Abstract
Rocking shallow foundations can be used as an effective seismic isolation means to reduce earthquake-induced damage to structures by utilizing nonlinearities arising from base uplifting and soil yielding. A number of studies have been devoted to the proposal of inelastic displacement ratios for estimating the maximum inelastic displacement demands on yielding structures on rocking shallow foundations for seismic evaluation purposes. However, there is a lack of methods for estimating structural deformations associated with damage to structures, which are usually measured using structural drift ratios. Since drift ratios of structures on rocking foundations consist of contributions due to foundation rocking, it is necessary to figure out whether these rocking rotations should be removed from structural drift ratios to obtain effective structural drift ratios related solely to structural straining. A comprehensive parametric analysis is carried out in this study to quantify the contribution of foundation rocking. Based on the results, a structural displacement ratio is proposed to estimate effective structural drift ratios excluding foundation rocking rotation, and an empirical expression is provided so that effective structural drift ratios can be directly obtained using available expressions for the inelastic displacement ratios of rocking shallow foundations.
1. Introduction
Foundation rocking isolation has been shown to be an effective means to reduce seismic damage to structures by utilizing foundation nonlinearities through rocking motions, including geometrical nonlinearity due to base uplifting and material nonlinearity due to soil yielding [1]. The concept of foundation rocking isolation has been proved using lab experiments [2,3,4], field tests [5,6,7], and numerical simulations [8,9,10,11,12]. It is generally accepted that shallow foundations exhibit distinct behaviors depending on the factor of safety against static vertical bearing capacity of failure, denoted as Fsv. While it is much easier for footings to rock at high values of Fsv, foundations experience significant settlement at low values of Fsv. Therefore, it is desirable to design a rocking isolation system using appropriate Fsv values in order to utilize its rocking motions. This concept has been implemented in a number of performance-based seismic design procedures for rocking shallow foundations [13,14,15].
On the other hand, performance-based earthquake engineering requires simple and practical tools for the seismic evaluation of structural systems. To this end, a number of simplified models have been developed to estimate seismic demands on rocking shallow foundations [16,17,18,19,20]. Among these models, the beam-on-nonlinear-winkler-foundation (BNWF) model is the most widely used due to its capacity for capturing coupled vertical-rotational behavior using independently distributed vertical springs in a simple manner [16,21,22]. Using BNWF models, a number of studies have been devoted to the proposal of inelastic displacement ratios of structures on rocking shallow foundations [23,24,25,26]. The inelastic displacement ratio is a useful parameter that relates the maximum displacement demand on a structural system to its peak elastic displacement demand. The use of inelastic displacement ratios requires the idealization of the structural system as an equivalent single-degree-of-freedom (SDOF) system, thus, allowing the peak elastic displacement demands to be determined directly using elastic displacement response spectra [27].
Using a large number of nonlinear response-history analyses, Ghannad and Jafarieh [23] concluded that code expressions of inelastic displacement ratios for fixed-base structures, in most cases, underestimated actual displacement ratios for uplifting systems. They were the first to propose empirical expressions to estimate inelastic displacement ratios for yielding structures with bilinear hysteretic behavior on rocking shallow foundations. Dolatshahi et al. [24] extended the work of Ghannad and Jafarieh [23] to structures with degrading strength and stiffness properties, also taking into account p-delta effects. However, both studies adopted elastic Winkler foundations without considering soil yielding, the effects of which were addressed using elastic-plastic Winkler foundations to a very limited extent in Jafarieh and Ghannad’s study [25] and were discussed in more detail by Avcı and Yazgan [26], who also proposed a new expression for predicting the inelastic displacement ratios of a yielding structure on rocking shallow foundation with soil yielding.
Although maximum displacement demands on a yielding soil–structure interaction (SSI) system can be estimated using inelastic displacement ratios, it is sometimes more desirable to evaluate seismic damage to structures and foundations separately. This is because damage limit states for structures and foundations are separately well defined and readily available. In this case, damage to structures and foundations can be obtained directly by respectively evaluating their seismic demands against the capacity values that mark the boundaries between various damage limit states. Then, the damage to the whole SSI system can be estimated by summing the damage to structures and foundations, e.g., using an energy-weighted approach.
While evaluation of seismic damage to foundations is straightforward (e.g., using settlement and foundation rocking rotations), structural damage is usually assessed using maximum drift ratio (DR), which should be treated with care. In fact, a drift ratio at a story level is usually calculated by dividing the difference of story displacement at adjacent floors by their in-between story height for fixed-base buildings, which, for SSI systems, includes the contribution of foundation rocking rotation θr shown in Figure 1. Therefore, an effective structural drift ratio deducting θr from the total drift ratio should be adopted for structural damage evaluation unless the effect of foundation rocking is negligible. The question then arises as to whether foundation rocking contributes significantly to total drift ratios and how effectively structural drift ratios can be estimated for structural damage evaluation.
Figure 1.
Contribution of foundation rocking motion to structural drift ratio.
In order to address the two stated issues, first, a parametric analysis is performed to quantify the contribution of foundation rocking and identify cases where foundation rocking rotation contributes significantly to structural drift ratios. Then, a structural displacement ratio is proposed to estimate effective structural drift ratios, excluding foundation rocking rotation, and an empirical expression is provided so that effective structural drift ratios can be directly obtained using available expressions for the inelastic displacement ratios of rocking shallow foundations.
2. Modelling and Parameters
2.1. Soil–Structure Interaction Model
A simplified SSI model was built using OpenSees [28], as shown in Figure 2a. The superstructure was represented by an equivalent SDOF model, and its nonlinear stiffness was modelled by a horizontal spring showing a bilinear hysteresis behavior (using the ‘Steel01 material’). The rocking degree of freedom (DOF) of node 2 was slaved to that of node 1 to enforce a rigid body rotation due to foundation rocking. The superstructure in Figure 2a was defined by an effective mass (Ms), effective height (Hs), stiffness coefficient (Ks), and the yield strength (Fy). The footing was assumed to rest on a saturated clay stratum with an undrained shear strength of su. Note that the foundations were assumed to be shallowly embedded so that the embedment depth could be ignored, in which case kinematic interaction effects were ignored. A damping ratio of 5% was related to the elastic deformation of soil to account for radiation-damping effects. The governing equations of motion can be written as:
where ug is the ground horizontal displacement, and the over-dot indicates differentiation with respect to time, Mf is the mass of the footing, and g is the gravitational acceleration.
where F, H, V, and M are shear force in the superstructure and reaction horizontal, vertical, and rocking moment in the foundation, respectively; us, uh, uv, and θr are lateral displacement (relative to the foundation) of the superstructure and sliding, settlement, and rocking rotation (relative to the free field) of the footing, respectively.
Figure 2.
(a) BNWF supporting a SDOF structure; (b) distribution of subgrade modulus.
In this study, we considered a surface strip foundation and used the elastic-plastic BNWF model proposed by Raychowdhury and Hutchinson [16]. Implemented in OpenSees [28], the foundation was modelled using stiff ‘elasticBeamColumn’ elements supported by discrete nonlinear, zero-length, tensionless Winkler springs with the ‘QzSimple2 material’. In this way, the moment–rotation behavior of the foundation could be captured using the distribution of vertical springs. A horizontal spring was used to model the soil–footing contact frictional behavior by means of the ‘TzSimple2 material’. The elastic spring constants were estimated using the Gazetas’ [29] formula for vertical foundation stiffness, and an assumed soil subgrade reaction modulus profile is sketched in Figure 2. Note that, for a strip foundation, the high-intensity end regions of the piecewise distribution tend to zero, leading to a uniform subgrade reaction modulus distribution. However, this practice can be shown to underestimate the foundation rocking stiffness when compared with its analytical solution due to the fact that the elastic subgrade modulus under a centric vertical loading tends to infinity at extreme ends of a rigid footing as a result of stress concentration.
2.2. Subgrade Reaction Modulus Distribution
Instead of the piecewise distribution of vertical stiffness suggested in [16], a smooth distribution of the vertical subgrade reaction modulus was adopted herein with a dimensionless shape conformed to its analytical solution solved by Borowicka [30] as:
where B is the width of the footing, x defines the position to the midpoint of the footing, and Ev(x) denotes the subgrade reaction modulus. The subgrade reaction modulus distribution calculated using Equation (3) was compared to the uniform distribution in Figure 2b. The values of the subgrade reaction modulus were adjusted iteratively in this study to achieve an accurate rocking foundation stiffness given by Gazetas [29] as:
where G and υ are the shear modulus and Poisson’s ratio of soil material, respectively.
2.3. BNWF Model Verification
Based on [16] and using bending moment equilibrium around the center of the mass of the footing, Equation (5) was derived to calculate the foundation rocking stiffness, which, as mentioned earlier, can be underestimated when compared with the analytical solution given by Equation (4).
where kv = 0.73G/(1 − υ) is the vertical stiffness formula for strip foundations [29], and Rk and Re are the stiffness intensity ratio and the end length ratio, respectively, as illustrated in Figure 2b. It should be noted, again, that the values of Rk and Re for strip foundations are, respectively, 1 and 0 [13]. As a result, using Equation (5) led to an initial foundation rocking stiffness of kr* = kvB2/3, which is only 61.97% of the exact solution given by Equation (4). Figure 3 compares the commonly used, uniform subgrade reaction modulus distribution of strip foundation with that used in this study.
Figure 3.
The distribution of vertical stiffness for strip foundation (υ = 0.4).
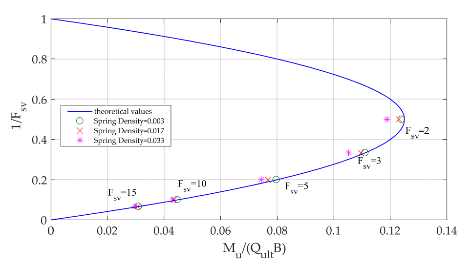
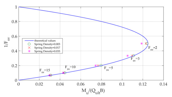
In addition, the ultimate bending moment capacities Mu under the combined vertical-rotational loading were obtained using static pushover analysis and compared with the analytical solution expressed as:
where Fsv is the safety factor of foundation against vertical bearing capacity; Qult is the foundation vertical bearing capacity due to pure vertical loading, which can be calculated by the Meyerhof’s method [31] as a function of footing geometry and su. Equation (6) was analytically derived by Allotey and Naggar [32] and confirmed by Gourvenec [33] and Gazetas et al. [29] through finite element modelling.
Figure 4 compares the theoretical values (represented by lines) with those calculated using the pushover analysis (marked by circles) on the BNWF model associated with the smooth subgrade reaction modulus. The pushover analysis results were calculated using different vertical spring densities (i.e., number of springs per unit length of footing width). It can be seen that the results were close to those using a density value of 0.017, which are considered to be practically accurate. Therefore, without losing accuracy and computational efficiency, a spring density of 0.017 was adopted herein.
Figure 4.
Comparison of static pushover results with theoretical values.
2.4. Dimensionless Parameters
In order to perform a comprehensive parametric analysis to quantify the effect of foundation rocking on structural drift ratios, seven dimensionless parameters were adopted in what follows.
The structure aspect ratio was used to measure the slenderness of a structure, given by:
where Hs and Bs are the effective height and width of the superstructure. Generally, S was limited to prevent overturning, and the practical values of S = 1, 2, 3, 4 were adopted in this study, consistent with other related research [34,35].
The superstructure to foundation capacity ratio was defined as:
where Fy is the yield strength of the superstructure. In order to investigate all possible cases of a weaker foundation system, a compatible yielding system, and a stronger foundation system, the values of R1 = 0.5, 1, and 2, respectively, were considered in this study. The foundation safety factor against vertical load was calculated as the vertical foundation bearing capacity divided by the applied load as:
In this study, Fsv = 2, 3, 5, and 10 were adopted [19,29,36].
The soil rigidity index was used to describe the stiffness of soil with respect to its strength, and it was defined as:
A typical shear strength of su = 100 kPa [26] was assumed with k = 100, 300, and 500, covering a reasonable range of soil rigidity [29].
A parameter was proposed to measure the intensity of ground motion relative to the lateral strength of the superstructure:
where Sa is the 5% damped spectral pseudo-acceleration of the fixed-base structure. R2 = 0.2, 0.5, 1, 3, and 6 were chosen for this study [36].
In addition to these parameters, the mass ratio Mf/Ms was taken as 30%, the hardening ratio of the bilinear structural hysteretic model was taken as 0.1%, and the soil Poisson’s ratio was set to 0.4, which were consistent with other related research studies [20,21,31]. Aside from this, the fundamental vibration period of the superstructure (T) in the present study ranged from 0.1 s to 2.9 s. Therefore, different soil–structure systems could be established using different values of these parameters based on the adopted BNWF model.
3. Ground Motions and Seismic Performance of Rocking Systems
3.1. Selected Ground Motions
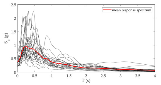
The uncertainty of ground motions affects the responses of the SSI systems. Li et al. [37] showed that artificial earthquake time histories or modified earthquake time histories may lead to unrealistic response of structural systems. In order to consider the variability of ground motion, a robust set of 22 real, far-field earthquake ground motion records recommended by the FEMA P695 report [38] was chosen. The 22 records were obtained from 14 worldwide seismic events in between 1971 and 1999 with magnitudes ranging from 6.5 to 7.6. All of the ground motions were recorded on soil sites with a site-to-source distance varying from 11.1 km to 26.4 km and peak ground acceleration values in the range of 0.21 g to 0.73 g. The detailed information and the response spectrum of the selected ground motions are presented in Table 1 and Figure 5. In addition to the 22 ground motions, the most widely used NS component of the ground acceleration of the 1940 El Centro earthquake was also adopted to show the effect of foundation rocking on structural drift ratios for typical SSI systems.
Table 1.
Summary of the adopted 22 real, far-field earthquake ground motion records, adapted from Ref. [38].
Figure 5.
Response spectrum of the selected ground motions.
3.2. Seismic Performance of Typical SSI Systems
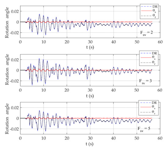
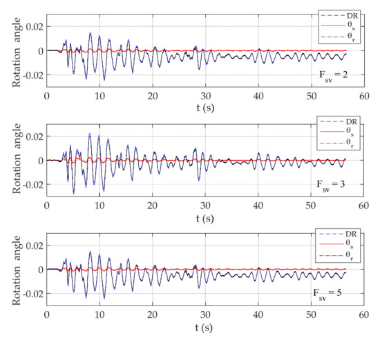
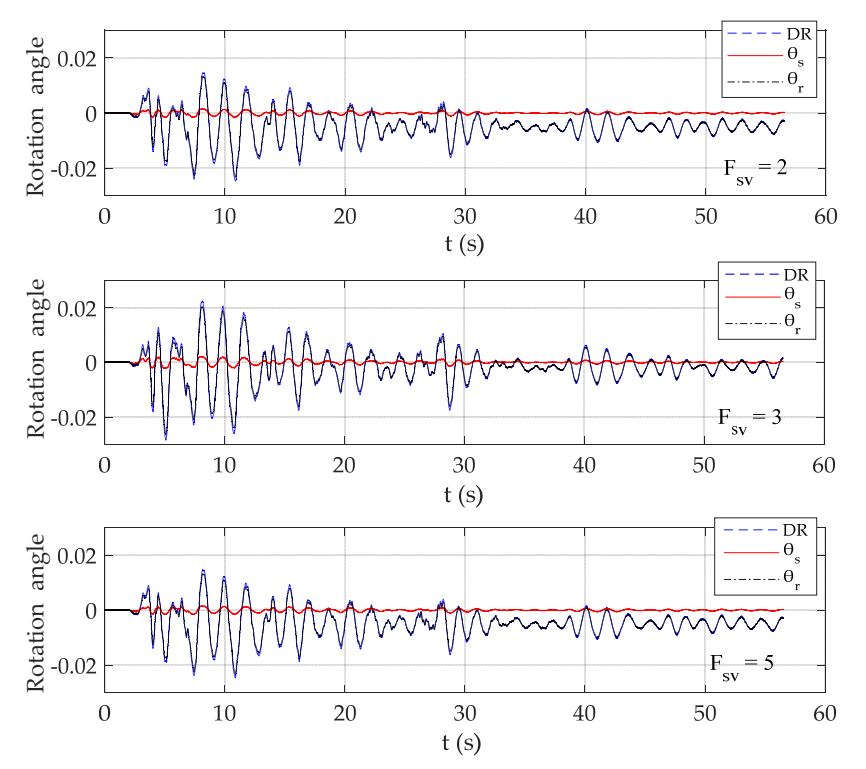
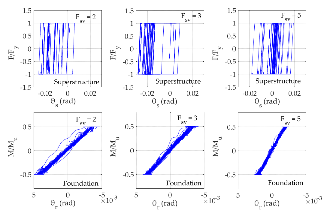
This section presents the seismic performance structures on rocking shallow foundations subjected to the 1940 El Centro earthquake. Note that the structural drift ratio (DR) induced by foundation rocking rotation is denoted as θr, whereas the contribution due to structure straining (i.e., the effective structural drift ratio) is denoted as θs.
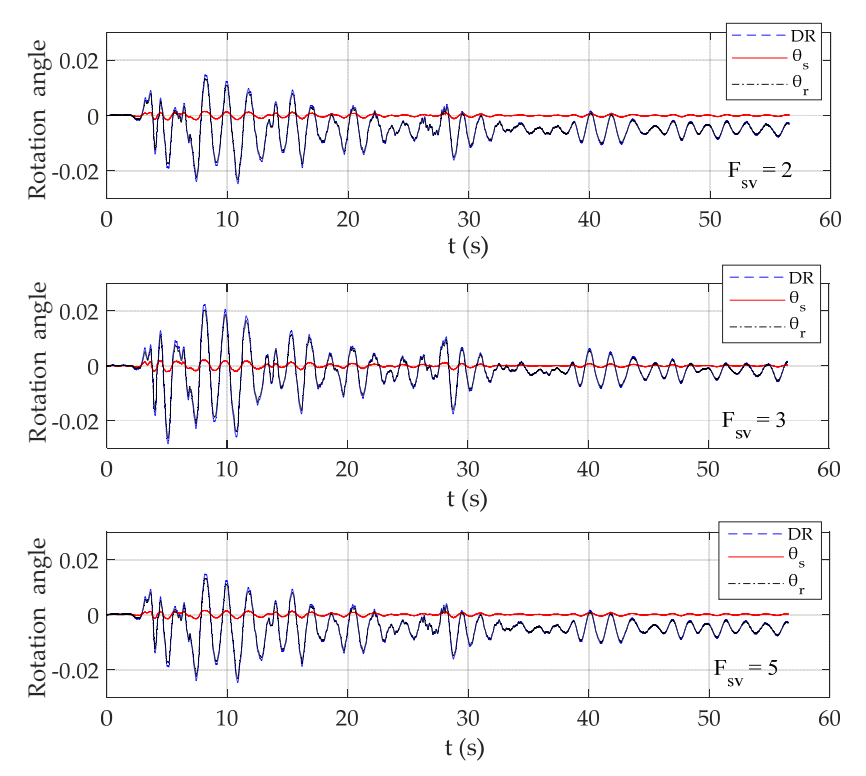
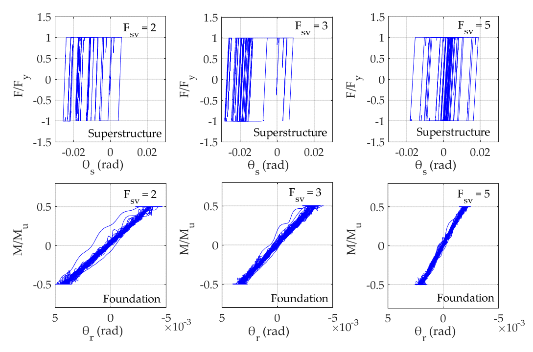
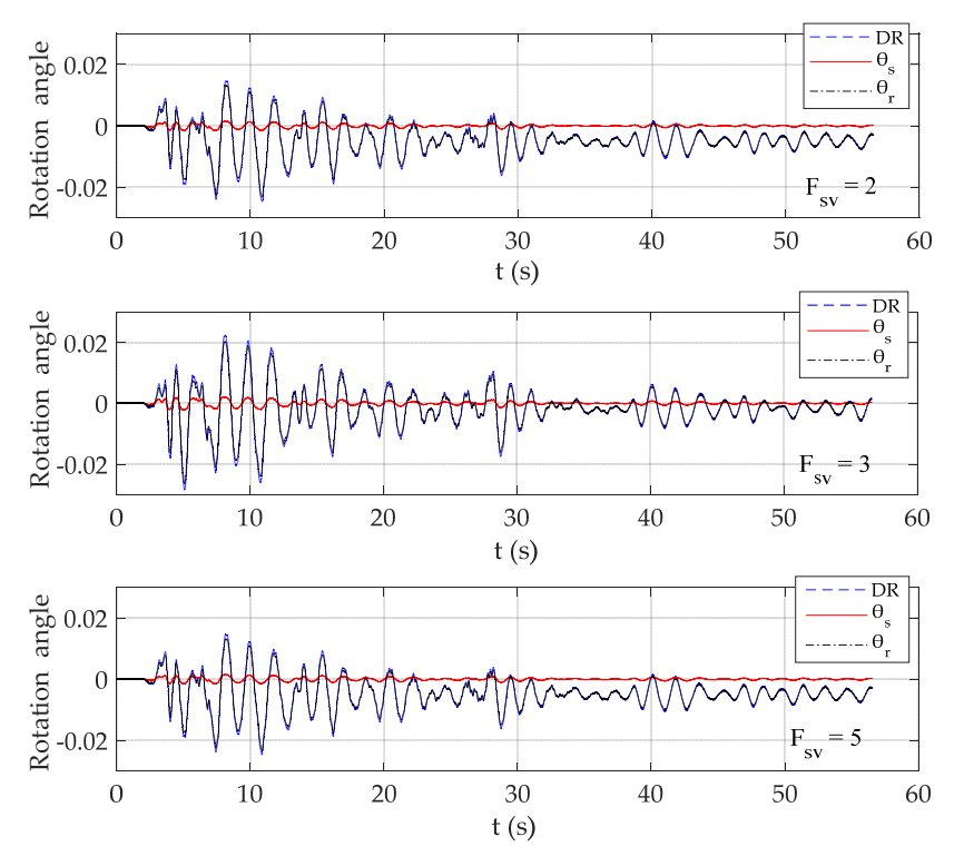
Figure 6, Figure 7, Figure 8 and Figure 9 show the hysteresis curves of superstructure and foundation and the time history of rotation angles as the examples that illustrate the response of the system during the earthquake. For the superstructure that was as strong as the foundation, as shown in Figure 6, at low Fsv values, the superstructure remained in the elastic phase and the foundation was obviously yielding. With the increase of Fsv values, the superstructure entered into the yielding state, and the hysteresis curve of foundation changed greatly. It means that, when the Fsv values increased, θs gradually increased and the contribution of foundation rocking to the total DR decreased. The time history of the DRs presented in Figure 7 shows that θs (red line) and the total DR (blue dotted line) followed a similar trend, while θr (the black line) fluctuated within bounded limits. Figure 8 and Figure 9 show the hysteresis curves and the time history of DRs for the superstructure that was weaker relative to the foundation. The superstructure experienced significant yielding, resulting in a lower contribution of foundation rocking when compared with the cases where the strength of the superstructure was equal to that of the foundation. Moreover, it can be seen that the hysteresis loop of the superstructure changed from slender to chunky with the increase of Fsv, leading to the decrease of ultimate force and the increase of deformation. It means that θs, caused by the deformation of superstructure, increased, and the foundation rocking contribution decreased. In addition, hysteresis curves corresponding to some other SSI systems are presented in the Appendix A, where the results, once again, confirm that, with the increase of Fsv, θs outweighed that due to the foundation rocking, leading to the decrease of the contribution of foundation rocking to the total DR. The effect of Fsv on the contribution of foundation rocking to the DR was studied in detail in the following.
Figure 6.
Hysteresis curves of a typical SSI system with T = 0.5, R1 = 1, R2 = 0.5, S = 2, k = 300.
Figure 7.
Time history of rotation angles of a typical SSI system with T = 0.5, R1 = 1, R2 = 0.5, S = 2, k = 300.
Figure 8.
Hysteresis curves of a typical SSI system with T = 0.5, R1 = 0.5, R2 = 0.5, S = 2, k = 300.
Figure 9.
Time history of rotation angles of a typical SSI system with T = 0.5, R1 = 0.5, R2 = 0.5, S = 2, k = 300.
4. Parametric Sensitivity Analysis
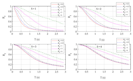
To comprehensively study the effects of foundation rocking rotation on θs, the parameter Rf was defined to quantify the contribution of foundation rocking rotation to the total DR, and it was expressed as:
where θmax is the maximum DR, and θr,max is the maximum foundation rotation, both of which were evaluated as the peak values in their time-history data. Rf ranges in between 0 and 1, with Rf = 0 corresponding to the case of a rigid-base flexible superstructure, whereas Rf = 1 represents flexible-base rigid superstructures. Note that the conventional calculation of DR is based on the difference of the story horizontal translations divided by the story height, which is equal to θ. The results of the parametric analyses are presented as the averaged Rf spectra obtained using all ground motions. Some of the important results are selected and given below.
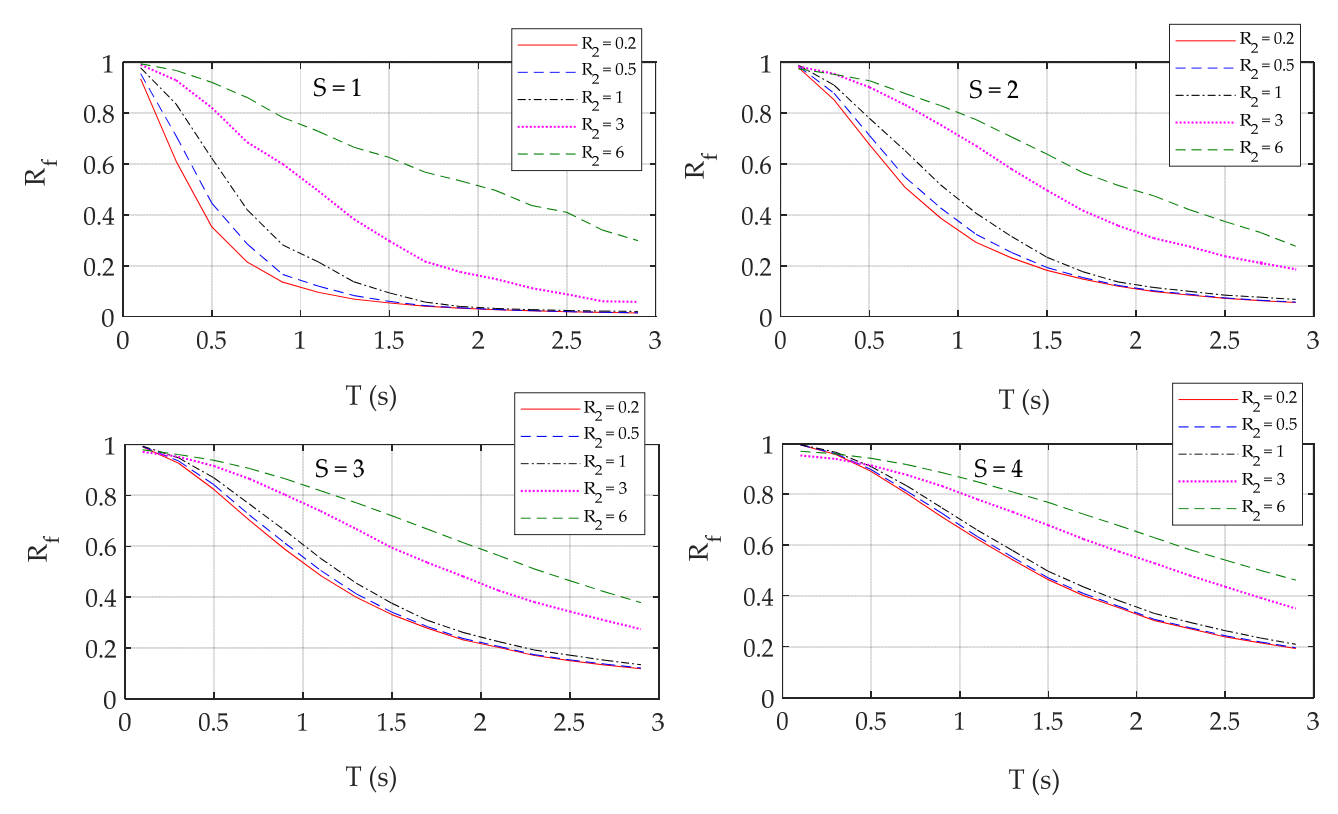
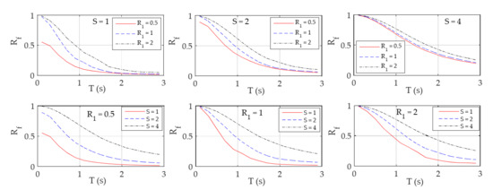
4.1. The Effects of S and R1
From Equation (8), the yield strength of the superstructure (Fy) is related to S and R1. It is necessary to study these two parameters simultaneously. Figure 10 compares the results for different values of R1 and S. It can be seen that, with the increase of the vibration period of the superstructure, the proportion of foundation rocking rotation in the DR decreased monotonically. Rf values were close to 1 in the low-period range and were less than 0.5 when T was longer than 2 s. This can be explained by the fact that, the higher the T, the more flexible the superstructure and the larger contribution to DR due to structural deformation. Therefore, the vibration period of superstructure has a great influence on the index Rf. From each of the three diagrams in the first row, it can be seen that Rf increased with the increase of R1. The results suggest that the stronger the superstructure is compared to the foundation, the less deformation the superstructure is likely to experience compared to the foundation, which leads to higher contribution of the foundation rocking to the DR. However, the effect of R1 was less prominent with the increase of S.
Figure 10.
The effects of S and R1 on the Rf spectra with Fsv = 3, k = 300, R2 = 1.
Similarly, the three diagrams in the second row show that Rf increased with the increase of S, and Rf was more sensitive to S than to R1. Meanwhile, it can be seen that some values of Rf were around 0.5 even when T tended to zero, which suggests that these superstructures were stiff but weak to have large deformation even at a very short vibration period.
4.2. The Effects of Fsv and k
Figure 11 shows the effects of Fsv and k on Rf. In the first row, it can be seen that Rf decreased with the increase of k, and the decrease of Rf with T was sharper for higher k values. It means that the increase of the soil rigidity reduced the contribution of foundation rocking to the DR. It is generally believed that the larger the Fsv, the smaller the resist bending moment of the foundation and the easier the foundation is to uplift, which may lead to an increase of the foundation rocking rotation. This is true for stiff and strong superstructures. However, the three diagrams in the second row in Figure 11 show that Rf decreased with the increase of Fsv. Actually, when increasing Fsv while maintaining the values of other dimensionless parameters, although the rocking moment capacity of the foundation decreased, the yield strength and lateral stiffness of the superstructure also decreased. It can be seen that the increase of Fsv had a greater impact on the superstructure which led to severe elastoplastic structural deformation, thereby reducing the contribution of foundation rocking rotation to the DR.
Figure 11.
The effects of Fsv and k on the Rf spectra with R1 = 1, R2 = 0.5, S = 2.
4.3. The Effects of R2
Figure 12 shows the effect of R2 on the Rf spectra, considering the typical case of R1 = 1, Fsv = 3, k = 300. It can be seen that Rf increased with the increase of R2, which means that the contribution of foundation rocking to the DR was higher when subjected to stronger earthquakes. At the same time, it can be seen that when R1R2 ≤ 1, the Rf spectra were relatively close. For example, for the squat structures with S = 1, when T exceeded 2 s, Rf dropped below 4% for R1R2 ≤ 1, where the contribution of foundation rocking to DR can be ignored. However, for the case with R1 = 1, R2 = 6, Rf exceeded 50% when T = 2 s. This trend was also similar for other R1 values. Additionally, for slender structures, such as those with S > 2, Rf remained higher than 20% even when R1R2 ≤ 1. Therefore, it can be concluded that foundation rocking should be excluded from the DR to obtain θs.
Figure 12.
The effects of R2 on the Rf spectra with R1 = 1, Fsv = 3, k = 300.
4.4. The Combined Effects of the Key Parameters
In order to study the combined effects of the dimensionless parameters on Rf, results corresponding to structures designed with S = 2 and T = 1.3 s are given in Figure 13. The variation of Rf with k was examined by considering different values of R1, R2, and Fsv. A descending trend of the Rf–k relationship was noted, which is consistent with the results in Figure 10. It was observed that, when subjected to low-intensity earthquakes (e.g., R2 = 0.2), Rf was almost unaffected by the variation of the superstructure-to-foundation capacity ratio R1, which makes sense because the whole SSI system is essentially in its elastic state during the earthquake. It was also observed that Rf decreased with increasing Fsv values, while Rf increased with increasing earthquake intensity (i.e., higher R2 values), especially for those with stronger structures than foundations (e.g., R1 = 1, 2). For example, when R2 = 6, Rf was very sensitive to R1 and Rf remained above 75% for R1 = 2.
Figure 13.
The combined effects of the key parameters on Rf.
4.5. Discussion
The sensitivity analysis results in this section suggest that T, S, and R2 are the most influential parameters that govern the contribution of foundation rocking rotations to the DR of the superstructure. In most cases, the contribution of foundation rocking rotation to DR should be deducted to obtain effective structural DR. In addition, k and Fsv are of great importance. Rf increases with decreasing the k value, and when k ≥ 300, the Rf spectra decrease rapidly with T. It means that the significant contribution of foundation rocking to DR is associated with soft foundation soil (i.e., lower k values), which is consistent with the general belief that the SSI effects of soft soil is more pronounced. Therefore, foundation rocking must be excluded to obtain effective structural DR at small k values. Similarly, the Rf spectra show a descending trend when increasing the Fsv value, even though it is true that the larger the Fsv, the more likely the foundation is to uplift, which may lead to increase of the foundation rocking rotation. Since Fsv has a greater impact on the superstructure, which leads to severe elastic-plastic structural deformation, choosing an appropriate value for Fsv is crucial. On the other hand, the results show that the Rf spectra increase with the increase of R1 and R2. It is concluded that the greater the strength of superstructure relative to the foundation and the greater the intensity of ground motion, the larger the contribution of foundation rocking rotation to DR.
It is noted that the effects of foundation rocking are more closely related to the stiffness of system rather than the strength. This can also be seen from the results that, with the increase of Fsv, the decrease of stiffness of superstructure takes control of the relationship between superstructure and foundation, which results in the decrease of the contribution of foundation rocking rotation to the total DR.
5. Estimation of Structural Displacement Ratio
In order obtain effective structural drift ratios associated solely with structural straining, a structural displacement ratio Rs was defined as the ratio of the effective structural drift ratio to the total structural drift ratio. In this way, the effective structural drift ratios could be estimated by applying Rs to the maximum displacement demands on structures supported by rocking shallow foundations which could be determined using readily available expressions for inelastic displacement ratios. Note that this practice is applicable to SSI systems dominated by rocking motions where sliding displacement is considered negligible compared to that induced by foundation rocking [14].
Based on the results of the parametric sensitivity analysis, a predictive formula was proposed to estimate the Rs:
where a and b are the constants presented in Appendix A. Note, for R1R2 ≤ 1, the Rf spectra are relatively close, thus, they were normalized and predicted using the same formula. The tables in Appendix A also show the goodness of fit of the formulae against results data using the R2 (the closer R2 is to 1, the better the fitting is) and the root mean square error (RMSE), which measures the difference between the predicted values and the observed ones. The smaller the RMSE is, the closer the predictive formula is to the observed value. It can be seen that the predictive formulae performed well in almost all cases. Rf can be obtained by interpolating the coefficients of the predictive formulae for cases where the values of the dimensionless parameters were not listed in the tables.
Thus, the effective structural drift ratio (DR) can be predicted according to Equations (13) and (14):
In order to test the accuracy of the proposed predictive formulae, several cases of various combinations of the dimensionless parameters were randomly selected for demonstration purposes, and the results of the time-history response analysis (THRA) were compared with those of the predictive formulae, as shown in Figure 14. It can be seen that the predictive formulae performed well and can be used to estimate the effective DR in practice.
Figure 14.
The comparison of the THRA results with the predictive formulae.
6. Conclusions
In this paper, a new structural displacement ratio is proposed to estimate effective structural drift ratio, which is associated with structural straining, without considering the contribution due to foundation rocking motion. A comprehensive parametric study was carried out to investigate the effect of foundation rocking on structural drift ratios using a large number of nonlinear response-history analyses. A series of dimensionless parameters were defined to cover various cases of structures on rocking shallow foundations idealized as SDOF oscillators on BNWF models.
It is concluded that, in many cases, foundation rocking rotation accounts for a large proportion of the structural drift ratio, especially for (a) slender superstructures, (b) SSI systems with softer soil conditions, and (c) SSI systems with a high superstructure-to-foundation capacity ratio. The phenomenon should receive more attention in the event of a stronger earthquake.
Simple expressions were provided to predict the structural displacement ratio and, thus, to facilitate estimation of effective structural drift ratio using readily available expressions of inelastic displacement ratios for rocking-dominated SSI systems.
Author Contributions
Data curation, M.X.; investigation, M.X.; methodology, Y.L. and M.X.; project administration, F.X. and Y.L.; supervision, F.X., Q.G., H.Y. and M.R.; writing—original draft, M.X.; writing—review & editing, Y.L. and M.X. All authors have read and agreed to the published version of the manuscript.
Funding
This research was funded by the National Natural Science Foundation of China (52008275); the Sichuan Department of Science and Technology (2019YFH0120); Fundamental Research Funds for Central Universities of China (19XJ0077).
Institutional Review Board Statement
Not applicable.
Informed Consent Statement
Not applicable.
Data Availability Statement
The data presented in this study are available on request from the corresponding author.
Conflicts of Interest
The authors declare no conflict of interest. The funders had no role in the design of the study; in the collection, analyses, or interpretation of data; in the writing of the manuscript, or in the decision to publish the results.
Appendix A
The hysteresis curves corresponding to some other SSI systems when subjected to the NS component of the ground acceleration of the 1940 El Centro earthquake are presented here to further illustrate the effects of Fsv.
Figure A1.
Hysteresis curves of SSI systems with T = 0.5, R1 = 2, R2 = 0.01, S = 1, k = 300.
Figure A1.
Hysteresis curves of SSI systems with T = 0.5, R1 = 2, R2 = 0.01, S = 1, k = 300.

Figure A2.
Hysteresis curves of SSI systems with T = 0.5, R1 = 1, R2 = 0.2, S = 2, k = 300.
Figure A2.
Hysteresis curves of SSI systems with T = 0.5, R1 = 1, R2 = 0.2, S = 2, k = 300.

Figure A3.
Hysteresis curves of SSI systems with T = 0.5, R1 = 1, R2 = 0.2, S = 2, k = 300.
Figure A3.
Hysteresis curves of SSI systems with T = 0.5, R1 = 1, R2 = 0.2, S = 2, k = 300.

Table A1.
The parameters of the predictive formulae of Rf for S = 1, Fsv = 2.
Table A1.
The parameters of the predictive formulae of Rf for S = 1, Fsv = 2.
| k = 100 | ||||||||
|---|---|---|---|---|---|---|---|---|
| R1 | R1R2 ≤ 1 | 0.5 | 1 | 2 | ||||
| R2 | 3 | 6 | 3 | 6 | 1 | 3 | 6 | |
| a | 1.150 | 0.650 | 0.349 | 1.168 | 1.145 | 1.183 | 1.144 | 1.103 |
| b | −1.026 | −0.716 | −0.549 | −0.678 | −0.511 | −1.054 | −0.503 | −0.334 |
| R2 | 0.986 | 0.979 | 0.995 | 0.978 | 0.975 | 0.979 | 0.974 | 0.973 |
| RMSE | 0.036 | 0.026 | 0.006 | 0.047 | 0.045 | 0.048 | 0.045 | 0.037 |
| k = 300 | ||||||||
| R1 | R1R2 ≤ 1 | 0.5 | 1 | 2 | ||||
| R2 | 3 | 6 | 3 | 6 | 1 | 3 | 6 | |
| a | 1.136 | 0.379 | 0.215 | 1.153 | 1.148 | 1.179 | 1.138 | 1.095 |
| b | −1.658 | −1.000 | −0.853 | −0.889 | −0.649 | −1.076 | −0.598 | −0.392 |
| R2 | 0.977 | 0.992 | 0.940 | 0.989 | 0.983 | 0.989 | 0.984 | 0.986 |
| RMSE | 0.043 | 0.009 | 0.014 | 0.034 | 0.040 | 0.034 | 0.038 | 0.028 |
| k = 500 | ||||||||
| R1 | R1R2 ≤ 1 | 0.5 | 1 | 2 | ||||
| R2 | 3 | 6 | 3 | 6 | 1 | 3 | 6 | |
| a | 1.112 | 0.278 | 0.149 | 1.146 | 1.152 | 1.169 | 1.121 | 1.087 |
| b | −1.995 | −1.111 | −0.935 | −0.999 | −0.755 | −1.209 | −0.629 | −0.413 |
| R2 | 0.956 | 0.993 | 0.972 | 0.992 | 0.986 | 0.993 | 0.989 | 0.989 |
| RMSE | 0.056 | 0.006 | 0.007 | 0.028 | 0.038 | 0.028 | 0.031 | 0.025 |
Table A2.
The parameters of the predictive formulae of Rf for S = 1, Fsv = 3.
Table A2.
The parameters of the predictive formulae of Rf for S = 1, Fsv = 3.
| k = 100 | ||||||||
|---|---|---|---|---|---|---|---|---|
| R1 | R1R2 ≤ 1 | 0.5 | 1 | 2 | ||||
| R2 | 3 | 6 | 3 | 6 | 1 | 3 | 6 | |
| a | 1.146 | 0.566 | 0.276 | 1.178 | 1.141 | 1.195 | 1.156 | 1.121 |
| b | −1.246 | −0.918 | −0.689 | −0.687 | −0.501 | −0.859 | −0.458 | −0.302 |
| R2 | 0.984 | 0.998 | 0.980 | 0.975 | 0.952 | 0.995 | 0.955 | 0.937 |
| RMSE | 0.038 | 0.007 | 0.010 | 0.050 | 0.063 | 0.053 | 0.059 | 0.055 |
| k = 300 | ||||||||
| R1 | R1R2 ≤ 1 | 0.5 | 1 | 2 | ||||
| R2 | 3 | 6 | 3 | 6 | 1 | 3 | 6 | |
| a | 1.103 | 0.290 | 0.143 | 1.193 | 1.123 | 1.202 | 1.149 | 1.112 |
| b | −1.887 | −1.134 | −0.917 | −0.897 | −0.714 | −1.064 | −0.534 | −0.356 |
| R2 | 0.942 | 0.996 | 0.957 | 0.977 | 0.975 | 0.981 | 0.972 | 0.972 |
| RMSE | 0.065 | 0.005 | 0.008 | 0.052 | 0.049 | 0.047 | 0.049 | 0.039 |
| k = 500 | ||||||||
| R1 | R1R2 ≤ 1 | 0.5 | 1 | 2 | ||||
| R2 | 3 | 6 | 3 | 6 | 1 | 3 | 6 | |
| a | 1.092 | 0.161 | 0.090 | 1.196 | 1.068 | 1.200 | 1.139 | 1.109 |
| b | −2.256 | −1.013 | −0.816 | −1.022 | −0.816 | −1.134 | −0.560 | −0.384 |
| R2 | 0.909 | 0.974 | 0.819 | 0.977 | 0.972 | 0.983 | 0.977 | 0.973 |
| RMSE | 0.077 | 0.007 | 0.012 | 0.052 | 0.051 | 0.044 | 0.044 | 0.039 |
Table A3.
The parameters of the predictive formulae of Rf for S = 1, Fsv = 5.
Table A3.
The parameters of the predictive formulae of Rf for S = 1, Fsv = 5.
| k = 100 | ||||||||
|---|---|---|---|---|---|---|---|---|
| R1 | R1R2 ≤ 1 | 0.5 | 1 | 2 | ||||
| R2 | 3 | 6 | 3 | 6 | 1 | 3 | 6 | |
| a | 1.131 | 0.329 | 0.160 | 1.118 | 0.900 | 1.208 | 1.157 | 1.107 |
| b | −1.548 | −0.921 | −0.718 | −0.747 | −0.499 | −0.904 | −0.418 | −0.254 |
| R2 | 0.967 | 0.986 | 0.954 | 0.968 | 0.946 | 0.971 | 0.949 | 0.943 |
| RMSE | 0.052 | 0.011 | 0.009 | 0.056 | 0.052 | 0.059 | 0.061 | 0.046 |
| k = 300 | ||||||||
| R1 | R1R2 ≤ 1 | 0.5 | 1 | 2 | ||||
| R2 | 3 | 6 | 3 | 6 | 1 | 3 | 6 | |
| a | 1.087 | 0.162 | 0.066 | 1.181 | 0.675 | 1.219 | 1.170 | 1.119 |
| b | −2.225 | −1.125 | −0.806 | −1.025 | −0.607 | −1.045 | −0.479 | −0.323 |
| R2 | 0.886 | 0.988 | 0.936 | 0.987 | 0.964 | 0.971 | 0.948 | 0.953 |
| RMSE | 0.088 | 0.005 | 0.005 | 0.037 | 0.034 | 0.060 | 0.066 | 0.049 |
| k = 500 | ||||||||
| R1 | R1R2 ≤ 1 | 0.5 | 1 | 2 | ||||
| R2 | 3 | 6 | 3 | 6 | 1 | 3 | 6 | |
| a | 1.065 | 0.106 | 0.042 | 1.085 | 0.616 | 1.226 | 1.174 | 1.125 |
| b | −2.599 | −1.102 | −0.630 | −1.134 | −0.730 | −1.093 | −0.525 | −0.364 |
| R2 | 0.861 | 0.928 | 0.611 | 0.985 | 0.934 | 0.968 | 0.953 | 0.958 |
| RMSE | 0.091 | 0.008 | 0.009 | 0.037 | 0.045 | 0.064 | 0.065 | 0.050 |
Table A4.
The parameters of the predictive formulae of Rf for S = 1, Fsv = 10.
Table A4.
The parameters of the predictive formulae of Rf for S = 1, Fsv = 10.
| k = 100 | ||||||||
|---|---|---|---|---|---|---|---|---|
| R1 | R1R2 ≤ 1 | 0.5 | 1 | 2 | ||||
| R2 | 3 | 6 | 3 | 6 | 1 | 3 | 6 | |
| a | 1.066 | 0.175 | 0.074 | 0.959 | 0.570 | 1.199 | 1.114 | 1.097 |
| b | −1.965 | −0.991 | −0.734 | −0.785 | −0.391 | −0.931 | −0.387 | −0.275 |
| R2 | 0.906 | 0.989 | 0.907 | 0.970 | 0.840 | 0.975 | 0.935 | 0.977 |
| RMSE | 0.080 | 0.005 | 0.006 | 0.047 | 0.055 | 0.054 | 0.064 | 0.030 |
| k = 300 | ||||||||
| R1 | R1R2 ≤ 1 | 0.5 | 1 | 2 | ||||
| R2 | 3 | 6 | 3 | 6 | 1 | 3 | 6 | |
| a | 0.992 | 0.067 | 0.027 | 1.007 | 0.511 | 1.202 | 1.092 | 1.000 |
| b | −2.672 | −0.950 | −0.601 | −1.109 | −0.594 | −1.066 | −0.501 | −0.388 |
| R2 | 0.824 | 0.952 | 0.778 | 0.994 | 0.909 | 0.980 | 0.946 | 0.956 |
| RMSE | 0.096 | 0.004 | 0.004 | 0.022 | 0.042 | 0.049 | 0.064 | 0.046 |
| k = 500 | ||||||||
| R1 | R1R2 ≤ 1 | 0.5 | 1 | 2 | ||||
| R2 | 3 | 6 | 3 | 6 | 1 | 3 | 6 | |
| a | 0.962 | 0.069 | 0.015 | 0.780 | 0.402 | 1.174 | 1.152 | 0.929 |
| b | −2.993 | −1.340 | −0.367 | −1.003 | −0.619 | −1.113 | −0.609 | −0.454 |
| R2 | 0.812 | 0.701 | 0.121 | 0.967 | 0.918 | 0.980 | 0.956 | 0.954 |
| RMSE | 0.093 | 0.012 | 0.009 | 0.040 | 0.031 | 0.047 | 0.064 | 0.048 |
Table A5.
The parameters of the predictive formulae of Rf for S = 2, Fsv = 2.
Table A5.
The parameters of the predictive formulae of Rf for S = 2, Fsv = 2.
| k = 100 | ||||||||
|---|---|---|---|---|---|---|---|---|
| R1 | R1R2 ≤ 1 | 0.5 | 1 | 2 | ||||
| R2 | 3 | 6 | 3 | 6 | 1 | 3 | 6 | |
| a | 1.141 | 0.982 | 0.704 | 1.121 | 1.102 | 1.140 | 1.102 | 1.074 |
| b | −0.533 | −0.449 | −0.356 | −0.385 | −0.286 | −0.443 | −0.283 | −0.186 |
| R2 | 0.979 | 0.977 | 0.963 | 0.969 | 0.960 | 0.972 | 0.960 | 0.951 |
| RMSE | 0.038 | 0.035 | 0.028 | 0.043 | 0.041 | 0.044 | 0.041 | 0.033 |
| k = 300 | ||||||||
| R1 | R1R2 ≤ 1 | 0.5 | 1 | 2 | ||||
| R2 | 3 | 6 | 3 | 6 | 1 | 3 | 6 | |
| a | 1.153 | 0.719 | 0.325 | 1.150 | 1.109 | 1.180 | 1.119 | 1.077 |
| b | −0.911 | −0.675 | −0.399 | −0.574 | −0.401 | −0.694 | −0.364 | −0.215 |
| R2 | 0.984 | 0.990 | 0.964 | 0.972 | 0.963 | 0.974 | 0.966 | 0.969 |
| RMSE | 0.039 | 0.019 | 0.014 | 0.050 | 0.048 | 0.052 | 0.044 | 0.029 |
| k = 500 | ||||||||
| R1 | R1R2 ≤ 1 | 0.5 | 1 | 2 | ||||
| R2 | 3 | 6 | 3 | 6 | 1 | 3 | 6 | |
| a | 1.153 | 0.564 | 0.259 | 1.154 | 1.098 | 1.190 | 1.123 | 1.081 |
| b | −1.138 | −0.769 | −0.530 | −0.667 | −0.464 | −0.799 | −0.397 | −0.230 |
| R2 | 0.984 | 0.981 | 0.986 | 0.972 | 0.968 | 0.973 | 0.967 | 0.970 |
| RMSE | 0.038 | 0.021 | 0.007 | 0.053 | 0.047 | 0.055 | 0.045 | 0.030 |
Table A6.
The parameters of the predictive formulae of Rf for S = 2, Fsv = 3.
Table A6.
The parameters of the predictive formulae of Rf for S = 2, Fsv = 3.
| k = 100 | ||||||||
|---|---|---|---|---|---|---|---|---|
| R1 | R1R2 ≤ 1 | 0.5 | 1 | 2 | ||||
| R2 | 3 | 6 | 3 | 6 | 1 | 3 | 6 | |
| a | 1.148 | 0.882 | 0.491 | 1.130 | 1.093 | 1.154 | 1.116 | 1.074 |
| b | −0.669 | −0.553 | −0.360 | −0.439 | −0.311 | −0.531 | −0.301 | −0.173 |
| R2 | 0.984 | 0.992 | 0.949 | 0.974 | 0.949 | 0.974 | 0.949 | 0.942 |
| RMSE | 0.036 | 0.020 | 0.024 | 0.042 | 0.049 | 0.047 | 0.048 | 0.034 |
| k = 300 | ||||||||
| R1 | R1R2 ≤ 1 | 0.5 | 1 | 2 | ||||
| R2 | 3 | 6 | 3 | 6 | 1 | 3 | 6 | |
| a | 1.148 | 0.586 | 0.249 | 1.146 | 1.071 | 1.192 | 1.128 | 1.084 |
| b | −1.100 | −0.789 | −0.504 | −0.612 | −0.436 | −0.764 | −0.359 | −0.202 |
| R2 | 0.982 | 0.983 | 0.982 | 0.971 | 0.965 | 0.973 | 0.954 | 0.953 |
| RMSE | 0.040 | 0.021 | 0.008 | 0.051 | 0.047 | 0.055 | 0.051 | 0.035 |
| k = 500 | ||||||||
| R1 | R1R2 ≤ 1 | 0.5 | 1 | 2 | ||||
| R2 | 3 | 6 | 3 | 6 | 1 | 3 | 6 | |
| a | 1.141 | 0.423 | 0.209 | 1.145 | 1.006 | 1.202 | 1.130 | 1.084 |
| b | −1.359 | −0.863 | −0.604 | −0.686 | −0.484 | −0.857 | −0.378 | −0.215 |
| R2 | 0.974 | 0.985 | 0.946 | 0.972 | 0.961 | 0.973 | 0.957 | 0.954 |
| RMSE | 0.047 | 0.014 | 0.013 | 0.053 | 0.049 | 0.057 | 0.052 | 0.035 |
Table A7.
The parameters of the predictive formulae of Rf for S = 2, Fsv = 5.
Table A7.
The parameters of the predictive formulae of Rf for S = 2, Fsv = 5.
| k = 100 | ||||||||
|---|---|---|---|---|---|---|---|---|
| R1 | R1R2 ≤ 1 | 0.5 | 1 | 2 | ||||
| R2 | 3 | 6 | 3 | 6 | 1 | 3 | 6 | |
| a | 1.149 | 0.632 | 0.297 | 1.156 | 1.003 | 1.178 | 1.116 | 1.074 |
| b | −0.865 | −0.604 | −0.386 | −0.517 | −0.342 | −0.644 | −0.301 | −0.173 |
| R2 | 0.985 | 0.968 | 0.969 | 0.969 | 0.959 | 0.973 | 0.949 | 0.942 |
| RMSE | 0.036 | 0.030 | 0.011 | 0.051 | 0.042 | 0.052 | 0.048 | 0.034 |
| k = 300 | ||||||||
| R1 | R1R2 ≤ 1 | 0.5 | 1 | 2 | ||||
| R2 | 3 | 6 | 3 | 6 | 1 | 3 | 6 | |
| a | 1.135 | 0.386 | 0.174 | 1.097 | 1.071 | 1.208 | 1.128 | 1.084 |
| b | −1.375 | −0.878 | −0.654 | −0.653 | −0.436 | −0.841 | −0.359 | −0.202 |
| R2 | 0.969 | 0.992 | 0.913 | 0.967 | 0.965 | 0.968 | 0.954 | 0.953 |
| RMSE | 0.052 | 0.009 | 0.014 | 0.054 | 0.047 | 0.062 | 0.051 | 0.035 |
| k = 500 | ||||||||
| R1 | R1R2 ≤ 1 | 0.5 | 1 | 2 | ||||
| R2 | 3 | 6 | 3 | 6 | 1 | 3 | 6 | |
| a | 1.109 | 0.266 | 0.133 | 1.083 | 0.796 | 1.215 | 1.130 | 1.084 |
| b | −1.649 | −0.897 | −0.768 | −0.743 | −0.485 | −0.924 | −0.378 | −0.215 |
| R2 | 0.944 | 0.941 | 0.954 | 0.986 | 0.965 | 0.969 | 0.957 | 0.954 |
| RMSE | 0.066 | 0.018 | 0.008 | 0.036 | 0.036 | 0.061 | 0.052 | 0.035 |
Table A8.
The parameters of the predictive formulae of Rf for S = 2, Fsv = 10.
Table A8.
The parameters of the predictive formulae of Rf for S = 2, Fsv = 10.
| k = 100 | ||||||||
|---|---|---|---|---|---|---|---|---|
| R1 | R1R2 ≤ 1 | 0.5 | 1 | 2 | ||||
| R2 | 3 | 6 | 3 | 6 | 1 | 3 | 6 | |
| a | 1.124 | 0.421 | 0.224 | 1.058 | 0.868 | 1.189 | 1.127 | 1.079 |
| b | −0.825 | −0.736 | −0.646 | −0.565 | −0.367 | −0.764 | −0.324 | −0.179 |
| R2 | 0.987 | 0.984 | 0.955 | 0.968 | 0.947 | 0.973 | 0.939 | 0.934 |
| RMSE | 0.033 | 0.015 | 0.012 | 0.049 | 0.043 | 0.054 | 0.056 | 0.038 |
| k = 300 | ||||||||
| R1 | R1R2 ≤ 1 | 0.5 | 1 | 2 | ||||
| R2 | 3 | 6 | 3 | 6 | 1 | 3 | 6 | |
| a | 1.076 | 0.209 | 0.085 | 1.025 | 0.674 | 1.199 | 1.115 | 1.082 |
| b | −1.310 | −0.909 | −0.651 | −0.756 | −0.444 | −0.904 | −0.378 | −0.254 |
| R2 | 0.970 | 0.983 | 0.937 | 0.970 | 0.940 | 0.974 | 0.954 | 0.950 |
| RMSE | 0.049 | 0.008 | 0.006 | 0.049 | 0.039 | 0.055 | 0.052 | 0.041 |
| k = 500 | ||||||||
| R1 | R1R2 ≤ 1 | 0.5 | 1 | 2 | ||||
| R2 | 3 | 6 | 3 | 6 | 1 | 3 | 6 | |
| a | 1.034 | 0.139 | 0.055 | 0.984 | 0.546 | 1.195 | 1.135 | 1.042 |
| b | −1.583 | −0.896 | −0.639 | −0.847 | −0.435 | −0.944 | −0.433 | −0.287 |
| R2 | 0.944 | 0.935 | 0.839 | 0.989 | 0.955 | 0.981 | 0.944 | 0.965 |
| RMSE | 0.062 | 0.010 | 0.007 | 0.028 | 0.027 | 0.047 | 0.063 | 0.036 |
Table A9.
The parameters of the predictive formulae of Rf for S = 3, Fsv = 2.
Table A9.
The parameters of the predictive formulae of Rf for S = 3, Fsv = 2.
| k = 100 | ||||||||
|---|---|---|---|---|---|---|---|---|
| R1 | R1R2 ≤ 1 | 0.5 | 1 | 2 | ||||
| R2 | 3 | 6 | 3 | 6 | 1 | 3 | 6 | |
| a | 1.109 | 1.052 | 0.874 | 1.084 | 1.075 | 1.104 | 1.075 | 1.062 |
| b | −0.329 | −0.302 | −0.247 | −0.262 | −0.208 | −0.287 | −0.208 | −0.152 |
| R2 | 0.973 | 0.974 | 0.967 | 0.962 | 0.954 | 0.965 | 0.954 | 0.940 |
| RMSE | 0.034 | 0.032 | 0.026 | 0.037 | 0.034 | 0.038 | 0.034 | 0.031 |
| k = 300 | ||||||||
| R1 | R1R2 ≤ 1 | 0.5 | 1 | 2 | ||||
| R2 | 3 | 6 | 3 | 6 | 1 | 3 | 6 | |
| a | 1.148 | 0.863 | 0.580 | 1.107 | 1.091 | 1.151 | 1.097 | 1.069 |
| b | −0.624 | −0.481 | −0.367 | −0.434 | −0.314 | −0.509 | −0.303 | −0.185 |
| R2 | 0.982 | 0.977 | 0.968 | 0.972 | 0.960 | 0.973 | 0.957 | 0.951 |
| RMSE | 0.038 | 0.031 | 0.022 | 0.043 | 0.043 | 0.047 | 0.044 | 0.032 |
| k = 500 | ||||||||
| R1 | R1R2 ≤ 1 | 0.5 | 1 | 2 | ||||
| R2 | 3 | 6 | 3 | 6 | 1 | 3 | 6 | |
| a | 1.152 | 0.797 | 0.416 | 1.115 | 1.091 | 1.172 | 1.101 | 1.069 |
| b | −0.792 | −0.623 | −0.392 | −0.517 | −0.368 | −0.623 | −0.337 | −0.199 |
| R2 | 0.982 | 0.982 | 0.953 | 0.972 | 0.965 | 0.974 | 0.963 | 0.958 |
| RMSE | 0.040 | 0.028 | 0.020 | 0.047 | 0.044 | 0.050 | 0.048 | 0.032 |
Table A10.
The parameters of the predictive formulae of Rf for S = 3, Fsv = 3.
Table A10.
The parameters of the predictive formulae of Rf for S = 3, Fsv = 3.
| k = 100 | ||||||||
|---|---|---|---|---|---|---|---|---|
| R1 | R1R2 ≤ 1 | 0.5 | 1 | 2 | ||||
| R2 | 3 | 6 | 3 | 6 | 1 | 3 | 6 | |
| a | 1.126 | 0.991 | 0.773 | 1.105 | 1.088 | 1.123 | 1.090 | 1.066 |
| b | −0.431 | −0.369 | −0.321 | −0.325 | −0.240 | −0.367 | −0.238 | −0.152 |
| R2 | 0.978 | 0.956 | 0.980 | 0.961 | 0.956 | 0.970 | 0.951 | 0.934 |
| RMSE | 0.036 | 0.045 | 0.021 | 0.044 | 0.038 | 0.041 | 0.040 | 0.033 |
| k = 300 | ||||||||
| R1 | R1R2 ≤ 1 | 0.5 | 1 | 2 | ||||
| R2 | 3 | 6 | 3 | 6 | 1 | 3 | 6 | |
| a | 1.149 | 0.754 | 0.412 | 1.130 | 1.081 | 1.166 | 1.115 | 1.073 |
| b | −0.767 | −0.585 | −0.396 | −0.490 | −0.351 | −0.595 | −0.319 | −0.177 |
| R2 | 0.984 | 0.990 | 0.966 | 0.973 | 0.953 | 0.974 | 0.947 | 0.939 |
| RMSE | 0.038 | 0.019 | 0.017 | 0.045 | 0.049 | 0.049 | 0.051 | 0.035 |
| k = 500 | ||||||||
| R1 | R1R2 ≤ 1 | 0.5 | 1 | 2 | ||||
| R2 | 3 | 6 | 3 | 6 | 1 | 3 | 6 | |
| a | 1.150 | 0.669 | 0.294 | 1.129 | 1.073 | 1.185 | 1.121 | 1.071 |
| b | −0.969 | −0.729 | −0.446 | −0.568 | −0.402 | −0.704 | −0.344 | −0.184 |
| R2 | 0.984 | 0.990 | 0.983 | 0.972 | 0.957 | 0.972 | 0.944 | 0.950 |
| RMSE | 0.038 | 0.018 | 0.009 | 0.049 | 0.050 | 0.053 | 0.055 | 0.033 |
Table A11.
The parameters of the predictive formulae of Rf for S = 3, Fsv = 5.
Table A11.
The parameters of the predictive formulae of Rf for S = 3, Fsv = 5.
| k = 100 | ||||||||
|---|---|---|---|---|---|---|---|---|
| R1 | R1R2 ≤ 1 | 0.5 | 1 | 2 | ||||
| R2 | 3 | 6 | 3 | 6 | 1 | 3 | 6 | |
| a | 1.141 | 0.843 | 0.501 | 1.117 | 1.069 | 1.144 | 1.112 | 1.067 |
| b | −0.584 | −0.463 | −0.322 | −0.393 | −0.284 | −0.477 | −0.271 | −0.148 |
| R2 | 0.984 | 0.983 | 0.962 | 0.969 | 0.943 | 0.974 | 0.937 | 0.924 |
| RMSE | 0.035 | 0.026 | 0.019 | 0.044 | 0.047 | 0.044 | 0.051 | 0.035 |
| k = 300 | ||||||||
| R1 | R1R2 ≤ 1 | 0.5 | 1 | 2 | ||||
| R2 | 3 | 6 | 3 | 6 | 1 | 3 | 6 | |
| a | 1.148 | 0.611 | 0.277 | 1.130 | 1.037 | 1.188 | 1.123 | 1.070 |
| b | −0.987 | −0.716 | −0.475 | −0.558 | −0.382 | −0.705 | −0.322 | −0.167 |
| R2 | 0.985 | 0.984 | 0.992 | 0.971 | 0.955 | 0.972 | 0.939 | 0.948 |
| RMSE | 0.037 | 0.021 | 0.006 | 0.049 | 0.048 | 0.054 | 0.056 | 0.031 |
| k = 500 | ||||||||
| R1 | R1R2 ≤ 1 | 0.5 | 1 | 2 | ||||
| R2 | 3 | 6 | 3 | 6 | 1 | 3 | 6 | |
| a | 1.145 | 0.424 | 0.216 | 1.143 | 0.946 | 1.201 | 1.127 | 1.072 |
| b | −1.224 | −0.732 | −0.568 | −0.633 | −0.430 | −0.798 | −0.346 | −0.179 |
| R2 | 0.979 | 0.970 | 0.971 | 0.971 | 0.965 | 0.970 | 0.939 | 0.950 |
| RMSE | 0.043 | 0.020 | 0.009 | 0.052 | 0.041 | 0.059 | 0.059 | 0.032 |
Table A12.
The parameters of the predictive formulae of Rf for S = 3, Fsv = 10.
Table A12.
The parameters of the predictive formulae of Rf for S = 3, Fsv = 10.
| k = 100 | ||||||||
|---|---|---|---|---|---|---|---|---|
| R1 | R1R2 ≤ 1 | 0.5 | 1 | 2 | ||||
| R2 | 3 | 6 | 3 | 6 | 1 | 3 | 6 | |
| a | 1.124 | 0.656 | 0.308 | 1.134 | 1.009 | 1.157 | 1.124 | 1.063 |
| b | −0.825 | −0.619 | −0.392 | −0.496 | −0.329 | −0.621 | −0.299 | −0.146 |
| R2 | 0.987 | 0.992 | 0.968 | 0.966 | 0.959 | 0.977 | 0.935 | 0.942 |
| RMSE | 0.033 | 0.016 | 0.012 | 0.051 | 0.041 | 0.047 | 0.056 | 0.029 |
| k = 300 | ||||||||
| R1 | R1R2 ≤ 1 | 0.5 | 1 | 2 | ||||
| R2 | 3 | 6 | 3 | 6 | 1 | 3 | 6 | |
| a | 1.076 | 0.397 | 0.180 | 1.085 | 0.892 | 1.184 | 1.127 | 1.061 |
| b | −1.310 | −0.860 | −0.643 | −0.632 | −0.459 | −0.813 | −0.347 | −0.181 |
| R2 | 0.970 | 0.993 | 0.985 | 0.971 | 0.967 | 0.971 | 0.951 | 0.972 |
| RMSE | 0.049 | 0.009 | 0.006 | 0.050 | 0.038 | 0.057 | 0.052 | 0.024 |
| k = 500 | ||||||||
| R1 | R1R2 ≤ 1 | 0.5 | 1 | 2 | ||||
| R2 | 3 | 6 | 3 | 6 | 1 | 3 | 6 | |
| a | 1.034 | 0.264 | 0.120 | 1.057 | 0.767 | 1.181 | 1.132 | 1.063 |
| b | −1.583 | −0.894 | −0.664 | −0.731 | −0.495 | −0.887 | −0.393 | −0.235 |
| R2 | 0.944 | 0.988 | 0.924 | 0.974 | 0.929 | 0.977 | 0.954 | 0.973 |
| RMSE | 0.062 | 0.008 | 0.006 | 0.047 | 0.050 | 0.051 | 0.054 | 0.028 |
Table A13.
The parameters of the predictive formulae of Rf for S = 4, Fsv = 2.
Table A13.
The parameters of the predictive formulae of Rf for S = 4, Fsv = 2.
| k = 100 | ||||||||
|---|---|---|---|---|---|---|---|---|
| R1 | R1R2 ≤ 1 | 0.5 | 1 | 2 | ||||
| R2 | 3 | 6 | 3 | 6 | 1 | 3 | 6 | |
| a | 1.084 | 1.042 | 0.952 | 1.055 | 1.050 | 1.082 | 1.050 | 1.042 |
| b | −0.219 | −0.203 | −0.188 | −0.185 | −0.157 | −0.201 | −0.157 | −0.123 |
| R2 | 0.963 | 0.957 | 0.953 | 0.955 | 0.952 | 0.956 | 0.952 | 0.952 |
| RMSE | 0.030 | 0.032 | 0.029 | 0.031 | 0.028 | 0.033 | 0.028 | 0.022 |
| k = 300 | ||||||||
| R1 | R1R2 ≤ 1 | 0.5 | 1 | 2 | ||||
| R2 | 3 | 6 | 3 | 6 | 1 | 3 | 6 | |
| a | 1.130 | 0.984 | 0.778 | 1.065 | 1.066 | 1.124 | 1.068 | 1.057 |
| b | −0.456 | −0.395 | −0.335 | −0.332 | −0.251 | −0.385 | −0.252 | −0.167 |
| R2 | 0.978 | 0.972 | 0.982 | 0.966 | 0.957 | 0.973 | 0.956 | 0.937 |
| RMSE | 0.036 | 0.036 | 0.021 | 0.039 | 0.038 | 0.040 | 0.038 | 0.034 |
| k = 500 | ||||||||
| R1 | R1R2 ≤ 1 | 0.5 | 1 | 2 | ||||
| R2 | 3 | 6 | 3 | 6 | 1 | 3 | 6 | |
| a | 1.147 | 0.839 | 0.593 | 1.067 | 1.062 | 1.148 | 1.072 | 1.055 |
| b | −0.604 | −0.458 | −0.363 | −0.415 | −0.301 | −0.494 | −0.292 | −0.177 |
| R2 | 0.982 | 0.972 | 0.970 | 0.972 | 0.961 | 0.973 | 0.956 | 0.945 |
| RMSE | 0.038 | 0.033 | 0.022 | 0.040 | 0.040 | 0.046 | 0.042 | 0.033 |
Table A14.
The parameters of the predictive formulae of Rf for S = 4, Fsv = 3.
Table A14.
The parameters of the predictive formulae of Rf for S = 4, Fsv = 3.
| k = 100 | ||||||||
|---|---|---|---|---|---|---|---|---|
| R1 | R1R2 ≤ 1 | 0.5 | 1 | 2 | ||||
| R2 | 3 | 6 | 3 | 6 | 1 | 3 | 6 | |
| a | 1.103 | 1.044 | 0.856 | 1.077 | 1.065 | 1.102 | 1.065 | 1.055 |
| b | −0.299 | −0.282 | −0.227 | −0.245 | −0.188 | −0.268 | −0.188 | −0.134 |
| R2 | 0.970 | 0.966 | 0.965 | 0.958 | 0.952 | 0.961 | 0.952 | 0.936 |
| RMSE | 0.033 | 0.035 | 0.025 | 0.037 | 0.032 | 0.038 | 0.032 | 0.029 |
| k = 300 | ||||||||
| R1 | R1R2 ≤ 1 | 0.5 | 1 | 2 | ||||
| R2 | 3 | 6 | 3 | 6 | 1 | 3 | 6 | |
| a | 1.143 | 0.838 | 0.570 | 1.088 | 1.077 | 1.144 | 1.090 | 1.064 |
| b | −0.579 | −0.440 | −0.343 | −0.393 | −0.292 | −0.473 | −0.278 | −0.165 |
| R2 | 0.983 | 0.966 | 0.959 | 0.969 | 0.958 | 0.974 | 0.949 | 0.929 |
| RMSE | 0.036 | 0.036 | 0.024 | 0.042 | 0.042 | 0.044 | 0.045 | 0.036 |
| k = 500 | ||||||||
| R1 | R1R2 ≤ 1 | 0.5 | 1 | 2 | ||||
| R2 | 3 | 6 | 3 | 6 | 1 | 3 | 6 | |
| a | 1.148 | 0.753 | 0.425 | 1.097 | 1.076 | 1.163 | 1.098 | 1.062 |
| b | −0.744 | −0.565 | −0.397 | −0.475 | −0.347 | −0.581 | −0.309 | −0.173 |
| R2 | 0.984 | 0.986 | 0.976 | 0.974 | 0.948 | 0.975 | 0.946 | 0.943 |
| RMSE | 0.037 | 0.022 | 0.015 | 0.043 | 0.051 | 0.048 | 0.050 | 0.033 |
Table A15.
The parameters of the predictive formulae of Rf for S = 4, Fsv = 5.
Table A15.
The parameters of the predictive formulae of Rf for S = 4, Fsv = 5.
| k = 100 | ||||||||
|---|---|---|---|---|---|---|---|---|
| R1 | R1R2 ≤ 1 | 0.5 | 1 | 2 | ||||
| R2 | 3 | 6 | 3 | 6 | 1 | 3 | 6 | |
| a | 1.124 | 0.970 | 0.728 | 1.099 | 1.071 | 1.123 | 1.086 | 1.063 |
| b | −0.423 | −0.369 | −0.314 | −0.318 | 0.230 | −0.365 | −0.231 | −0.141 |
| R2 | 0.979 | 0.965 | 0.975 | 0.959 | 0.958 | 0.969 | 0.949 | 0.926 |
| RMSE | 0.035 | 0.039 | 0.022 | 0.044 | 0.035 | 0.042 | 0.040 | 0.033 |
| k = 300 | ||||||||
| R1 | R1R2 ≤ 1 | 0.5 | 1 | 2 | ||||
| R2 | 3 | 6 | 3 | 6 | 1 | 3 | 6 | |
| a | 1.144 | 0.741 | 0.386 | 1.119 | 1.077 | 1.164 | 1.11 | 1.062 |
| b | −0.756 | −0.591 | −0.387 | −0.478 | −0.342 | −0.588 | −0.300 | −0.158 |
| R2 | 0.985 | 0.989 | 0.937 | 0.972 | 0.947 | 0.975 | 0.939 | 0.945 |
| RMSE | 0.036 | 0.020 | 0.021 | 0.045 | 0.052 | 0.048 | 0.053 | 0.030 |
| k = 500 | ||||||||
| R1 | R1R2 ≤ 1 | 0.5 | 1 | 2 | ||||
| R2 | 3 | 6 | 3 | 6 | 1 | 3 | 6 | |
| a | 1.149 | 0.625 | 0.278 | 1.111 | 1.035 | 1.186 | 1.113 | 1.064 |
| b | −0.959 | −0.716 | 0.447 | −0.550 | −0.390 | −0.694 | −0.319 | −0.170 |
| R2 | 0.986 | 0.992 | 0.987 | 0.973 | 0.96 | 0.973 | 0.938 | 0.952 |
| RMSE | 0.036 | 0.014 | 0.007 | 0.047 | 0.046 | 0.054 | 0.056 | 0.030 |
Table A16.
The parameters of the predictive formulae of Rf for S = 4, Fsv = 10.
Table A16.
The parameters of the predictive formulae of Rf for S = 4, Fsv = 10.
| k = 100 | ||||||||
|---|---|---|---|---|---|---|---|---|
| R1 | R1R2 ≤ 1 | 0.5 | 1 | 2 | ||||
| R2 | 3 | 6 | 3 | 6 | 1 | 3 | 6 | |
| a | 1.111 | 0.794 | 0.465 | 1.122 | 1.087 | 1.127 | 1.114 | 1.063 |
| b | −0.620 | −0.503 | −0.372 | −0.416 | −0.316 | −0.503 | −0.277 | −0.144 |
| R2 | 0.986 | 0.986 | 0.985 | 0.971 | 0.961 | 0.977 | 0.935 | 0.932 |
| RMSE | 0.032 | 0.023 | 0.012 | 0.043 | 0.042 | 0.042 | 0.053 | 0.032 |
| k = 300 | ||||||||
| R1 | R1R2 ≤ 1 | 0.5 | 1 | 2 | ||||
| R2 | 3 | 6 | 3 | 6 | 1 | 3 | 6 | |
| a | 1.062 | 0.794 | 0.241 | 1.128 | 1.006 | 1.154 | 1.124 | 1.068 |
| b | −1.029 | −0.503 | −0.526 | −0.579 | −0.41 | −0.718 | −0.324 | −0.172 |
| R2 | 0.977 | 0.986 | 0.950 | 0.968 | 0.963 | 0.974 | 0.934 | 0.945 |
| RMSE | 0.042 | 0.023 | 0.013 | 0.053 | 0.044 | 0.051 | 0.059 | 0.033 |
| k = 500 | ||||||||
| R1 | R1R2 ≤ 1 | 0.5 | 1 | 2 | ||||
| R2 | 3 | 6 | 3 | 6 | 1 | 3 | 6 | |
| a | 1.020 | 0.386 | 0.29 | 1.072 | 0.855 | 1.159 | 1.116 | 1.077 |
| b | −1.249 | −0.794 | −1.044 | −0.652 | −0.439 | −0.802 | −0.344 | −0.201 |
| R2 | 0.971 | 0.977 | 0.878 | 0.969 | 0.967 | 0.972 | 0.944 | 0.916 |
| RMSE | 0.045 | 0.016 | 0.027 | 0.05 | 0.036 | 0.055 | 0.055 | 0.046 |
References
- Anastasopoulos, I.; Gazetas, G.; Loli, M.; Apostolou, M.; Gerolymos, N. Soil failure can be used for seismic protection of structures. Bull. Earthq. Eng. 2010, 8, 309–326. [Google Scholar] [CrossRef]
- Gajan, S.; Kutter, B.L.; Phalen, J.D.; Hutchinson, T.C.; Martin, G.R. Centrifuge modeling of load-deformation behavior of rocking shallow foundations. Soil Dyn. Earthq. Eng. 2005, 25, 773–783. [Google Scholar] [CrossRef]
- Deng, L.; Kutter, B.L.; Kunnath, S.K. Centrifuge modeling of bridge systems designed for rocking foundations. J. Geotech. Geoenvironmental Eng. 2012, 138, 335–344. [Google Scholar] [CrossRef]
- Anastasopoulos, I.; Loli, M.; Georgarakos, T.; Drosos, V. Shaking table testing of rocking—Isolated bridge pier on sand. J. Earthq. Eng. 2013, 17, 1–32. [Google Scholar] [CrossRef]
- Algie, T.B. Nonlinear Rotational Behaviour of Shallow Foundations on Cohesive Soil. Ph.D. Thesis, The University of Auckland, Auckland, New Zealand, 2011. [Google Scholar]
- Sharma, K. Field Investigation and Performance-Based Seismic Design of Rocking Shallow Foundations in Cohesive Soil. Ph.D. Thesis, University of Alberta, Edmonton, AB, Canada, 2019. [Google Scholar]
- Sharma, K.; Deng, L. Field testing of rocking foundations in cohesive soil: Cyclic performance and footing mechanical response. Can. Geotech J. 2020, 57, 828–839. [Google Scholar] [CrossRef]
- Gelagoti, F.; Kourkoulis, R.; Anastasopoulos, I.; Gazetas, G. Rocking isolation of low-rise frame structures founded on isolated footings. Earthq. Eng. Struct. Dyn. 2012, 41, 1177–1197. [Google Scholar] [CrossRef]
- Anastasopoulos, I.; Sakellariadis, L.; Agalianos, A. Seismic analysis of motorway bridges accounting for key structural components and nonlinear soil–structure interaction. Soil Dyn. Earthq. Eng. 2015, 78, 127–141. [Google Scholar] [CrossRef][Green Version]
- Zucca, M.; Franchi, A.; Crespi, P.; Longarini, N.; Ronca, P. The new foundation system for the transept reconstruction of the basilica di collemaggio. In Proceedings of the 10th International Masonry Conference, Milan, Italy, 9–11 July 2018. [Google Scholar]
- Burland, J.B.; Jamiolkowski, M.; Viggiani, C. The stabilisation of the leaning Tower of Pisa. Soils Found. 2003, 43, 63–80. [Google Scholar] [CrossRef]
- Casolo, S.; Diana, V.; Uva, G. Influence of soil deformability on the seismic response of a masonry tower. Bull. Earthq. Eng. 2017. [Google Scholar] [CrossRef]
- Paolucci, R.; Figini, R.; Petrini, L. Introducing dynamic nonlinear soil-foundation-structure interaction effects in displacement-based seismic design. Earthq. Spectra 2013, 29, 475–496. [Google Scholar] [CrossRef]
- Deng, L.; Kutter, B.L.; Kunnath, S.K. Seismic design of rocking shallow foundations: Displacement-based methodology. J. Bridg. Eng. 2014, 19, 4014043. [Google Scholar] [CrossRef]
- Gajan, S.; Godagama, B. Seismic performance of bridge-deck-pier-type-structures with yielding columns supported by rocking foundations. J. Earthq. Eng. 2019, 23, 1–34. [Google Scholar] [CrossRef]
- Raychowdhury, P.; Hutchinson, T.C. Performance evaluation of a nonlinear Winkler-based shallow foundation model using centrifuge test results. Earthq. Eng. Struct. Dyn. 2009, 38, 679–698. [Google Scholar] [CrossRef]
- Anastasopoulos, I.; Kontoroupi, T. Simplified approximate method for analysis of rocking systems accounting for soil inelasticity and foundation uplifting. Soil Dyn. Earthq. Eng. 2014, 56, 28–43. [Google Scholar] [CrossRef]
- Heron, C.M.; Haigh, S.K.; Madabhushi, S.P.G. A new macro-element model encapsulating the dynamic moment–rotation behaviour of raft foundations. Géotechnique 2015, 65, 442–451. [Google Scholar] [CrossRef]
- Lu, Y.; Marshall, A.M.; Hajirasouliha, I. A simplified Nonlinear Sway-Rocking model for evaluation of seismic response of structures on shallow foundations. Soil Dyn. Earthq. Eng. 2016, 81, 14–26. [Google Scholar] [CrossRef]
- Sieber, M.; Klar, S.; Vassiliou, M.F.; Anastasopoulos, I. Robustness of simplified analysis methods for rocking structures on compliant soil. Earthq. Eng. Struct. Dyn. 2020, 49, 1388–1405. [Google Scholar] [CrossRef]
- Wang, L.; Ishihara, T. A study of the effects of foundation uplift on the seismic loading of wind turbine tower and shallow foundation using a new dynamic Winkler model. Eng. Struct. 2020, 219, 110745. [Google Scholar] [CrossRef]
- Lu, Y.; Xiong, F.; Ge, Q. Dynamic rocking response of a rigid planar block on a nonlinear hysteretic Winkler foundation. Earthq. Eng. Struct. Dyn. 2021, 50, 2754–2773. [Google Scholar] [CrossRef]
- Ghannad, M.A.; Jafarieh, A.H. Inelastic displacement ratios for soil-structure systems allowed to uplift. Earthq. Eng. Struct. Dyn. 2014, 43, 1401–1421. [Google Scholar] [CrossRef]
- Dolatshahi, K.M.; Vafaei, A.; Kildashti, K.; Hamidia, M. Displacement ratios for structures with material degradation and foundation uplift. Bull. Earthq. Eng. 2019, 17, 5133–5157. [Google Scholar] [CrossRef]
- Jafarieh, A.H.; Ghannad, M.A. Seismic performance of nonlinear soil-structure systems located on soft soil considering foundation uplifting and soil yielding. Structures 2020, 28, 973–982. [Google Scholar] [CrossRef]
- Avcı, Y.; Yazgan, U. Probabilistic estimation of inelastic displacement demands in soil–structure interaction systems on cohesive soils. Earthq. Eng. Struct. Dyn. 2021, 51, 22–43. [Google Scholar] [CrossRef]
- ASCE/SEI 41-17. Seismic Evaluation and Retrofit of Existing Buildings; American Society of Civil Engineers: Reston, VA, USA, 2017. [Google Scholar] [CrossRef]
- McKenna, F.; Scott, M.H.; Fenves, G.L. Nonlinear finite-element analysis software architecture using object composition. J. Comput. Civ. Eng. 2010, 24, 95–107. [Google Scholar] [CrossRef]
- Gazetas, G.; Anastasopoulos, I.; Adamidis, O.; Kontoroupi, T. Nonlinear rocking stiffness of foundations. Soil Dyn. Earthq. Eng. 2013, 47, 83–91. [Google Scholar] [CrossRef]
- Borowicka, H. Druckverteilung unter elastischen Platten. Ingenieur.-Archiv. 1939, 10, 113–125. [Google Scholar] [CrossRef]
- Meyerhof, G.G. Some Recent Research on the Bearing Capacity of Foundations. Can. Geotech. J. 1963, 1, 16–26. [Google Scholar] [CrossRef]
- Allotey, N.; El Naggar, M.H. Analytical moment–rotation curves for rigid foundations based on a Winkler model. Soil Dyn. Earthq. Eng. 2003, 23, 367–381. [Google Scholar] [CrossRef]
- Gourvenec, S. Shape effects on the capacity of rectangular footings under general loading. Géotechnique 2007, 57, 637–646. [Google Scholar] [CrossRef]
- Ghannad, M.A.; Jahankhah, H. Site-dependent strength reduction factors for soil-structure systems. Soil Dyn. Earthq. Eng. 2007, 27, 99–110. [Google Scholar] [CrossRef]
- Behnamfar, F.; Banizadeh, M. Effects of soil–structure interaction on distribution of seismic vulnerability in RC structures. Soil Dyn. Earthq. Eng. 2016, 80, 73–86. [Google Scholar] [CrossRef]
- Thevanayagam, S. Effect of Fines and Confining Stress on Undrained Shear Strength of Silty Sands. J. Geotech. Geoenviron. Eng. 1998, 124, 479–491. [Google Scholar] [CrossRef]
- Li, B.; Lu, Y.; Pandey, M.D.; Ma, G.; Liu, Y.; Mei, Z.; Shen, L. Evaluation of amplitude-scaled and spectrum-matched motions to estimate ground-motion amplification factors. Bull. Earthq. Eng. 2020, 18, 4659–4679. [Google Scholar] [CrossRef]
- FEMA, P. 695. Quantification of Building Seismic Performance Factors; Federal Emergency Management Agency: Washington, DC, USA, 2009. [Google Scholar]
Publisher’s Note: MDPI stays neutral with regard to jurisdictional claims in published maps and institutional affiliations. |
© 2022 by the authors. Licensee MDPI, Basel, Switzerland. This article is an open access article distributed under the terms and conditions of the Creative Commons Attribution (CC BY) license (https://creativecommons.org/licenses/by/4.0/).













