Background to the Monolithicity Factors for the Assessment of Jacketed Reinforced Concrete Columns
Abstract
1. Introduction
- the jacketed element behaves monolithically, with full composite action between old and new concrete;
- the fact that axial load is originally applied to the old column alone is disregarded, and the full axial load is assumed to act on the jacketed element;
- the concrete properties of the jacket are assumed to apply over the full section of the element.
2. Overview of the Analytical Model for the Behaviour of Jacketed R/C Members
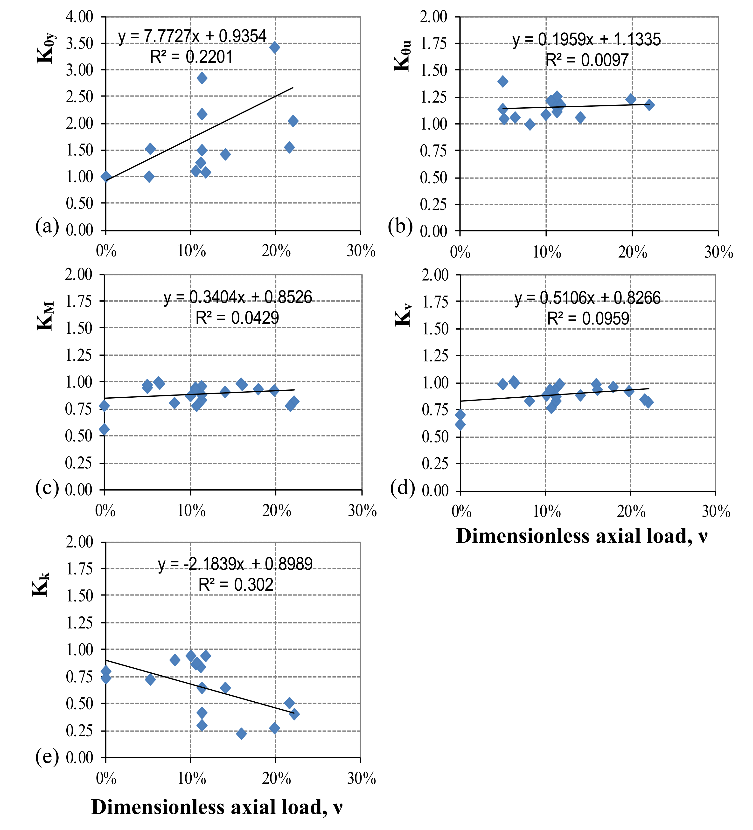
3. Monolithicity Factors Derived from Experimental Results
3.1. Experimental Database
3.2. Comparison between Experimental Values of the Monolithicity Factors and Code Values
3.3. Expressions Derived by Regression of Experimental Data
Kθu = 1.13 + 0.20·ν
KMy = 0.85 + 0.34·ν
KV = 0.83 + 0.51·ν
Kk = 0.90 − 2.18·ν
4. Monolithicity Factors Derived from Numerical Studies
4.1. Comparison between Numerically and Experimentally Derived Expressions
Kk = 0.83 − 0.64·ν
Kθy = 1.26 + 0.28·ν
Kθu = 1.00 + 7.20·ν
5. Conclusions and Finally Adopted Values
Author Contributions
Funding
Institutional Review Board Statement
Informed Consent Statement
Data Availability Statement
Acknowledgments
Conflicts of Interest
Appendix A. Symbols Used in the Experimental Database
| bc; bJ: | width of the existing and the jacketed cross section |
| Db,c; Db,J: | bar diameter of the core and the jacket longitudinal reinforcement, respectively |
| Dbs,c; Dbs,J: | bar diameter of the stirrups of the core and the jacket, respectively |
| dc; dJ: | depth of the existing and the jacketed cross section, respectively |
| fc,c; fc,J: | core and jacket concrete cylinder uniaxial compressive strength, respectively |
| fy,c; fy,J: | yield strength of the longitudinal reinforcement of the core and jacket, respectively |
| fyw,c; fyw,J: | yield strength of the transverse reinforcement of the core and jacket, respectively |
| hc; hJ: | height of the existing and the jacketed cross section, respectively |
| Ls: | shear span length |
| nc,mid; nJ,mid: | total number of web longitudinal reinforcement bars of the core and the jacket, respectively |
| nc; nJ: | total number of top and bottom longitudinal reinforcement bars of the core and the jacket, respectively |
| sc; sJ: | stirrup distance in the existing and jacketed cross section, respectively |
| ν: | dimensionless axial load % estimated as: N/(bchcfc,c+ (bJhJ−bchc)·fc,J) |
| ρc: | longitudinal reinforcement ratio of the existing cross section defined as Asc,tot/(bchc), where Asc,tot = (nc + nc,mid)Db,c2/4 |
| ρJ: | longitudinal reinforcement ratio of the jacketed cross section defined as AsJ,tot/(bJhJ − bchc), where AsJ,tot = (nJ + nJ,mid)Db,J2/4 |
| ρwc; ρwJ: | volumetric ratio of stirrups of the existing and the jacketed cross section, respectively |
Appendix B. Data for Parametric Study
| Parameters | Group 1 (250 mm × 250 mm) | Group 2 (250 mm × 250 mm) | Group 3 (300 mm × 300 mm) | Group 4 (300 mm × 300 mm) | Group 5 (300 mm × 300 mm) | Group 6 (400 mm × 400 mm) | |||||||||||||
|---|---|---|---|---|---|---|---|---|---|---|---|---|---|---|---|---|---|---|---|
| 1a | 1b | 1c | 2a | 2b | 2c | 3a | 3b | 3c | 4a | 4b | 4c | 5a | 5b | 5c | 6a | 6b | 6c | ||
| Jacket Thickness | 75 mm | √ | √ | √ | √ | √ | √ | √ | √ | √ | √ | ||||||||
| 100 mm | √ | √ | √ | √ | |||||||||||||||
| 125 mm | √ | √ | √ | √ | |||||||||||||||
| Core Concrete | B160 (10 MPa) | √ | √ | √ | √ | √ | √ | √ | √ | √ | √ | √ | √ | ||||||
| B225 (16 MPa) | |||||||||||||||||||
| C20/25 (28 MPa) | √ | √ | √ | √ | √ | √ | |||||||||||||
| C30/37 (38 MPa) | |||||||||||||||||||
| Core steel | StI | √ | √ | √ | √ | √ | √ | √ | √ | √ | |||||||||
| StI + StIII | √ | √ | √ | √ | √ | √ | √ | √ | √ | ||||||||||
| Jacket Concrete | C20/25 (28 MPa) | √ | √ | √ | √ | √ | √ | ||||||||||||
| C25/30 (33 MPa) | √ | ||||||||||||||||||
| C30/37 (38 MPa) | √ | √ | √ | √ | √ | √ | √ | √ | |||||||||||
| C50/60 (58 MPa) | √ | √ | √ | ||||||||||||||||
| Jacket Steel | B500C | √ | √ | √ | √ | √ | √ | √ | √ | √ | √ | √ | √ | √ | √ | √ | √ | √ | √ |
| ρJ | 1–4% | √ | √ | √ | √ | √ | √ | √ | √ | √ | √ | √ | √ | √ | √ | √ | √ | √ | √ |
| ν (%) | 10–40 | √ | √ | √ | √ | √ | √ | √ | √ | √ | √ | √ | √ | √ | √ | √ | √ | √ | √ |
| Parameters | Group 7 (400 mm × 400 mm) | Group 8 (500 mm × 500 mm) | Group 9 (500 mm × 500 mm) | Group 10 (200 mm × 400 mm) | Group 11 (200 mm × 400 mm) | Group 12 (200 mm × 400 mm) | |||||||||||||
| 7a | 7b | 7c | 8a | 8b | 8c | 9a | 9b | 9c | 10a | 10b | 10c | 11a | 11b | 11c | 12a | 12b | 12c | ||
| Jacket Thickness | 75 mm | √ | √ | √ | √ | √ | √ | √ | √ | ||||||||||
| 100 mm | √ | √ | √ | √ | √ | ||||||||||||||
| 125 mm | √ | √ | √ | √ | √ | ||||||||||||||
| Core Concrete | B160 (10 MPa) | √ | √ | √ | √ | √ | √ | √ | √ | √ | |||||||||
| B225 (16 MPa) | √ | √ | √ | √ | √ | √ | |||||||||||||
| C20/25 (28 MPa) | √ | ||||||||||||||||||
| C30/37 (38 MPa) | √ | √ | |||||||||||||||||
| Core steel | StI | √ | √ | √ | √ | √ | √ | √ | |||||||||||
| StIII | √ | √ | √ | √ | √ | √ | √ | √ | √ | √ | √ | ||||||||
| Jacket Concrete | C20/25 (28 MPa) | √ | √ | √ | |||||||||||||||
| C25/30 (33 MPa) | |||||||||||||||||||
| C30/37 (38 MPa) | √ | √ | √ | √ | √ | √ | √ | ||||||||||||
| C50/60 (58 MPa) | √ | √ | √ | √ | √ | √ | √ | √ | |||||||||||
| Jacket Steel | B500C | √ | √ | √ | √ | √ | √ | √ | √ | √ | √ | √ | √ | √ | √ | √ | √ | √ | √ |
| ρJ | 1–4% | √ | √ | √ | √ | √ | √ | √ | √ | √ | √ | √ | √ | √ | √ | √ | √ | √ | √ |
| ν (%) | 10–40 | √ | √ | √ | √ | √ | √ | √ | √ | √ | √ | √ | √ | √ | √ | √ | √ | √ | √ |
| Parameters | Group 13 (200 mm × 400 mm) | Group 14 (250 mm × 500 mm) | Group 15 (250 mm × 500 mm) | Group 16 (250 mm × 400 mm) | |||||||||||||||
| 13a | 13b | 13c | 14a | 14b | 14c | 15a | 15b | 15c | 16a | 16b | 16c | ||||||||
| Jacket Thickness | 75 mm | √ | √ | √ | √ | √ | √ | ||||||||||||
| 100 mm | √ | √ | √ | ||||||||||||||||
| 125 mm | √ | √ | √ | ||||||||||||||||
| Core Concrete | B160 (10 MPa) | √ | √ | √ | |||||||||||||||
| B225 (16 MPa) | √ | √ | √ | √ | √ | √ | |||||||||||||
| C20/25 (28 MPa) | √ | ||||||||||||||||||
| C30/37 (38 MPa) | √ | √ | |||||||||||||||||
| Core steel | StI | √ | √ | ||||||||||||||||
| StIII | √ | √ | √ | √ | √ | √ | √ | √ | √ | √ | |||||||||
| Jacket Concrete | C20/25 (28 MPa) | √ | √ | √ | √ | ||||||||||||||
| C25/30 (33 MPa) | |||||||||||||||||||
| C30/37 (38 MPa) | √ | √ | √ | √ | |||||||||||||||
| C50/60 (58 MPa) | √ | √ | √ | √ | |||||||||||||||
| Jacket Steel | B500C | √ | √ | √ | √ | √ | √ | √ | √ | √ | √ | √ | √ | ||||||
| ρJ | 1–4% | √ | √ | √ | √ | √ | √ | √ | √ | √ | √ | √ | √ | ||||||
| ν (%) | 10–40 | √ | √ | √ | √ | √ | √ | √ | √ | √ | √ | √ | √ | ||||||
References
- Rodriguez, M.; Park, R. Seismic load tests on reinforced concrete columns strengthened by jacketing. ACI Struct. J. 1994, 91, 150–159. [Google Scholar]
- Vandoros, K.G.; Dritsos, S.E. Interface treatment in shotcrete jacketing of reinforced concrete columns to improve seismic performance. J. Struct. Eng. Mech. 2006, 23, 43–61. [Google Scholar] [CrossRef]
- Bousias, S.; Biskinis, D.; Fardis, M.N.; Spathis, A.-L. Strength, stiffness, and cyclic deformation capacity of the concrete jacketed members. ACI Struct. J. 2007, 104, 521–531. [Google Scholar]
- CEN [Comité Européen de Normalisation]. Eurocode 8, Design of Structures for Earthquake Resistance, Part 3, Assessment and Retrofitting of Buildings (EN1998-3); European Committee for Standardization: Brussels, Belgium, 2005. [Google Scholar]
- EPPO [Earthquake Planning and Protection Organization of Greece]. Greek Code for Interventions (KANEPE); EPPO: Athens, Greece, 2013. [Google Scholar]
- Thermou, G.E.; Papanikolaou, V.K.; Kappos, A.J. Cyclic Response of R/C jacketed columns including modelling of the interface behaviour. In Proceedings of the 15th World Conference on Earthquake Engineering, Lisbon, Portugal, 24–28 September 2012. Paper No. 2855. [Google Scholar]
- Thermou, G.E.; Pantazopoulou, S.J.; Elnashai, A.S. Flexural behavior of brittle RC members rehabilitated with concrete jacketing. ASCE J. Struct. Eng. 2007, 133, 1373–1384. [Google Scholar] [CrossRef]
- Thermou, G.E.; Papanikolaou, V.K.; Kappos, A.J. Flexural behaviour of reinforced concrete jacketed members under reversed cyclic loading. Eng. Struct. 2014, 76, 270–282. [Google Scholar] [CrossRef]
- Minafò, G.; Di Trapani, F.; Amato, G. Strength and ductility of RC jacketed columns: A simplified analytical Method. Eng. Struct. 2016, 122, 184–195. [Google Scholar] [CrossRef]
- Kappos, A.J.; Thermou, G.E.; Papanikolaou, V.K. Investigation of the behaviour of old type R/C columns strengthened with R/C jackets. In Final Project Report; Earthquake Planning and Protection Organization: Athens, Greece, 2012. [Google Scholar]
- Gomes, A.M.; Appleton, J. Repair and strengthening of R.C. elements under cyclic loading. In Proceedings of the 11th European Conference on Earthquake Engineering, Paris, France, 6–11 September 1998. [Google Scholar]
- Ilki, A.; Darilmaz, K.; Bakan, I.; Zorbozan, M.; Yuksel, E.; Haruhan, S.; Karadogan, F. Jacketing of prefabricated columns. In Proceedings of the 2nd Japan-Turkey Workshop on Earthquake Engineering, Istanbul, Turkey, February 1998; pp. 329–336. [Google Scholar]
- Vandoros, K.G.; Dritsos, S.E. Axial preloading effects when reinforced concrete columns are strengthened by concrete. Prog. Struct. Eng. Mater. J. 2006, 8, 79–92. [Google Scholar] [CrossRef]
- Vandoros, K.G.; Dritsos, S.E. Concrete jacket construction detail effectiveness when strengthening R/C columns. Constr. Build. Mater. 2008, 22, 264–276. [Google Scholar] [CrossRef]
- Júlio, E.N.B.S.; Branco, F.A.B.; Silva, V.D. Reinforced concrete jacketing—Interface influence on monotonic loading response. ACI Struct. J. 2005, 102, 252–257. [Google Scholar]
- Bousias, S.; Spathis, A.-L.; Fardis, M.N. Concrete or FRP jacketing of columns with lap splices for seismic rehabilitation. J. Adv. Concr. Technol. 2006, 4, 431–444. [Google Scholar] [CrossRef]
- Bousias, S.; Spathis, A.-L.; Fardis, M.N. Seismic retrofitting of columns with lap-spliced smooth bars through FRP or Concrete Jackets. J. Earthq. Eng. 2007, 11, 653–674. [Google Scholar] [CrossRef]
- Júlio, E.N.B.S.; Branco, F.A.B. Reinforced concrete jacketing—Interface influence on cyclic loading response. ACI Struct. J. 2008, 105, 417–477. [Google Scholar]
- Papanikolaou, V.K.; Stefanidou, S.P.; Kappos, A.J. The Effect of Preloading on the Strength of Jacketed R/C Columns. Constrn. Build. Mater. 2013, 38, 54–63. [Google Scholar] [CrossRef][Green Version]
- Panagopoulos, G.; Kappos, A.J. BILIN, Software for the Bilinear Approximation of Force—Deformation Response Curves; Laboratory of Reinforced Concrete and Masonry Structures, Aristotle University of Thessaloniki: Thessaloniki, Greece, 2008. [Google Scholar]
- Thermou, G.E.; Papanikolaou, V.K.; Kappos, A.J. Monolithicity factors for the design of RC columns strengthened with RC jackets. In Proceedings of the 2nd European Conference on Earthquake Engineering and Seismology, Istanbul, Turkey, 24–29 August 2014. Paper No. 776. [Google Scholar]




| Existing Member | Jacket | ||
|---|---|---|---|
| bc (mm) | 200–350 | bJ (mm) | 260–550 |
| hc (mm) | 200–500 | hJ (mm) | 260–650 |
| Db,c (mm) | 10–20 | tJ (mm) | 30–100 |
| ρc (%) | 0.81–2.05 | Db,J (mm) | 10–20 |
| Dbs,c (mm) | 6–8 | ρJ (%) | 0.75–1.64 |
| sc (mm) | 50–265 | Dbs,J (mm) | 6–10 |
| ρwc (%) | 0.12–0.57 | sJ (mm) | 50–100 |
| fc,c (MPa) | 22.9–58.2 | ρwJ (%) | 0.20–0.79 |
| fy,c (MPa) | 313–550 | fc,J (MPa) | 7–68.7 |
| fyw,c (MPa) | 350–520 | fy,J (MPa) | 400–520 |
| Ls/hc | 3.2–11.7 | fyw,J (MPa) | 330–599 |
| Lap (db,c) | 15–45 | Ls/hJ | 2.5–7.0 |
| Ls (mm) | 1000–3500 | ||
| ν (%) | 0–23 | ||
| Reference | Kθy | Kθu | KMy | Kv | Kk |
|---|---|---|---|---|---|
| Gomes and Appleton [11] | 0.84 | 0.73, 1.07 | 0.99, 1.00 | 0.99, 1.00 | 1.18, 1.20 |
| Ilki et al. [12] | 0.77, 1.00 | 0.72, 0.92 | 0.57, 0.79 | 0.62, 0.70 | 0.74, 0.79 |
| Vandoros and Dritsos [2,13,14] | 1.49–4.54 | 0.75–1.26 | 0.78–0.99 | 0.82–0.98 | 0.22–0.64 |
| Júlio et al. [15] | - | - | 0.96–1.32 | - | - |
| Bousias et al. [3,16,17] | 0.26–1.41 | 0.88–1.21 | 0.79–1.06 | 0.76–1.02 | 0.64–3.65 |
| Júlio & Branco [18] | 0.71–1.53 | 0.97–1.41 | 0.98–1.13 | 0.98–1.17 | 0.72–1.56 |
| min/max | 0.26/4.54 | 0.72/1.40 | 0.57/1.32 | 0.62/1.17 | 0.22/3.65 |
| Mean * | 1.09 | 1.03 | 0.96 | 0.93 | 1.06 |
| Jacket Thickness | Core Concrete Strength | Jacket Long. Reinf. | KMy |
|---|---|---|---|
| tJ = 75 mm | fc,o < 20 MPa | ρJ = 1% | 0.87 − 0.81·ν |
| ρJ = 2% | 0.68 − 0.46·ν | ||
| fc,o > 20 MPa | ρJ = 1% | 0.96 − 0.74·ν | |
| ρJ = 2% | |||
| tJ = 125 mm | fc,o < 20 MPa | ρJ = 1% | 0.70 − 0.78·ν |
| ρJ = 2% | 0.55 − 0.49·ν |
| Jacket Thickness | Core Concrete Strength | Jacket Long. Reinf. | Kk |
|---|---|---|---|
| tJ = 75 mm | fc,o < 20 MPa | ρJ = 1% | 0.84 − 0.95·ν |
| ρJ = 2% | 0.69 − 0.50·ν | ||
| fc,o > 20 MPa | ρJ = 1% | 0.83 − 0.64·ν | |
| ρJ = 2% | |||
| tJ = 125 mm | fc,o < 20 MPa | ρJ = 1% | 0.57 − 0.70·ν |
| ρJ = 2% | 0.46 − 0.33·ν |
| Jacket Thickness | Core Concrete Strength | Jacket Long. Reinf. | Kθy |
|---|---|---|---|
| tJ = 75 mm | fc,o < 20 MPa | ρJ = 1% | 1.17 + 0.63·ν |
| ρJ = 2% | 1.16 | ||
| fc,o > 20 MPa | ρJ = 1% | 1.26 + 0.28·ν | |
| ρJ = 2% | 1.12 + 0.34·ν | ||
| tJ = 125 mm | fc,o < 20 MPa | ρJ = 1% | 1.50 |
| ρJ = 2% | 1.62 − 1.09·ν |
| Jacket Thickness | Core Concrete Strength | Jacket Long. Reinf. | Kθu |
|---|---|---|---|
| tJ = 75 mm | fc,o < 20 MPa | ρJ = 1% | 1.00 + 7.20·ν |
| ρJ = 2% | |||
| fc,o > 20 MPa | ρJ = 1% | ||
| ρJ = 2% | 1.13 + 8.01·ν | ||
| tJ = 125 mm | fc,o < 20 MPa | ρJ = 1% | 1.24 + 8.24·ν |
| ρJ = 2% | 1.48 + 7.77·ν |
Publisher’s Note: MDPI stays neutral with regard to jurisdictional claims in published maps and institutional affiliations. |
© 2022 by the authors. Licensee MDPI, Basel, Switzerland. This article is an open access article distributed under the terms and conditions of the Creative Commons Attribution (CC BY) license (https://creativecommons.org/licenses/by/4.0/).
Share and Cite
Thermou, G.E.; Kappos, A.J. Background to the Monolithicity Factors for the Assessment of Jacketed Reinforced Concrete Columns. Buildings 2022, 12, 55. https://doi.org/10.3390/buildings12010055
Thermou GE, Kappos AJ. Background to the Monolithicity Factors for the Assessment of Jacketed Reinforced Concrete Columns. Buildings. 2022; 12(1):55. https://doi.org/10.3390/buildings12010055
Chicago/Turabian StyleThermou, Georgia E., and Andreas J. Kappos. 2022. "Background to the Monolithicity Factors for the Assessment of Jacketed Reinforced Concrete Columns" Buildings 12, no. 1: 55. https://doi.org/10.3390/buildings12010055
APA StyleThermou, G. E., & Kappos, A. J. (2022). Background to the Monolithicity Factors for the Assessment of Jacketed Reinforced Concrete Columns. Buildings, 12(1), 55. https://doi.org/10.3390/buildings12010055
