Grain Scale Representative Volume Element Simulation to Investigate the Effect of Crystal Orientation on Void Growth in Single and Multi-Crystals
Abstract
1. Introduction
2. Motivation, Assumptions and Limitation of the Work
- The microstructure of the single or multi-crystal is simplified as a representative volume element (RVE) in which an idealized spherical void is located at the center of a single crystal or at the grain boundary of multi-crystals.
- It is assumed that the initiation of void originates from the second phase particle (or precipitate), thus only void growth is considered from the initial size of the second phase particle.
- The crystallographic orientations of the microstructure are simplified as three characteristics primary orientations, (100), (110), and (111) along the normal direction of a sample.
- In real crystalline metals, there are complex interactions among grain boundaries and dislocations, which is highly dependent on the grain boundary characteristics. To simplify this, the perfect bonding between neighboring grains at the grain boundary is assumed and no special interactions such as transmission and absorption of dislocations at the boundary are considered.
- The material is assumed as a body centered cubic (bcc) crystal and a power-law type single crystal hardening model is adopted. In addition, the loading condition is quasi-static and isothermal at room temperature without strong strain rate and temperature effects.
3. Crystal Plasticity Constitutive Equation
4. Model Material and Identification of Crystal Plasticity Parameters
5. Finite Element Modelling for RVE Analysis
6. Result and Discussion
6.1. Effect of Grain Orientation on the Void Growth in Single Crystals
6.2. Effect of Inter-Grain Orientation on the Growth of Void Located at Grain Boundaries
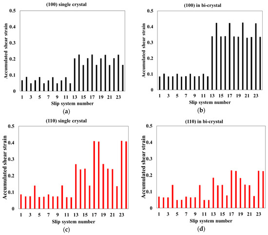
6.3. Slip System Activity (Resolved Sheaer Strain on the Slip Systems) in the RVE
7. Conclusions
- The RVE simulations with a rate-dependent crystal plasticity model could reproduce the orientation dependent single crystal flow stress behavior of the bcc metal under two distinct constant stress triaxialities as reported in the previous work by Yerra et al. [13] and as observed in general bcc metals. In other words, the crystal with the highest flow stress resulted in the earliest localization (or least uniform elongation corresponding to UTS point), while delayed localization for the lower flow stress when a void is included in the RVE.
- The growth rate of a void in the single crystal is highly dependent on the crystal orientation and the rate is on the order of (110), (111) and (100) orientations for the present study. The growth rate is accelerated as the stress triaxiality increases, which has been commonly known in the ductile fracture analysis.
- When a void is located at the boundary of bi-crystal or at the triple junction of a tri-crystal, the growth rate of a void shows considerable dependence on the orientation relationship among constituent crystals. For all cases with mixed (100), (111), and (110) orientations, the maximum growth rate of a void is in the (100) crystal and the lowest is in the (110) direction, which contradicts the single crystal cases. This difference of void growth rate in single crystal and multi-crystal is attributed to the relative strength differential between grains with specific orientations. For example, for the given boundary conditions, the flow stresses of (110) and (100) crystals represent highest and lowest values and the deformation is highly concentrated in the softer (100) crystal when the two crystals co-existed.
- For the prescribed macroscopic strain (in averaged sense), the strains of elements surrounding a void between (100) and (110) regions are significantly increased and decreased, respectively. The average strains of (100) and (110) portions in the bi-crystal are equivalent to those of (110) and (100) single crystals. This result could be explained by the analysis of slip system activation (or accumulated shear strain in the activated slip systems) in which the overall activation pattern of multiple slips is similar between the single and bi-crystal, but the magnitudes of the shear strains are quite different.
Author Contributions
Funding
Acknowledgments
Conflicts of Interest
References
- Gurland, J. Observations on the fracture of cementite particles in a spheroidized 1.05% c steel deformed at room temperature. Acta Metall. 1972, 20, 735–741. [Google Scholar] [CrossRef]
- Takuda, H.; Mori, K.; Hatta, N. The application of some criteria for ductile fracture to the prediction of the forming limit of sheet metals. J. Mater. Process. Technol. 1999, 95, 116–121. [Google Scholar] [CrossRef]
- Clift, S.E.; Hartley, P.; Sturgess, C.; Rowe, G. Fracture prediction in plastic deformation processes. Int. J. Mech. Sci. 1990, 32, 1–17. [Google Scholar] [CrossRef]
- Cockcroft, M.; Latham, D. Ductility and the workability of metals. J. Inst. Met. 1968, 96, 33–39. [Google Scholar]
- Brozzo, P.; Deluca, B.; Rendina, R. A new method for the prediction of formability limits in metal sheets. In Proceedings of the 7th Biennial Conference of the International Deep Drawing Research Group (IDDR), Amsterdam, The Netherlands, 9–13 October 1972. [Google Scholar]
- Oyane, M.; Sato, T.; Okimoto, K.; Shima, S. Criteria for ductile fracture and their applications. J. Mech. Work. Technol. 1980, 4, 65–81. [Google Scholar] [CrossRef]
- Bao, Y.; Wierzbicki, T. On fracture locus in the equivalent strain and stress triaxiality space. Int. J. Mech. Sci. 2004, 46, 81–98. [Google Scholar] [CrossRef]
- Bai, Y.; Wierzbicki, T. A new model of metal plasticity and fracture with pressure and lode dependence. Int. J. Plast. 2008, 24, 1071–1096. [Google Scholar] [CrossRef]
- Bai, Y.; Wierzbicki, T. Application of extended mohr–coulomb criterion to ductile fracture. Int. J. Fract. 2010, 161, 1–20. [Google Scholar] [CrossRef]
- Gurson, A.L. Continuum theory of ductile rupture by void nucleation and growth: Part I—Yield criteria and flow rules for porous ductile media. J. Eng. Mater. Technol. 1977, 99, 2–15. [Google Scholar] [CrossRef]
- Tvergaard, V.; Needleman, A. Analysis of the cup-cone fracture in a round tensile bar. Acta Metall. 1984, 32, 157–169. [Google Scholar] [CrossRef]
- Chu, C.; Needleman, A. Void nucleation effects in biaxially stretched sheets. J. Eng. Mater. Technol. (Trans. ASME) 1980, 102, 249–256. [Google Scholar] [CrossRef]
- Yerra, S.; Tekog, C.; Scheyvaerts, F.; Delannay, L.; Van Houtte, P.; Pardoen, T. Void growth and coalescence in single crystals. Int. J. Solids Struct. 2010, 47, 1016–1029. [Google Scholar] [CrossRef]
- Liu, W.; Zhang, X.; Tang, J.; Du, Y. Simulation of void growth and coalescence behavior with 3D crystal plasticity theory. Comput. Mater. Sci. 2007, 40, 130–139. [Google Scholar] [CrossRef]
- Potirniche, G.; Hearndon, J.; Horstemeyer, M.; Ling, X. Lattice orientation effects on void growth and coalescence in fcc single crystals. Int. J. Plast. 2006, 22, 921–942. [Google Scholar] [CrossRef]
- Srivastava, A.; Needleman, A. Effect of crystal orientation on porosity evolution in a creeping sinlge crystal. Mech. Mater. 2015, 90, 10–29. [Google Scholar] [CrossRef]
- Tekoglu, C. Representative volume element calculations under constant stress triaxiality, Lode parameter, and shear ratio. Int. J. Solids Struct. 2014, 51, 4544–4553. [Google Scholar] [CrossRef]
- Lebensohn, R.A.; Escobedo, J.P.; Cerreta, E.K.; Dennis-Koller, D.; Bronkhorst, C.A.; Bingert, J.F. Modeling void growth in polycrystalline materials. Acta Mater. 2013, 61, 6918–6932. [Google Scholar] [CrossRef]
- Lecarme, L.; Tekoglu, C.; Pardoen, T. Void growth and coalescence in dutile solids with stage III and stage IV strain hardening. Int. J. Plast. 2011, 27, 1203–1223. [Google Scholar] [CrossRef]
- Pushkareva, M.; Adrien, J.; Maire, E.; Segurado, J.; Llorca, J.; Weck, A. Three-dimentional investigation of grain orientation effects on void growth in comercially pure titanium. Mater. Sci. Eng. A 2016, 671, 221–232. [Google Scholar] [CrossRef]
- Nemcko, M.J.; Qiao, H.; Wu, P.; Wilkinson, D.S. Effects of void fraction on void growth and linkage in commercially pure magnesium. Acta Mater. 2016, 113, 68–80. [Google Scholar] [CrossRef]
- Lee, E.H. In Elastic-plastic deformation at finite strains. J. Appl. Mech. 1969, 36, 1–6. [Google Scholar] [CrossRef]
- Hutchinson, J. Bounds and self-consistent estimates for creep of polycrystalline materials. Proc. R. Soc. Lond. A Math. Phys. Eng. Sci. 1976, 348, 101–127. [Google Scholar] [CrossRef]
- Asaro, R.J. Micromechanics of crystals and polycrystals. Adv. Appl. Mech. 1983, 23, 1–115. [Google Scholar]
- Brown, S.B.; Kim, K.H.; Anand, L. An internal variable constitutive model for hot working of metals. Int. J. Plast. 1989, 5, 95–130. [Google Scholar] [CrossRef]
- Kalidindi, S.R.; Bronkhorst, C.A.; Anand, L. Crystallographic texture evolution in bulk deformation processing of fcc metals. J. Mech. Phys. Solids 1992, 40, 537–569. [Google Scholar] [CrossRef]
- Adams, J.J.; Agosta, D.; Leisure, R.; Ledbetter, H. Elastic constants of monocrystal iron from 3 to 500 k. J. Appl. Phys. 2006, 100, 3530. [Google Scholar] [CrossRef]
- Lee, M.G.; Wang, J.; Anderson, P.M. Texture evolution maps for upset deformation of body centered cubic metals. Mater. Sci. Eng. A 2007, 463, 263–270. [Google Scholar] [CrossRef]
- Kalidindi, S.R.; Anand, L. An approximate procedure for predicting the evolution of crystallographic texture in bulk deformation processing of fcc metals. Int. J. Mech. Sci. 1992, 34, 309–329. [Google Scholar] [CrossRef]
- Kim, J.H.; Kim, D.; Barlat, F.; Lee, M.-G. Crystal plasticity approach for predicting the bauschinger effect in dual-phase steels. Mater. Sci. Eng. A 2012, 539, 259–270. [Google Scholar] [CrossRef]












| No. | Plane Normal | Slip Direction | No. | Plane Normal | Slip Direction |
|---|---|---|---|---|---|
| 1 | 13 | ||||
| 2 | 14 | ||||
| 3 | 15 | ||||
| 4 | 16 | ||||
| 5 | 17 | ||||
| 6 | 18 | ||||
| 7 | 19 | ||||
| 8 | 20 | ||||
| 9 | 21 | ||||
| 10 | 22 | ||||
| 11 | 23 | ||||
| 12 | 24 |
| Variables | Values |
|---|---|
| Anisotropic elastic property (C11) | 230.4 GPa |
| Anisotropic elastic property (C12) | 134.1 GPa |
| Anisotropic elastic property (C44) | 115.9 GPa |
| Reference shearing rate () | 0.001/s |
| Slip rate sensitivity parameter (m) | 0.05 |
| Initial value of the slip resistance () | 50 MPa |
| Value of the initial hardening rate () | 200 MPa |
| Saturation value for the slip resistance () | 150 MPa |
| Exponent in hardening equation (a) | 2.25 |
| Latent hardening parameter () | 1.4 |
© 2018 by the authors. Licensee MDPI, Basel, Switzerland. This article is an open access article distributed under the terms and conditions of the Creative Commons Attribution (CC BY) license (http://creativecommons.org/licenses/by/4.0/).
Share and Cite
Jeong, W.; Lee, C.-H.; Moon, J.; Jang, D.; Lee, M.-G. Grain Scale Representative Volume Element Simulation to Investigate the Effect of Crystal Orientation on Void Growth in Single and Multi-Crystals. Metals 2018, 8, 436. https://doi.org/10.3390/met8060436
Jeong W, Lee C-H, Moon J, Jang D, Lee M-G. Grain Scale Representative Volume Element Simulation to Investigate the Effect of Crystal Orientation on Void Growth in Single and Multi-Crystals. Metals. 2018; 8(6):436. https://doi.org/10.3390/met8060436
Chicago/Turabian StyleJeong, Woojin, Chang-Hoon Lee, Joonoh Moon, Dongchan Jang, and Myoung-Gyu Lee. 2018. "Grain Scale Representative Volume Element Simulation to Investigate the Effect of Crystal Orientation on Void Growth in Single and Multi-Crystals" Metals 8, no. 6: 436. https://doi.org/10.3390/met8060436
APA StyleJeong, W., Lee, C.-H., Moon, J., Jang, D., & Lee, M.-G. (2018). Grain Scale Representative Volume Element Simulation to Investigate the Effect of Crystal Orientation on Void Growth in Single and Multi-Crystals. Metals, 8(6), 436. https://doi.org/10.3390/met8060436

