Influence of Classroom Colour Environment on College Students’ Emotions during Campus Lockdown in the COVID-19 Post-Pandemic Era—A Case Study in Harbin, China
Abstract
1. Introduction
2. Methods
2.1. Questionnaire Setting

2.2. Participants
2.3. Data Analysis
2.4. Reliability Validity Test
3. Results
3.1. Anxiety-Depression Evaluation
3.2. The Effect of Colour on Mood
3.2.1. Correlation Analysis of Colour and Mood
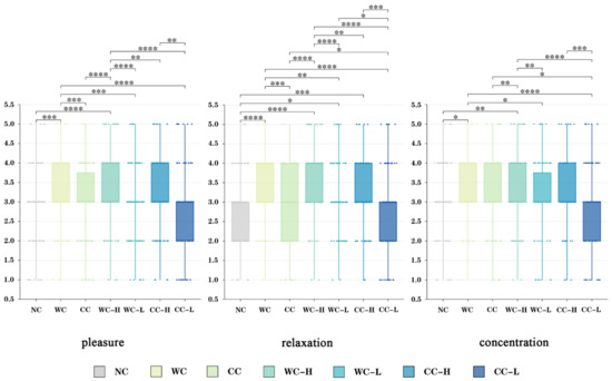
3.2.2. Analysis of the Effect of Colour on Mood
3.3. Different Effectiveness under Demographic Factors
3.3.1. Degree of Anxiety and Depression
3.3.2. Gender
3.3.3. Education Background
4. Discussion
4.1. Anxiety and Depression
4.2. Colour and Mood
4.3. Limitation
5. Conclusions
- In the context of the “Dynamic Zero-Covid” policy, constant campus lockdown leads to prominent anxiety and depression among college students. More than 30% of the subject group suffered from mild or significant anxiety or depressive symptoms.
- Chinese college students have colour preferences in teaching spaces. In the three teaching spaces of warm, cold, and neutral colours, warm colours have an advantage over both cold and neutral colours in creating pleasure, relaxation, and mental focus. Among the three types of teaching spaces, neutral colours provide the worst experience in terms of obtaining a positive mood. It is concluded that warm-coloured classrooms are more healing than cold-coloured classrooms, and cold-coloured classrooms are more healing than neutral-coloured classrooms. With the same colour hue, high brightness classrooms tend to have better healing effects than low brightness classrooms. The results might correlate with the Chinese colour preference for red and light colours.
- There is a correlation between the teaching space colour score and the level of anxiety and depression of the subjects. When subjects have higher degrees of anxiety and depression, they are less satisfied with the colour of the teaching space. There are some differences in the experiences of people with different anxiety and depression symptoms in different colours of teaching spaces.
- In most cases, there is no significant difference in the colour preference of teaching spaces between the gender groups. However, there is a significant difference between males and females in warm high-brightness teaching spaces, with females having a higher preference for warm high-brightness classrooms than males. There is no significant difference in colour preference of teaching space among the different education groups.
Author Contributions
Funding
Conflicts of Interest
Appendix A
| 1. Your gender is ( ) | Male | Female | |||
| 2. Your current grade is ( ) | Freshman | Sophomore | Junior year | Senior year | Grade five |
| Master’s degree | Doctor | Others | |||
| 3. Your major category is ( ) | Humanities and Social Sciences | Natural Sciences | Engineering | Medicine | Arts |
| Others | |||||
| 4–17. HAD Scale (Table 1) | |||||
Please observe photo group 1 carefully and answer questions 18–20 truthfully according to your feelings![]() | |||||
| 18. This set of photos makes you feel ( ) | very unpleasant | unpleasant | general | pleasure | very pleasant |
| 19. This set of photos makes you feel ( ) | very unrelaxed | unrelaxed | general | relaxed | very relaxed |
| 20. This set of photos makes you feel ( ) | very unfocused | unfocused | general | focused | very focused |
Please observe photo group 2 carefully and answer questions 21–23 truthfully according to your feelings![]() | |||||
| 21. This set of photos makes you feel ( ) | very unpleasant | unpleasant | general | pleasure | very pleasant |
| 22. This set of photos makes you feel ( ) | very unrelaxed | unrelaxed | general | relaxed | very relaxed |
| 23. This set of photos makes you feel ( ) | very unfocused | unfocused | general | focused | very focused |
Please observe photo group 3 carefully and answer questions 24–26 truthfully according to your feelings![]() | |||||
| 24. This set of photos makes you feel ( ) | very unpleasant | unpleasant | general | pleasure | very pleasant |
| 25. This set of photos makes you feel ( ) | very unrelaxed | unrelaxed | general | relaxed | very relaxed |
| 26. This set of photos makes you feel ( ) | very unfocused | unfocused | general | focused | very focused |
Please observe photo group 4 carefully and answer questions 27–29 truthfully according to your feelings![]() | |||||
| 27. This set of photos makes you feel ( ) | very unpleasant | unpleasant | general | pleasure | very pleasant |
| 28. This set of photos makes you feel ( ) | very unrelaxed | unrelaxed | general | relaxed | very relaxed |
| 29. This set of photos makes you feel ( ) | very unfocused | unfocused | general | focused | very focused |
Please observe photo group 5 carefully and answer questions 30–32 truthfully according to your feelings![]() | |||||
| 30. This set of photos makes you feel ( ) | very unpleasant | unpleasant | general | pleasure | very pleasant |
| 31. This set of photos makes you feel ( ) | very unrelaxed | unrelaxed | general | relaxed | very relaxed |
| 32. This set of photos makes you feel ( ) | very unfocused | unfocused | general | focused | very focused |
Please observe photo group 1 carefully and answer questions 33–35 truthfully according to your feelings![]() | |||||
| 33. This set of photos makes you feel ( ) | very unpleasant | unpleasant | general | pleasure | very pleasant |
| 34. This set of photos makes you feel ( ) | very unrelaxed | unrelaxed | general | relaxed | very relaxed |
| 35. This set of photos makes you feel ( ) | very unfocused | unfocused | general | focused | very focused |
Please observe photo group 1 carefully and answer questions 36–38 truthfully according to your feelings![]() | |||||
| 36. This set of photos makes you feel ( ) | very unpleasant | unpleasant | general | pleasure | very pleasant |
| 37. This set of photos makes you feel ( ) | very unrelaxed | unrelaxed | general | relaxed | very relaxed |
| 38. This set of photos makes you feel ( ) | very unfocused | unfocused | general | focused | very focused |
References
- UN. The 2030 Agenda for Global Action and the Sustainable Development Goals; United Nations: New York, NY, USA, 2015. [Google Scholar]
- UN. Convention on the Rights of Persons with Diabilities; United Nations: New York, NY, USA, 2006. [Google Scholar]
- Wang, C.; Pan, R.; Wan, X.; Tan, Y.; Xu, L.; McIntyre, R.S.; Choo, F.N.; Tran, B.; Ho, R.; Sharma, V.K.; et al. A longitudinal study on the mental health of the general population during the COVID-19 epidemic in China. Brain Behav. Immun. 2020, 87, 40–48. [Google Scholar] [CrossRef] [PubMed]
- Brooks, S.K.; Webster, R.K.; Smith, L.E.; Woodland, L.; Wessely, S.; Greenberg, N.; Rubin, G.J. The psychological impact of quarantine and how to reduce it: Rapid review of the evidence. Lancet 2020, 395, 912–920. [Google Scholar] [CrossRef]
- Wang, C.; Pan, R.; Wan, X.; Tan, Y.; Xu, L.; Ho, C.S.; Ho, R.C. Immediate psychological responses and associated factors during the initial stage of the 2019 coronavirus disease (COVID-19) epidemic among the general population in China. Int. J. Environ. Res. Public Health 2020, 17, 1729. [Google Scholar] [CrossRef] [PubMed]
- Sprang, G.; Silman, M. Post-traumatic stress disorder in parents and youth after health-related disasters. Disaster Med. Public Health Prep. 2013, 7, 105–110. [Google Scholar] [CrossRef] [PubMed]
- Marelli, S.; Castelnuovo, A.; Somma, A.; Castronovo, V.; Mombelli, S.; Bottoni, D.; Leitner, C.; Fossati, A.; Ferini-Stramb, L. Impact of COVID-19 lockdown on sleep quality in university students and administration staff. J. Neurol. 2021, 268, 8–15. [Google Scholar] [CrossRef] [PubMed]
- Li, H.Y.; Cao, H.; Leung, D.Y.P.; Mak, Y.W. The Psychological Impacts of a COVID-19 Outbreak on College Students in China: A Longitudinal Study. Int. J. Environ. Res. Public Health 2020, 17, 3933. [Google Scholar] [CrossRef]
- Panchal, U.; Salazar de Pablo, G.; Franco, M.; Moreno, C.; Parellada, M.; Arango, C.; Fusar-Poli, P. The impact of COVID-19 lockdown on child and adolescent mental health: A systematic review. Eur. Child Adolesc. Psychiatry 2021, 8, 1–27. [Google Scholar] [CrossRef]
- Zhang, C.; Ye, M.; Fu, Y.; Yang, M.; Luo, F.; Yuan, J.; Tao, Q. The Psychological Impact of the COVID-19 Pandemic on Teenagers in China. J. Adolesc. Health 2020, 67, 747–755. [Google Scholar] [CrossRef]
- Wan, J.; Zhou, Y.; Li, Y.; Su, Y.; Cao, Y.; Zhang, L.; Ying, L.; Deng, W. Research on Color Space Perceptions and Restorative Effects of Blue Space Based on Color Psychology: Examination of the Yijie District of Dujiangyan City as an Example. Int. J. Environ. Res. Public Health 2020, 17, 3137. [Google Scholar] [CrossRef]
- Song, J.M. The theory of colour psychology, design careers and experiments. Decoration 2020, 4, 21–26. (In Chinese) [Google Scholar]
- Elliot, A.J.; Maier, M.A. Color Psychology: Effects of Perceiving Color on Psychological Functioning in Humans. Annu. Rev. Psychol. 2014, 65, 95–120. [Google Scholar] [CrossRef]
- Puntenney, I. Color Psychology and Color Therapy. Am. J. Ophthalmol. 1950, 33, 1619. [Google Scholar] [CrossRef]
- Ou, L.C.; Luo, M.R.; Woodcock, A.; Wright, A. A study of colour emotion and colour preference. Part II: Colour emotions for two-colour combinations. Colour Res. Appl. 2004, 29, 292–298. [Google Scholar] [CrossRef]
- Ou, L.C.; Luo, M.R.; Woodcock, A.; Wright, A. A study of colour emotion and colour preference. Part III: Colour preference modelling. Colour Res. Appl. 2004, 29, 381–389. [Google Scholar] [CrossRef]
- Ahn, J.-H.; Kim, J.-D. Theoretical Consideration on Color Therapy. J. Naturop. 2013, 2, 75–76. [Google Scholar]
- Glenn. Overview of Chinese and Western healing environments. China Hosp. Archit. Equip. 2013, 14, 25–28. (In Chinese) [Google Scholar]
- Ai, M.; Liu, Y.H.; Qi, X.H.; Lei, L.; Chen, Y.S.; Li, P.; Yang, S. The effect of colour on human physiology and psychology. Chin. J. Health Psychol. 2015, 2, 317–320. (In Chinese) [Google Scholar]
- Huang, S.-S.; Xu, A.; Zhou, A.-H. Research progress of colour psychology in the application of disease-assisted treatment. Gen. Pract. Nurs. 2020, 18, 288–290. (In Chinese) [Google Scholar]
- Saito, M. Comparative Studies on Colour Preference in Japan and Other Asian Regions, with Special Emphasis on the Prefer-ence for White. Colour Res. Appl. 1996, 21, 35–49. [Google Scholar] [CrossRef]
- Zhao, E.; Liu, T. A Study of the International Colour Sensibility through the Analysis of the Ethnic Colour Preference. J. Korean Soc. Costume 2012, 62, 38–52. [Google Scholar]
- Madden, T.J.; Hewett, K.; Roth, M.S. Managing Images in Different Cultures: A Cross-National Study of Color Meanings and Preferences. J. Int. Mark. 2000, 8, 90–107. [Google Scholar] [CrossRef]
- Zhang, Y.; Liu, P.; Han, B.; Xiang, Y.; Li, L. Hue, Chroma, and Preference in Chinese Adults: Age and Gender Differences. Colour Res. Appl. 2019, 44, 967–980. [Google Scholar] [CrossRef]
- Yinan, S. The application of colour medicine in colleges and universities. Art Sci. Technol. 2014, 27, 42, 197. (In Chinese) [Google Scholar]
- Terol-Cantero, M.C.; Cabrera-Perona, V.; Martín-Aragón, M. Hospital Anxiety and Depression Scale (HADS) review in Spanish Samples. An. Psicol. Ann. Psychol. 2015, 31, 494–503. [Google Scholar] [CrossRef]
- Lam, C.L.K.; Pan, P.; Chan, A.W.T.; Chan, S.; Munro, C. Can the Hospital Anxiety and Depression (HAD) Scale be used on Chinese elderly in general practice? Fam. Pract. 1995, 12, 149–154. [Google Scholar] [CrossRef] [PubMed]
- Mykletun, A.; Stordal, E.; Dahl, A. Hospital Anxiety and Depression (HAD) scale: Factor structure, item analyses and internal consistency in a large population. Br. J. Psychiatry 2001, 179, 540–544. [Google Scholar] [CrossRef]
- El-Rufaie, O.E.F.; Absood, G.H. Retesting the validity of the Arabic version of the Hospital Anxiety and Depression (HAD) scale in primary health. Soc. Psychiatry Psychiatr. Epidemiol. 1995, 30, 26–31. [Google Scholar] [CrossRef]
- Cabrera, V.; Martin-Aragon, M.; del Carmen Terol, M.; Nunez, R.; de los Angeles Pastor, M. Hospital Anxiety and Depression Scale (HADS) in fibromyalgia: Sensitivity and specificity analysis. Ter. Psicol. 2015, 33, 181–193. [Google Scholar] [CrossRef]
- Melin, E.O.; Svensson, R.; Thulesius, H.O. Psychoeducation against depression, anxiety, alexithymia and fibromyalgia: A pilot study in primary care for patients on sick leave. Scand. J. Prim. Health Care 2018, 36, 123–133. [Google Scholar] [CrossRef]
- Andrea, H.; Bültmann, U.; Beurskens AJ, H.M.; Swaen GM, H.; Van Schayck, C.P.; Kant, I.J. Anxiety and depression in the working population using the HAD Scale. Soc. Psychiatry Psychiatr. Epidemiol. 2004, 39, 637–646. [Google Scholar] [CrossRef]
- Lamey, P.-J.; Lamb, A.B. The usefulness of the HAD scale in assessing anxiety and depression in patients with burning mouth syndrome. Oral Surg. Oral Med. Oral Pathol. 1989, 67, 390–392. [Google Scholar] [CrossRef]
- Zhou, Y.; Zhang, H.; Zhang, X.Z.; Zhang, F. Evaluation of the psychological status of infertile women using the HAD scale. J. Nurs. 2005, 20, 65–66. (In Chinese) [Google Scholar]
- Na, M.; Xiuqi, S.; Zhongjuan, Z.; Wandan, G. Clinical application significance of HAD scale in the treatment of elderly patients with arrhythmias of different complexity. Harbin Med. 2017, 37, 268–269. (In Chinese) [Google Scholar]
- Available online: http://sxjy.chnu.edu.cn/Item/91321.aspx (accessed on 10 October 2022).
- Available online: https://www.nipic.com/show/19457804.html (accessed on 10 October 2021).
- Available online: https://www.nipic.com/show/18125100.html (accessed on 10 October 2022).
- Available online: https://www.sohu.com/a/237068862_707429 (accessed on 10 October 2021).
- Available online: https://www.meipian.cn/2cvb5cd3 (accessed on 10 October 2022).
- Available online: https://baike.baidu.com/pic/%E6%95%99%E5%AE%A4/10996397/1/c75c10385343fbf2b2116b09e22ddd8065380cd721c7?fr=newalbum#aid=1528196564&pic=35a85edf8db1cb134954ff594d07414e9258d109dd67 (accessed on 10 October 2021).
- Available online: https://baike.baidu.com/pic/%E6%95%99%E5%AE%A4/10996397/1/c75c10385343fbf2b2116b09e22ddd8065380cd721c7?fr=newalbum#aid=1528196564&pic=14ce36d3d539b6003af3b206531c222ac65c10381967 (accessed on 10 October 2021).
- Jeong, H.; Yim, H.W.; Song, Y.J.; Ki, M.; Min, J.A.; Cho, J.; Chae, J.H. Mental health status of people isolated due to Middle East respiratory syndrome. Epidemiol. Health 2016, 38, e2016048. [Google Scholar] [CrossRef]
- Bai, Y.; Lin, C.-C.; Lin, C.-Y.; Chen, J.-Y.; Chue, C.-M.; Chou, P. Survey of stress reactions among health care workers involved with the SARS outbreak. Psychiatr. Serv. 2004, 55, 1055–1057. [Google Scholar] [CrossRef]
- Wang, Y.; Xu, B.; Zhao, G.; Cao, R.; He, X.; Fu, S. Is quarantine related to immediate negative psychological consequences during the 2009 H1N1 epidemic? Gen. Hosp. Psychiatry 2011, 33, 75–77. [Google Scholar] [CrossRef]
- Fehrman, K.; Fehrman, C. Color: The Secret Influence; Prentice Hall: Upper Saddle River, NJ, USA, 2000. [Google Scholar]
- O’Connor, Z. Colour psychology and colour therapy: Caveat emptor. Color Res. Appl. 2011, 36, 229–234. [Google Scholar] [CrossRef]
- Wexner, L.B. The degree to which colours (hues) are associated with mood-tones. Appl. Psychol. 1954, 38, 432–435. [Google Scholar] [CrossRef]
- Salonen, H.; Lahtinen, M.; Lappalainen, S.; Nevala, N.; Knibbs, L.D.; Morawska, L.; Reijula, K. Physical characteristics of the indoor environment that affect health and wellbeing in healthcare facilities: A review. Intell. Build. Int. 2013, 5, 3–25. [Google Scholar] [CrossRef]
- Marco, C.; Sergio, F.; Mattia, N.; Iacopo, P. Interior Color and Psychological Functioning in a University Residence Hall. Front. Psychol. 2018, 9, 1580. [Google Scholar]
- Gao, C.; Zhang, S. The restorative quality of patient ward environment: Tests of six dominant design characteristics. Build. Environ. 2020, 180, 107039. [Google Scholar] [CrossRef]
- Yildirim, K.; Hidayetoglu, M.L.; Capanoglu, A. Effects of Interior Colors on Mood and Preference: Comparisons of Two Living Rooms. Percept. Mot. Skills 2011, 112, 509–524. [Google Scholar] [CrossRef] [PubMed]
- Bilal, S.Y.; Aslanolu, R.; Olguntürk, N. Colour, emotion, and behavioural intentions in city hotel guestrooms. Colour Res. Appl. 2021, 47, 771–782. [Google Scholar] [CrossRef]
- Al-Rasheed, A.S. An experimental study of gender and cultural differences in hue preference. Front. Psychol. 2015, 6, 30. [Google Scholar] [CrossRef]
- Cho, J.Y.; Lee, E.-J. Impact of Interior Colors in Retail Store Atmosphere on Consumers’ Perceived Store Luxury, Emotions, and Preference. Cloth. Text. Res. J. 2017, 35, 33–48. [Google Scholar] [CrossRef]
- Kong, Z.; Zhang, R.; Ni, J.; Ning, P.; Kong, X.; Wang, J. Towards an integration of visual comfort and lighting impression: A field study within higher educational buildings. Build. Environ. 2022, 216, 108989. [Google Scholar] [CrossRef]
- Kong, Z.; Liu, Q.; Li, X.; Hou, K.; Xing, Q. Indoor lighting effects on subjective impressions and mood states: A critical review. Build. Environ. 2022, 224, 109591. [Google Scholar] [CrossRef]



| Title | Options | |||
|---|---|---|---|---|
| 1. I feel nervous (or painful) | Not at all | Sometimes | Most of the time | Almost all the time |
| 2. I am still interested in the things I used to be interested in | Definitely the same | Not as much as before | Only a little | Basically no more |
| 3. I felt some fear as if I had a feeling that something terrible was going to happen | Not at all | A little, but it doesn’t bother me | Yes, but not too serious | Very sure and very serious |
| 4. I can laugh and see the funny side of things | I do this a lot. | I am not so much anymore. | Definitely not too much now | Not at all |
| 5. My heart is full of worries | Occasionally so | From time to time, but not often | Often | Most of the time |
| 6. I feel happy | Most of the time | Sometimes | Not often. | Not at all |
| 7. I can sit at ease and relax | Affirmation | Frequently | Not often | Not at all |
| 8. I lose interest in my appearance (dressing) | I still care as much as ever | I may not care very much | Not as caring as I should be | Affirmation |
| 9. I was a little fidgety as if I felt compelled to move | Not at all | Not much | Quite a bit | A bit too much indeed |
| 10. I look forward to the future with a happy heart | Almost like this | It doesn’t quite work that way | Rarely do you do this | Almost never do this |
| 11. I suddenly have a sense of panic | Not at all | Not often | from time to time | Very often indeed |
| 12. I seem to feel that people have become dull | Not at all | Sometimes | Very often | Almost all the time |
| 13. I feel a shivering fear | Not at all | Sometimes | Very often | Very often |
| 14. I can enjoy a good book or a good radio or TV program | Often | Sometimes | Not often | Rarely |
| Variables | Options | Frequency | Percentage | Crowd | Average Value | Standard Deviation |
|---|---|---|---|---|---|---|
| Gender | Male | 72 | 65.5% | 1 | 1.35 | 0.48 |
| Female | 38 | 34.5% | ||||
| Grade | Freshman year | 5 | 4.5% | 3 | 4.11 | 1.89 |
| Sophomore | 14 | 12.7% | ||||
| Junior | 39 | 35.5% | ||||
| Senior Year | 15 | 13.6% | ||||
| Master | 18 | 16.4% | ||||
| PhD | 18 | 16.4% | ||||
| Other | 1 | 0.9% | ||||
| Category | Humanities and Social Sciences | 16 | 14.5% | 3 | 2.76 | 0.95 |
| Science | 7 | 6.4% | ||||
| Engineering | 81 | 73.6% | ||||
| Medicine | 2 | 1.8% | ||||
| Art Studies | 1 | 0.9% | ||||
| Other | 3 | 2.7% | ||||
| Total | 110 | 100.0% |
| Hue | ||||||
|---|---|---|---|---|---|---|
| Neutral | Warm | Cold | ||||
| M | SD | M | SD | M | SD | |
| Pleasant/ Unpleasant | 2.945 | 0.887 | 3.381 | 0.846 | 2.954 | 0.892 |
| Relaxed/ Unrelaxed | 2.81 | 0.869 | 3.427 | 0.795 | 3.009 | 0.914 |
| Focused/ Unfocused | 3.063 | 0.793 | 3.327 | 0.779 | 3.109 | 0.922 |
| Brightness | ||||||||
|---|---|---|---|---|---|---|---|---|
| Warm High Brightness | Warm Low Brightness | Cold High Brightness | Cold Low Brightness | |||||
| M | SD | M | SD | M | SD | M | SD | |
| Pleasant/ Unpleasant | 3.518 | 0.993 | 2.981 | 0.878 | 3.173 | 0.876 | 2.764 | 1.013 |
| Relaxed/ UnRelaxed | 3.554 | 0.915 | 3.063 | 0.827 | 3.218 | 0.860 | 2.754 | 0.969 |
| Focus/ Unfocused | 3.427 | 0.893 | 3.082 | 0.920 | 3.255 | 0.818 | 2.836 | 0.934 |
| Variables | Options | N | Average Value | Standard Deviation | F | Significance | Multiple Comparisons |
|---|---|---|---|---|---|---|---|
| Neutral colour score | 1 | 71 | 9.04 | 2.12 | 4.04 | 0.02 | 1 > 3, 2 > 3 |
| 2 | 22 | 9.18 | 2.11 | ||||
| 3 | 17 | 7.47 | 2.32 | ||||
| Warm colour score | 1 | 71 | 10.46 | 2.2 | 4.519 | 0.013 | 1 > 3, 2 > 3 |
| 2 | 22 | 10.14 | 1.39 | ||||
| 3 | 17 | 8.76 | 2.36 | ||||
| Cold colour score | 1 | 71 | 9.28 | 2.44 | 4.328 | 0.016 | 1 > 3, 2 > 3 |
| 2 | 22 | 9.59 | 1.76 | ||||
| 3 | 17 | 7.53 | 2.85 | ||||
| Warm colour high brightness score | 1 | 71 | 10.87 | 2.37 | 2.952 | 0.057 | / |
| 2 | 22 | 10.18 | 2.24 | ||||
| 3 | 17 | 9.35 | 2.83 | ||||
| Warm colour low brightness score | 1 | 71 | 9.28 | 2.36 | 3.214 | 0.044 | 1 > 3, 2 > 3 |
| 2 | 22 | 9.59 | 1.89 | ||||
| 3 | 17 | 7.88 | 2.23 | ||||
| Cold colour high brightness score | 1 | 71 | 9.65 | 2.42 | 3.216 | 0.044 | 2 > 3 |
| 2 | 22 | 10.45 | 1.79 | ||||
| 3 | 17 | 8.59 | 2.24 | ||||
| Cold colour, low brightness score | 1 | 71 | 8.35 | 2.7 | 0.747 | 0.476 | / |
| 2 | 22 | 8.82 | 2.24 | ||||
| 3 | 17 | 7.76 | 3.03 |
| Variables | Options | N | Average Value | Standard Deviation | F | Significance | Multiple Comparisons |
|---|---|---|---|---|---|---|---|
| Neutral colour score | 1 | 75 | 9.04 | 2.19 | 3.29 | 0.041 | 1 > 3, 2 > 3 |
| 2 | 22 | 8.95 | 1.91 | ||||
| 3 | 13 | 7.38 | 2.4 | ||||
| Warm colour score | 1 | 75 | 10.57 | 2.05 | 7.35 | 0.001 | 1 > 3, 2 > 3 |
| 2 | 22 | 9.73 | 2.07 | ||||
| 3 | 13 | 8.31 | 1.97 | ||||
| Cold colour score | 1 | 75 | 9.33 | 2.37 | 3.053 | 0.051 | / |
| 2 | 22 | 9.09 | 2.29 | ||||
| 3 | 13 | 7.54 | 2.9 | ||||
| Warm colour high brightness score | 1 | 75 | 10.93 | 2.42 | 4.485 | 0.013 | 1 > 3 |
| 2 | 22 | 9.91 | 2.11 | ||||
| 3 | 13 | 9 | 2.58 | ||||
| Warm colour low brightness score | 1 | 75 | 9.43 | 2.41 | 2.257 | 0.11 | / |
| 2 | 22 | 8.68 | 1.52 | ||||
| 3 | 13 | 8.15 | 2.51 | ||||
| Cold colour high brightness score | 1 | 75 | 9.88 | 2.48 | 1.931 | 0.15 | / |
| 2 | 22 | 9.5 | 1.57 | ||||
| 3 | 13 | 8.54 | 2.26 | ||||
| Cold colour, low brightness score | 1 | 75 | 8.37 | 2.74 | 1.272 | 0.284 | / |
| 2 | 22 | 8.86 | 2.15 | ||||
| 3 | 13 | 7.38 | 2.96 |
| Variables | Gender | Number of Cases | Average Value | Standard Deviation | t | Significance |
|---|---|---|---|---|---|---|
| Anxiety and Depression score | Male | 72 | 13.22 | 7.575 | 1.248 | 0.215 |
| Female | 38 | 11.32 | 7.697 | |||
| Neutral colour score (18–20) | Male | 72 | 8.92 | 2.336 | 0.583 | 0.561 |
| Female | 38 | 8.66 | 1.963 | |||
| Warm colour score (21–23) | Male | 72 | 10.03 | 2.195 | −0.724 | 0.471 |
| Female | 38 | 10.34 | 2.109 | |||
| Cold colour score (24–26) | Male | 72 | 9.25 | 2.281 | 1.039 | 0.301 |
| Female | 38 | 8.74 | 2.777 | |||
| Warm colour high brightness score (27–29) | Male | 72 | 10.14 | 2.44 | −2.155 | 0.033 |
| Female | 38 | 11.18 | 2.381 | |||
| Warm colour low brightness score (30–32) | Male | 72 | 9.11 | 2.243 | −0.101 | 0.92 |
| Female | 38 | 9.16 | 2.444 | |||
| Cold colour high brightness score (33–35) | Male | 72 | 9.69 | 2.329 | 0.303 | 0.763 |
| Female | 38 | 9.55 | 2.345 | |||
| Cold colour low brightness score (36–38) | Male | 72 | 8.6 | 2.51 | 1.32 | 0.19 |
| Female | 38 | 7.89 | 2.911 |
| Variables | Options | N | Average Value | Standard Deviation | F | Significance | Multiple Comparisons |
|---|---|---|---|---|---|---|---|
| Anxiety and Depression score | Undergraduate | 73 | 12.79 | 7.636 | 0.197 | 0.658 | / |
| Master’s degree | 37 | 12.11 | 7.724 | ||||
| Neutral colour score (18–20) | Undergraduate | 73 | 9.03 | 2.134 | 1.795 | 0.183 | / |
| Master’s degree | 37 | 8.43 | 2.328 | ||||
| Warm colour score (21–23) | Undergraduate | 73 | 10.07 | 2.03 | 0.213 | 0.646 | / |
| Master’s degree | 37 | 10.27 | 2.423 | ||||
| Cold colour score (24–26) | Undergraduate | 73 | 9.03 | 2.374 | 0.073 | 0.788 | / |
| Master’s degree | 37 | 9.16 | 2.662 | ||||
| Warm colour high brightness score (27–29) | Undergraduate | 73 | 10.77 | 2.378 | 2.597 | 0.11 | / |
| Master’s degree | 37 | 9.97 | 2.566 | ||||
| Warm colour low brightness score (30–32) | Undergraduate | 73 | 9.08 | 2.139 | 0.082 | 0.775 | / |
| Master’s degree | 37 | 9.22 | 2.626 | ||||
| Cold colour high brightness score (33–35) | Undergraduate | 73 | 9.64 | 2.33 | 0 | 0.992 | / |
| Master’s degree | 37 | 9.65 | 2.348 | ||||
| Cold colour low brightness score (36–38) | Undergraduate | 73 | 8.4 | 2.454 | 0.055 | 0.814 | / |
| Master’s degree | 37 | 8.27 | 3.07 |
| Variables | Options | N | Average Value | Standard Deviation | F | Significance | Multiple Comparisons |
|---|---|---|---|---|---|---|---|
| Anxiety and Depression score | Non-Scientific | 22 | 11.91 | 8.28 | 0.201 | 0.655 | / |
| Science and Engineering | 88 | 12.73 | 7.509 | ||||
| Neutral colour score (18–20) | Non-Scientific | 22 | 9.14 | 2.315 | 0.536 | 0.466 | / |
| Science and Engineering | 88 | 8.75 | 2.188 | ||||
| Warm colour score (21–23) | Non-Scientific | 22 | 10.73 | 2.492 | 2.077 | 0.152 | / |
| Science and Engineering | 88 | 9.99 | 2.059 | ||||
| Cold colour score (24–26) | Non-Scientific | 22 | 9.05 | 2.968 | 0.003 | 0.954 | / |
| Science and Engineering | 88 | 9.08 | 2.34 | ||||
| Warm colour high brightness score (27–29) | Non-Scientific | 22 | 11.09 | 2.348 | 1.596 | 0.209 | / |
| Science and Engineering | 88 | 10.35 | 2.478 | ||||
| Warm colour low brightness score (30–32) | Non-Scientific | 22 | 9.36 | 2.498 | 0.288 | 0.593 | / |
| Science and Engineering | 88 | 9.07 | 2.263 | ||||
| Cold colour high brightness score (33–35) | Non-Scientific | 22 | 9.82 | 2.954 | 0.151 | 0.699 | / |
| Science and Engineering | 88 | 9.6 | 2.158 | ||||
| Cold colour low brightness score (36–38) | Non-Scientific | 22 | 8.77 | 3.038 | 0.676 | 0.413 | / |
| Science and Engineering | 88 | 8.25 | 2.57 |
Publisher’s Note: MDPI stays neutral with regard to jurisdictional claims in published maps and institutional affiliations. |
© 2022 by the authors. Licensee MDPI, Basel, Switzerland. This article is an open access article distributed under the terms and conditions of the Creative Commons Attribution (CC BY) license (https://creativecommons.org/licenses/by/4.0/).
Share and Cite
Tao, W.; Wu, Y.; Li, W.; Liu, F. Influence of Classroom Colour Environment on College Students’ Emotions during Campus Lockdown in the COVID-19 Post-Pandemic Era—A Case Study in Harbin, China. Buildings 2022, 12, 1873. https://doi.org/10.3390/buildings12111873
Tao W, Wu Y, Li W, Liu F. Influence of Classroom Colour Environment on College Students’ Emotions during Campus Lockdown in the COVID-19 Post-Pandemic Era—A Case Study in Harbin, China. Buildings. 2022; 12(11):1873. https://doi.org/10.3390/buildings12111873
Chicago/Turabian StyleTao, Weiyi, Yue Wu, Weifeng Li, and Fangfang Liu. 2022. "Influence of Classroom Colour Environment on College Students’ Emotions during Campus Lockdown in the COVID-19 Post-Pandemic Era—A Case Study in Harbin, China" Buildings 12, no. 11: 1873. https://doi.org/10.3390/buildings12111873
APA StyleTao, W., Wu, Y., Li, W., & Liu, F. (2022). Influence of Classroom Colour Environment on College Students’ Emotions during Campus Lockdown in the COVID-19 Post-Pandemic Era—A Case Study in Harbin, China. Buildings, 12(11), 1873. https://doi.org/10.3390/buildings12111873








