Effect of Eutectic Mg2Si Phase Modification on the Mechanical Properties of Al-8Zn-6Si-4Mg-2Cu Cast Alloy
Abstract
:1. Introduction
2. Experimental Procedures
3. Results and Discussion
3.1. The Microstructure of the Al-8Zn-6Si-4Mg-2Cu Alloys Modified by Different Ti Additions
3.2. The Tensile Strength Change of Al-8Zn-6Si-4Mg-2Cu Alloys with the Addition of TiB2
4. Conclusions
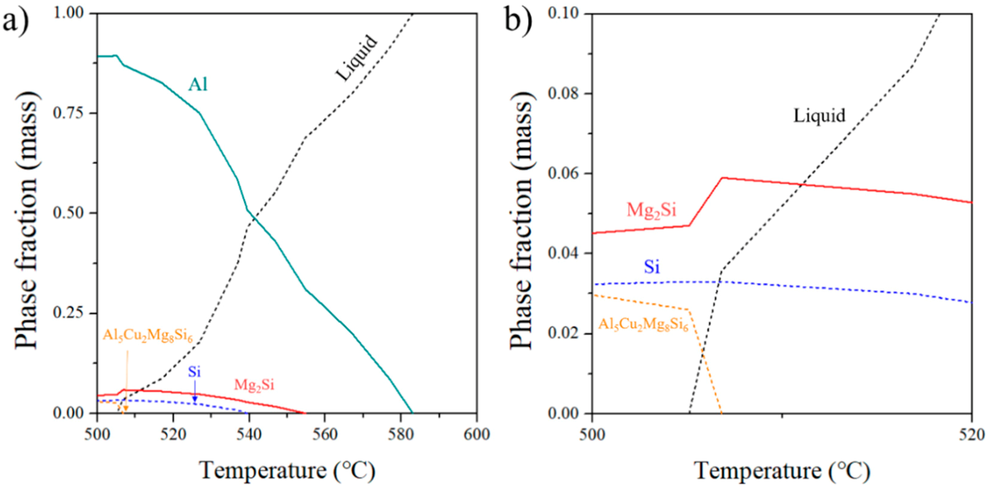
- The solidification process of the Al-8Zn-6Si-4Mg-2Cu alloy was estimated using Thermo-Calc software and it was found that the formation of eutectic Mg2Si takes place around 554.8 °C. After the binary and ternary reactions, it is also confirmed that Mg2Si is the predominant intermetallic phase in these alloys after solidification.
- Mg2Si morphology changed from Chinese script to polygonal, and the size decreased from over 50 μm to under 10 μm. The FE-SEM image exhibits TiB2 particles inside the modified Mg2Si. This suggests that TiB2 particles acted as nucleation sites in modified eutectic Mg2Si phases.
- When 1 wt.% of Ti was added, most of the eutectic Mg2Si phase was fully modified from large Chines-script to a fine polygonal shape. The increase in the mechanical properties, both elongation and strength, were observed after modification of these large eutectic Mg2Si phases.
Author Contributions
Funding
Acknowledgments
Conflicts of Interest
References
- Seifeddine, S.; Johansson, S.; Svensson, I.L. The influence of cooling rate and manganese content on the β-Al5FeSi phase formation and mechanical properties of Al-Si-based alloys. Mater. Sci. Eng. A 2008, 490, 385–390. [Google Scholar] [CrossRef]
- Lu, L.; Lai, M.O.; Hoe, M.L. Formation of nanocrystalline Mg2Si and Mg2Si dispersion strengthened Mg-Al alloy by mechanical alloying. Nanostruct. Mater. 1998, 10, 551–563. [Google Scholar] [CrossRef]
- Wang, L.; Qin, X.Y. The effect of mechanical milling on the formation of nanocrystalline Mg2Si through solid-state reaction. Scrip. Mater. 2003, 49, 243–248. [Google Scholar] [CrossRef]
- Emamy, M.; Emami, A.R.; Tavighi, K. The effect of Cu addition and solution heat treatment on the microstructure, hardness and tensile properties of Al-15%Mg2Si-0.15%Li composite. Mater. Sci. Eng. A 2013, 576, 36–44. [Google Scholar] [CrossRef]
- Zhang, J.; Fan, Z.; Wang, Y.Q.; Zhou, B.L. Microstructural development of Al-15wt.% Mg2Si in situ composite with mischmetal addition. Mater. Sci. Eng. A 2000, 281, 104–112. [Google Scholar] [CrossRef]
- Emamy, M.; Khorshidi, R.; Raouf, A.H. The influence of pure Na on the microstructure and tensile properties of Al-Mg2Si metal matrix composite. Mater. Sci. Eng. A 2011, 13, 4337–4342. [Google Scholar] [CrossRef]
- Li, C.; Wu, Y.; Li, H.; Wu, Y.; Liu, X. Effect of Ni on eutectic structural evolution in hypereutectic Al-Mg2Si cast alloys. Mater. Sci. Eng. A 2010, 528, 573–577. [Google Scholar] [CrossRef]
- Tebib, M.; Samuel, A.M.; Ajersch, F.; Chen, X.G. Effect of P and Sr additions on the microstructure of hypereutectic Al-15Si-14Mg-4Cu alloy. Mater. Charact. 2014, 89, 112–123. [Google Scholar] [CrossRef]
- Qin, Q.D.; Zhao, Y.G.; Zhou, W.; Cong, P.J. Effect of phosphorus on microstructure and growth manner of primary Mg2Si crystal in Mg2Si/Al composite. Mater. Sci. Eng. A 2007, 447, 186–191. [Google Scholar] [CrossRef]
- Jiang, W.; Xu, X.; Zhao, Y.; Wang, Z.; Wu, C.; Pan, D.; Meng, Z. Effect of the addition of Sr modifier in different conditions on microstructure and mechanical properties of T6 treated Al-Mg2Si in-situ composite. Mater. Sci. Eng. A 2018, 721, 263–273. [Google Scholar] [CrossRef]
- Sun, J.; Li, C.; Liu, X.; Yu, L.; Li, H.; Liu, Y. Investigation on AlP as the heterogeneous nucleus of Mg2Si in Al-Mg2Si alloys by experimental observation and first-principles calculation. Results Phys. 2018, 8, 146–152. [Google Scholar] [CrossRef]
- Li, C.; Liua, X.; Zhang, G. Heterogeneous nucleating role of TiB2 or AlP/TiB2 coupled compounds on primary Mg2Si in Al-Mg-Si alloys. Mater. Sci. Eng. A 2008, 497, 432–437. [Google Scholar] [CrossRef]
- Li, C.; Sun, J.; Li, Z.; Gao, Z.; Yu, Y.L.L.; Li, H. Microstructure and corrosion behavior of Al-10%Mg2Si cast alloy after heat treatment. Mater. Charact. 2016, 122, 142–147. [Google Scholar] [CrossRef]
- Lee, Y.C.; Dahle, A.K.; StJohn, D.H.; Hutt, J.E.C. The effect of grain refinement and silicon content on grain formation in hypoeutectic Al-Si alloys. Mater. Sci. Eng. A 1999, 259, 43–52. [Google Scholar] [CrossRef]
- Han, Y.; Li, K.; Wang, J.; da Shu, S.B. Influence of high-intensity ultrasound on grain refining performance of Al-5Ti-1B master alloy on aluminium. Mater. Sci. Eng. A 2005, 405, 306–312. [Google Scholar] [CrossRef]
- Rigsbee, J.M.; Aaronson, H.I. A computer modeling study of partially coherent FCC: BCC boundaries. Acta Metall. Mater. 1979, 27, 351–363. [Google Scholar] [CrossRef]
- Abdel-Hamid, A.A.; Hamar-Thibault, S.; Hamar, R. Crystal morphology of the compound TiB2. J. Cryst. Growth 1985, 71, 744–750. [Google Scholar] [CrossRef]
- Zheng, Y.; Xiao, W.; Ge, S.; Zhao, W.; Hanada, S.; Ma, C. Effect of Cu content and Cu/Mg ratio on the microstructure and mechanical properties of Al-Si-Cu-Mg alloys. J. Alloys Compd. 2015, 649, 291–296. [Google Scholar] [CrossRef]










| Alloy Components | Zn | Si | Mg | Cu | Ti | Al |
|---|---|---|---|---|---|---|
| Al-8Zn-6Si-4Mg-2Cu | 7.96 | 5.94 | 4.01 | 1.97 | - | Bal. |
| Al-8Zn-6Si-4Mg-2Cu-0.1Ti | 7.98 | 5.98 | 3.98 | 1.96 | 0.13 | Bal. |
| Al-8Zn-6Si-4Mg-2Cu-0.5Ti | 8.01 | 5.98 | 4.03 | 1.99 | 0.49 | Bal. |
| Al-8Zn-6Si-4Mg-2Cu-1Ti | 7.99 | 6.02 | 4.02 | 2.01 | 1.02 | Bal. |
| Reactions | Temperature (°C) | Liquid Fraction (%) | Solid Fraction (%) | Composition Percentage at Solid (wt.%) | |||
|---|---|---|---|---|---|---|---|
| Al | Si | Mg2Si | Al5Cu2Mg8Si6 | ||||
| Primary Al | 582.8 | 100 | 0 | - | - | - | - |
| Start of binary | 554.8 | 70.3 | 29.7 | 100 | - | - | - |
| Start of ternary | 539.7 | 48.6 | 51.4 | 95.2 | - | 4.8 | - |
| Al5Cu2Mg8Si6 | 506.6 | 4.0 | 96.0 | 90.9 | 3.5 | 5.6 | - |
| 506.6-δT | 89.8 | 3.3 | 4.2 | 2.7 | |||
| Point | Chemical Composition (at.%) | ||||
|---|---|---|---|---|---|
| Al | Zn | Si | Mg | Cu | |
| A | 95.41 | 4.59 | - | - | - |
| B | 33.21 | 2.49 | 22.76 | 41.54 | - |
| C | 13.56 | - | 86.44 | - | - |
| D | 74.55 | - | - | - | 25.45 |
| E | 18.96 | - | 33.51 | 38.39 | 9.14 |
© 2019 by the authors. Licensee MDPI, Basel, Switzerland. This article is an open access article distributed under the terms and conditions of the Creative Commons Attribution (CC BY) license (http://creativecommons.org/licenses/by/4.0/).
Share and Cite
Kim, B.J.; Jung, S.S.; Hwang, J.H.; Park, Y.H.; Lee, Y.C. Effect of Eutectic Mg2Si Phase Modification on the Mechanical Properties of Al-8Zn-6Si-4Mg-2Cu Cast Alloy. Metals 2019, 9, 32. https://doi.org/10.3390/met9010032
Kim BJ, Jung SS, Hwang JH, Park YH, Lee YC. Effect of Eutectic Mg2Si Phase Modification on the Mechanical Properties of Al-8Zn-6Si-4Mg-2Cu Cast Alloy. Metals. 2019; 9(1):32. https://doi.org/10.3390/met9010032
Chicago/Turabian StyleKim, Byung Joo, Sung Su Jung, Ji Hoon Hwang, Yong Ho Park, and Young Cheol Lee. 2019. "Effect of Eutectic Mg2Si Phase Modification on the Mechanical Properties of Al-8Zn-6Si-4Mg-2Cu Cast Alloy" Metals 9, no. 1: 32. https://doi.org/10.3390/met9010032
APA StyleKim, B. J., Jung, S. S., Hwang, J. H., Park, Y. H., & Lee, Y. C. (2019). Effect of Eutectic Mg2Si Phase Modification on the Mechanical Properties of Al-8Zn-6Si-4Mg-2Cu Cast Alloy. Metals, 9(1), 32. https://doi.org/10.3390/met9010032

