Wire and Arc Additive Manufacturing of Aluminum Components
Abstract
1. Introduction
2. Materials and Methods
3. Results and Discussion
3.1. Comparison of Additively Manufactured Al-4047 and Al-5356
3.2. Effects of Process Adjustments
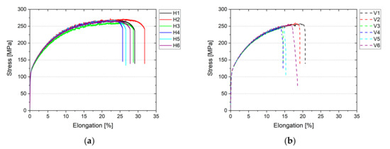
3.3. Mechanical Properties and Residual Stress
4. Conclusions
- The accuracy and deposition properties during WAAM depend on the material’s characteristics. The solidification range and setting behavior have significant effects on surface waviness. The results of this study indicate that a wide solidification range is more suitable for uniform deposition.
- Another controlling factor for the resulting surface waviness is an even droplet transition of the welding process. Increased arc length and pulse energy result in higher dynamic forces during droplet transition, thus affecting deposition accuracy.
- Mechanical properties depend on the direction of loading. Samples taken vertical to the buildup direction resulted in significant loss of elongation. In the horizontal direction material properties meet the material requirements.
- Material properties are evenly distributed over the buildup geometry when the interpass temperature is kept constant.
- Residual stress magnitude depends on yield strength of the filler material. The first layer of the thin-walled structure as well as the bottom surface of the substrate are in tension, whereas the top layer and substrate surface undergo compression.
Author Contributions
Funding
Acknowledgments
Conflicts of Interest
References
- Ding, D.; Pan, Z.; Cuiuri, D.; Li, H. Wire-feed additive manufacturing of metal components: Technologies, developments and future interests. Int. J. Adv. Manuf. Technol. 2015, 81, 465–481. [Google Scholar] [CrossRef]
- Frazier, W.E. Metal Additive Manufacturing: A Review. J. Mater. Eng. Perform. 2014, 23, 1917–1928. [Google Scholar] [CrossRef]
- Taminger, K.M.; Hafley, R.A. Electron Beam Freeform Fabrication for Cost Effective Near-Net Shape Manufacturing. In Proceedings of the NATO/RTO AVT-139 Specialists’ Meeting on Cost Effective Manufacture via Net Shape Processing, Amsterdam, The Netherlands, 15–17 May 2006. [Google Scholar]
- Fischer, G.; Röhrich, T. Lichtbogenbasierte additive Fertigung: Anwendungen für die Luftfahrtindustrie. In Proceedings of the DVS CONGRESS, Friedrichshafen, Germany, 16–17 September 2018. [Google Scholar]
- Thomas-Seale, L.E.J.; Kirkman-Brown, J.C.; Attallah, M.M.; Espino, D.M.; Shepherd, D.E.T. The barriers to the progression of additive manufacture: Perspectives from UK industry. Int. J. Prod. Econ. 2018, 198, 104–118. [Google Scholar] [CrossRef]
- Baufeld, B.; Widdison, R.; Dutilleul, T.; Bridger, K. Electron Beam Additive Manufacturing at the Nuclear AMRC. Elektronika ir Elektrotechnika 2016, 51, 25–30. [Google Scholar]
- Bekker, A.C.M.; Verlinden, J.C. Life cycle assessment of wire + arc additive manufacturing compared to green sand casting and CNC milling in stainless steel. J. Clean. Prod. 2018, 177, 438–447. [Google Scholar] [CrossRef]
- Liberini, M.; Astarita, A.; Campatelli, G.; Scippa, A.; Montevecchi, F.; Venturini, G.; Durante, M.; Boccarusso, L.; Minutolo, F.M.C.; Squillace, A. Selection of Optimal Process Parameters for Wire Arc Additive Manufacturing. Procedia CIRP 2017, 62, 470–474. [Google Scholar] [CrossRef]
- Hoefer, K.; Haelsig, A.; Mayr, P. Arc-based additive manufacturing of steel components—Comparison of wire- and powder-based variants. Weld. World 2018, 62, 243–247. [Google Scholar] [CrossRef]
- Reisgen, U.; Sharma, R.; Oster, L.; Zanders, E. Plasma-Mehrdraht-Schweißen zum Herstellen gradierter Strukturen. In Proceedings of the DVS CONGRESS, Friedrichshafen, Germany, 16–17 September 2018; pp. 109–114. (In German). [Google Scholar]
- Wu, Q.; Lu, J.; Liu, C.; Shi, X.; Ma, Q.; Tang, S.; Fan, H.; Ma, S. Obtaining uniform deposition with variable wire feeding direction during wire-feed additive manufacturing. Mater. Manuf. Processes 2017, 32, 1881–1886. [Google Scholar] [CrossRef]
- Fang, X.; Zhang, L.; Li, H.; Li, C.; Huang, K.; Lu, B. Microstructure Evolution and Mechanical Behavior of 2219 Aluminum Alloys Additively Fabricated by the Cold Metal Transfer Process. Materials 2018, 11, 812. [Google Scholar] [CrossRef] [PubMed]
- Gu, J.; Cong, B.; Ding, J.; Williams, S.W.; Zhai, Y. Wire + Arc Additive Manufacturing of Aluminium. In Proceedings of the 25th Annual International Solid Freeform Fabrication Symposium, Austin, TX, USA, 4–6 August 2014; pp. 451–458. [Google Scholar]
- Dröder, K.; Heyn, J.K.; Gerbers, R.; Wonnenberg, B.; Dietrich, F. Partial Additive Manufacturing: Experiments and Prospects with Regard to Large Series Production. Procedia CIRP 2016, 55, 122–127. [Google Scholar] [CrossRef][Green Version]
- Genzel, C.; Denks, I.; Klaus, M. (Eds.) Modern Diffraction Methods: Residual Stress Analysis by X-ray Diffraction Methods; Wiley: Hoboken, NJ, USA, 2013. [Google Scholar]
- Okamoto, H.; Schlesinger, M.E.; Mueller, E.M. (Eds.) ASM Handbook Volume 3: Alloy Phase Diagrams; ASM International: Geauga County, OH, USA, 1998. [Google Scholar]
- Colegrove, P.A.; Coules, H.E.; Fairman, J.; Martina, F.; Kashoob, T.; Mamash, H.; Cozzolino, L.D. Microstructure and residual stress improvement in wire and arc additively manufactured parts through high-pressure rolling. J. Mater. Process. Technol. 2013, 213, 1782–1791. [Google Scholar] [CrossRef]








| Material | Alloy | Chemical Composition (wt %) | |||||
|---|---|---|---|---|---|---|---|
| Al | Mn | Mg | Si | Fe | Cu | ||
| Wire | Al-4047 | bal | 0.2 | - | 12.0 | - | - |
| Al-5356 | bal | 0.15 | 5.0 | 0.05 | 0.15 | - | |
| Substrate | Al-6082 | bal | 0.4–1.0 | 0.60–1.2 | 0.7–1.3 | <0.5 | <0.1 |
| Parameter | Unit | Al 4047 | Al 5356 |
|---|---|---|---|
| Wire feed | m/min | 8 | 8 |
| Welding speed | cm/min | 60 | 60 |
| Voltage | V | 19–20 | 15–15.5 |
| Current | A | 125–127 | 91–92 |
| Layer thickness | mm | 1.2 | 1.4 |
| Nominal wall height | mm | 24 | 28 |
| Properties | Unit | Wire Specification | WAAM (H) | WAAM (V) |
|---|---|---|---|---|
| Yield strength | MPa | 125 | 114.9 ± 1.0 | 114.9 ± 2.7 |
| Ultimate tensile strength | Mpa | 255 | 267.6 ± 3.5 | 254.0 ± 5.6 |
| Elongation | % | 24 | 28.3 ± 2.1 | 17.1 ± 2.7 |
© 2019 by the authors. Licensee MDPI, Basel, Switzerland. This article is an open access article distributed under the terms and conditions of the Creative Commons Attribution (CC BY) license (http://creativecommons.org/licenses/by/4.0/).
Share and Cite
Köhler, M.; Fiebig, S.; Hensel, J.; Dilger, K. Wire and Arc Additive Manufacturing of Aluminum Components. Metals 2019, 9, 608. https://doi.org/10.3390/met9050608
Köhler M, Fiebig S, Hensel J, Dilger K. Wire and Arc Additive Manufacturing of Aluminum Components. Metals. 2019; 9(5):608. https://doi.org/10.3390/met9050608
Chicago/Turabian StyleKöhler, Markus, Sierk Fiebig, Jonas Hensel, and Klaus Dilger. 2019. "Wire and Arc Additive Manufacturing of Aluminum Components" Metals 9, no. 5: 608. https://doi.org/10.3390/met9050608
APA StyleKöhler, M., Fiebig, S., Hensel, J., & Dilger, K. (2019). Wire and Arc Additive Manufacturing of Aluminum Components. Metals, 9(5), 608. https://doi.org/10.3390/met9050608

