Next Article in Journal
Steady-State Hydraulic Analysis of High-Rise Building Wastewater Drainage Networks: Modelling Basis
Next Article in Special Issue
Evaluating the Effect of External Horizontal Fixed Shading Devices’ Geometry on Internal Air Temperature, Daylighting and Energy Demand in Hot Dry Climate. Case Study of Ghardaïa, Algeria
Previous Article in Journal
Comparison of Wind Tunnel Test Data for Low-Rise Buildings with Main Wind Force Resisting System Design Procedures
Previous Article in Special Issue
A Critical Success Factor Framework for Implementing Sustainable Innovative and Affordable Housing: A Systematic Review and Bibliometric Analysis
 
 
Font Type:
Arial Georgia Verdana
Font Size:
Aa Aa Aa
Line Spacing:
Column Width:
Background:
Article

Can Underground Buildings Be Beneficial in Hot Regions? An Investigation of Field Measurements in On-Site Built Underground Construction

1
Department of Civil Engineering, College of Engineering, Taif University, P.O. Box 11099, Taif 21944, Saudi Arabia
2
Prince Sattam bin Abdulaziz University, College of Engineering, Department of Civil Engineering, Alkharj 16273, Saudi Arabia
3
University of Tunis El Manar, National Engineering School of Tunis, Civil Engineering Laboratory, BP 37, Tunis-Belvédère 1002, Tunisia
4
Department of Mechanical Engineering, College of Engineering, Taif University, P.O. Box 11099, Taif 21944, Saudi Arabia
*
Author to whom correspondence should be addressed.
Buildings 2021, 11(8), 341; https://doi.org/10.3390/buildings11080341
Submission received: 7 July 2021 / Revised: 30 July 2021 / Accepted: 4 August 2021 / Published: 8 August 2021
(This article belongs to the Collection Sustainable Buildings in the Built Environment)

Abstract

:
Globally, there has been a remarkable growth in the number of underground constructions (UGC) such as railways, offices, hospitals and shopping malls. This expansion is a result of urban area extensions that are limited by the availability of buildable land. Underground construction can also be used to protect people from the harshness of the outdoor conditions. The aim of this research is to investigate the impact of underground construction in hot regions. The major issue with most of the current UGC is the lack of natural ventilation and daylight. This has a clear negative impact on the user’s perception and comfort. The new design elevates the external walls to place some of the windows above ground for the purpose of natural ventilation and providing a view. The study conducted an experiment using an underground room enhanced with field measurements to ascertain the indoor temperature as well as relative humidity. In addition, the study used an energy simulation to calculate building heat transfer and solar heat gain. It was revealed that the use of UGC in hot regions promoted with the addition of natural ventilation can lower the indoor temperature by 3 °C in summer.

1. Introduction

The shelter of the ground is technology from an ancient period of history used to contest extreme harsh outdoor weather globally [1,2]. It can be utilised as a home for people or as a place to grow and store food [3]. Subsurface temperatures are usually lower than those above ground in summer and higher in winter due to the high thermal mass characteristics of the earth. Globally, there is a noticeably growing number of underground (UG) constructions such as railways, offices, hospitals and shopping malls. This growth is a result of urban area expansion that is limited by the availability of buildable land [4]. As a result, larger cities such as Riyadh are among those who need to progress to UG construction to be able to provide supply for the fast-growing demand [5].
So far as the landmass areas of the earth are concerned, more than 30% of the global population are living in a hot climate and only 12% are living in a temperate climate. This makes it very crucial to consider hot extreme climates. The energy consumption of buildings is the highest among all of the other sections [6]. This makes it important to exploit UG’s stable temperature to control the energy consumption of the residential building sector. According to the work carried out by Shi [4], the use of UG construction can save more than 23% in terms of the total energy expended. In addition, building underground can dampen any ambient noise compared to above ground [2]. One of the disadvantages of UG construction is that it lacks the same indoor environmental quality (IEQ). However, it is essential to provide solutions to ensure that there is a more sustainable and indoor friendly environment constructed [7]. Studies have highlighted that congenial thermal comfort can be obtained through a low level of energy consumption in UG constructions [8].

2. Literature Review

The study of UG constructions is prevalent globally [9,10,11]. Although there has been abundant research conducted on underground constructions such as [12,13,14,15,16,17,18], few of them feature residential buildings specially in hot regions (Figure 1). This indicates the importance of this study. In a study conducted by Shan [19] in Singapore, the work found that indoor thermal comfort was improved as well as the resistance to outdoor noise. In contrast, natural light restrictions, the construction cost and psychological issues due to isolation are among the disadvantages of UG constructions in residential buildings.
Underground buildings come in the following forms: as an atrium or courtyard plan, as an elevational plan and as a bermed plan as can be seen in Figure 2 [20]. Despite the geographical location of the UG building, there are major factors that impact its behaviour such as the typology of the design, the depth that the building is UG, the use of a ventilation system, the soil properties, density and the thermal conductivity, insulation and altitude above the sea level [21,22,23]. Humidity is a crucial issue in underground buildings and natural ventilation is important to maintain [24]. Considering thermal comfort in UG buildings, the work of Porras-Amores [2] carried out in Spain shows that it is possible to achieve thermal stability with zero energy consumption regardless of the extreme weather in terms of the outdoor condition. Underground buildings are a great solution to tackle extreme outdoor conditions in the hot region of Saudi Arabia and other similar climates. The negative sides of UG construction can be improved using plants as the work of Kim suggests [25]. This shows that there is a positive perception when plants were used in the building. The later work also suggested that artificial windows could be helpful to increase the user’s perception regarding underground spaces. Recent studies have suggested some methods to improve the thermal comfort and energy performance of UG spaces, such as the work of Rabani [26]. Their work indicates that the use of water spraying in UG spaces can decrease the indoor temperature by 7–13 °C. This is similar to the work of Alwetaishi [27] who investigated the impact of water spray related to a window element in Mashrabiya in a hot region. The work found that it can decrease the indoor temperature by 4 °C in the hot summer of Taif city.
Thermal insulation (TI) is a key strategy for energy building efficiency [28,29,30,31,32,33,34,35], particularly in hot extreme locations where the temperature fluctuates rapidly. Thermal conductivity is linked to the density of the construction material [36]. As the thermal insulation gets higher, the thermal conductivity also increases. Thermal insulation has been tested in different locations around the world with a focus on energy loads [36]. However, the improvement in energy pattern is attributed to TI thickness [37]. In addition, Ozel [38] reported that external thermal insulation is more advantageous compared to applying it inside an external wall. This is important as it controls moisture.
Thermal mass (TM) could be categorised into two groups: internal thermal insulation, for example, furniture, and external thermal insulation like walls, roofs, and floors [39]. Thermal mass use could be functional in terms of curtailing the amount of energy use and preserving thermal comfort satisfaction [40,41,42,43,44]. Thermal comfort is perhaps the most feasible element to achieve in extreme outdoor conditions [45] or in warmer summers in milder locations with a cooler outdoor condition [40,46,47]. Kumar [48] highlighted that the use of TM is not advantageous only in hot regions. It is also useful in the composite climatic conditions of India during winter. Rodrigues [47] studied the link between energy exhaustion and TM in the Mediterranean climatic condition and revealed that thermal transmittance changing according to the local climate condition. For example, the divergence of thermal transmittance found was as low as (−0.99–+3.89%) in Marseille in the country of France and as high as (−1.81–5.44%) in the country of Tel Aviv. This work also expresses the significance of the effect of thermal transmittance on the patterns of thermal mass. A rapprochement between a heritage building built with stone and another one built with modern building materials such as bricks was conducted by Yousef [49] in Egypt, which has a hot climate. The study showed that the utilisation of a technique used in historical buildings aided in the minimisation of the indoor air temperature by 1.4 °C. In addition, there is an abundance of publications that have been carried out on the basis of a case study involving historical buildings [50,51].
TM is substantially linked to thermal comfort. Based on the research carried out by Kumar [52], 40–98% of the state of thermal discomfort could be averted by utilising the building’s thermal mass. Indeed, some of the publications dispute that the use of thermal mass has no effect on energy demand. It may also ameliorate the thermal comfort condition [53]. A new formula designed by Li [54] was introduced to be utilised by engineers and architects. It is composed of various parameters as follows: the time constant of the system, the heat transfer of the dimensionless convective, and the constant of the Fourier time.

2.1. Context of Extreme Climate of Al Dwadimi City in Saudi Arabia

The town of Al-Dawadmi is located in the heart of Saudi Arabia’s desert with coordinates of 24°50′ N 44°39′ E. It is located about 300 km west of the capital of Saudi Arabia, Riyadh. It has a desert climate with a very hot summer and cold winter (Figure 1). It is elevated roughly 1000 m above sea level which means that it has a very cold climate in winter. The town is known for its historical tourist destination, the Ash Shu’ara heritage village (Figure 1).

2.2. Aim and Objectives of the Study

The aim of this research is to investigate the significance of the use of underground rooms in order to improve the indoor built environment and energy efficiency in hot regions. There are various objectives that lead to the mentioned aim of this research. The first one is to conduct a comprehensive literature review regarding the use of underground constructions globally, especially in hot regions. There are different purposes backing their use, such as the environmental aspect, the lack of above ground spaces and others. One of the major objectives of this study is to build a real room in the desert of Saudi Arabia to test it physically using advanced tools (Figure 2 and Figure 3). Another objective is to use the energy simulation tool TAS EDSL to provide an energy analysis of the built room. This analysis was compared with an over ground room for comparison.

2.3. Novelty and Significance of the Study

Although there has been bountiful research carried out on UG constructions such as [12,13,14,15,16,17,18], little of them feature residential buildings. This indicates the importance of this study in terms of filling in this gap in knowledge, especially in a harsh climate like in Gulf countries where the outdoor temperatures can soar sharply. The model in this study was designed specifically for the purpose of this research. In addition, the model room was not fully underground. A small section of the room was left above the ground to allow for natural ventilation. This is very important to avoid moisture based on the previous studies and the literature review (Figure 2).

3. Methodology and Materials

It is well-known that the temperature of UG is cooler in summer and warmer in winter compared to the outdoor temperatures. This impacts on thermal comfort. Yanping [55] and Alberto [8] explained that this is linked to the absence of direct solar radiation on the building envelope of the UG constructions. In UG studies, simulations and field investigations are among the most used tools [5].

3.1. Design and Construction of the Real Model Room Built Underground

The study was carried out using a real model built in the desert of Saudi Arabia (Figure 4). The room had a dimension of 3.5 m × 4.0 m with a 1.0 m atrium. Its external wall was exposed to the outdoors to allocate the external windows. This was to enhance the natural ventilation as well as allow daylight access. The room was built using traditional and local building materials with a very high thermal performance, such as mud and palm fronds.

3.2. Descriptive of Building Simulation Model

The model is built with 350 mm thickness in its external wall with a conductivity of 0.82 (W/m°K) and total U-value of 1.45 W/m²°K. The room has a roof which is made of mud and palm fronds with a thickness of 300 mm and a conductivity of 1.38 (W/m°K) and total U-value of 2.09 (W/m°K).

3.3. Use of the Energy Simulation Tool (TAS EDSL)

In addition, the same room was simulated using the energy software TAS EDSL. This is among the most important energy tools in the world. The software tool is widely used in energy analysis research in different countries such as Saudi Arabia [56], Chile [57], Austria [58], Poland [59], Singapore [60], Albania [61], Italy [62], the UK [63,64] and Turkey [65].

Calibration of the Energy Model and Its Validation

Since the 1970s, energy building simulation (EBS) tools have assisted in the emulation of reality [66]. The way that EBS works is complex, and it has different input data [67]. Consequently, these data have to be evaluated precisely [68].
This study used graphical calibration to underwrite the sufficiency of the used tool. Figure 5 indicates a rapprochement between the simulated and measured temperature data of the indoor environment and humidity using the data-logger tool described in Table 1. The results highlight a very agreeable difference that is within the tolerances. Moreover, the TAS EDSL software has been previously validated by the author in another study on the topic of the sustainable application of asphalt mixes with asphalt pavement (RAP), which can be used in building applications in cold regions [69]. The validation investigation used a real model prototype and compared it to the energy simulated model developed in TAS EDSL (Figure 6).

4. Results and Discussion

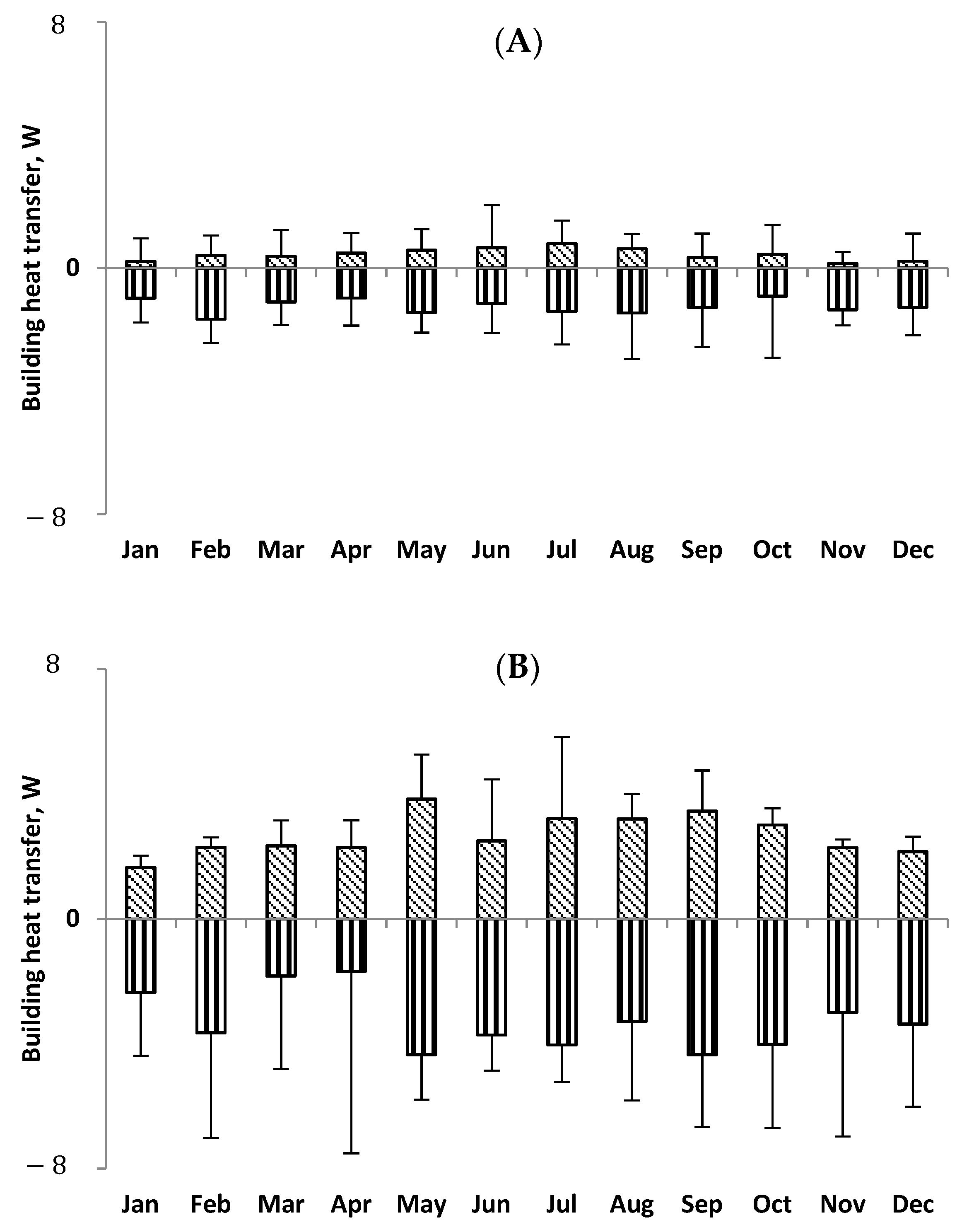
There are two major factors to consider in UG spaces. The first one is the low heat transfer of the building envelope (Figure 7 and Figure 8). This study demonstrates that there is roughly double the amount of heat transfer in the above ground room compared to the underground constructed room. This is due to the exposure of the AG room. Although the underground constructed room (UGCR) has a little elevated wall to reach above ground for the purpose of natural ventilation, it is still mostly covered. The current constructed room design has a highly efficient thermal mass as well as control of the heat transfer. It also provides natural ventilation for the room which is a critical issue in most of existing underground constructions as has been discussed in the literature review. The work of Kim [25] suggested using artificial plants in UG spaces in order to reduce the negative perception of UG spaces. The proposed UGCR had a high level of thermal mass performance which is reflected clearly in both field and simulated measurements of the room. In addition to that, the position of the openings of the windows can play an important role in natural ventilation and daylight from one side, and excessive solar gain from another, especially in hot regions. The work of [70,71], which are conducted in hot regions, has investigated the impact of orientation, shading devices and window to wall ratio. The studies have highlighted the impact of orientation in hot regions on building energy performance and comfort.
The UG room was compared to the above ground room. The first one was enhanced with a natural ventilation mode whereas the second one was not. This analysis aimed to highlight the advantage of having natural ventilation in underground constructions. Figure 9 shows that there was a considerably high fluctuation in indoor temperature as high as 10 °C. The other closed room was found to have a one-degree temperature difference throughout the whole day, taking into account that both rooms are located in the same town. However, it is well-known that UG constructions suffer from a high level of moisture and humidity [24]. The location of the study during the hot and dry summer resulted in a variation in relative humidity in the range of 45% to 62%. This is due to the natural ventilation enhanced with UGBC. The study used small-sized windows for natural ventilation to minimise the impact of solar heat gain. Figure 10 shows the amount of solar gain in the room across the different seasons. It can be seen that the temperatures are quite similar due to the size of the windows. The study revealed that the use of UG spaces in hot regions enhanced by small windows for natural ventilation and air exchange could lower the indoor air temperature by about 3 °C. This is very similar to the findings of Alwetaishi [27], which was conducted to examine the use of water spray located to examine the window elements of Mashrabiya in the city of Taif. The study showed that the system used can lower the temperature by 4 °C. In underground spaces, it is crucial to ensure that there is an adequate level of natural ventilation.
TAS EDSL was used to simulate the indoor air temperature both under and above ground for the whole year (Figure 11). The results showed similar findings to the actual results. For instance, in June, the gap in between the UG and AG indoor temperatures was about 3°C, which is the same as the actual measurements. However, there were some variations in the other months which are reported as being minor. It was noted that the UG room was found to be warmer in winter and cooler in summer compared to the AG room. This can help to maintain the user’s comfort level throughout the year. Table 2 shows the inner variation in surface temperature using a thermal imaging camera due to the high level of thermal mass construction.

5. Conclusions

The research conducted a real underground room in the town of Al-Dwadimi in Saudi Arabia to explore the impact of underground spaces on the indoor built environment and energy efficiency. The underground model was compared with a normal above ground room to show the significance of the new built underground model. The design of the UGR was raised above ground to allow for the placement of windows for natural ventilation. The study used a computer simulation (TAS EDSL) and field measurements to observe the findings including the indoor air temperature and relative humidity. The windows used in the constructed room were relatively small. This is because the size of the windows in such locations could have a considerable impact in terms of solar radiation. The study revealed that the amount of heat transfer between the underground and above ground rooms has been doubled. This is due to the exposure of the above ground constructions to the outdoor conditions. Given how UGCs suffer from moisture and a lack of natural ventilation, the constructed room was found to be relatively humid even though it was located in a hot and dry region. This is due to the proposed design having an elevated external wall higher than the ground level in terms of the placement of the windows. This study shows that the use of underground constructions in hot regions can be enhanced by natural ventilation which can lower the indoor temperature by 3 °C in summer.
The author also would like to thank Mr. Abdulla Faiz who constructed the room alone with basic tools and local building materials. In addition, the author would like to thank Mr. Mohammed Al-Amoodi who produced the 3D model design of the room.

Author Contributions

M.A.: Conceptualization, methodology, software, validation, formal analysis, investigation, resources, data curation, writing—original draft preparation, funding acquisition; O.B.: writing—review and editing, visualization; A.B.: supervision, project administration; A.A.: supervision, visualization. All authors have read and agreed to the published version of the manuscript.

Funding

Taif University Researchers Supporting Project number (TURSP-2020/196), Taif University, Taif, Saudi Arabia.

Institutional Review Board Statement

Not applicable.

Informed Consent Statement

Not applicable.

Acknowledgments

The authors acknowledge the support received by Taif University Researchers Supporting Project number (TURSP-2020/196), Taif University, Taif, Saudi Arabia. The authors also would like to thank Abdulla Faiz who constructed the room alone with basic tools and local building materials. In addition to that, the authors would like to thank Mohammed Al-Amoodi who produced the 3D model design of the room.

Conflicts of Interest

The authors declare no conflict of interest.

References

  1. Alkaff, S.A.; Sim, S.C.; Ervina Efzan, M.N. A review of underground building towards thermal energy efficiency and sustainable development. Renew. Sustain. Energy Rev. 2016, 60, 692–713. [Google Scholar] [CrossRef]
  2. Porras-Amores, C.; Mazarrón, F.R.; Cañas, I.; Sáez, P.V. Natural ventilation analysis in an underground construction: CFD simulation and experimental validation. Tunn. Undergr. Space Technol. 2019, 90, 162–173. [Google Scholar] [CrossRef]
  3. Galgaro, A.; Dalla Santa, G.; Cola, S.; Cultrera, M.; De Carli, M.; Conforti, F.; Fauri, M. Underground warehouses for food storage in the Dolomites (eastern Alps—Italy) and energy efficiency. Tunn. Undergr. Space Technol. 2020, 102, 103411. [Google Scholar] [CrossRef]
  4. Shi, L.; Zhang, H.; Li, Z.; Luo, Z.; Liu, J. Optimizing the thermal performance of building envelopes for energy saving in underground office buildings in various climates of China. Tunn. Undergr. Space Technol. 2018, 77, 26–35. [Google Scholar] [CrossRef]
  5. Yu, J.; Kang, Y.; Zhai, Z. Advances in research for underground buildings: Energy, thermal comfort and indoor air quality. Energy Build. 2020, 215, 109916. [Google Scholar] [CrossRef]
  6. Mohammadshahi, S.; Tavakoli, M.R.; Samsam-Khayani, H.; Nili-Ahmadabadi, M.; Kim, K.C. Investigation of naturally ventilated shavadoons component: Architectural underground pattern on ventilation. Tunn. Undergr. Space Technol. 2019, 91, 102990. [Google Scholar] [CrossRef]
  7. Andolsun, S.; Culp, C.H.; Haberl, J.; Witte, M.J. EnergyPlus vs. DOE-2.1e: The effect of ground-coupling on energy use of a code house with basement in a hot-humid climate. Energy Build. 2011, 43, 1663–1675. [Google Scholar] [CrossRef]
  8. Casals, M.; Gangolells, M.; Forcada, N.; Macarulla, M.; Giretti, A. A breakdown of energy consumption in an underground station. Energy Build. 2014, 78, 89–97. [Google Scholar] [CrossRef] [Green Version]
  9. Choi, H.-H.; Cho, H.-N.; Seo, J.W. Risk assessment methodology for underground construction projects. J. Constr. Eng. Manag. 2004, 130, 258–272. [Google Scholar] [CrossRef]
  10. Working Group 13; ITA. Underground or aboveground? Making the choice for urban mass transit systems. Tunn. Undergr. Space Technol. 2004, 19, 3–28. [Google Scholar] [CrossRef]
  11. Alaidroos, A.; Krarti, M. Experimental validation of a numerical model for ventilated wall cavity with spray evaporative cooling systems for hot and dry climates. Energy Build. 2016, 131, 207–222. [Google Scholar] [CrossRef]
  12. Qihu, Q. Present state, problems and development trends of urban underground space in China. Tunn. Undergr. Space Technol. 2016, 55, 280–289. [Google Scholar] [CrossRef]
  13. Tengborg, P.; Sturk, R. Development of the use of underground space in Sweden. Tunn. Undergr. Space Technol. 2016, 55, 339–341. [Google Scholar] [CrossRef]
  14. Vähäaho, I. An introduction to the development for urban underground space in Helsinki. Tunn. Undergr. Space Technol. 2016, 55, 324–328. [Google Scholar] [CrossRef]
  15. Wallace, M.I.; Ng, K.C. Development and application of underground space use in Hong Kong. Tunn. Undergr. Space Technol. 2016, 55, 257–279. [Google Scholar] [CrossRef]
  16. Zhao, J.; Künzli, O. An introduction to connectivity concept and an example of physical connectivity evaluation for underground space. Tunn. Undergr. Space Technol. 2016, 55, 205–213. [Google Scholar] [CrossRef]
  17. Nang, E.E.K.; Abuduxike, G.; Posadzki, P.; Divakar, U.; Visvalingam, N.; Nazeha, N.; Car, J. Review of the potential health effects of light and environmental exposures in underground workplaces. Tunn. Undergr. Space Technol. 2019, 84, 201–209. [Google Scholar] [CrossRef]
  18. Tan, Z.; Roberts, A.C.; Lee, E.H.; Kwok, K.W.; Car, J.; Soh, C.K.; Christopoulos, G. Transitional areas affect perception of workspaces and employee well-being: A study of underground and above-ground workspaces. Build. Environ. 2020, 179, 106840. [Google Scholar] [CrossRef]
  19. Shan, M.; Hwang, B.G.; Wong, K.S.N. A preliminary investigation of underground residential buildings: Advantages, disadvantages, and critical risks. Tunn. Undergr. Space Technol. 2017, 70, 19–29. [Google Scholar] [CrossRef]
  20. Roy, R. Earth-Sheltered Houses: How to Build an Affordable Underground Home; New Society Publisher: Gabriola Island, BC, Canada, 2006. [Google Scholar]
  21. Mazarron, F.R.; Canas, I. Exponential sinusoidal model for predicting temperature inside underground wine cellars from a Spanish region. Energy Build. 2008, 40, 1931–1940. [Google Scholar] [CrossRef]
  22. Krarti, M. Effect of spatial variation of soil thermal properties on slab-on-ground heat transfer. Build. Environ. 1996, 31, 51–57. [Google Scholar] [CrossRef]
  23. Li, F.N.; Chen, B.; Xu, G.S. Theoretical modeling framework for an unsaturated freezing soil. Cold Reg. Sci. Technol. 2008, 54, 19–35. [Google Scholar] [CrossRef]
  24. Yu, S.; Yu, Z.; Liu, P.; Feng, G. Influence of environmental factors on wall mold in underground buildings in Shenyang City, China. Sustain. Cities Soc. 2019, 46, 101452. [Google Scholar] [CrossRef]
  25. Kim, J.; Cha, S.H.; Koo, C.; Tang, S.K. The effects of indoor plants and artificial windows in an underground environment. Build. Environ. 2018, 138, 53–62. [Google Scholar] [CrossRef]
  26. Rabani, M. Performance analysis of a passive cooling system equipped with a new designed solar chimney and a water spraying system in an underground channel. Sustain. Energy Technol. Assess. 2019, 35, 204–219. [Google Scholar] [CrossRef]
  27. Alwetaishi, M.; Balabel, A.; Abdelhafiz, A.; Issa, U.; Sharaky, I.; Shamseldin, A. User thermal comfort in historic buildings: Evaluation of the potential of thermal mass, orientation, evaporative cooling and ventilation. Sustainability 2020, 12, 9672. [Google Scholar] [CrossRef]
  28. Freire, R.Z.; Mazuroski, W.; Abadie, M.O.; Mendes, N. Capacitive effect on the heat transfer through building glazing systems. Appl. Energy 2011, 88, 4310–4319. [Google Scholar] [CrossRef]
  29. Lollini, R.; Barozzi, B.; Fasano, G.; Meroni, I.; Zinzi, M. Optimisation of opaque components of the building envelope. Energy, economic and environmental issues. Build. Environ. 2006, 41, 1001–1013. [Google Scholar] [CrossRef]
  30. Kolaitis, D.I.; Malliotakis, E.; Kontogeorgos, D.A.; Mandilaras, I.; Katsourinis, D.I.; Founti, M.A. Comparative assessment of internal and external thermal insulation systems for energy efficient retrofitting of residential buildings. Energy Build. 2013, 64, 123–131. [Google Scholar] [CrossRef]
  31. Binici, H.; Eken, M.; Kara, M.; Dolaz, M. An environmentally friendly thermal insulation material from sunflower stalk, textile waste and stubble fibres. Constr. Build. Mater. 2014, 51, 24–33. [Google Scholar] [CrossRef]
  32. Yu, J.; Yang, C.; Tian, L.; Liao, D. A study on optimum insulation thicknesses of external walls in hot summer and cold winter zone of China. Appl. Energy 2009, 86, 2520–2529. [Google Scholar] [CrossRef]
  33. Dimoudi, A.; Kostarela, P. Energy monitoring and conservation potential in school buildings in the C climatic zone of Greece. Renew. Energy 2009, 34, 289–296. [Google Scholar] [CrossRef]
  34. Çomakli, K.; Yüksel, B. Environmental impact of thermal insulation thickness in buildings. Appl. Therm. Eng. 2004, 24, 933–940. [Google Scholar] [CrossRef]
  35. Mahlia, T.M.I.; Iqbal, A. Cost benefits analysis and emission reductions of optimum thickness and air gaps for selected insulation materials for building walls in Maldives. Energy 2010, 35, 2242–2250. [Google Scholar] [CrossRef]
  36. Kaynakli, O. A review of the economical and optimum thermal insulation thickness for building applications. Renew. Sustain. Energy Rev. 2012, 16, 415–425. [Google Scholar] [CrossRef]
  37. Bojic, M.; Yik, F.; Sat, P. Influence of thermal insulation position in building envelope on the space cooling of high-rise residential buildings in Hong Kong. Energy Build. 2001, 33, 569–581. [Google Scholar] [CrossRef]
  38. Ozel, M. Determination of optimum insulation thickness based on cooling transmission load for building walls in a hot climate. Energy Convers. Manag. 2013, 66, 106–114. [Google Scholar] [CrossRef]
  39. Li, Y.; Yam, J.C.W. Designing thermal mass in naturally ventilated buildings. Int. J. Vent. 2004, 2, 313–324. [Google Scholar] [CrossRef]
  40. Wolisz, H.; Kull, T.M.; Müller, D.; Kurnitski, J. Self-learning model predictive control for dynamic activation of structural thermal mass in residential buildings. Energy Build. 2020, 207, 109542. [Google Scholar] [CrossRef]
  41. Shan, K.; Wang, J.; Hu, M.; Gao, D.C. A model-based control strategy to recover cooling energy from thermal mass in commercial buildings. Energy 2019, 172, 958–967. [Google Scholar] [CrossRef]
  42. Ghoreishi, A.H.; Ali, M.M. Parametric study of thermal mass property of concrete buildings in US climate zones. Archit. Sci. Rev. 2013, 56, 103–117. [Google Scholar] [CrossRef]
  43. Csáky, I.; Kalmár, F. Investigation of the relationship between the allowable transparent area, thermal mass and air change rate in buildings. J. Build. Eng. 2017, 12, 1–7. [Google Scholar] [CrossRef] [Green Version]
  44. Shaafigh, P.; Asadi, I.; Mahyuddin, N.B. Concrete as a thermal mass material for building applications—A review. J. Build. Eng. 2018, 19, 14–25. [Google Scholar] [CrossRef]
  45. Reilly, A.; Kinnane, O. The impact of thermal mass on building energy consumption. Appl. Energy 2017, 198, 108–121. [Google Scholar] [CrossRef] [Green Version]
  46. Albayyaa, H.; Hagare, D.; Saha, S. Energy and buildings energy conservation in residential buildings by incorporating passive solar and energy efficiency design strategies and higher thermal mass. Energy Build. 2019, 182, 205–213. [Google Scholar] [CrossRef]
  47. Rodrigues, E.; Fernandes, M.S.; Gaspar, A.R.; Gomes, Á.; Costa, J.J. Thermal transmittance effect on energy consumption of Mediterranean buildings with different thermal mass. Appl. Energy 2019, 252, 113437. [Google Scholar] [CrossRef]
  48. Kumar, S.; Tewari, P.; Mathur, S.; Mathur, J. Development of mathematical correlations for indoor temperature from field observations of the performance of high thermal mass buildings in India. Build. Environ. 2017, 122, 324–342. [Google Scholar] [CrossRef]
  49. Mousa, W.A.Y.; Lang, W.; Yousef, W.A. Simulations and quantitative data analytic interpretations of indoor-outdoor temperatures in a high thermal mass structure. J. Build. Eng. 2017, 12, 68–76. [Google Scholar] [CrossRef]
  50. Perini, K. Retrofitting with vegetation recent building heritage applying a design tool—The case study of a school building. Front. Archit. Res. 2013, 2, 267–277. [Google Scholar] [CrossRef] [Green Version]
  51. Jiao, J.; Xia, Q.; Shi, F. Nondestructive inspection of a brick e timber structure in a modern architectural heritage building: Lecture hall of the Anyuan Miners’ Club, China. Front. Archit. Res. 2019, 8, 348–358. [Google Scholar] [CrossRef]
  52. Kumar, S.; Singh, M.K.; Mathur, A.; Mathur, S.; Mathur, J. Thermal performance and comfort potential estimation in low-rise high thermal mass naturally ventilated office buildings in India: An experimental study. J. Build. Eng. 2018, 20, 569–584. [Google Scholar] [CrossRef]
  53. Deng, J.; Yao, R.; Yu, W.; Zhang, Q.; Li, B. Effectiveness of the thermal mass of external walls on residential buildings for part-time part-space heating and cooling using the state-space method. Energy Build. 2019, 190, 155–171. [Google Scholar] [CrossRef] [Green Version]
  54. Li, Y.; Xu, P. Thermal mass design in buildings—Heavy or light? Int. J. Vent. 2006, 5, 143–149. [Google Scholar] [CrossRef]
  55. Yuan, Y.; Cheng, B.; Mao, J.; Du, Y. Effect of the thermal conductivity of building materials on the steady-state thermal behaviour of underground building envelopes. Build. Environ. 2006, 41, 330–335. [Google Scholar] [CrossRef]
  56. Alwetaishi, M. Impact of glazing to wall ratio in various climatic regions: A case study. J. King Saud Univ. Eng. Sci. 2019, 31, 6–18. [Google Scholar] [CrossRef]
  57. Pino, A.; Bustamante, W.; Escobar, R.; Pino, F.E. Thermal and lighting behavior of office buildings in Santiago of Chile. Energy Build. 2012, 47, 441–449. [Google Scholar] [CrossRef]
  58. Berger, T.; Amann, C.; Formayer, H.; Korjenic, A.; Pospichal, B.; Neururer, C.; Smutny, R. Impacts of external insulation and reduced internal heat loads upon energy demand of offices in the context of climate change in Vienna, Austria. J. Build. Eng. 2016, 5, 86–95. [Google Scholar] [CrossRef]
  59. Dudkiewicz, E.; Fidorów-Kaprawy, N. The energy analysis of a hybrid hot tap water preparation system based on renewable and waste sources. Energy 2017, 127, 198–208. [Google Scholar] [CrossRef]
  60. Priyadarsini, R.; Hien, W.N.; Wai David, C.K. Microclimatic modeling of the urban thermal environment of Singapore to mitigate urban heat island. Sol. Energy 2008, 82, 727–745. [Google Scholar] [CrossRef]
  61. Resuli, P.; Dervishi, S. Thermal performance of cultural heritage Italian housing in Albania. Energy Procedia 2015, 78, 753–758. [Google Scholar] [CrossRef] [Green Version]
  62. Carlini, M.; Zilli, D.; Allegrini, E. Simulating building thermal behaviour: The case study of the School of the State Forestry Corp. Energy Procedia 2015, 81, 55–63. [Google Scholar] [CrossRef] [Green Version]
  63. Kendrick, C.; Ogden, R.; Wang, X.; Baiche, B. Thermal mass in new build UK housing: A comparison of structural systems in a future weather scenario. Energy Build. 2012, 48, 40–49. [Google Scholar] [CrossRef]
  64. Zoras, S.; Veranoudis, S.; Dimoudi, A. Micro- climate adaptation of whole building energy simulation in large complexes. Energy Build. 2017, 150, 81–89. [Google Scholar] [CrossRef]
  65. Gucyeter, B. Evaluating diverse patterns of occupant behavior regarding control-based activities in energy performance simulation. Front. Archit. Res. 2018, 7, 167–179. [Google Scholar] [CrossRef]
  66. Clarke, J.A. Energy Simulation in Buildings Design, 2nd ed.; Routledge: London, UK, 2001. [Google Scholar]
  67. Fabrizio, E.; Monetti, V. Methodologies and advancements in the calibration of building energy models. Energies 2015, 8, 2548–2574. [Google Scholar] [CrossRef] [Green Version]
  68. Claridge, D.E. Building simulation for practical operational optimization. In Building Performance Simulation for Design and Operation, 1st ed.; Hensen, J.M., Lamberts, R., Eds.; Spon Press: Oxford, UK, 2011. [Google Scholar]
  69. Alwetaishi, M.; Kamel, M.; Al-Bustami, N. Sustainable applications of asphalt mixes with reclaimed asphalt pavement (RAP) materials: Innovative and new building brick. Int. J. Low Carbon Technol. 2019, 14, 364–374. [Google Scholar] [CrossRef] [Green Version]
  70. Alwetaishi, M.; Taki, A. Investigation into energy performance of a school building in a hot climate: Optimum of window-to-wall ratio. Indoor Built Environ. 2020, 29, 24–39. [Google Scholar] [CrossRef]
  71. Alwetaishi, M.; Al-Khatri, H.; Benjeddou, O.; Shamseldin, A.; Alsehli, M.; Alghamdi, S.; Shrahily, R. An investigation of shading devices in a hot region: A case study in a school building. Ain Shams Eng. J. 2021. [Google Scholar] [CrossRef]
Figure 1. Weather data for Al-Dwadimi town (A) (Meteonorm, 2019), and Ash Shu’ara heritage village in Al-Dwadimi town, (B,C) is the cloud cover during the measurement day (Taken by the author).
Figure 1. Weather data for Al-Dwadimi town (A) (Meteonorm, 2019), and Ash Shu’ara heritage village in Al-Dwadimi town, (B,C) is the cloud cover during the measurement day (Taken by the author).
Buildings 11 00341 g001aBuildings 11 00341 g001b
Figure 2. (A) is a view of the actual room model showing the 0.6 m elevation above ground level for the purpose of natural ventilation. (B) shows the night-time view of the room with traditional furniture.
Figure 2. (A) is a view of the actual room model showing the 0.6 m elevation above ground level for the purpose of natural ventilation. (B) shows the night-time view of the room with traditional furniture.
Buildings 11 00341 g002
Figure 3. Process of building the underground model, designed by (Mohammed Al-Amoodi).
Figure 3. Process of building the underground model, designed by (Mohammed Al-Amoodi).
Buildings 11 00341 g003
Figure 4. Site construction of an underground room from digging through to the finishing, in addition to the set-up of the equipment in the underground room.
Figure 4. Site construction of an underground room from digging through to the finishing, in addition to the set-up of the equipment in the underground room.
Buildings 11 00341 g004
Figure 5. Calibration of the indoor temperatures (A) and relative humidity (B) where Meas. is measured data, OAT is outdoor air temperature and ORH is outdoor relative humidity.
Figure 5. Calibration of the indoor temperatures (A) and relative humidity (B) where Meas. is measured data, OAT is outdoor air temperature and ORH is outdoor relative humidity.
Buildings 11 00341 g005
Figure 6. TAS EDSL model where: (A) is the 3D model with material specification and (B) is a view of actual model conducted on Taif University campus (Alwetaishi, Kamel and Al-Bustami, 2019).
Figure 6. TAS EDSL model where: (A) is the 3D model with material specification and (B) is a view of actual model conducted on Taif University campus (Alwetaishi, Kamel and Al-Bustami, 2019).
Buildings 11 00341 g006
Figure 7. Building heat transfer of the underground room (A) and above ground room (B).
Figure 7. Building heat transfer of the underground room (A) and above ground room (B).
Buildings 11 00341 g007
Figure 8. Building heat transfer comparison between underground and above ground rooms where BHT_NR is the above ground room and BHT_UGR is the underground room.
Figure 8. Building heat transfer comparison between underground and above ground rooms where BHT_NR is the above ground room and BHT_UGR is the underground room.
Buildings 11 00341 g008
Figure 9. Monitored indoor air temperature and relative humidity for both the underground and above ground rooms over 3 days where, MIRH.US is monitored indoor relative humidity of underground, MIRH.OG is monitored indoor relative humidity of above ground, MIAT.UG is monitored air temperature of underground and MIAT.OG is monitored air temperature of above ground.
Figure 9. Monitored indoor air temperature and relative humidity for both the underground and above ground rooms over 3 days where, MIRH.US is monitored indoor relative humidity of underground, MIRH.OG is monitored indoor relative humidity of above ground, MIAT.UG is monitored air temperature of underground and MIAT.OG is monitored air temperature of above ground.
Buildings 11 00341 g009
Figure 10. Solar heat gain (SHG) in the underground room in all seasons.
Figure 10. Solar heat gain (SHG) in the underground room in all seasons.
Buildings 11 00341 g010
Figure 11. Indoor temperature and relative humidity of the underground room and above ground room simulated using TAS EDSL for the whole year where, ORH is outdoor relative humidity, OAT is outdoor air temperature, UGR.IAT is underground air temperature, NR.IAT is above ground air temperature, UGR.RH is underground relative humidity and NR.RH is above ground relative humidity.
Figure 11. Indoor temperature and relative humidity of the underground room and above ground room simulated using TAS EDSL for the whole year where, ORH is outdoor relative humidity, OAT is outdoor air temperature, UGR.IAT is underground air temperature, NR.IAT is above ground air temperature, UGR.RH is underground relative humidity and NR.RH is above ground relative humidity.
Buildings 11 00341 g011aBuildings 11 00341 g011b
Table 1. Tools and equipment used in the research study.
Table 1. Tools and equipment used in the research study.
ToolOutputAccuracy/Sensitivity
Thermal imaging cameraTemperature range from −20 to 250 °C (−4 to 482 °F)<0.15 °C
Professional High-Temperature Thermometer Laser PointerTemperature Tester Gun Measuring Range −50 to 550 °C0.5 to 1.0
Temperature and humidity data logger
-
Records 32,000 data points
-
Built-in sensor to measure temperature and humidity
Temperature: ±1.0 °C
Humidity: ±3.0%
TAS EDSL; Energy building performance toolMany energy elements such as cooling load, solar and daylight-
Table 2. Inner surface of the UG using a thermal imaging camera in different orientations.
Table 2. Inner surface of the UG using a thermal imaging camera in different orientations.
Thermal Imaging CameraNormal Picture
West Buildings 11 00341 i001 Buildings 11 00341 i002
North Buildings 11 00341 i003 Buildings 11 00341 i004
East Buildings 11 00341 i005 Buildings 11 00341 i006
Publisher’s Note: MDPI stays neutral with regard to jurisdictional claims in published maps and institutional affiliations.

Share and Cite

MDPI and ACS Style

Alwetaishi, M.; Benjeddou, O.; Balabel, A.; Alzaed, A. Can Underground Buildings Be Beneficial in Hot Regions? An Investigation of Field Measurements in On-Site Built Underground Construction. Buildings 2021, 11, 341. https://doi.org/10.3390/buildings11080341

AMA Style

Alwetaishi M, Benjeddou O, Balabel A, Alzaed A. Can Underground Buildings Be Beneficial in Hot Regions? An Investigation of Field Measurements in On-Site Built Underground Construction. Buildings. 2021; 11(8):341. https://doi.org/10.3390/buildings11080341

Chicago/Turabian Style

Alwetaishi, Mamdooh, Omrane Benjeddou, Ashraf Balabel, and Ali Alzaed. 2021. "Can Underground Buildings Be Beneficial in Hot Regions? An Investigation of Field Measurements in On-Site Built Underground Construction" Buildings 11, no. 8: 341. https://doi.org/10.3390/buildings11080341

APA Style

Alwetaishi, M., Benjeddou, O., Balabel, A., & Alzaed, A. (2021). Can Underground Buildings Be Beneficial in Hot Regions? An Investigation of Field Measurements in On-Site Built Underground Construction. Buildings, 11(8), 341. https://doi.org/10.3390/buildings11080341

Note that from the first issue of 2016, this journal uses article numbers instead of page numbers. See further details here.

Article Metrics

Back to TopTop