Experimental Study and Finite Element Calculation of the Behavior of Special T-Shaped Composite Columns with Concrete-Filled Square Steel Tubulars under Eccentric Loads
Abstract
:1. Introduction
2. Experimental Program
2.1. Specimen Design and Material Properties
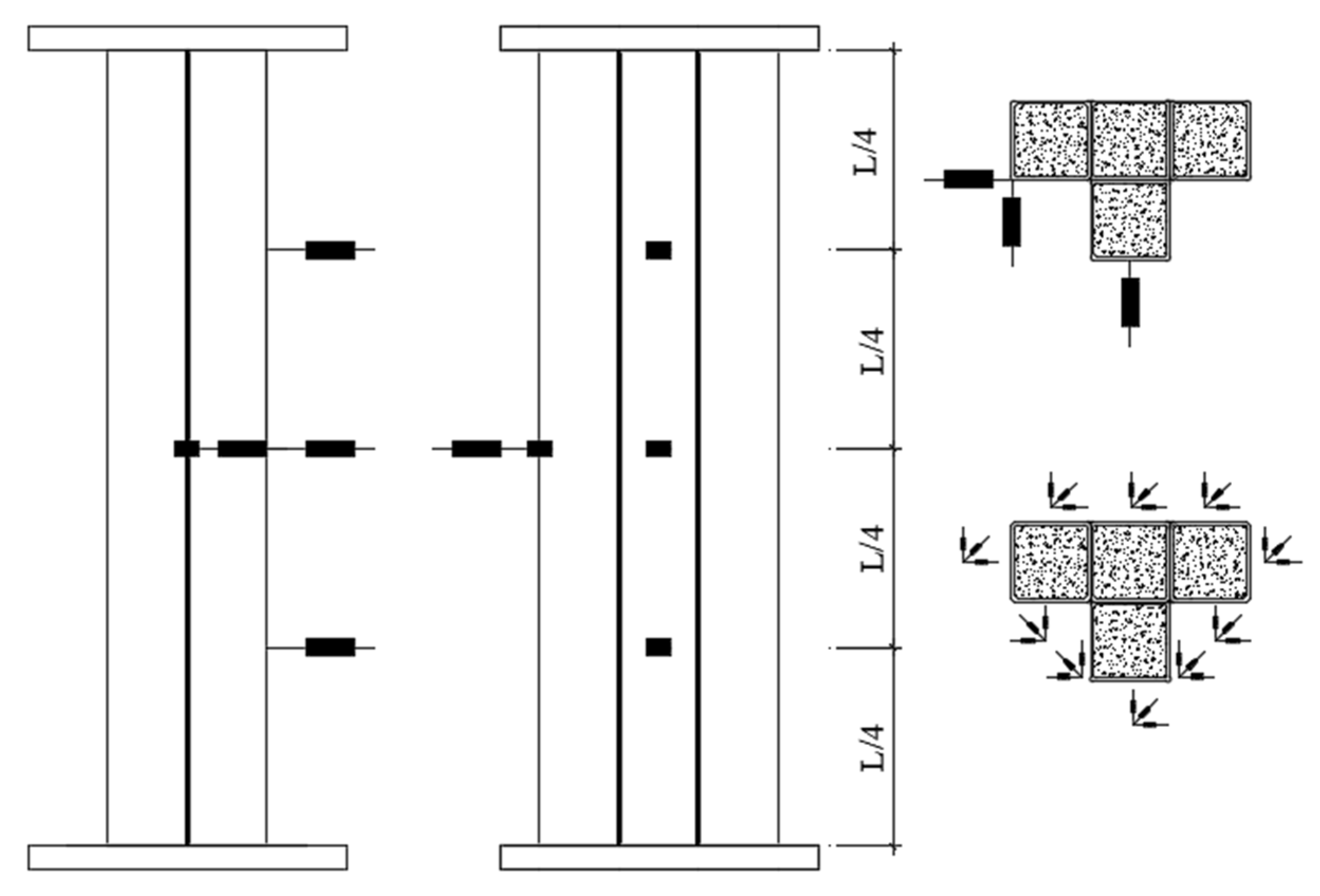
2.2. Test Loading and Measurement
3. Test Results and Discussion
3.1. General Observations and Failure Mode
3.2. The Ultimate Bearing Capacity of the Specimens
3.3. Load–Strain Curve
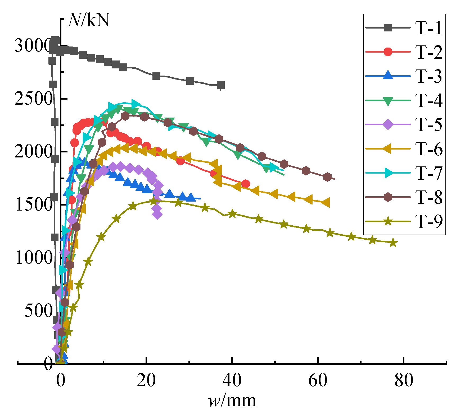
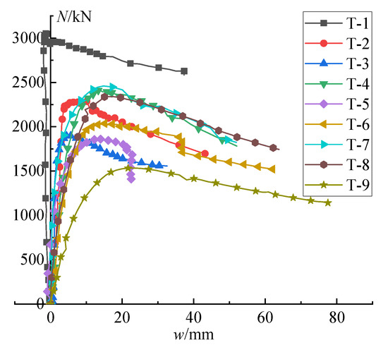
3.4. Load–Deflection Curve
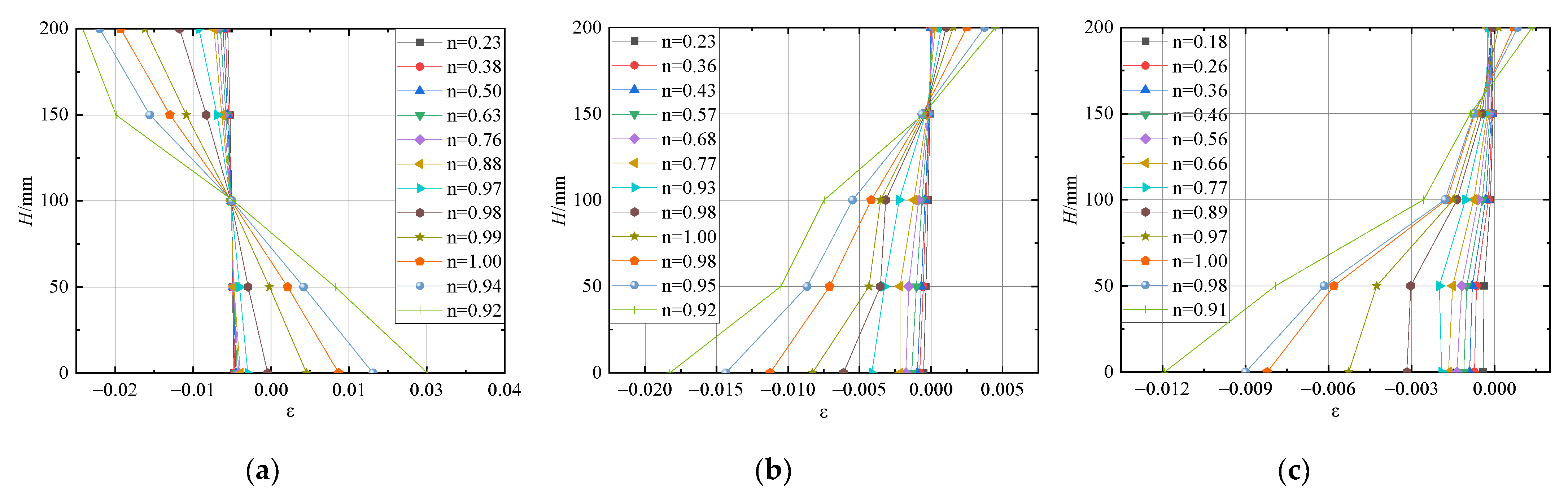
3.5. Strain Distribution of Section in the Column
3.6. Analysis of Test Parameters
3.7. Calculation of Bearing Capacity
4. Finite Element Modeling and Validation
4.1. Finite Element Modeling
4.2. Reliability Verification of FEM
4.3. Load–Strain Curve of FEM
4.4. Load–Deflection Curve of FEM
5. Conclusions
- The failure mode of the T-shaped short column specimen is mainly strength failure, and the long column specimen is mainly bending instability failure. The ultimate bearing capacity of the short column under eccentric compression is higher than that of the long column. The bending deformation of the specimen is similar to the sinusoidal half wave curve, and there is no torsional deformation. In the process of the eccentric compression failure of the T-shaped concrete-filled square steel tubular composite special-shaped column, the strain in the compression area is large, and the steel pipe wall in the compression area first begins to yield and enters the plastic stage, resulting in large bulging deformation and bending deformation.
- During the stress process of the specimen, the strain distribution on the section in the middle of the column is consistent with the plane section assumption. The compression area yields before the tension area. The deformation of tensile and compressive stress areas is relatively coordinated, the cooperative working performance of all parts of the specimen is good, and the specimen has good ductility.
- The eccentricity has the greatest influence on the mechanical properties of the specimen under bias pressure, followed by the eccentricity direction, and finally the specimen length. The influence of eccentricity and eccentricity direction on the mechanical properties of the specimen under bias pressure is more significant than the specimen length.
- The finite element calculation results are in good agreement with the experimental results. The simulated value of ultimate bearing capacity is basically consistent with the test value, and the failure mode of the finite element specimen model is also consistent with the test. The finite element calculation model of the T-shaped concrete-filled square steel tubular composite special-shaped column has good reliability and can be used as the basis of theoretical calculation and analysis.
- Comparing the calculation results and test results of six codes at home and abroad, it is found that the calculated values of the concrete-filled steel tubular bearing capacity formula recommended by DBJ / T13-51-2010 and AIJ are in good agreement with the test values, but the calculation results of DBJ / T13-51-2010 are less discrete.
Author Contributions
Funding
Institutional Review Board Statement
Informed Consent Statement
Data Availability Statement
Conflicts of Interest
References
- Shen, Z.; Lin, Z.; Luo, J.; Zhang, J.; Li, Y. Hysteretic behaviors of steel frames with concrete-filled L-shaped steel tubular columns. In Proceedings of the 3rd International Forum on New Progress in Structural Engineering, Shanghai, China, 4–6 November 2009. [Google Scholar]
- Lei, M.; Shen, Z.; Li, Y.; Luo, J. Analysis of behavior of concrete-filled T-shaped steel tube tall column subjected to uniaxial eccentric load. J. Tongji Univ. 2016, 44, 207–212. [Google Scholar] [CrossRef]
- Li, Z.; Cai, J.; Tan, Z.; Chen, D. Experimental study on mechanical properties of concrete filled anisotropic steel tubular columns with restrained tie rods. In Proceedings of the 10th National Academic Conference on Structural Engineering, Nanjing, China, 20–24 October 2001. [Google Scholar]
- Zuo, Z.; Cai, J.; Zhu, C. Experimental research on L-shape CFT stub columns with binding bars subjected to eccentric compression. J. Southeast Univ. 2010, 40, 346–351. [Google Scholar] [CrossRef]
- Wang, Y.; Yang, Y.; Zhang, S.; Liu, J. Experimental research on seismic behavior of T-shaped concrete-filled steel tube columns. In Proceedings of the 30th Anniversary of the Founding of the Journal of Building Structures and the Symposium on Basic Theory and Innovation of Building Structures, Shanghai, China, 28–31 May 2010. [Google Scholar] [CrossRef]
- Tu, Y.; Liu, L.; Ye, Y. Study on the properties of multi-cell T-shaped concrete-filled steel tubular intermediate long columns under axial load. China Civ. Eng. J. 2012, 45, 27–35. [Google Scholar] [CrossRef]
- Du, G.; Xu, L.; Xu, H.; Wen, F. Study on composite T-shaped concrete filled steel tubular columns under eccentric compression. J. Build. Struct. 2010, 31, 72–77. [Google Scholar] [CrossRef]
- Cao, B.; Dai, S.; Huang, J. Experimental study on axial compressive behavior of improved composite T-shaped concrete-filled steel tubular columns. J. Build. Struct. 2014, 35, 36–43. [Google Scholar] [CrossRef]
- Wang, Z.; Liu, Z.; Zhou, X. Experimental Investigation of Special-Shaped Concrete-Filled Square Steel Tube Composite Columns with Steel Hoops under Axial Loads. Materials 2022, 15, 4179. [Google Scholar] [CrossRef] [PubMed]
- Rong, B. Theoretical Analysis and Experimental Study on Concrete Filled Square Steel Tubular Composite Special-Shaped Columns; Tianjin University: Tianjin, China, 2009. [Google Scholar] [CrossRef]
- Zhou, T.; Xu, M.; Chen, Z.; Li, Y. Experimental study on biaxial eccentric compression stability of L-shaped special-shaped columns composed of concrete-filled square steel tube connected by steel plates. Build. Struct. 2018, 48, 82–86. [Google Scholar] [CrossRef] [Green Version]
- Zeghiche, J.; Chaoui, K. An experimental behaviour of concrete-filled steel tubular columns. J. Constr. Steel Res. 2005, 61, 53–66. [Google Scholar] [CrossRef]
- Ghannam, S. Buckling of Concrete-Filled steel tubular slender columns. Int. J. Res. Civ. Eng. Archit. Des. 2015, 3, 41–47. [Google Scholar]
- Ahiwale, D.; Khartode, R.; Bhapkar, A.; Narule, G.; Sharma, K. Influence of compressive load on concrete filled steel tubular column with variable thickness. Innov. Infrastruct. Solut. 2021, 6, 23. [Google Scholar] [CrossRef]
- Achuthan, P.; Prabhu, G.G.; Vimal Arokiaraj, G.G.; Sivanantham, P.A.; Suthagar, S. Axial Compression Performance of Concrete-Filled Steel Tubular Columns with Different D/t Ratios. Adv. Mater. Sci. Eng. 2022, 2022, 9170525. [Google Scholar] [CrossRef]
- Umamaheswari, N.; Arul Jayachandran, S. Experimental Investigation on Uniaxial Compressive Behaviour of Square Concrete Filled Steel Tubular Columns. In Advances in Structural Engineering; Springer: New Delhi, India, 2015; pp. 2087–2101. [Google Scholar] [CrossRef]
- Gupta, P.K.; Sarda, S.M.; Kumar, M.S. Experimental and computational study of concrete filled steel tubular columns under axial loads. J. Constr. Steel Res. 2007, 63, 182–193. [Google Scholar] [CrossRef]
- Phan, H.D. Numerical analysis of seismic behavior of square concrete filled steel tubular columns. J. Sci. Technol. Civ. Eng. 2021, 15, 127–140. [Google Scholar] [CrossRef]
- Saleh, S.M.; İhsan, A.L.A. Strength and behaviour assessment of axially loaded concrete filled steel tubular stub columns. Turk. J. Eng. 2021, 5, 154–164. [Google Scholar] [CrossRef]
- Jayalekshmi, S.; Sankar Jegadesh, J.S. Finite Element Analysis and Codal Recommendations of Concrete Filled Steel Tubular Columns. J. Inst. Eng. Ser. A 2016, 97, 33–41. [Google Scholar] [CrossRef]
- Heman, A.M.; Roshni, K.G. Numerical Study on Concrete-Filled Steel Tubes with Diagonal Binding Ribs and Longitudinal Stiffeners. In Recent Advances in Computational and Experimental Mechanics, Vol II; Springer: Singapore, 2022; pp. 15–24. [Google Scholar] [CrossRef]
- Bhartiya, R.; Sahoo, D.R. Prediction of axial compression behavior of rectangular RCFST columns with confining ties. J. Constr. Steel Res. 2021, 186, 106920. [Google Scholar] [CrossRef]
- Boukhalkhal, S.H.; Neves, L.F.D.C.; Madi, W. Dynamic behavior of concrete filled steel tubular columns. Int. J. Struct. Integr. 2019, 10, 244–264. [Google Scholar] [CrossRef]
- Lazkani, A. Behavior of Expansive Concrete-Filled Steel Tubular (Ecfst) Columns under Axial Loadings. 2016. Available online: https://scholarworks.uaeu.ac.ae/all_theses/316 (accessed on 23 September 2022).
- Tam, V.W.Y.; Tao, Z.; Evangelista, A. Performance of recycled aggregate concrete filled steel tubular (RACFST) stub columns with expansive agent. Constr. Build. Mater. 2021, 272, 121627. [Google Scholar] [CrossRef]
- Ahmad, S.; Kumar, K.; Kumar, A. Axial behaviour of steel tubes filled with concrete incorporating high-volume rubber. Innov. Infrastruct. Solut. 2022, 7, 148. [Google Scholar] [CrossRef]
- Mujdeci, A.; Bompa, D.; Elghazouli, A. Structural performance of composite steel rubberised concrete members under combined loading conditions. Ce/Papers 2021, 4, 641–647. [Google Scholar] [CrossRef]
- Esmaeili Niari, S.; Yaghoubi, S.; Akrami, V. Experimental study on the behavior of steel tubular columns filled with concrete containing iron filings. J. Struct. Constr. Eng. 2022, 9, 8. [Google Scholar]
- de Azevedo, V.D.S.; de Lima, L.R.; Vellasco, P.C.D.S.; Tavares, M.E.D.N.; Chan, T.M. Experimental investigation on recycled aggregate concrete filled steel tubular stub columns under axial compression. J. Constr. Steel Res. 2021, 187, 106930. [Google Scholar] [CrossRef]
- Malathy, R.; Mohanraj, E.K.; Kandasamy, S. Comparative study on behaviour of concrete-filled steel tubular columns using recycled aggregates. In Excellence in Concrete Construction through Innovation; CRC Press: Boca Raton, FL, USA, 2008; pp. 469–474. [Google Scholar] [CrossRef]
- Portolés, J.M.; Serra, E.; Romero, M.L. Influence of ultra-high strength infill in slender concrete-filled steel tubular columns. J. Constr. Steel Res. 2013, 86, 107–114. [Google Scholar] [CrossRef] [Green Version]
- Ding, F.; Ying, X.; Zhou, L.; Yu, Z. Unified calculation method and its application in determining the uniaxial mechanical properties of concrete. Front. Archit. Civ. Eng. China 2011, 5, 381–393. [Google Scholar] [CrossRef]
- AISC. Specification for Structural Steel Buildings; American Institute of Steel Construction Inc.: Chicago, CA, USA, 1999. [Google Scholar]
- BS 5400-5; Steel, Concrete and Composite Bridges, Part5: Code of Practice for Design of Composite Bridges. British Standards Institutions: London, UK, 1979.
- DD ENV 1994-1-1; Eurocode 4: Design of Composite Steel and Concrete Structures. Part 1.1: General Rules and Rules for Buildings. European Committee for Standardization: Brussels, Belgium, 1994.
- AIJ. Recommendations for Design and Construction of Concrete Filled Steel Tubular Structures; Architectural Institute of Japan: Tokyo, Japan, 1997. [Google Scholar]
- GB 50011-2010; Specification for Design and Construction of Concrete-Filled Steel Tubular Structures. China Planning Press: Beijing, China, 2010. (In Chinese)
- DBJ/T13-51-2010; Technical Specification for Concrete Filled Steel Tube Structure. Fujian Housing and Urban-Rural Development Department: Fuzhou, China, 2010. (In Chinese)
- Zhong, S. The Concrete-Filled Steel Tubular Structures; Tsinghua University Press: Beijing, China, 2003. (In Chinese) [Google Scholar]
- Ding, F.; Liu, J.; Liu, X.; Yu, Z.; Li, D. Mechanical behavior of circular and square concrete filled steel tube columns under local compression. Thin-Walled Struct. 2015, 94, 155–166. [Google Scholar] [CrossRef]
- GB50011-2010; Code for Seismic Design of Buildings. China Architecture & Building Press: Beijing, China, 2010. (In Chinese)









































| Specimen | t/mm | L/mm | e/mm | Eccentric Direction | λ |
|---|---|---|---|---|---|
| T-1 | 4 | 600 | 20 | x+ | 7 |
| T-2 | 4 | 600 | 40 | y+ | 10 |
| T-3 | 4 | 600 | 60 | y− | 10 |
| T-4 | 4 | 1500 | 20 | y+ | 25 |
| T-5 | 4 | 1500 | 40 | y− | 25 |
| T-6 | 4 | 1500 | 60 | x+ | 17 |
| T-7 | 4 | 1800 | 20 | y− | 29 |
| T-8 | 4 | 1800 | 40 | x+ | 20 |
| T-9 | 4 | 1800 | 60 | y+ | 29 |
| Specimen | Number | a0/mm | b0/mm | L0/mm | Lc/mm | r/mm | Collet Width | Lt/mm |
|---|---|---|---|---|---|---|---|---|
| 1–3 | 3 | 4 | 20 | 90 | 115 | 20 | 30 | 350 |
| Specimen | Thickness/mm | Width/mm | Yield Strength/MPa | Ultimate Strength/MPa | Elongation/% | Yield Strength Ratio |
|---|---|---|---|---|---|---|
| S1 | 4 | 20 | 335.38 | 423.77 | 18.26 | 0.791 |
| S2 | 4 | 20 | 349.63 | 421.13 | 20.87 | 0.830 |
| S3 | 4 | 20 | 348.00 | 427.75 | 19.13 | 0.814 |
| Group | Number of Test Blocks | Size of Test Blocks/mm | fcd/MPa | fcu/MPa | fc/MPa | Ec/MPa |
|---|---|---|---|---|---|---|
| 1 | 6 | 150 × 150 × 150 | 30 | 44.23 | 33.27 | 33,596.65 |
| 2 | 6 | 150 × 150 × 150 | 30 | 45.33 | 34.24 | 33,872.88 |
| Specimen | t/mm | L/mm | e/mm | Eccentric Direction | λ | Nue/kN |
|---|---|---|---|---|---|---|
| T-1 | 4 | 600 | 20 | x+ | 7 | 3058.00 |
| T-2 | 4 | 600 | 40 | y+ | 10 | 2290.90 |
| T-3 | 4 | 600 | 60 | Y− | 10 | 1898.70 |
| T-4 | 4 | 1500 | 20 | y+ | 25 | 2409.70 |
| T-5 | 4 | 1500 | 40 | y− | 25 | 1859.50 |
| T-6 | 4 | 1500 | 60 | x+ | 17 | 2036.30 |
| T-7 | 4 | 1800 | 20 | y− | 29 | 2459.50 |
| T-8 | 4 | 1800 | 40 | x+ | 20 | 2340.00 |
| T-9 | 4 | 1800 | 60 | y+ | 29 | 1534.30 |
| Specimen | L/mm | e/mm | Eccentric Direction | Nue/kN |
|---|---|---|---|---|
| T-1 | 600 | 20 | x+ | 3058.00 |
| T-2 | 600 | 40 | y+ | 2290.90 |
| T-3 | 600 | 60 | y− | 1898.70 |
| T-4 | 1500 | 20 | y+ | 2409.70 |
| T-5 | 1500 | 40 | y− | 1859.50 |
| T-6 | 1500 | 60 | x+ | 2036.30 |
| T-7 | 1800 | 20 | Y− | 2459.50 |
| T-8 | 1800 | 40 | x+ | 2340.00 |
| T-9 | 1800 | 60 | y+ | 1534.30 |
| K1 | 2415.867 | 2642.4 | 2478.1 | — |
| K2 | 2101.833 | 2163.467 | 2078.3 | — |
| K3 | 2111.267 | 1823.1 | 2072.567 | — |
| Range | 314.0333 | 819.3 | 405.5333 | — |
| Rank | 3 | 1 | 2 | 4 |
| Parameter Level | L/mm | e/mm | Eccentric Direction | Empty Column |
|---|---|---|---|---|
| 1 | 2416 | 2642 | 2478 | 2151 |
| 2 | 2102 | 2163 | 2078 | 2262 |
| 3 | 2111 | 1823 | 2073 | 2216 |
| Delta | 314 | 819 | 406 | 112 |
| Rank | 3 | 1 | 2 | 4 |
| Parameter | Degrees of Freedom | Adj SS | Adj MS | Value of F | Value of P |
|---|---|---|---|---|---|
| Length | 2 | 191,487 | 95,744 | 10.14 | 0.090 |
| Eccentricity | 2 | 101,6479 | 508,240 | 53.83 | 0.018 |
| Eccentric direction | 2 | 324,330 | 162,165 | 17.18 | 0.055 |
| Error | 2 | 18,882 | 9441 | — | — |
| Total | 8 | 1,551,178 | — | — | — |
| S = 97.1644 | R-sq = 98.78% | R-sq(adjusted) = 95.13% | 406 | 112 | — |
| Specimen | t/mm | L/mm | e/mm | λ | AISC η | DBJ η | BS5400 η | EC4 η | AIJ η | CECS η |
|---|---|---|---|---|---|---|---|---|---|---|
| T-1 | 4 | 600 | 20 | 7 | 0.718 | 1.018 | 0.821 | 0.904 | 0.948 | 1.149 |
| T-2 | 4 | 600 | 40 | 10 | 0.764 | 1.043 | 0.916 | 1.050 | 1.006 | 1.208 |
| T-3 | 4 | 600 | 60 | 10 | 0.760 | 1.035 | 0.956 | 0.844 | 1.011 | 1.202 |
| T-4 | 4 | 1500 | 20 | 25 | 0.922 | 1.033 | 0.976 | 1.096 | 1.059 | 1.190 |
| T-5 | 4 | 1500 | 40 | 25 | 0.941 | 0.974 | 1.042 | 1.165 | 1.109 | 1.270 |
| T-6 | 4 | 1500 | 60 | 17 | 0.693 | 0.994 | 0.838 | 0.786 | 0.861 | 1.014 |
| T-7 | 4 | 1800 | 20 | 29 | 0.903 | 0.999 | 0.935 | 1.057 | 0.985 | 1.105 |
| T-8 | 4 | 1800 | 40 | 20 | 0.734 | 1.035 | 0.846 | 1.040 | 0.880 | 0.957 |
| T-9 | 4 | 1800 | 60 | 29 | 0.941 | 0.921 | 1.043 | 0.946 | 1.084 | 1.269 |
| μ | — | — | — | — | 0.820 | 1.006 | 0.930 | 0.987 | 0.994 | 1.151 |
| σ | — | — | — | — | 0.098 | 0.037 | 0.079 | 0.118 | 0.081 | 0.102 |
| Specimen | L/mm | e/mm | Eccentric Direction | λ | Nuf/kN | Nue/kN | Nuf/Nue |
|---|---|---|---|---|---|---|---|
| T-1 | 600 | 20 | x+ | 7 | 3042.57 | 3058.00 | 0.99 |
| T-2 | 600 | 40 | y+ | 10 | 2348.86 | 2290.90 | 1.03 |
| T-3 | 600 | 60 | y− | 10 | 1818.53 | 1898.70 | 0.96 |
| T-4 | 1500 | 20 | y+ | 25 | 2583.20 | 2409.70 | 1.07 |
| T-5 | 1500 | 40 | y− | 25 | 1943.16 | 1859.50 | 1.04 |
| T-6 | 1500 | 60 | x+ | 17 | 1925.75 | 2036.30 | 0.95 |
| T-7 | 1800 | 20 | y− | 29 | 2358.61 | 2459.50 | 0.96 |
| T-8 | 1800 | 40 | x+ | 20 | 2205.27 | 2340.00 | 0.94 |
| T-9 | 1800 | 60 | y+ | 29 | 1574.10 | 1534.30 | 1.03 |
Publisher’s Note: MDPI stays neutral with regard to jurisdictional claims in published maps and institutional affiliations. |
© 2022 by the authors. Licensee MDPI, Basel, Switzerland. This article is an open access article distributed under the terms and conditions of the Creative Commons Attribution (CC BY) license (https://creativecommons.org/licenses/by/4.0/).
Share and Cite
Li, Q.; Liu, Z.; Zhou, X.; Wang, Z. Experimental Study and Finite Element Calculation of the Behavior of Special T-Shaped Composite Columns with Concrete-Filled Square Steel Tubulars under Eccentric Loads. Buildings 2022, 12, 1756. https://doi.org/10.3390/buildings12101756
Li Q, Liu Z, Zhou X, Wang Z. Experimental Study and Finite Element Calculation of the Behavior of Special T-Shaped Composite Columns with Concrete-Filled Square Steel Tubulars under Eccentric Loads. Buildings. 2022; 12(10):1756. https://doi.org/10.3390/buildings12101756
Chicago/Turabian StyleLi, Quan, Zhe Liu, Xuejun Zhou, and Zhen Wang. 2022. "Experimental Study and Finite Element Calculation of the Behavior of Special T-Shaped Composite Columns with Concrete-Filled Square Steel Tubulars under Eccentric Loads" Buildings 12, no. 10: 1756. https://doi.org/10.3390/buildings12101756
APA StyleLi, Q., Liu, Z., Zhou, X., & Wang, Z. (2022). Experimental Study and Finite Element Calculation of the Behavior of Special T-Shaped Composite Columns with Concrete-Filled Square Steel Tubulars under Eccentric Loads. Buildings, 12(10), 1756. https://doi.org/10.3390/buildings12101756

