Microstructure and Mechanical Properties of Al–SiC Nanocomposites Synthesized by Surface-Modified Aluminium Powder
Abstract
:1. Introduction
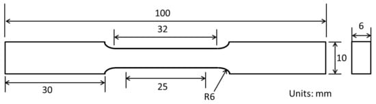
2. Materials and Methods
3. Results
3.1. Characterization of the As-Mixed Composite
3.2. Microstructure
3.3. Hardness
3.4. Density Measurement
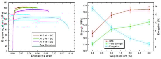
3.5. Tensile Properties
4. Discussion
5. Conclusions
- Al-SiC nanocomposite was successfully synthesized by surface modified aluminium powder. The nanoparticles were distributed uniformly in the matrix alloy.
- With the addition of 1, 2, 3 wt % SiC nanoparticle to the aluminum matrix, the average hardness and tensile strength of the nanocomposite increased by about 26.0%, 34.5%, 40.0% and 22.3%, 28.6%, 29.3%, respectively.
- A decrease in the ductility of the nanocomposite was found with the addition of nanoparticles. By adding 3 wt % SiC nanoparticle, the elongation was decreased by 8.8% compared to the pure matrix metal.
Acknowledgments
Author Contributions
Conflicts of Interest
References
- Zhang, L.J.; Yang, D.L.; Qiu, F.; Wang, J.G.; Jiang, Q.C. Effects of reinforcement surface modification on the microstructures and tensile properties of SiCp/Al2014 composites. Mater. Sci. Eng. A 2015, 624, 102–109. [Google Scholar] [CrossRef]
- Mousavian, R.T.; Khosroshahi, R.A.; Yazdani, S.; Brabazon, D.; Boostani, A.F. Fabrication of aluminum matrix composites reinforced with nano- to micrometer-sized SiC particles. Mater. Des. 2016, 89, 58–70. [Google Scholar] [CrossRef]
- Jiang, J.F.; Wang, Y. Microstructure and mechanical properties of the rheoformed cylindrical part of 7075 aluminum matrix composite reinforced with nano-sized SiC particles. Mater. Des. 2015, 79, 32–41. [Google Scholar] [CrossRef]
- Zhang, L.J.; Qiu, F.; Wang, J.G.; Wang, H.Y.; Jiang, Q.C. Microstructures and mechanical properties of the Al2014 composites. Mater. Sci. Eng. A 2015, 637, 70–74. [Google Scholar] [CrossRef]
- Su, H.; Gao, W.L.; Feng, Z.H.; Lu, Z. Processing, microstructure and tensile properties of nano-sized Al2O3 particle reinforced aluminum matrix composites. Mater. Des. 2015, 36, 590–596. [Google Scholar] [CrossRef]
- Zhou, D.S.; Qiu, F.; Jiang, Q.C. Simultaneously increasing the strength and ductility of nano-sized TiN particle reinforced Al-Cu matrix composites. Mater. Sci. Eng. A 2014, 596, 98–102. [Google Scholar] [CrossRef]
- Yang, Y.; Lan, J.; Li, X.C. Study on bulk aluminum matrix nanocomposite fabricated by ultrasonic dispersion of nano-sized SiC particles in molten aluminum alloy. Mater. Sci. Eng. A 2004, 380, 378–383. [Google Scholar] [CrossRef]
- Mazahery, A.; Shabani, M.O. Characterization of cast A356 alloy reinforced with nano SiC composites. Trans. Nonferr. Metals Soc. China 2012, 22, 275–280. [Google Scholar] [CrossRef]
- Ma, Z.Y.; Tjong, S.C.; Li, Y.L.; Liang, Y. High temperature creep behaxior of nanometric Si3N4 particulate reinforced aluminium composite. Mater. Sci. Eng. A 1997, 225, 125–134. [Google Scholar] [CrossRef]
- Prasad Reddy, A.; Vamsi Krishna, P.; Narasimha Rao, R.; Murthy, N.V. Silicon carbide reinforced aluminium metal matrix nano composites—A review. Mater. Today Proc. 2017, 4, 3959–3971. [Google Scholar] [CrossRef]
- Reyes, M.; Canul, M.; Torres, J. Development of aluminum hydroxides in Al–Mg–Si/SiCp in infiltrated composites exposed to moist air. Ceram. Int. 2011, 37, 2719–2722. [Google Scholar] [CrossRef]
- Li, G.; Zhao, Y.; Wang, H.; Chen, G.; Dai, Q.; Cheng, X. Fabrication and properties of in situ (Al3Zr + Al2O3)p/A356 composites cast by permanent mould and squeeze casting. J. Alloys Compd. 2009, 471, 530–535. [Google Scholar] [CrossRef]
- Safari, J.; Chermahini, M.; Akbari, G. The effect of Mg content on microstructure and mechanical properties of Al–xMg/5Al2O3 nanocomposite prepared by mechanical alloying. Powder Technol. 2013, 234, 7–12. [Google Scholar] [CrossRef]
- Wang, H.; Jiang, Q.; Wang, Y.; Ma, B.; Zhao, F. Fabrication of TiB2 particulate reinforced magnesium matrix composites by powder metallurgy. Mater. Lett. 2004, 58, 3509–3513. [Google Scholar] [CrossRef]
- Qu, H.; Zhu, S.; Li, Q. Influence of sintering temperature and holding time on the densification, phase transformation, microstructure and properties of hot pressing WC–40 vol.% Al2O3 composites. Ceram. Int. 2012, 38, 1371–1380. [Google Scholar] [CrossRef]
- Naher, S.; Brabazon, D.; Looney, L. Development and assessment of a new quick quench stir caster design for the production of metal matrix composites. J. Mater. Process. Technol. 2004, 166, 430–439. [Google Scholar] [CrossRef]
- Cabeza, M.; Feijoo, I.; Merino, P.; Pena, G. Effect of high energy ball milling on the morphology, microstructure and properties of nano-sized TiC particle-reinforced 6005A aluminium alloy matrix composite. Powder Technol. 2017, 321, 31–43. [Google Scholar] [CrossRef]
- Soltani, M.; Atrian, A. High temperature tensile behavior and microstructure of Al-SiC nanocomposite fabricated by mechanical milling and hot extrusion technique. Mater. Res. Express 2018, 5, 025026. [Google Scholar] [CrossRef]
- Issa, H.; Taherizadeh, A.; Maleki, A. Development of an aluminium/amorphous nano-SiO2 composite using powder metallurgy and hot extrusion processes. Ceram. Int. 2017, 43, 14582–14592. [Google Scholar] [CrossRef]
- Penchal, M.; Shakoora, R.A. Enhanced performance of nano-sized SiC reinforced Al metal matrix nanocomposites synthesized through microwave sintering and hot extrusion techniques. Prog. Nat. Sci. Mater. Int. 2017, 27, 606–614. [Google Scholar]
- Dieter, G.E.; Bacon, D. Mechanical Metallurgy; McGraw-Hill: New York, NY, USA, 1986. [Google Scholar]
- Ramezanalizadeh, H.; Emamy, M.; Shokouhimehr, M. A novel aluminum based nanocomposite with high strength and good ductility. J. Alloys Compd. 2015, 649, 461–473. [Google Scholar] [CrossRef]
- Zadeh, S.A. Comparison between current models for the strength of particulate reinforced metal matrix nanocomposites with emphasis on consideration of Hall–Petch effect. Mater. Sci. Eng. A 2012, 531, 112–118. [Google Scholar] [CrossRef]
- Hassan, S.F.; Tan, M.J.; Gupta, M. High-temperature tensile properties of Mg/Al2O3 nanocomposite. Mater. Sci. Eng. A 2008, 486, 56–62. [Google Scholar] [CrossRef]
- Tun, K.S.; Gupta, M. Effect of heating rate during hybrid microwave sintering on the tensile properties of magnesium and Mg/Y2O3 nanocomposite. J. Alloys Compd. 2008, 466, 140–145. [Google Scholar] [CrossRef]
- Rice, J.K.; Tracey, D.M. On the ductile enlargement of voids in triaxial stress fields. J. Mech. Phys. Solids 1967, 117, 201–217. [Google Scholar] [CrossRef]











| Elements | Al | C | Si | Mg | O | N | Fe | Cu | Others |
|---|---|---|---|---|---|---|---|---|---|
| Content (%) | 99.93 | 0.003 | 0.002 | 0.002 | 0.05 | 0.001 | 0.001 | 0.001 | ≤0.01 |
| G | b | d | Tprocess | Ttest | K | ||||
|---|---|---|---|---|---|---|---|---|---|
| GPa | nm | nm | () | () | K | K | |||
| 26.4 | 0.286 | 50 | 24 × 10−6 | 4.3 × 10−6 | 773 | 298 | 0.0725 | ||
| dgrain | f | M | A | ||||||
| μm | vol % | - | - | - | |||||
| 0 | 1 wt % | 2 wt % | 3 wt% | 1 wt % | 2 wt % | 3 wt % | |||
| 3.7 | 3.1 | 2.6 | 2.5 | 0.85 | 1.7 | 2.54 | 3.1 | 12 | 1.25 |
© 2018 by the authors. Licensee MDPI, Basel, Switzerland. This article is an open access article distributed under the terms and conditions of the Creative Commons Attribution (CC BY) license (http://creativecommons.org/licenses/by/4.0/).
Share and Cite
Zeng, X.; Liu, W.; Xu, B.; Shu, G.; Li, Q. Microstructure and Mechanical Properties of Al–SiC Nanocomposites Synthesized by Surface-Modified Aluminium Powder. Metals 2018, 8, 253. https://doi.org/10.3390/met8040253
Zeng X, Liu W, Xu B, Shu G, Li Q. Microstructure and Mechanical Properties of Al–SiC Nanocomposites Synthesized by Surface-Modified Aluminium Powder. Metals. 2018; 8(4):253. https://doi.org/10.3390/met8040253
Chicago/Turabian StyleZeng, Xiang, Wei Liu, Ben Xu, Guogang Shu, and Qiulin Li. 2018. "Microstructure and Mechanical Properties of Al–SiC Nanocomposites Synthesized by Surface-Modified Aluminium Powder" Metals 8, no. 4: 253. https://doi.org/10.3390/met8040253
APA StyleZeng, X., Liu, W., Xu, B., Shu, G., & Li, Q. (2018). Microstructure and Mechanical Properties of Al–SiC Nanocomposites Synthesized by Surface-Modified Aluminium Powder. Metals, 8(4), 253. https://doi.org/10.3390/met8040253
