Investigation of Indoor Polycyclic Aromatic Hydrocarbons (PAHs) in Rural Northeast China: Pollution Characteristics, Source Analysis, and Health Assessment
Abstract
:1. Introduction
2. Materials and Methods
2.1. Sites and Sampling
2.2. Sample Treatment
2.2.1. Extraction and Purification
2.2.2. Quality Control
2.2.3. Chromatographic Conditions
2.3. Health Risks Assessment
3. Results
3.1. Pollution Characteristics of Indoor PAHs
3.1.1. The Concentration of PAHs
3.1.2. Ratio of Different Ring of PAHs
3.2. The Source Apportionment
3.3. Carcinogenic Risks Assessment
3.3.1. Toxic Equivalent Concentration
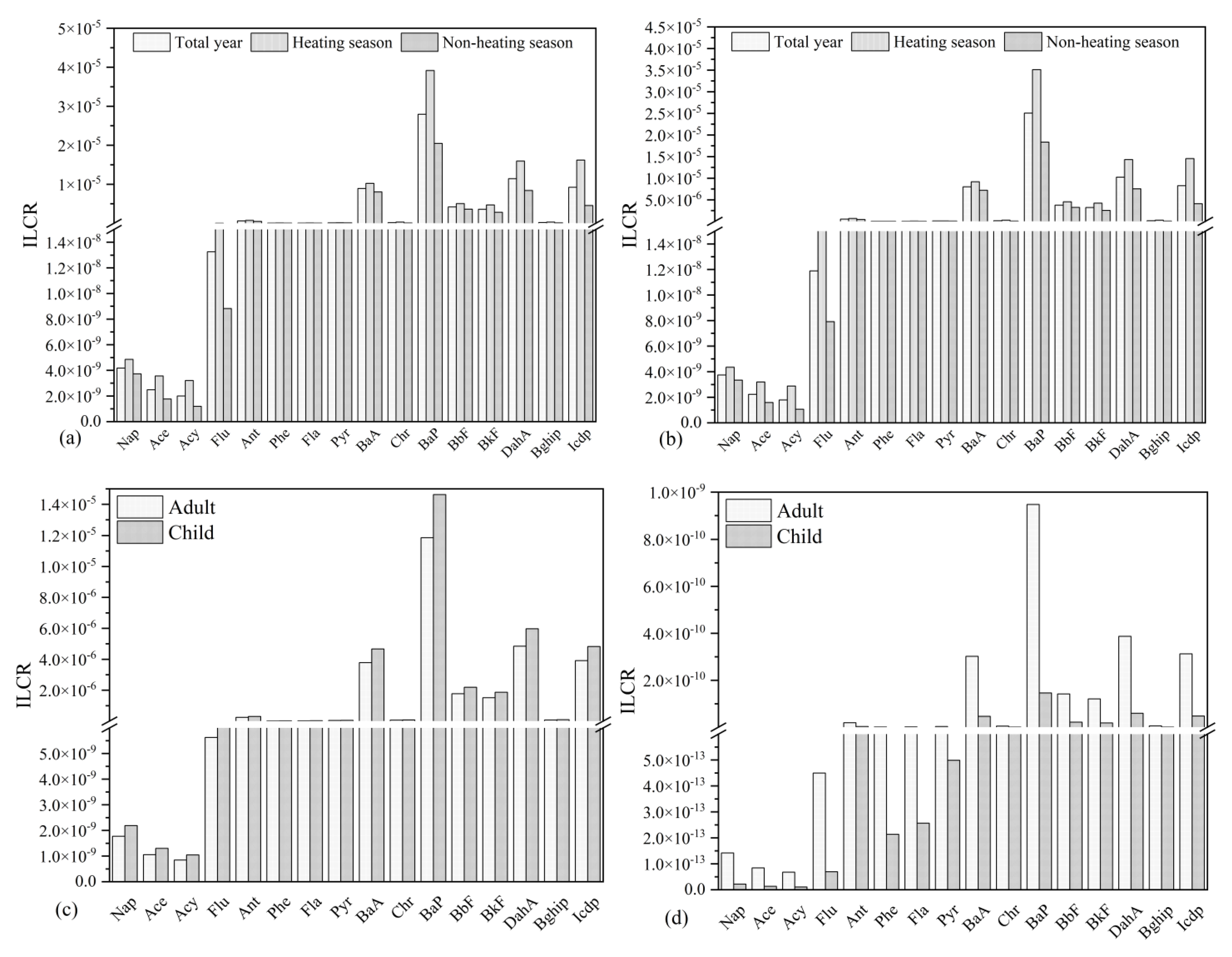
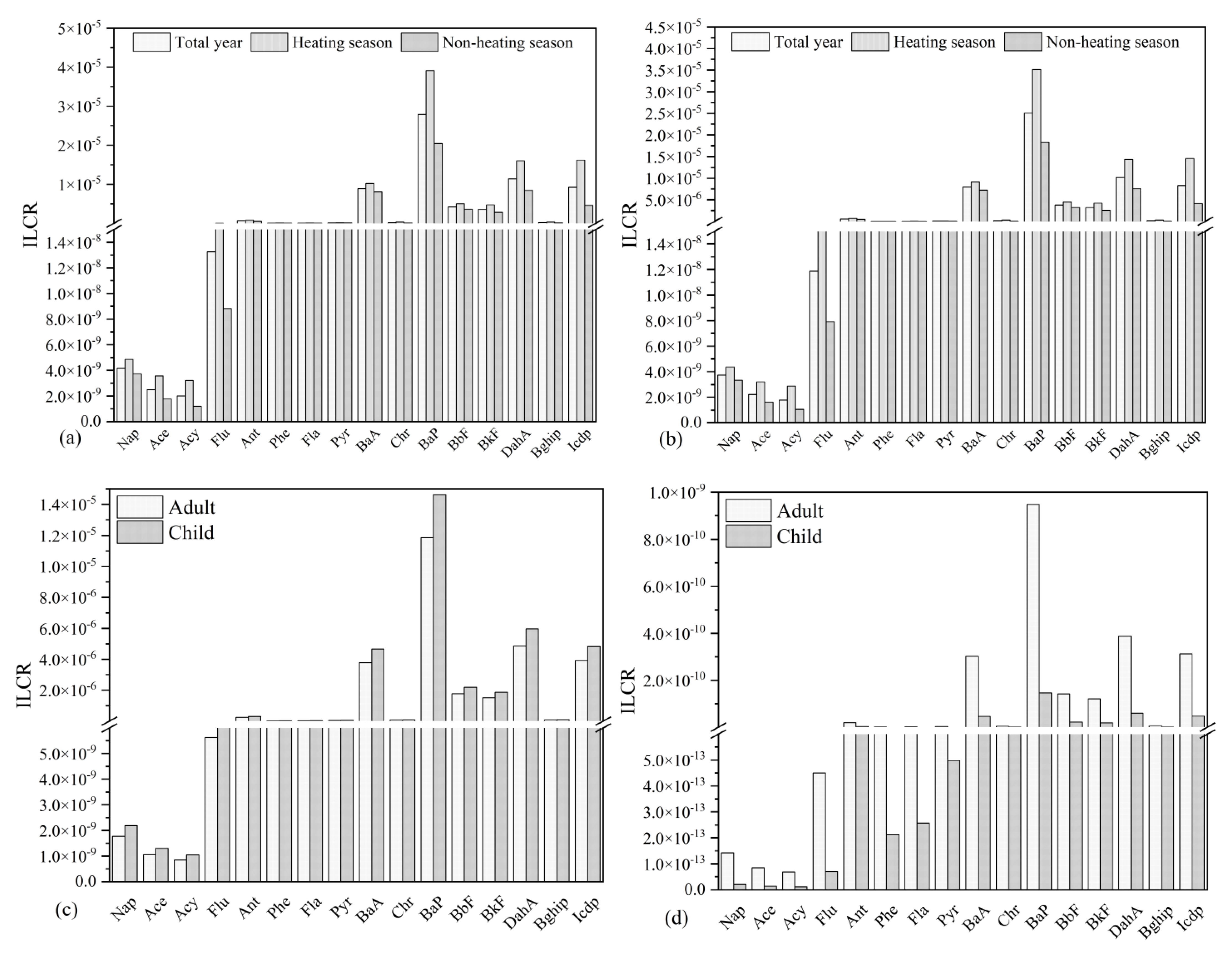
3.3.2. Assessment of Lifelong Lung Carcinogenic Risk (ILCR)
4. Discussion
5. Conclusions
6. Suggestions
Author Contributions
Funding
Institutional Review Board Statement
Informed Consent Statement
Data Availability Statement
Acknowledgments
Conflicts of Interest
References
- Lu, C.; Deng, Q.H.; Yu, C.W.F. Strategies for reduction of episodic risk of PM10 by controlling industrial and traffic emissions of SO2 and NO2 and meteorological parameters. Indoor Built Environ. 2015, 24, 473–488. [Google Scholar] [CrossRef]
- Li, C.H.; Bai, L.; He, Z.J.; Liu, X.R.; Xiu, X.L. The effect of air purifiers on the reduction in indoor PM2.5 concentrations and population health improvement. Sustain. Cities Soc. 2021, 75, 103298. [Google Scholar] [CrossRef]
- Zhou, Y.; Deng, Y.; Wu, P.; Cao, S. The effects of ventilation and floor heating systems on the dispersion and deposition of fine particles in an enclosed environment. Build. Environ. 2017, 125, 192–205. [Google Scholar] [CrossRef]
- Cao, S.J.; Kong, X.R.; Li, L.Y.; Zhang, W.R.; Ye, Z.P.; Deng, Y.L. An investigation of the PM2.5 and NO2 concentrations and their human health impacts in the metro subway system of Suzhou, China. Environ. Sci. Process. Impacts 2017, 19, 666–675. [Google Scholar] [CrossRef] [PubMed]
- Bai, L.; Li, C.H.; Yu, C.W.; He, Z.J. Air pollution and health risk assessment in Northeastern China: A case study of Jilin Province. Indoor Built Environ. 2021, 30, 1857–1874. [Google Scholar] [CrossRef]
- Blazy, R. Living Environment Quality Determinants, Including PM2.5 and PM10 Dust Pollution in the Context of Spatial Issues—The Case of Radzionków. Buildings 2020, 10, 58. [Google Scholar] [CrossRef] [Green Version]
- Cheung, P.K.; Jim, C.Y. Indoor air quality in substandard housing in Hong Kong. Sustain. Cities Soc. 2019, 48, 101583. [Google Scholar] [CrossRef]
- Kim, A.; Medal, L.; Wang, S.; Larson, T. Indoor and Outdoor Concentrations of Particulate Matter in an Airport Terminal Building: A Pilot Study at Soekarno-Hatta International Airport in Indonesia. Buildings 2020, 10, 25. [Google Scholar] [CrossRef] [Green Version]
- Meng, M.; Cao, S.; Kumar, P.; Tang, X.; Feng, Z. Spatial distribution characteristics of PM2.5 concentration around residential buildings in urban traffic-intensive areas: From the perspectives of health and safety. Saf. Sci. 2021, 141, 105318. [Google Scholar] [CrossRef]
- Ejohwomu, O.A.; Shamsideen Oshodi, O.; Oladokun, M.; Bukoye, O.T.; Emekwuru, N.; Sotunbo, A.; Adenuga, O. Modelling and Forecasting Temporal PM2.5 Concentration Using Ensemble Machine Learning Methods. Buildings 2022, 12, 46. [Google Scholar] [CrossRef]
- Ścibor, M.; Balcerzak, B.; Galbarczyk, A.; Targosz, N.; Jasienska, G. Are we safe inside? Indoor air quality in relation to outdoor concentration of PM10 and PM2.5 and to characteristics of homes. Sustain. Cities Soc. 2019, 48, 101537. [Google Scholar] [CrossRef]
- Li, N.; Liu, Z.; Li, Y.P.; Li, N.; Chartier, R.; Mcwilliams, A.; Chang, J.R.; Wang, Q.; Wu, Y.X.; Xu, C.Y.; et al. Estimation of PM2.5 infiltration factors and personal exposure factors in two megacities, China. Build. Environ. 2018, 149, 297–304. [Google Scholar] [CrossRef]
- Fang, D.; Wang, Q.G.; Li, H.M.; Yu, Y.Y.; Lu, Y.; Qian, X. Mortality effects assessment of ambient PM2.5 pollution in the 74 leading cities of China. Sci. Total Environ. 2016, 569–570, 1545–1552. [Google Scholar] [CrossRef]
- Bai, L.; He, Z.J.; Ni, S.Y.; Chen, W.Y.; Li, N.; Sun, S.Y. Investigation of PM2.5 absorbed with heavy metal elements, source apportionment and their health impacts in residential houses in the North-east region of China. Sustain. Cities Soc. 2019, 51, 101690. [Google Scholar] [CrossRef]
- Mumford, J.L.; He, X.Z.; Chapman, R.S.; Cao, S.R.; Harris, D.B.; Li, X.M.; Xian, Y.L.; Jiang, W.Z.; Xu, C.W.; Chuang, J.C.; et al. Lung cancer and indoor air pollution in Xuan Wei, China. Science 1987, 235, 217–220. [Google Scholar] [CrossRef] [PubMed]
- Allen, J.O.; Dookeran, N.M.; Smith, K.A.; Sarofim, A.F.; Taghizadeh, K.; Lafleur, A.L. Measurement of Polycyclic Aromatic Hydrocarbons Associated with Size-Segregated Atmospheric Aerosols in Massachusetts. Environ. Sci. Technol. 1996, 30, 1023–1031. [Google Scholar] [CrossRef]
- Rostamia, R.; Zarei, A.; Saranjamc, B.; Ghaffari, H.R.; Hazratic, S.; Poureshg, Y.; Fazlzadeh, M. Exposure and risk assessment of PAHs in indoor air of waterpipe cafés in Ardebil, Iran. Build. Environ. 2019, 155, 47–57. [Google Scholar] [CrossRef]
- Liu, Y.; Qin, N.; Liang, W.; Chen, X.; Hou, R.; Kang, Y.; Guo, Q.; Cao, S.; Duan, X. Polycycl. Aromatic Hydrocarbon Exposure of Children in Typical Household Coal Combustion Environments: Seasonal Variations, Sources, and Carcinogenic Risks. Int. J. Environ. Res. Public Health 2020, 17, 6520. [Google Scholar] [CrossRef]
- Tadsanaprasittipol, A.; Tonrub, P.; Beverland, I.J.; Kalin, R.M. Characterization of PM10-Bound Polycyclic Aromatic Hydrocarbons and Associated Carcinogenic Risk in Bangkok, Thailand. Appl. Sci. 2021, 11, 4501. [Google Scholar] [CrossRef]
- Jeng, H.A.; Pan, C.H.; Lin, W.Y.; Wu, M.T.; Taylor, S.; Chang-Chien, G.P.; Zhou, G.; Diawara, N. Biomonitoring of polycyclic aromatic hydrocarbons from coke oven emissions and reproductive toxicity in nonsmoking workers. J. Hazard. Mater. 2013, 244–245, 436–443. [Google Scholar] [CrossRef]
- Lwegbue, C.M.A.; Tesi, G.O.; Overah, L.C.; Emoyan, O.O.; Nwajei, G.E.; Martincigh, B.S. Effects of Flooding on the Sources, Spatiotemporal Characteristics and Human Health Risks of Polycyclic Aromatic Hydrocarbons in Floodplain Soils of the Lower Parts of the River Niger, Nigeria. Polycycl. Aromat. Compd. 2017, 40, 228–244. [Google Scholar] [CrossRef]
- Villar-Vidal, M.; Lertxundi, A.; Dicastillo, M.D.M.L.D.; Alvarez, J.I.; Marina, L.S.; Ayerdi, M.; Basterrechea, M.; Ibarluzea, J. Air Polycyclic Aromatic Hydrocarbons (PAHs) associated with PM2.5 in a North Cantabric coast urban environment. Chemosphere 2014, 99, 233–238. [Google Scholar] [CrossRef] [PubMed]
- Hazarika, N.; Srivastava, A.; Das, A. Quantification of particle bound metallic load and PAHs in urban environment of Delhi, India: Source and toxicity assessment. Sustain. Cities Soc. 2017, 29, 58–67. [Google Scholar] [CrossRef]
- Chinese National Bureau of Statistics. Bulletin of the Seventh National Population Census (No. 7). 2021. Available online: https://www.stats.gov.cn/ztjc/zdtjgz/zgrkpc/dqcrkpc/ggl/202105/t20210519_1817700.html (accessed on 15 December 2021).
- Chinese Ministry of Housing and Urban-Rural Development. National Conference on Housing and Urban-Rural Development. 2020. Available online: https://www.mohurd.gov.cn/jsbfld/202012/t20201221_248547.html (accessed on 18 December 2021).
- Huang, Y.; Du, W.; Chen, Y.C.; Shen, G.F.; Su, S.; Lin, N.; Shen, H.Z.; Zhu, D.; Yuan, C.Y.; Duan, Y.H.; et al. Household air pollution and personal inhalation exposure to particles (TSP/PM2.5/PM1.0/PM0.25) in rural Shanxi, North China. Environ. Pollut. 2017, 231, 635–643. [Google Scholar] [CrossRef] [PubMed]
- Du, W.; Wang, J.Z.; Zhang, S.S.; Fu, N.; Yang, F.Q.; Wang, G.H.; Wang, Z.L.; Mao, K.; Shen, G.F.; Qi, M.; et al. Impacts of Chinese Spring Festival on Household PM2.5 Pollution and Blood Pressure of Rural Residents. Indoor Air 2021, 31, 1072–1083. [Google Scholar] [CrossRef]
- Feng, Z.B.; Zhou, X.Q.; Xu, S.H.; Ding, J.W.; Cao, S.J. Impacts of humidification process on indoor thermal comfort and air quality using portable ultrasonic humidifier. Build. Environ. 2018, 133, 62–72. [Google Scholar] [CrossRef]
- Stasiulaitiene, I.; Krugly, E.; Prasauskas, T.; Ciuzas, D.; Kliucininkas, L.; Kauneliene, V.; Martuzevicius, D. Infiltration of outdoor combustion-generated pollutants to indoors due to various ventilation regimes: A case of a single-family energy efficient building. Build. Environ. 2019, 157, 235–241. [Google Scholar] [CrossRef]
- Bai, L.; He, Z.J.; Li, C.H.; Chen, Z. Investigation of yearly indoor/outdoor PM2.5 levels in the perspectives of health impacts and air pollution control: Case study in Changchun, in the northeast of China. Sustain. Cities Soc. 2020, 53, 101871. [Google Scholar] [CrossRef]
- Zhang, Y.X.; Tao, S.; Cao, J., Jr.; Coveney, R.M. Emission of Polycyclic Aromatic Hydrocarbons in China by County. Environ. Sci. Technol. 2007, 41, 683–687. [Google Scholar] [CrossRef]
- Shen, H.Z.; Huang, Y.; Wang, R.; Zhu, D.; Li, W.; Shen, G.F.; Wang, B.; Zhang, Y.Y.; Chen, Y.C.; Lu, Y.; et al. Global atmospheric emissions of polycyclic aromatic hydrocarbons from 1960 to 2008 and future predictions. Environ. Sci. Technol. 2013, 47, 6415–6424. [Google Scholar] [CrossRef] [Green Version]
- Duan, X.; Wang, B.; Zhao, X.; Shen, G.; Xia, Z.; Huang, N.; Jiang, Q.; Lu, B.; Xu, D.; Fang, J.; et al. Personal inhalation exposure to polycyclic aromatic hydrocarbons in urban and rural residents in a typical northern city in China. Indoor Air 2014, 24, 464–473. [Google Scholar] [CrossRef] [PubMed]
- Li, W.; Wang, C.; Wang, H.; Chen, J.Q.J.; Chen, J.W.; Shen, H.Z.; Shen, G.F.; Huang, Y.; Wang, R.; Wang, B.; et al. Atmospheric polycyclic aromatic hydrocarbons in rural and urban areas of northern China. Environ. Pollut. 2014, 192, 83–90. [Google Scholar] [CrossRef]
- GB/T18883-2002; The Indoor Air Quality Standard. China Standard Press: Beijing, China, 2002. (In Chinese)
- Ding, J.; Zhong, J.; Yang, Y.; Li, B.; Shen, G.; Su, Y.; Wang, C.; Li, W.; Shen, H.; Wang, B.; et al. Occurrence and exposure to polycyclic aromatic hydrocarbons and their derivatives in a rural Chinese home through biomass fuelled cooking. Environ. Pollut. 2012, 169, 160–166. [Google Scholar] [CrossRef] [Green Version]
- Lin, N.; Chen, Y.C.; Du, W.; Shen, G.F.; Zhu, X.; Huang, T.B.; Wang, X.L.; Cheng, H.F.; Liu, J.F.; Xue, C.Y.; et al. Inhalation exposure and risk of polycyclic aromatic hydrocarbons (PAHs) among the rural population adopting wood gasifier stoves compared to different fuel-stove users. Atmos. Environ. 2016, 147, 485–491. [Google Scholar] [CrossRef]
- Wu, F.; Liu, X.; Wang, W.; Man, Y.B.; Chan, C.Y.; Liu, W.; Tao, S.; Wong, M.H. Characterization of particulate-bound PAHs in rural households using different types of domestic energy in Henan Province, China. Sci. Total Environ. 2015, 536, 840–846. [Google Scholar] [CrossRef] [PubMed]
- Fu, N.; Lv, S.J.; Xue, G.Y.; Li, D.P.; Zhou, B.H.; Chen, Y.S.; Du, W. Polycyclic Aromatic Hydrocarbons Pollution and Health Risks Associated with Solid Fuel Use in Rural Areas. Asian J. Ecotoxicol. 2020, 15, 123–133. [Google Scholar]
- Shen, G.F.; Zhang, Y.Y.; Wei, S.Y.; Chen, Y.C.; Yang, C.L.; Lin, P.C.; Xie, H.; Xue, M.; Wang, X.L.; Tao, S. Indoor/outdoor pollution level and personal inhalation exposure of polycyclic aromatic hydrocarbons through biomass fuelled cooking. Air Qual. Atmos. Health 2014, 7, 449–458. [Google Scholar] [CrossRef]
- Wu, C.W.; Lin, S.; Sun, J.J.; Li, M.L.; Zhou, X.; Cheng, C. Emission characteristics of polyaromatic hydrocarbon in PM2.5 from indoor combustion of biomass fuels. Hubei Agric. Sci. 2018, 58, 87–91. [Google Scholar]
- He, K.L.; Xu, H.M.; Feng, R.; Shen, Z.X.; Li, Y.Q.; Zhang, Y.; Sun, J.; Zhang, Q.; Zhang, T.; Yang, L.; et al. Characteristics of indoor and personal exposure to particulate organic compounds emitted from domestic solid fuel combustion in rural areas of northwest China. Atmos. Res. 2021, 248, 105181. [Google Scholar] [CrossRef]
- Li, Y.Q.; Xu, H.M.; Wang, J.H.; Ho, S.S.H.; He, K.L.; Shen, Z.X.; Ning, Z.; Sun, J.; Li, L.J.; Lei, R.H.; et al. Personal exposure to PM2.5 -bound organic species from domestic solid fuel combustion in rural Guanzhong Basin, China: Characteristics and health implication. Chemosphere 2019, 227, 53–62. [Google Scholar] [CrossRef]
- Du, W.; Chen, Y.C.; Zhu, X.; Zhong, Q.R.; Zhou, S.J.; Liu, W.J.; Hauang, Y.; Shen, G.F.; Tao, S. Wintertime air pollution and health risk assessment of inhalation exposure to polycyclic aromatic hydrocarbons in rural China. Atmos. Environ. 2018, 191, 1–8. [Google Scholar] [CrossRef]
- Ma, Y.L.; Dong, Z.Q.; Wu, K.J.; Pan, J. Indoor Air Quality and Characteristics of Fine Particle for Rural Guizhou. Environ. Monit. China 2015, 31, 28–34. [Google Scholar]
- Huang, Z.Y.; Wu, C.C.; Bao, L.J.; Wang, X.P.; Muir, D.; Zeng, E.Y. Characteristics and potential health risk of rural Tibetans’ exposure to polycyclic aromatic hydrocarbons during summer period. Environ. Int. 2018, 118, 70–77. [Google Scholar] [CrossRef]
- Lu, C.G.; Gao, X.; Yu, Q.; Li, C.L.; Chen, L.M. Indoor Air Polycyclic Aromatic Hydrocarbons in Rural Tibetan Residence and the Depositions in Human Respiratory Tract. J. Fudan Univ. (Nat. Sci.) 2006, 45, 714–718, 725. [Google Scholar]
- Yang, Y.M.; Zhao, H.C.; Meng, R.; He, L.S.; Zhao, H.; Du, S.L.; Ding, T.T. Sources and Ecological Risk Assessment of Polycyclic Aromatic Hydrocarbons in the Jiaxing River Network. Environ. Sci. 2020, 41, 4989–4998. [Google Scholar]
- Li, A.; Gao, X.; Yang, L. Field measurements, assessments and improvement of Kang: Case study in rural northwest China. Energy Build. 2016, 111, 497–506. [Google Scholar] [CrossRef]
- Yongji County People’s Government. Yongji County 2019 National Economic and Social Development Statistical Bulletin. 2020. Available online: http://www.jlyj.gov.cn/xxgk/tjxx/202012/t20201203_909496.html (accessed on 18 December 2021).
- HJ 646-2013; Ambient Air and Stationary Source Emissions—Determination of Gas and Particle-Phase Polycyclic Aromatic Hydrocarbons with Gas Chromatography/Mass Spectrometry. China Environmental Science Press: Beijing, China, 2013. (In Chinese)
- Bai, L.; Chen, W.Y.; He, Z.J.; Sun, S.Y.; Qin, J. Pollution characteristics, sources and health risk assessment of polycyclic aromatic hydrocarbons in PM2.5 in an office building in northern areas, China. Sustain. Cities Soc. 2020, 53, 101891. [Google Scholar] [CrossRef]
- Khanal, R.; Furumai, H.; Nakajima, F. Toxicity assessment of size-fractionated urban road dust using ostracod Heterocypris incongruens direct contact test. J. Hazard. Mater. 2014, 264, 53–64. [Google Scholar] [CrossRef]
- Wang, W.; Wang, Q.; Nakajima, D.; Lu, S.; Xiao, K.; Chowdhury, T.; Suzuki, M.; Liu, F. Industrial Source Contributions and Health Risk Assessment of Fine Particle-Bound Polycyclic Aromatic Hydrocarbons (PAHs) during Spring and Late Summer in the Baoshan Area, Shanghai. Processes 2021, 9, 2016. [Google Scholar] [CrossRef]
- Hua, Y.; Wang, S.X.; Jiang, J.K.; Zhou, W.; Xu, Q.C.; Li, X.X.; Liu, B.X.; Zhang, D.W.; Zheng, M. Characteristics and sources of aerosol pollution at a polluted rural site southwest in Beijing, China. Sci. Total Environ. 2018, 626, 519–527. [Google Scholar] [CrossRef]
- Iakovides, M.; Stephanou, E.G.; Apostolaki, M.; Hadjicharalambous, M.; Evans, J.S.; Koutrakis, P.; Achilleos, S. Study of the occurrence of airborne Polycyclic Aromatic Hydrocarbons associated with respirable particles in two coastal cities at Eastern Mediterranean: Levels, source apportionment, and potential risk for human health. Atmos. Environ. 2019, 213, 170–184. [Google Scholar] [CrossRef]
- Ali, N.; Ismail, I.M.I.; Khoder, M.; Shamy, M.; Alghamdi, M.; Khalaf, A.A.; Costa, M. Polycyclic aromatic hydrocarbons (PAHs) in the settled dust of automobile workshops, health and carcinogenic risk evaluation. Sci. Total Environ. 2017, 601–602, 478–484. [Google Scholar] [CrossRef] [PubMed]
- U.S. EPA. Supplemental Guidance for developing Soil Screening Levels for Superfund Sites. OSWER9355.4-24, U.S. Environmental Protection Agency, Washington DC. 2002. Available online: http://www.epa.gov/superfund/health/conmedia/soil/toc.html (accessed on 20 December 2021).
- Wei, W.; Huang, M.J.; Yuan, K.; Wang, H.S.; Leung, A.O.W.; Cheung, K.C.; Ming, H.W. Polycyclic aromatic hydrocarbons (PAHs) in urban surface dust of Guangzhou, China: Status, sources and human health risk assessment. Sci. Total Environ. 2011, 409, 4519–4527. [Google Scholar] [CrossRef]
- Stamatelopoulou, A.; Dasopoulou, M.; Bairachtari, K.; Karavoltsos, S.; Sakellari, A.; Maggos, T. Contamination and Potential Risk Assessment of Polycyclic Aromatic Hydrocarbons (PAHs) and Heavy Metals in House Settled Dust Collected from Residences of Young Children. Appl. Sci. 2021, 11, 1479. [Google Scholar] [CrossRef]
- Howard, I.C.; Okpara, K.E.; Techato, K. Toxicity and Risks Assessment of Polycyclic Aromatic Hydrocarbons in River Bed Sediments of an Artisanal Crude Oil Refining Area in the Niger Delta, Nigeria. Water 2021, 13, 3295. [Google Scholar] [CrossRef]
- Kang, Y.; Shao, D.D.; Li, N.; Yang, G.L.; Zhang, Q.Y.; Zeng, L.X.; Luo, J.W.; Zhong, W.F. Cancer risk assessment of human exposure to polycyclic aromatic hydrocarbons (PAHs) via indoor and outdoor dust based on probit model. Environ. Sci. Pollut. Res. 2015, 22, 3451–3456. [Google Scholar] [CrossRef]
- Dong, X.Y.; Wang, J.; Yang, Y.B.; Liu, T.; Wang, Q.; Wu, Y.X.; Fang, J.L. Characterization of ambient PM2.5 and PAHs during 2017 Spring Festival in urban and suburb areas of Beijing. Environ. Chem. 2018, 37, 2190–2198. [Google Scholar]
- Li, N.; Wei, X.; Zhou, Y.F.; Sun, S.Y.; Bai, L. Source Analysis and Health Risk Assessment of Polycyclic Aromatic Hydrocarbons in Atmospheric Environment PM2.5 in Changchun City. Sci. Technol. Eng. 2021, 21, 410–416. [Google Scholar]
- GB3095-2012; Ambient Air Quality Standards. Environmental Science Press: Beijing, China, 2012. (In Chinese)
- Ye, W.; Saikawa, E.; Avramov, A.; Cho, S.-H.; Chartier, R. Household air pollution and personal exposure from burning firewood and yak dung in summer in the eastern Tibetan Plateau. Environ. Pollut. 2020, 263, 114531. [Google Scholar] [CrossRef]
- Li, C.L.; Kang, S.C.; Chen, P.F.; Zhang, Q.G.; Fang, G.C. Characterizations of particle-bound trace metals and polycyclic aromatic hydrocarbons (PAHs) within Tibetan tents of south Tibetan Plateau, China. Environ. Sci. Pollut. Res. 2012, 19, 1620–1628. [Google Scholar] [CrossRef]
- Pruneda-Álvarez, L.G.; Pérez-Vázquez, F.J.; Salgado-Bustamante, M.; Martínez-Salinas, R.I.; Pelallo-Martinez, N.A.; Pérez-Maldonado, I.N. Exposure to indoor air pollutants (polycyclic aromatic hydrocarbons, toluene, benzene) in Mexican indigenous women. Indoor Air 2012, 22, 140–147. [Google Scholar] [CrossRef]
- World Health Organization. Indoor Air Pollution and Lower Respiratory Tract Infections in Children; World Health Organization: Geneva, Switzerland, 2007. [Google Scholar]
- GBD 2016 Risk Factors Collaborators. Global, Regional, and National Comparative Risk Assessment of 84 Behavioural, Environmental and Occupational, and Metabolic Risks or Clusters of Risks, 1990–2016: A Systematic Analysis for the Global Burden of Disease Study 2016. Lancet 2017, 390, 1345–1422. [Google Scholar] [CrossRef] [Green Version]
- Iwegbue, C.M.A.; Iteku-Atata, E.C.; Odali, E.W.; Egobueze, F.E.; Tesi, G.O.; Nwajei, G.E.; Martincigh, B.S. Distribution, Sources and Health Risks of Polycyclic Aromatic Hydrocarbons (PAHs) in Household Dusts from Rural, Semi-urban and Urban Areas in the Niger Delta, Nigeria. Expos. Health 2019, 11, 209–225. [Google Scholar] [CrossRef]
- Castro, D.; Slezakova, K.; Delerue-Matos, C.; Alvim-Ferraz, M.D.C.; Morais, S.; Pereira, M.D.C. Polycyclic aromatic hydrocarbons in gas and particulate phases of indoor environments influenced by tobacco smoke: Levels, phase distributions, and health risks. Atmos. Environ. 2011, 45, 1799–1808. [Google Scholar] [CrossRef] [Green Version]
- Saraga, D.E.; Maggos, T.E.; Sfetsos, A.; Tolis, E.I.; Andronopoulos, S.; Bartzis, J.G.; Vasilakos, C. PAHs sources contribution to the air quality of an office environment: Experimental results and receptor model (PMF) application. Air Qual. Atmos. Health 2010, 3, 225–234. [Google Scholar] [CrossRef]
- Alaejos, M.S.; Pino, V.; Afonso, A.M. Metabolism and toxicology of heterocyclic aromatic amines when consumed in diet: Influence of the genetic susceptibility to develop human cancer. A review. Food Res. Int. 2008, 41, 327–340. [Google Scholar] [CrossRef]
- Thiebaud, H.P.; Knize, M.G.; Kuzmicky, P.A.; Felton, J.S.; Hsieh, D.P. Mutagenicity and Chemical Analysis of Fumes from Cooking Meat. J. Agric. Food Chem. 1994, 42, 1502–1510. [Google Scholar] [CrossRef]
- Zhao, Y.J.; Chen, C.; Zhao, B. Emission characteristics of PM2.5-bound chemicals from residential Chinese cooking. Build. Environ. 2019, 149, 623–629. [Google Scholar] [CrossRef]
- Hu, T.P.; Mao, Y.; Liu, W.J.; Cheng, C.; Shi, M.M.; Chen, Z.L.; Tian, Q.; Zhang, J.Q.; Qi, S.H.; Xing, X.L. Fate of PM2.5-bound PAHs in Xiangyang, central China during 2018 Chinese spring festival: Influence of fireworks burning and air-mass transport. J. Environ. Sci. 2020, 97, 1–10. [Google Scholar] [CrossRef]
- Kong, S.F.; Li, X.X.; Li, L.; Yan, Y.; Chen, K.; Yuan, L.; Zhang, Y.J.; Shan, Y.P.; Ji, Y.Q. Variation of polycyclic aromatic hydrocarbons in atmospheric PM2.5 during winter haze period around 2014 Chinese Spring Festival at Nanjing: Insights of source changes, air mass direction and firework particle injection. Sci. Total Environ. 2015, 520, 59–72. [Google Scholar] [CrossRef]
- Zhang, J.; Yang, L.X.; Ledoux, F.; Courcot, D.; Mellouki, A.; Gao, Y.; Jiang, P.; Li, Y.Y.; Wang, W.X. PM2.5-bound polycyclic aromatic hydrocarbons (PAHs) and nitrated PAHs (NPAHs) in rural and suburban areas in Shandong and Henan Provinces during the 2016 Chinese New Year’s holiday. Environ. Pollut. 2019, 250, 782–791. [Google Scholar] [CrossRef] [PubMed]
- Li, X.X.; Kong, S.F.; Yan, Y.; Li, L.; Yuan, L.; Li, Q.; Xiao, H.; Chen, K. Polycyclic aromatic hydrocarbons (PAHs) in atmospheric PM2.5 around 2013 Asian Youth Games period in Nanjing. Atmos. Res. 2016, 174, 85–96. [Google Scholar] [CrossRef]
- Khairy, M.A.; Lohmann, R. Source apportionment and risk assessment of polycyclic aromatic hydrocarbons in the atmospheric environment of Alexandria, Egypt. Chemosphere 2013, 91, 895–903. [Google Scholar] [CrossRef] [Green Version]
- Liu, X.; Li, C.; Hong, T.; Wu, Y.; Chen, Y.; Huang, Q.; Sheng, W.; Xie, Q.; Yuan, Z.; Lu, Y. Analysis of the Effect of Meteorological Factors on PM2.5-Associated PAHs during Autumn-Winter in Urban Nanchang. Aerosol Air Qual. Res. 2016, 16, 3222–3229. [Google Scholar] [CrossRef] [Green Version]
- Li, X.; Wang, Z.; Guo, T. Emission of PM2.5-Bound Polycyclic Aromatic Hydrocarbons from Biomass and Coal Combustion in China. Atmosphere 2021, 12, 1129. [Google Scholar] [CrossRef]
- Yu, Q.Q.; Yang, W.Q.; Zhu, M.; Gao, B.; Li, S.; Li, G.H.; Fang, H.; Zhou, H.S.; Zhang, H.N.; Wu, Z.F.; et al. Ambient PM2.5-bound polycyclic aromatic hydrocarbons (PAHs) in rural Beijing: Unabated with enhanced temporary emission control during the 2014 APEC summit and largely aggravated after the start of wintertime heating. Environ. Pollut. 2018, 238, 532–542. [Google Scholar] [CrossRef] [PubMed]
- Pongpiachan, S.; Tipmanee, D.; Khumsup, C.; Kittikoon, I.; Hirunyatrakul, P. Assessing risks to adults and preschool children posed by PM2.5-bound polycyclic aromatic hydrocarbons (PAHs) during a biomass burning episode in Northern Thailand. Sci. Total Environ. 2015, 508, 435–444. [Google Scholar] [CrossRef]
- Colbeck, I.; Nasir, Z.A.; Ali, Z. Characteristics of indoor/outdoor particulate pollution in urban and rural residential environment of Pakistan. Indoor Air 2010, 20, 45–51. [Google Scholar] [CrossRef]
- Wang, Q.; Liu, M.; Yu, Y.P.; Li, Y. Characterization and source apportionment of PM2.5-bound polycyclic aromatic hydrocarbons from Shanghai city, China. Environ. Pollut. 2016, 218, 118–128. [Google Scholar] [CrossRef]
- Zhang, Y.J.; Lin, Y.; Cai, J.; Liu, Y.; Hong, L.N.; Qin, M.M.; Zhao, Y.F.; Ma, J.; Wang, X.S.; Zhu, T.; et al. Atmospheric PAHs in North China: Spatial distribution and sources. Sci. Total Environ. 2016, 565, 994–1000. [Google Scholar] [CrossRef]
- Cao, X.Y.; Hao, X.W.; Shen, X.B.; Jiang, X.; Wu, B.B.; Yao, Z.L. Emission characteristics of polycyclic aromatic hydrocarbons and nitro-polycyclic aromatic hydrocarbons from diesel trucks based on on-road measurements. Atmos. Environ. 2017, 148, 190–196. [Google Scholar] [CrossRef] [Green Version]
- Inomata, S.; Fushimi, A.; Sato, K.; Yamada, H. 4-Nitrophenol, 1-nitropyrene, and 9-nitroanthracene emissions in exhaust particles from diesel vehicles with different exhaust gas treatments. Atmos. Environ. 2015, 110, 93–102. [Google Scholar] [CrossRef]
- Zhao, T.; Yang, L.X.; Huang, Q.; Zhang, W.; Duan, S.F.; Gao, H.L.; Wang, W.X. PM2.5-bound polycyclic aromatic hydrocarbons (PAHs) and nitrated-PAHs (NPAHs) emitted by gasoline vehicles: Characterization and health risk assessment. Sci. Total Environ. 2020, 727, 138631. [Google Scholar] [CrossRef] [PubMed]
- Yang, H.Y.; Yue, B.; Yan, Z.Y.; Wu, X.H.; Wu, H.X.; Gao, H. Emission characteristics of polycyclic aromatic hydrocarbons (PAHs) during rural solid waste (RSW) and straw mixed burning. Acta Sci. Circumstantiae 2019, 39, 1626–1632. [Google Scholar]
- Ma, J.W.; Gao, C.; Yan, H.X.; Li, Y.Q.; Chen, J.J.; Zhao, Y.; Xia, X.H. Characteristics, sources, and in situ phytoremediation of polycyclic aromatic hydrocarbon in rural dumpsites. J. Soil Sediment. 2019, 19, 3945–3953. [Google Scholar] [CrossRef]
- Zeng, C.; Niu, D.J.; Zhao, Y.C. A comprehensive overview of rural solid waste management in China. Front. Environ. Sci. Eng. 2015, 9, 949–961. [Google Scholar] [CrossRef]
- Laden, F.; Neas, L.M.; Dockery, D.W.; Schwartz, J. Association of fine particulate matter from different sources with daily mortality in six U.S. Cities. Environ. Health Persp. 2000, 108, 941–947. [Google Scholar] [CrossRef]
- Sarti, E.; Pasti, L.; Scaroni, L.; Casali, P.; Cavazzini, A.; Rossi, M. Determination of n-alkanes, PAHs and nitro-PAHs in PM2.5 and PM1 sampled in the surroundings of a municipal waste incinerator. Atmos. Environ. 2017, 149, 12–23. [Google Scholar] [CrossRef]







| Name | Ring | Category | Carcinogenicity * |
|---|---|---|---|
| Naphthalene (Nap) | 2 | Low Ring (LR) | 2B |
| Acenaphthene (Ace) | 3 | 3 | |
| Acenaphthylene (Acy) | 3 | - | |
| Anthracene (Ant) | 3 | 3 | |
| Fluorene (Flu) | 3 | 3 | |
| Phenanthrene (Phe) | 3 | 3 | |
| Benzo[a]anthracene (BaA) | 4 | Middle Ring (MR) | 2B |
| Chrysene (Chr) | 4 | 2B | |
| Fluoranthene (Fla) | 4 | 3 | |
| Pyrene (Pyr) | 4 | 3 | |
| Benzo[a]pyrene (BaP) | 5 | High Ring (HR) | 1 |
| Benzo[b]fluoranthene (BbF) | 5 | 2B | |
| Benzo[k]fluoranthene (BkF) | 5 | 2B | |
| Dibenzo[a,h]anthracene (DahA) | 5 | 2B | |
| Benzo[ghi]perylene (BghiP) | 6 | 3 | |
| Indeno[1,2,3-cd]pyrene (IcdP) | 6 | 2A |
| Monomer PAH | TEF | Monomer PAH | TEF |
|---|---|---|---|
| Nap | 0.001 | Fla | 0.001 |
| Ace | 0.001 | Pyr | 0.001 |
| Acy | 0.001 | BaP | 1 |
| Ant | 0.01 | BbF | 0.1 |
| Flu | 0.001 | BkF | 0.1 |
| Phe | 0.001 | DahA | 1 |
| BaA | 0.1 | BghiP | 0.01 |
| Chr | 0.01 | IcdP | 0.1 |
| Symbol | Unit | Meanings | Child | Adult | Reference |
|---|---|---|---|---|---|
| CSFing | (kg·d)/mg | Carcinogenic slope coefficient of oral and hand ingestion | 7.3 | [57] | |
| CSFinh | (kg·d)/mg | Carcinogenic slope coefficient of respiratory intake | 3.85 | [57] | |
| CSFder | (kg·d)/mg | Carcinogenic slope coefficient of skin intake | 25 | [57] | |
| EF | d/a | Exposure frequency | 350 | [58] | |
| ED | a | Exposure duration | 6 | 24 | [58] |
| AT | d | Average exposure time | 25,550 | [59] | |
| IRing | mg/d | Dust ingestion rate (IRingestion) | 200 | 100 | [60] |
| IRinh | m3/d | Inhalation rate (IRinhalation) | 5 | 20 | [14] |
| BW | kg | Body weight | 16 | 62 | [14] |
| PEF | m3/kg | Particle emission factor | 1.32 × 109 | [61] | |
| SA | cm2 | Dermal exposure area | 1600 | 4350 | [58] |
| SL | mg/(cm2·d) | Skin adhesion | 0.2 | 0.07 | [62] |
| ABS | - | Dermal adsorption fraction | 0.13 | [62] | |
| Time | LR | MR | HR | ||
|---|---|---|---|---|---|
| 2 Rings | 3 Rings | 4 Rings | 5 Rings | 6 Rings | |
| Total year | 20.28% | 43.26% | 36.46% | ||
| 0.72% | 19.56% | 43.26% | 20.00% | 16.46% | |
| Heating season | 19.74% | 38.16% | 42.10% | ||
| 0.59% | 19.15% | 38.16% | 18.73% | 23.37% | |
| Non-heating season | 20.63% | 46.67% | 32.70% | ||
| 0.82% | 19.81% | 46.67% | 20.86% | 11.84% | |
| Time | Population | ILCRing | ILCRinh | ILCRder |
|---|---|---|---|---|
| Total year | Adult | 42.450% | 0.003% | 57.547% |
| Child | 58.400% | 0.001% | 41.599% | |
| Heating season | Adult | 42.449% | 0.003% | 57.548% |
| Child | 58.398% | 0.001% | 41.601% | |
| Non-heating season | Adult | 42.448% | 0.003% | 57.549% |
| Child | 58.401% | 0.001% | 41.598% |
| Location | Region | Time | Types * | Concentrations (ng/m3) | Fuels | References |
|---|---|---|---|---|---|---|
| Hubei | Central China | Hp (Winter) | 15 | 922 ± 731 | Coal, Wood | [37] |
| Henan | Hp (Winter) | 16 | 762.5 ± 931.2 | Coal, LPG, Electricity | [38] | |
| Henan | Hp (Autumn) | 16 | 150 ± 105 | Coal | [38] | |
| Hebei | North China | Hp (Winter) | 22 | 7500 ± 4100 | Biomass + LPG | [36] |
| Hebei | Np (Summer) | 22 | 980 ± 110 | LPG | [36] | |
| Shanxi | Hp (Winter) | 16 | 219.1 ± 192.9 | Coal | [39] | |
| Jiangsu | East China | Np (Autumn) | 15 | 546 ± 95 | Biomass | [40] |
| Zhejiang | Hp (Winter) | 15 | 204.11 | Biomass | [41] | |
| Shanxi | Northwest China | Hp (Winter) | 19 | 211 ± 120 | Solid fuels | [43] |
| Shanxi | Hp (Winter) | 19 | 104 ± 132 | Coal + Straw | [42] | |
| Sichuan | Southwest China | Hp (Winter) | 16 | 133.1 ± 107.3 | Biomass | [39] |
| Guizhou | Hp (Winter) | 16 | 125–1641 | Wood | [44] | |
| Guizhou | Hp (Winter) | 16 | 32.64 | Coal | [45] | |
| Xizang | Np (Summer) | 16 | 2750 ± 2400 | Cow dung | [46] | |
| Xizang | Hp (Winter) | 13 | 538 | Biomass | [47] | |
| This study | Northeast China | Hp | 16 | 465.1 | Biomass + LPG + Electricity | |
| This study | Np | 16 | 350.5 | LPG + Electricity | ||
| This study | Total year | 16 | 815.6 | Biomass + LPG + Electricity |
Publisher’s Note: MDPI stays neutral with regard to jurisdictional claims in published maps and institutional affiliations. |
© 2022 by the authors. Licensee MDPI, Basel, Switzerland. This article is an open access article distributed under the terms and conditions of the Creative Commons Attribution (CC BY) license (https://creativecommons.org/licenses/by/4.0/).
Share and Cite
Bai, L.; Li, C. Investigation of Indoor Polycyclic Aromatic Hydrocarbons (PAHs) in Rural Northeast China: Pollution Characteristics, Source Analysis, and Health Assessment. Buildings 2022, 12, 153. https://doi.org/10.3390/buildings12020153
Bai L, Li C. Investigation of Indoor Polycyclic Aromatic Hydrocarbons (PAHs) in Rural Northeast China: Pollution Characteristics, Source Analysis, and Health Assessment. Buildings. 2022; 12(2):153. https://doi.org/10.3390/buildings12020153
Chicago/Turabian StyleBai, Li, and Chunhui Li. 2022. "Investigation of Indoor Polycyclic Aromatic Hydrocarbons (PAHs) in Rural Northeast China: Pollution Characteristics, Source Analysis, and Health Assessment" Buildings 12, no. 2: 153. https://doi.org/10.3390/buildings12020153
APA StyleBai, L., & Li, C. (2022). Investigation of Indoor Polycyclic Aromatic Hydrocarbons (PAHs) in Rural Northeast China: Pollution Characteristics, Source Analysis, and Health Assessment. Buildings, 12(2), 153. https://doi.org/10.3390/buildings12020153

