Transport Properties and Resistance Improvement of Ultra-High Performance Concrete (UHPC) after Exposure to Elevated Temperatures
Abstract
:1. Introduction
2. Materials and Experiments
2.1. Mix Proportions and Specimen Preparation
2.2. Compressive Strength and Ultrasonic Pulse Velocity Determination
2.3. Water Absorption and Chloride Diffusion Test
2.4. Microstructure Property Test
3. Results and Discussion
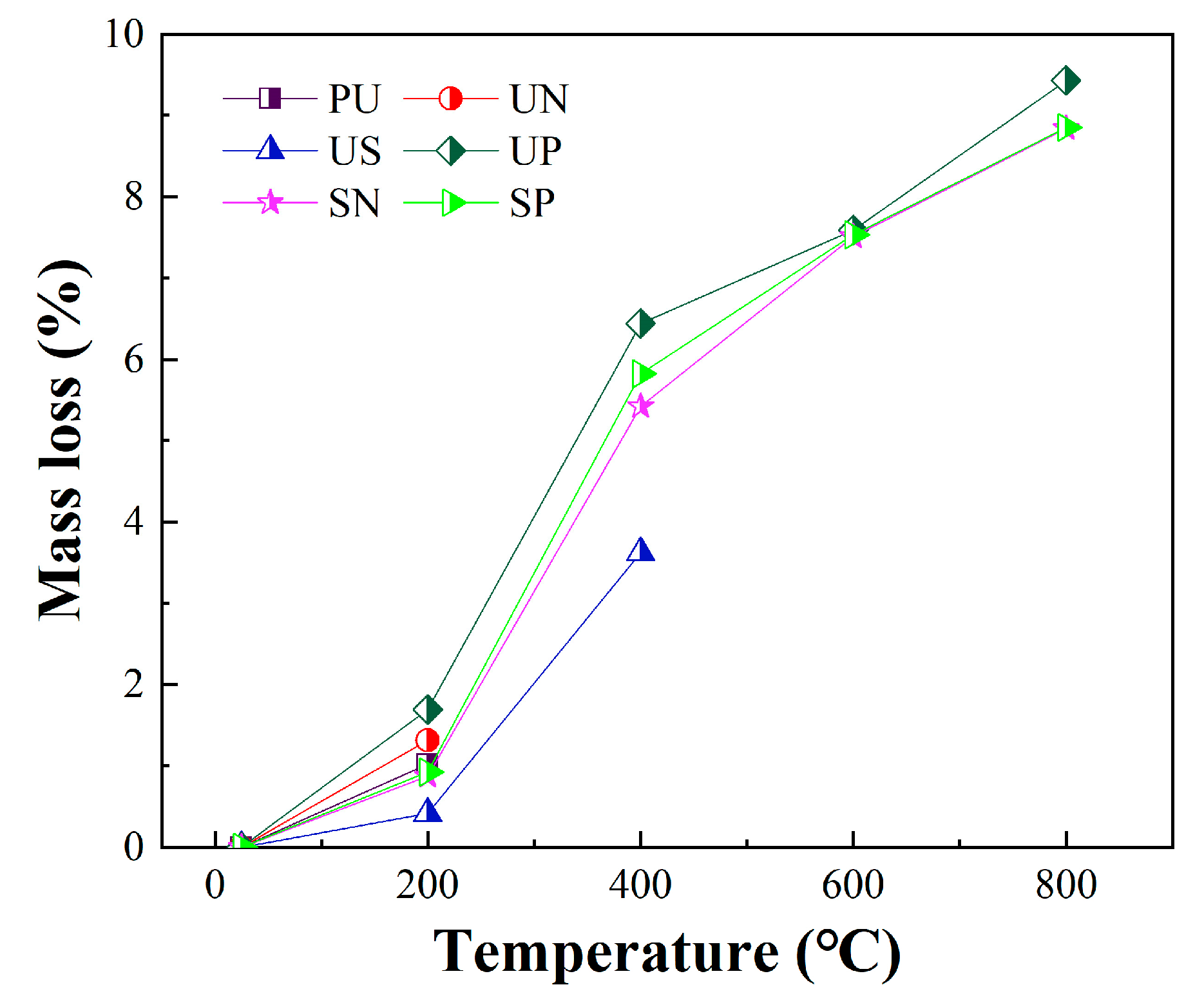
3.1. Appearance and Weight Loss
3.2. Mechanical Properties
3.3. Transport Properties
3.4. Microstructure Properties
3.4.1. XRD
3.4.2. MIP
3.4.3. SEM
3.5. Property Enhancement and Improvement
3.5.1. Mechanical Properties
3.5.2. Transport Properties
3.5.3. Self-Healing Products
4. Conclusions
Author Contributions
Funding
Institutional Review Board Statement
Informed Consent Statement
Data Availability Statement
Conflicts of Interest
References
- Bajaber, M.A.; Hakeem, I.Y. UHPC evolution, development, and utilization in construction: A review. J. Mater. Res. Technol. 2021, 10, 1058–1074. [Google Scholar] [CrossRef]
- Shi, C.J.; Wu, Z.M.; Xiao, J.F.; Wang, D.H.; Huang, Z.Y.; Fang, Z. A review on ultra high performance concrete: Part I. Raw materials and mixture design. Constr. Build. Mater. 2015, 101, 741–751. [Google Scholar] [CrossRef]
- Yoo, D.Y.; Yoon, Y.S. A Review on Structural Behavior, Design, and Application of Ultra-High-Performance Fiber-Reinforced Concrete. Int. J. Concr. Struct. M. 2016, 10, 125–142. [Google Scholar] [CrossRef] [Green Version]
- Liu, J.C.; Tan, K.H. Fire resistance of ultra-high performance strain hardening cementitious composite: Residual mechanical properties and spalling resistance. Cement. Concr. Comp. 2018, 89, 62–75. [Google Scholar] [CrossRef]
- Missemer, L.; Ouedraogo, E.; Malecot, Y.; Clergue, C.; Rogat, D. Fire spalling of ultra-high performance concrete: From a global analysis to microstructure investigations. Cement. Concr. Res. 2019, 115, 207–219. [Google Scholar] [CrossRef]
- Kodur, V.; Banerji, S. Modeling the fire-induced spalling in concrete structures incorporating hydro-thermo-mechanical stresses. Cement. Concr. Comp. 2021, 117, 103902. [Google Scholar] [CrossRef]
- Dwaikat, M.B.; Kodur, V.K.R. Fire Induced Spalling in High Strength Concrete Beams. Fire Technol. 2010, 46, 251–274. [Google Scholar] [CrossRef]
- Kodur, V.K.R.; Phan, L. Critical factors governing the fire performance of high strength concrete systems. Fire Saf. J. 2007, 42, 482–488. [Google Scholar] [CrossRef]
- Park, J.J.; Yoo, D.Y.; Kim, S.; Kim, S.W. Benefits of synthetic fibers on the residual mechanical performance of UHPFRC after exposure to ISO standard fire. Cement. Concr. Comp. 2019, 104, 103401. [Google Scholar] [CrossRef]
- Zheng, W.Z.; Li, H.Y.; Wang, Y. Compressive behaviour of hybrid fiber-reinforced reactive powder concrete after high temperature. Mater. Des. 2012, 41, 403–409. [Google Scholar] [CrossRef]
- Hannawi, K.; Bian, H.; Prince-Agbodjan, W.; Raghavan, B. Effect of different types of fibers on the microstructure and the mechanical behavior of Ultra-High Performance Fiber-Reinforced Concretes. Compos. Part B-Eng. 2016, 86, 214–220. [Google Scholar] [CrossRef] [Green Version]
- Bentz, D.P. Fibers, percolation, and spalling of high-performance concrete. ACI Mater. J. 2000, 97, 351–359. [Google Scholar]
- Chen, Q.; Zhu, Z.Y.; Ma, R.; Jiang, Z.W.; Zhang, Y.; Zhu, H.H. Insight into the Mechanical Performance of the UHPC Repaired Cementitious Composite System after Exposure to High Temperatures. Materials 2021, 14, 4095. [Google Scholar] [CrossRef] [PubMed]
- Yang, J.; Peng, G.F.; Zhao, J.; Shui, G.S. On the explosive spalling behavior of ultra-high performance concrete with and without coarse aggregate exposed to high temperature. Constr. Build. Mater. 2019, 226, 932–944. [Google Scholar] [CrossRef]
- Li, Y.; Pimienta, P.; Pinoteau, N.; Tan, K.H. Effect of aggregate size and inclusion of polypropylene and steel fibers on explosive spalling and pore pressure in ultra-high-performance concrete (UHPC) at elevated temperature. Cement. Concr. Comp. 2019, 99, 62–71. [Google Scholar] [CrossRef]
- Li, Y.; Tan, K.H.; Yang, E.H. Influence of aggregate size and inclusion of polypropylene and steel fibers on the hot permeability of ultra-high performance concrete (UHPC) at elevated temperature. Constr. Build. Mater. 2018, 169, 629–637. [Google Scholar] [CrossRef]
- Wang, D.H.; Shi, C.J.; Wu, Z.M.; Xiao, J.F.; Huang, Z.Y.; Fang, Z. A review on ultra high performance concrete: Part II. Hydration, microstructure and properties. Constr. Build. Mater. 2015, 96, 368–377. [Google Scholar] [CrossRef]
- Wang, C.; Yang, C.H.; Liu, F.; Wan, C.J.; Pu, X.C. Preparation of Ultra-High Performance Concrete with common technology and materials. Cement. Concr. Comp. 2012, 34, 538–544. [Google Scholar] [CrossRef]
- Wang, C.L.; Xue, G.J.; Zhao, X.B. Influence of Fiber Shape and Volume Content on the Performance of Reactive Powder Concrete (RPC). Buildings 2021, 11, 286. [Google Scholar] [CrossRef]
- Abid, M.; Hou, X.M.; Zheng, W.Z.; Hussain, R.R. High temperature and residual properties of reactive powder concrete-A review. Constr. Build. Mater. 2017, 147, 339–351. [Google Scholar] [CrossRef]
- Tai, Y.S.; Pan, H.H.; Kung, Y.N. Mechanical properties of steel fiber reinforced reactive powder concrete following exposure to high temperature reaching 800 °C. Nucl. Eng. Des. 2011, 241, 2416–2424. [Google Scholar] [CrossRef]
- Ahmad, S.; Rasul, M.; Adekunle, S.K.; Al-Dulaijan, S.U.; Maslehuddin, M.; Ali, S.I. Mechanical properties of steel fiber-reinforced UHPC mixtures exposed to elevated temperature: Effects of exposure duration and fiber content. Compos. Part B-Eng. 2019, 168, 291–301. [Google Scholar] [CrossRef]
- Li, Y.; Tan, K.H.; Yang, E.H. Synergistic effects of hybrid polypropylene and steel fibers on explosive spalling prevention of ultra-high performance concrete at elevated temperature. Cement. Concr. Comp. 2019, 96, 174–181. [Google Scholar] [CrossRef]
- Ozawa, M.; Parajuli, S.S.; Uchida, Y.; Zhou, B. Preventive effects of polypropylene and jute fibers on spalling of UHPC at high temperatures in combination with waste porous ceramic fine aggregate as an internal curing material. Constr. Build. Mater. 2019, 206, 219–225. [Google Scholar] [CrossRef]
- Liang, X.W.; Wu, C.Q.; Su, Y.; Chen, Z.; Li, Z.X. Development of ultra-high performance concrete with high fire resistance. Constr. Build. Mater. 2018, 179, 400–412. [Google Scholar] [CrossRef]
- Yang, L.; Liu, G.J.; Gao, D.Y.; Zhang, C.X. Experimental study on water absorption of unsaturated concrete: W/c ratio, coarse aggregate and saturation degree. Constr. Build. Mater. 2021, 272, 121945. [Google Scholar] [CrossRef]
- Cantero, B.; del Bosque, I.F.S.; Matias, A.; de Rojas, M.I.S.; Medina, C. Water transport mechanisms in concretes bearing mixed recycled aggregates. Cement. Concr. Comp. 2020, 107, 103486. [Google Scholar] [CrossRef]
- Bao, J.W.; Li, S.G.; Zhang, P.; Xue, S.B.; Cui, Y.F.; Zhao, T.J. Influence of exposure environments and moisture content on water repellency of surface impregnation of cement-based materials. J. Mater. Res. Technol. 2020, 9, 12115–12125. [Google Scholar] [CrossRef]
- Poon, C.S.; Azhar, S.; Anson, M.; Wong, Y.L. Comparison of the strength and durability performance of normal- and high-strength pozzolanic concretes at elevated temperatures. Cement. Concr. Res. 2001, 31, 1291–1300. [Google Scholar] [CrossRef]
- Nadeem, A.; Memon, S.A.; Lo, T.Y. Mechanical performance, durability, qualitative and quantitative analysis of microstructure of fly ash and Metakaolin mortar at elevated temperatures. Constr. Build. Mater. 2013, 38, 338–347. [Google Scholar] [CrossRef]
- Sideris, K.K.; Manita, P. Residual mechanical characteristics and spalling resistance of fiber reinforced self-compacting concretes exposed to elevated temperatures. Constr. Build. Mater. 2013, 41, 296–302. [Google Scholar] [CrossRef]
- Guo, J.Y.; Wang, J.Y.; Wu, K. Effects of self-healing on tensile behavior and air permeability of high strain hardening UHPC. Constr. Build. Mater. 2019, 204, 342–356. [Google Scholar] [CrossRef]
- Beglarigale, A.; Eyice, D.; Tutkun, B.; Yazici, H. Evaluation of enhanced autogenous self-healing ability of UHPC mixtures. Constr. Build. Mater. 2021, 280, 122524. [Google Scholar] [CrossRef]
- Jiang, J.Y.; Zheng, X.J.; Wu, S.P.; Liu, Z.Y.; Zheng, Q. Nondestructive experimental characterization and numerical simulation on self-healing and chloride ion transport in cracked ultra-high performance concrete. Constr. Build. Mater. 2019, 198, 696–709. [Google Scholar] [CrossRef]
- Kim, S.; Yoo, D.Y.; Kim, M.J.; Banthia, N. Self-healing capability of ultra-high-performance fiber-reinforced concrete after exposure to cryogenic temperature. Cement. Concr. Comp. 2019, 104, 103335. [Google Scholar] [CrossRef]
- Li, Y. Effect of post-fire curing and silica fume on permeability of ultra-high performance concrete. Constr. Build. Mater. 2021, 290, 123175. [Google Scholar] [CrossRef]
- Zhang, D.S.; Yang, Q.N.; Mao, M.J.; Li, J.B. Carbonation performance of concrete with fly ash as fine aggregate after stress damage and high temperature exposure. Constr. Build. Mater. 2020, 242, 118125. [Google Scholar] [CrossRef]
- Wroblewski, R.; Stawiski, B. Ultrasonic Assessment of the Concrete Residual Strength after a Real Fire Exposure. Buildings 2020, 10, 154. [Google Scholar] [CrossRef]
- Ma, Z.M.; Yao, P.P.; Yang, D.Y.; Shen, J.S. Effects of fire-damaged concrete waste on the properties of its preparing recycled aggregate, recycled powder and newmade concrete. J. Mater. Res. Technol. 2021, 15, 1030–1045. [Google Scholar] [CrossRef]
- Wu, H.X.; Yang, D.Y.; Xu, J.G.; Liang, C.F.; Ma, Z.M. Water transport and resistance improvement for the cementitious composites with eco-friendly powder from various concrete wastes. Constr. Build. Mater. 2021, 290, 123247. [Google Scholar] [CrossRef]
- Bao, J.W.; Xue, S.B.; Zhang, P.; Dai, Z.Z.; Cui, Y.F. Coupled effects of sustained compressive loading and freeze-thaw cycles on water penetration into concrete. Struct. Concr. 2020, 22, E944–E954. [Google Scholar] [CrossRef]
- Zhang, P.; Wittmann, F.H.; Vogel, M.; Muller, H.S.; Zhao, T.J. Influence of freeze-thaw cycles on capillary absorption and chloride penetration into concrete. Cement. Concr. Res. 2017, 100, 60–67. [Google Scholar] [CrossRef]
- Wu, H.X.; Xiao, J.Z.; Liang, C.F.; Ma, Z.M. Properties of Cementitious Materials with Recycled Aggregate and Powder Both from Clay Brick Waste. Buildings 2021, 11, 119. [Google Scholar] [CrossRef]
- Elfmarkova, V.; Spiesz, P.; Brouwers, H.J.H. Determination of the chloride diffusion coefficient in blended cement mortars. Cement. Concr. Res. 2015, 78, 190–199. [Google Scholar] [CrossRef] [Green Version]
- Ferdosian, I.; Camoes, A. Mechanical performance and post-cracking behavior of self-compacting steel-fiber reinforced eco-efficient ultra-high performance concrete. Cement. Concr. Comp. 2021, 121, 104050. [Google Scholar] [CrossRef]
- Soltanzadeh, F.; Cunha, V.M.C.F.; Barros, J.A.O. Assessment of different methods for characterization and simulation of post-cracking behavior of self-compacting steel fiber reinforced concrete. Constr. Build. Mater. 2019, 227, 116704. [Google Scholar] [CrossRef]
- Sanchayan, S.; Foster, S.J. High temperature behaviour of hybrid steel-PVA fibre reinforced reactive powder concrete. Mater. Struct. 2016, 49, 769–782. [Google Scholar] [CrossRef]
- Gong, J.Q.; Deng, G.Q.; Shan, B. Performance evaluation of RPC exposed to high temperature combining ultrasonic test: A case study. Constr. Build. Mater. 2017, 157, 194–202. [Google Scholar] [CrossRef]
- Wang, D.; Yang, P.; Hou, P.K.; Zhang, L.N.; Zhou, Z.H.; Cheng, X. Effect of SiO2 oligomers on water absorption of cementitious materials. Cement. Concr. Res. 2016, 87, 22–30. [Google Scholar] [CrossRef]
- Zhang, D.; Dasari, A.; Tan, K.H. On the mechanism of prevention of explosive spalling in ultra-high performance concrete with polymer fibers. Cement. Concr. Res. 2018, 113, 169–177. [Google Scholar] [CrossRef]
- Liu, P.; Cui, S.G.; Li, Z.H.; Xu, X.F.; Guo, C. Influence of surrounding rock temperature on mechanical property and pore structure of concrete for shotcrete use in a hot-dry environment of high-temperature geothermal tunnel. Constr. Build. Mater. 2019, 207, 329–337. [Google Scholar] [CrossRef]
- Bangi, M.R.; Horiguchi, T. Pore pressure development in hybrid fibre-reinforced high strength concrete at elevated temperatures. Cement. Concr. Res. 2011, 41, 1150–1156. [Google Scholar] [CrossRef] [Green Version]
- Peng, G.F.; Niu, X.J.; Shang, Y.J.; Zhang, D.P.; Chen, X.W.; Ding, H. Combined curing as a novel approach to improve resistance of ultra-high performance concrete to explosive spalling under high temperature and its mechanical properties. Cement. Concr. Res. 2018, 109, 147–158. [Google Scholar] [CrossRef]
- Zhang, X.J.; Fan, X.D.; Li, M.; Samia, A.; Yu, X. Study on the behaviors of fungi-concrete surface interactions and theoretical assessment of its potentials for durable concrete with fungal-mediated self-healing. J. Clean. Prod. 2021, 292, 125870. [Google Scholar] [CrossRef]
- Legodi, M.A.; de Waal, D.; Potgieter, J.H.; Potgieter, S.S. Rapid determination of CaCO3 in mixtures utilising FT-IR spectroscopy. Miner. Eng. 2001, 14, 1107–1111. [Google Scholar] [CrossRef]





















| Binder | Main Oxide Types (%) | ||||
|---|---|---|---|---|---|
| SiO2 | Al2O3 | Fe2O3 | CaO | MgO | |
| Cement | 19.70 | 4.45 | 2.93 | 63.62 | 1.28 |
| Fly ash | 52.92 | 23.17 | 5.14 | 9.82 | 3.02 |
| Silica fume | 87.21 | 0.43 | 3.02 | 1.19 | 1.97 |
| Fiber | Density (g/cm3) | Diameter (μm) | Length (mm) | Tensile Strength (MPa) | Elasticity Modulus (GPa) |
|---|---|---|---|---|---|
| Steel | 7.80 | 200.00 | 12.00 | 2100.00 | 210.00 |
| PP | 0.91 | 31.12 | 12.00 | 510.42 | 4.65 |
| PAN | 1.18 | 11.69 | 12.00 | 624.73 | 11.48 |
| No. | Raw Material (kg/m3) | Fiber Content (%) | |||||||
|---|---|---|---|---|---|---|---|---|---|
| Cement | Fly Ash | Silica Fume | River Sand | Artificial Sand | Coarse Aggregate | Steel | PP | PAN | |
| PU | 630.00 | 180.00 | 90.00 | 476.00 | 84.00 | 742.33 | — | — | — |
| UP | 630.00 | 180.00 | 90.00 | 476.00 | 84.00 | 742.33 | — | 0.30 | — |
| UN | 630.00 | 180.00 | 90.00 | 476.00 | 84.00 | 742.33 | — | — | 0.30 |
| US | 630.00 | 180.00 | 90.00 | 476.00 | 84.00 | 742.33 | 1.00 | — | — |
| SP | 630.00 | 180.00 | 90.00 | 476.00 | 84.00 | 742.33 | 1.00 | 0.30 | — |
| SN | 630.00 | 180.00 | 90.00 | 476.00 | 84.00 | 742.33 | 1.00 | — | 0.30 |
| T (°C) | PU | US | UP | SP |
|---|---|---|---|---|
| 25 | 95.89 | 77.87 | 55.92 | 64.30 |
| 200 | 168.17 | 128.81 | 95.20 | 146.48 |
| 400 | — | 1040.40 | 880.87 | 969.67 |
| 600 | — | — | 5367.46 | 7364.33 |
| 800 | — | — | 16,868.97 | 16,337.68 |
| Environment | 200 °C | 400 °C | 800 °C |
|---|---|---|---|
| None—0 d | 95.20 | 880.87 | 1,6868.97 |
| Clean water—28 d | 66.64 | 148.25 | 1730.56 |
| 5% Na2SO4 solution—28 d | 69.80 | 296.89 | 5166.73 |
Publisher’s Note: MDPI stays neutral with regard to jurisdictional claims in published maps and institutional affiliations. |
© 2021 by the authors. Licensee MDPI, Basel, Switzerland. This article is an open access article distributed under the terms and conditions of the Creative Commons Attribution (CC BY) license (https://creativecommons.org/licenses/by/4.0/).
Share and Cite
Qian, Y.; Yang, D.; Xia, Y.; Gao, H.; Ma, Z. Transport Properties and Resistance Improvement of Ultra-High Performance Concrete (UHPC) after Exposure to Elevated Temperatures. Buildings 2021, 11, 416. https://doi.org/10.3390/buildings11090416
Qian Y, Yang D, Xia Y, Gao H, Ma Z. Transport Properties and Resistance Improvement of Ultra-High Performance Concrete (UHPC) after Exposure to Elevated Temperatures. Buildings. 2021; 11(9):416. https://doi.org/10.3390/buildings11090416
Chicago/Turabian StyleQian, Yunfeng, Dingyi Yang, Yanghao Xia, Han Gao, and Zhiming Ma. 2021. "Transport Properties and Resistance Improvement of Ultra-High Performance Concrete (UHPC) after Exposure to Elevated Temperatures" Buildings 11, no. 9: 416. https://doi.org/10.3390/buildings11090416
APA StyleQian, Y., Yang, D., Xia, Y., Gao, H., & Ma, Z. (2021). Transport Properties and Resistance Improvement of Ultra-High Performance Concrete (UHPC) after Exposure to Elevated Temperatures. Buildings, 11(9), 416. https://doi.org/10.3390/buildings11090416
