elgamal, A.; Masri, S.F. System identification of alfred zampa memorial bridge using dynamic field test data. J. Struct. Eng. 2009, 135, 54–66. [Google Scholar] [CrossRef]
- Ntotsios, E.; Karakostas, C.; Lekidis, V.; Panetsos, P.; Nikolaou, I.; Papadimitriou, C.; Salonikos, T. Structural identification of Egnatia Odos bridges based on ambient and earthquake induced vibrations. Bull. Earthq. Eng. 2009, 7, 485. [Google Scholar] [CrossRef] [Green Version]
- Cunha, A.; Caetano, E. Experimental modal analysis of civil engineering structures. Sound Vib. 2006, 12–20. [Google Scholar] [CrossRef]
- Sohn, H.; Farrar, C.R.; Hemez, F.M.; Czarnecki, J.J. A Review of Structural Health Review of Structural Health Monitoring Literature 1996–2001; Los Alamos National Laboratory: New Mexico, NM, USA, 2002.
- Gade, S.; Møller, N.B.; Herlufsen, H.; Konstantin-Hansen, H. Frequency domain techniques for operational modal analysis. In Proceedings of the 1st IOMAC Conference, Copenhagen, Denmark, 26–27 April 2005. [Google Scholar]
- Gentile, C.; Bernardini, G. Output-only modal identification of a reinforced concrete bridge from radar-based measurements. Ndt E Int. 2008, 41, 544–553. [Google Scholar] [CrossRef]
- Pau, A.; Vestroni, F. Vibration assessment and structural monitoring of the Basilica of Maxentius in Rome. Mech. Syst. Signal. Process. 2013, 41, 454–466. [Google Scholar] [CrossRef]
- Morassi, A.; Tonon, S. Dynamic testing for structural identification of a bridge. J. Bridge Eng. 2008, 13, 573–585. [Google Scholar] [CrossRef]
- Azzara, R.M.; Girardi, M.; Iafolla, V.; Lucchesi, D.M.; Padovani, C.; Pellegrini, D. Ambient vibrations of age-old masonry towers: Results of long-term dynamic monitoring in the historic centre of Lucca. Int. J. Archit. Herit. 2021, 15, 5–21. [Google Scholar] [CrossRef] [Green Version]
- García-Macías, E.; Ubertini, F. Automated operational modal analysis and ambient noise deconvolution interferometry for the full structural identification of historic towers: A case study of the Sciri Tower in Perugia, Italy. Eng. Struct. 2020, 215, 110615. [Google Scholar] [CrossRef]
- Erkal, A. Transmission of Traffic-induced Vibrations on and around the Minaret of Little Hagia Sophia. Int. J. Archit. Herit. 2017, 11, 349–362. [Google Scholar] [CrossRef]
- Carpinteri, A.; Lacidogna, G.; Manuello, A.; Niccolini, G. A study on the structural stability of the Asinelli Tower in Bologna. Struct. Control Health Monit. 2016, 23, 659–667. [Google Scholar] [CrossRef]
- Saisi, A.; Gentile, C. Post-earthquake diagnostic investigation of a historic masonry tower. J. Cult. Herit. 2015, 16, 602–609. [Google Scholar] [CrossRef]
- Zhang, F.; Yang, Y.; Xiong, H.; Yang, J.; Yu, Z. Structural health monitoring of a 250-m super-tall building and operational modal analysis using the fast Bayesian FFT method. Struct. Control Health Monit. 2019, 26, e2383. [Google Scholar] [CrossRef]
- He, Y.; Li, Q.; Zhu, H.; Han, X.; He, Y.; Li, X. Monitoring of structural modal parameters and dynamic responses of a 600 m-high skyscraper during a typhoon. Struct. Des. Tall Spec. Build. 2018, 27, e1456. [Google Scholar] [CrossRef]
- Sun, H.; Büyüköztürk, O. The MIT Green Building benchmark problem for structural health monitoring of tall buildings. Struct. Control Health Monit. 2018, 25, e2115. [Google Scholar] [CrossRef]
- Zhang, F.L.; Xiong, H.B.; Shi, W.X.; Ou, X. Structural health monitoring of Shanghai Tower during different stages using a Bayesian approach. Struct. Control Health Monit. 2016, 23, 1366–1384. [Google Scholar] [CrossRef]
- Jamil, R. Role of a Dome-Less Mosque in Conserving the Religious and Traditional Values of Muslims: An Innovative Architecture of Shah Faisal Mosque, Islamabad. Int. J. Archit. Eng. Constr. 2017, 6, 40–45. [Google Scholar] [CrossRef]
- Pekol, B. Architectural Impressions between Turkey and Pakistan: A hermeneutic tightrope from objects to the historian. In Historiography of Architecture of Pakistan and the Region; Vandal, P., Ed.; Thaap Publications: Lahore, Pakistan, 2011. [Google Scholar]
- Brincker, R.; Zhang, L.; Andersen, P. Modal identification of output-only systems using frequency domain decomposition. Smart Mater. Struct. 2001, 10, 441. [Google Scholar] [CrossRef] [Green Version]
- Van Overschee, P.; De Moor, B.L. Subspace Identification for Linear Systems: Theory—Implementation—Applications; Springer Science & Business Media: Berlin/Heidelberg, Germany, 2012; ISBN 1461304652. [Google Scholar]
- Peeters, B.; De Roeck, G. Reference-based stochastic subspace identification for output-only modal analysis. Mech. Syst. Signal. Process. 1999, 13, 855–878. [Google Scholar] [CrossRef] [Green Version]
- Juang, J.-N. Applied System Identification; Prentice-Hall, Inc.: Hoboken, NJ, USA, 1994; ISBN 013079211X. [Google Scholar]
- Bayraktar, A.; Sevim, B.; Altunişik, A.C.; Türker, T. Earthquake analysis of reinorced concrete minarets using ambient vibration test results. Struct. Des. Tall Spec. Build. 2010, 19, 257–273. [Google Scholar] [CrossRef]
- Şahin, A.; Bayraktar, A.; Özcan, D.M.; Sevim, B.; Altunışık, A.C.; Türker, T. Dynamic field test, system identification, and modal validation of an RC Minaret: Preprocessing and postprocessing the wind-induced ambient vibration data. J. Perform. Constr. Facil. 2010, 25, 336–356. [Google Scholar] [CrossRef]
- Gentile, C.; Saisi, A. Ambient vibration testing of historic masonry towers for structural identification and damage assessment. Constr. Build. Mater. 2007, 21, 1311–1321. [Google Scholar] [CrossRef]
- Magalhães, F.; Cunha, A. Explaining operational modal analysis with data from an arch bridge. Mech. Syst. Signal. Process. 2011, 25, 1431–1450. [Google Scholar] [CrossRef] [Green Version]
- Wu, J.R.; Li, Q.S. Finite element model updating for a high-rise structure based on ambient vibration measurements. Eng. Struct. 2004, 26, 979–990. [Google Scholar] [CrossRef]
- Brownjohn, J.M.W.; Pan, T.-C.; Deng, X.Y. Correlating dynamic characteristics from field measurements and numerical analysis of a high-rise building. Earthq. Eng. Struct. Dyn. 2000, 29, 523–543. [Google Scholar] [CrossRef]
- Friswell, M.; Mottershead, J.E. Finite Element Model Updating in Structural Dynamics; Springer Science & Business Media: Berlin/Heidelberg, Germany, 2013; Volume 38, ISBN 9401585083. [Google Scholar]
- Allemang, R.J. The modal assurance criterion–twenty years of use and abuse. Sound Vib. 2003, 37, 14–23. [Google Scholar]
- Pastor, M.; Binda, M.; Harčarik, T. Modal assurance criterion. Procedia Eng. 2012, 48, 543–548. [Google Scholar] [CrossRef]
- Xia, Y.; Hao, H.; Zanardo, G.; Deeks, A. Long term vibration monitoring of an RC slab: Temperature and humidity effect. Eng. Struct. 2006, 28, 441–452. [Google Scholar] [CrossRef]
- Liu, C.; DeWolf, J.T. Effect of temperature on modal variability of a curved concrete bridge under ambient loads. J. Struct. Eng. 2007, 133, 1742–1751. [Google Scholar] [CrossRef]
- Chen, W.H.; Lu, Z.R.; Lin, W.; Chen, S.H.; Ni, Y.Q.; Xia, Y.; Liao, W.Y. Theoretical and experimental modal analysis of the Guangzhou New TV Tower. Eng. Struct. 2011, 33, 3628–3646. [Google Scholar] [CrossRef]
- Yuen, K.-V.; Kuok, S.-C. Ambient interference in long-term monitoring of buildings. Eng. Struct. 2010, 32, 2379–2386. [Google Scholar] [CrossRef]
- Azzara, R.M.; De Roeck, G.; Girardi, M.; Padovani, C.; Pellegrini, D.; Reynders, E. The influence of environmental parameters on the dynamic behaviour of the San Frediano bell tower in Lucca. Eng. Struct. 2018, 156, 175–187. [Google Scholar] [CrossRef]
- Brownjohn, J.M.W.; Xia, P.-Q. Dynamic assessment of curved cable-stayed bridge by model updating. J. Struct. Eng. 2000, 126, 252–260. [Google Scholar] [CrossRef] [Green Version]
- ETABS V 16.0.2 Computer and Structures.
- Khan, B.L.; Azeem, M.; Usman, M.; Farooq, S.H.; Hanif, A.; Fawad, M. Effect of near and far Field Earthquakes on performance of various base isolation systems. Procedia Struct. Integr. 2019, 18, 108–118. [Google Scholar] [CrossRef]
- Khan, B.L.; Farooq, H.; Usman, M.; Butt, F.; Khan, A.Q.; Hanif, A. Effect of soil–structure interaction on a masonry structure under train-induced vibrations. Proc. Inst. Civ. Eng. Build. 2019, 172, 922–934. [Google Scholar] [CrossRef]
- ASTM C805/C805M. Standar Test Method for Rebound Number of Hardened Concrete; American Society for Testing and Materials: West Conshohocken, WC, USA, 2013. [Google Scholar] [CrossRef]
- Beskhyroun, S.; Wegner, L.D.; Sparling, B.F. Integral resonant control scheme for cancelling human-induced vibrations in light-weight pedestrian structures. Struct. Control Health Monit. 2011, 19, 55–69. [Google Scholar] [CrossRef]
- Butt, F.; Omenzetter, P. Seismic response trends evaluation and finite element model calibration of an instrumented RC building considering soil–structure interaction and non-structural components. Eng. Struct. 2014, 65, 111–123. [Google Scholar] [CrossRef] [Green Version]
- Butt, F.; Omenzetter, P. Finite element model updating of a RC building considering seismic response trends. In Proceedings of the Nondestructive Characterization for Composite Materials, Aerospace Engineering, Civil Infrastructure, and Homeland Security 2013, Chicago, IL, USA, 12–15 March 2012; International Society for Optics and Photonics: Bellingham, WA, USA, 2013; Volume 8694, p. 86941E. [Google Scholar]













| Frequency No | EFDD | SSI | NExT-ERA | Average Frequency of Three Methods (Hz) | Mode Nature | |||
|---|---|---|---|---|---|---|---|---|
| Average Frequency (Hz) | *St Dev | Average Frequency (Hz) | *St Dev | Average Frequency (Hz) | *St Dev | |||
| E1 | 0.504 | 0.051 | 0.539 | 0.041 | 0.514 | 0.061 | 0.519 | B |
| E2 | 0.507 | 0.044 | 0.542 | 0.049 | 0.523 | 0.062 | 0.524 | B |
| E3 | 2.722 | 0.066 | 2.577 | 0.051 | 2.633 | 0.032 | 2.644 | B |
| E4 | 2.739 | 0.061 | 2.599 | 0.057 | 2.671 | 0.042 | 2.669 | B |
| E5 | 2.881 | 0.089 | 2.784 | 0.070 | 2.859 | 0.091 | 2.841 | T |
| E6 | 4.503 | 0.107 | 4.638 | 0.131 | 4.601 | 0.149 | 4.592 | B |
| E7 | 4.61 | 0.127 | 4.646 | 0.116 | 4.636 | 0.167 | 4.619 | B |
| E8 | 5.574 | 0.157 | 5.76 | 0.169 | 5.36 | 0.178 | 5.564 | T |
| E9 | 6.442 | 0.211 | 6.547 | 0.273 | 6.351 | 0.276 | 6.446 | B |
| E10 | 6.593 | 0.219 | 6.613 | 0.284 | 6.495 | 0.248 | 6.567 | B |
| Frequency No | EFDD | SSI | NExT-ERA | ||||||
|---|---|---|---|---|---|---|---|---|---|
| Average Frequency (Hz) | Max | Min | Average Frequency (Hz) | Max | Min | Average Frequency (Hz) | Max | Min | |
| E1 | 0.504 | 0.95 | 0.83 | 0.539 | 0.94 | 0.81 | 0.514 | 0.92 | 0.78 |
| E2 | 0.507 | 0.95 | 0.81 | 0.542 | 0.95 | 0.77 | 0.523 | 0.97 | 0.79 |
| E3 | 2.722 | 0.97 | 0.72 | 2.577 | 0.96 | 0.79 | 2.633 | 0.96 | 0.83 |
| E4 | 2.739 | 0.98 | 0.79 | 2.599 | 0.97 | 0.82 | 2.671 | 0.97 | 0.81 |
| E5 | 2.881 | 0.97 | 0.85 | 2.784 | 0.92 | 0.87 | 2.859 | 0.91 | 0.88 |
| E6 | 4.503 | 0.96 | 0.82 | 4.638 | 0.96 | 0.76 | 4.601 | 0.93 | 0.78 |
| E7 | 4.61 | 0.98 | 0.81 | 4.646 | 0.94 | 0.81 | 4.636 | 0.99 | 0.75 |
| E8 | 5.574 | 0.95 | 0.79 | 5.76 | 0.97 | 0.82 | 5.36 | 0.92 | 0.81 |
| E9 | 6.442 | 0.92 | 0.8 | 6.547 | 0.94 | 0.79 | 6.351 | 0.93 | 0.78 |
| E10 | 6.593 | 0.95 | 0.81 | 6.613 | 0.96 | 0.8 | 6.495 | 0.95 | 0.77 |
| Frequency No | EFDD | SSI | NExT-ERA | |||||||||
|---|---|---|---|---|---|---|---|---|---|---|---|---|
| Avg Freq favg (Hz) | Max Freq fmax (Hz) | Min Freq fmin (Hz) | R2 | Avg Freq favg (Hz) | Max Freq fmax (Hz) | Min Freq fmin (Hz) | R2 | Avg Freq favg (Hz) | Max Freq fmax (Hz) | Min Freq fmin (Hz) | R2 | |
| E1 | 0.504 | 0.586 | 0.405 | 0.620 | 0.539 | 0.578 | 0.425 | 0.613 | 0.514 | 0.583 | 0.475 | 0.661 |
| E2 | 0.507 | 0.59 | 0.412 | 0.604 | 0.542 | 0.602 | 0.462 | 0.601 | 0.523 | 0.579 | 0.467 | 0.611 |
| E3 | 2.722 | 2.798 | 2.695 | 0.606 | 2.577 | 2.734 | 2.418 | 0.614 | 2.633 | 2.804 | 2.503 | 0.583 |
| E4 | 2.739 | 2.787 | 2.65 | 0.609 | 2.599 | 2.753 | 2.403 | 0.549 | 2.671 | 2.798 | 2.587 | 0.562 |
| E5 | 2.881 | 2.991 | 2.801 | 0.545 | 2.784 | 2.881 | 2.692 | 0.586 | 2.859 | 2.989 | 2.79 | 0.589 |
| E6 | 4.503 | 4.968 | 4.054 | 0.598 | 4.638 | 4.874 | 4.242 | 0.561 | 4.601 | 4.988 | 4.545 | 0.623 |
| E7 | 4.61 | 4.95 | 4.009 | 0.578 | 4.646 | 4.892 | 4.473 | 0.584 | 4.636 | 4.927 | 4.549 | 0.593 |
| E8 | 5.574 | 5.966 | 5.141 | 0.510 | 5.76 | 5.909 | 5.369 | 0.605 | 5.36 | 5.767 | 5.232 | 0.622 |
| E9 | 6.442 | 6.889 | 6.003 | 0.517 | 6.547 | 6.876 | 6.212 | 0.611 | 6.351 | 6.639 | 6.137 | 0.609 |
| E10 | 6.593 | 6.975 | 6.004 | 0.555 | 6.613 | 6.925 | 6.219 | 0.592 | 6.495 | 6.761 | 6.112 | 0.582 |
| Mode No | Numerical Frequency (Hz) | Modal Mass Participation | Average Experimental Frequency (Hz) | Error % | MAC | Numerical Mode Type | ||
|---|---|---|---|---|---|---|---|---|
| Ux | Uy | Rz | ||||||
| 1 | 0.489 | 0.3783 | 0.0086 | 5.165 × 10−7 | 0.504 | 2.98 | 0.86 | B |
| 2 | 0.491 | 0.0086 | 0.3778 | 2.034 × 10−5 | 0.507 | 3.16 | 0.81 | B |
| 3 | 2.592 | 0.1403 | 0.0001 | 0 | 2.722 | 4.78 | 0.72 | B |
| 4 | 2.614 | 0.0001 | 0.1403 | 0.0001 | 2.739 | 4.56 | 0.78 | B |
| 5 | 2.715 | 0 | 2.088 × 10−5 | 0.3814 | 2.881 | 5.76 | 0.51 | T |
| 6 | 4.211 | 0.0498 | 0 | 0 | 4.503 | 6.48 | 0.79 | B |
| 7 | 4.315 | 0 | 0.0504 | 2.411 × 10−6 | 4.61 | 6.40 | 0.81 | B |
| 8 | 5.224 | 1.002E-06 | 0.0002 | 0.0482 | 5.574 | 6.28 | 0.58 | T |
| 9 | 6.021 | 0.0291 | 0.0002 | 0 | 6.442 | 6.54 | 0.69 | B |
| 10 | 6.085 | 0.0002 | 0.0301 | 0.0001 | 6.593 | 7.71 | 0.70 | B |
| Trial No | Updating Parameters |
|---|---|
| 1 | Ec = 23,250 MPa |
| 2 | Ec = 24,855 MPa |
| 3 | Columns Ec = 24,855 MPa and all other members Ec = 23,250 MPa |
| 4 | Ec = 26,363.32 MPa |
| 5 | Columns Ec = 26,363 MPa and all other members Ec = 24,855 MPa |
| 6 | Ec = 26,363 MPa and additional masses of non-structural components |
| Experimental/Target Frequencies | Numerical Frequencies | ||||||||||||
|---|---|---|---|---|---|---|---|---|---|---|---|---|---|
| Trial-1 | % Error | Trial-2 | % Error | Trial-3 | % Error | Trial-4 | % Error | Trial-5 | % Error | Trial-6 | % Error | MAC | |
| 0.504 | 0.489 | 2.98 | 0.491 | 2.58 | 0.49 | 2.78 | 0.511 | −1.39 | 0.509 | −0.99 | 0.508 | 1.57 | 0.97 |
| 0.507 | 0.491 | 3.16 | 0.499 | 1.58 | 0.495 | 2.37 | 0.517 | −1.97 | 0.515 | −1.58 | 0.511 | 1.56 | 0.95 |
| 2.722 | 2.592 | 4.78 | 2.601 | 4.45 | 2.598 | 4.56 | 2.872 | −5.51 | 2.872 | −5.51 | 2.812 | 1.21 | 0.93 |
| 2.739 | 2.614 | 4.56 | 2.622 | 4.27 | 2.619 | 4.38 | 2.911 | −6.28 | 2.843 | −3.80 | 2.824 | 1.13 | 0.94 |
| 2.881 | 2.715 | 5.76 | 2.777 | 3.61 | 2.735 | 5.07 | 3.021 | −4.86 | 2.981 | −3.47 | 2.914 | 0.40 | 0.78 |
| 4.503 | 4.211 | 6.48 | 4.352 | 3.35 | 4.294 | 4.64 | 4.768 | −5.88 | 4.365 | 3.06 | 4.621 | 0.58 | 0.90 |
| 4.61 | 4.315 | 6.40 | 4.447 | 3.54 | 4.381 | 4.97 | 4.957 | −7.53 | 4.451 | 3.45 | 4.873 | 1.24 | 0.89 |
| 5.574 | 5.224 | 6.28 | 5.455 | 2.13 | 5.315 | 4.65 | 5.861 | −5.15 | 5.861 | −5.15 | 5.667 | 0.30 | 0.70 |
| 6.442 | 6.021 | 6.54 | 6.315 | 1.97 | 6.281 | 2.50 | 6.842 | −6.21 | 6.842 | −6.21 | 6.751 | 0.74 | 0.87 |
| 6.593 | 6.085 | 7.71 | 6.481 | 1.70 | 6.341 | 3.82 | 6.945 | −5.34 | 6.945 | −5.34 | 6.862 | 0.62 | 0.84 |
| Objective Function | 2.24 | 1.44 | 1.81 | 1.67 | 1.32 | 0.85 | |||||||
Publisher’s Note: MDPI stays neutral with regard to jurisdictional claims in published maps and institutional affiliations. |
© 2022 by the authors. Licensee MDPI, Basel, Switzerland. This article is an open access article distributed under the terms and conditions of the Creative Commons Attribution (CC BY) license (https://creativecommons.org/licenses/by/4.0/).
Share and Cite
Akhlaq, H.; Butt, F.; Alwetaishi, M.; Riaz, M.; Benjeddou, O.; Hussein, E.E. Structural Identification of a 90 m High Minaret of a Landmark Structure under Ambient Vibrations. Buildings 2022, 12, 252. https://doi.org/10.3390/buildings12020252
Akhlaq H, Butt F, Alwetaishi M, Riaz M, Benjeddou O, Hussein EE. Structural Identification of a 90 m High Minaret of a Landmark Structure under Ambient Vibrations. Buildings. 2022; 12(2):252. https://doi.org/10.3390/buildings12020252
Chicago/Turabian StyleAkhlaq, Hanzlah, Faheem Butt, Mamdooh Alwetaishi, Mamoon Riaz, Omrane Benjeddou, and Enas E. Hussein. 2022. "Structural Identification of a 90 m High Minaret of a Landmark Structure under Ambient Vibrations" Buildings 12, no. 2: 252. https://doi.org/10.3390/buildings12020252
APA StyleAkhlaq, H., Butt, F., Alwetaishi, M., Riaz, M., Benjeddou, O., & Hussein, E. E. (2022). Structural Identification of a 90 m High Minaret of a Landmark Structure under Ambient Vibrations. Buildings, 12(2), 252. https://doi.org/10.3390/buildings12020252

